Numerical Analysis of Stable (FAPbI3)0.85(MAPbBr3)0.15-Based Perovskite Solar Cell with TiO2/ZnO Double Electron Layer
Abstract
1. Introduction
2. Simulation and Modelling
2.1. Numerical Method
2.2. Structure and Band Diagram
2.3. Basic Parameters of Devices
3. Results and Discussion
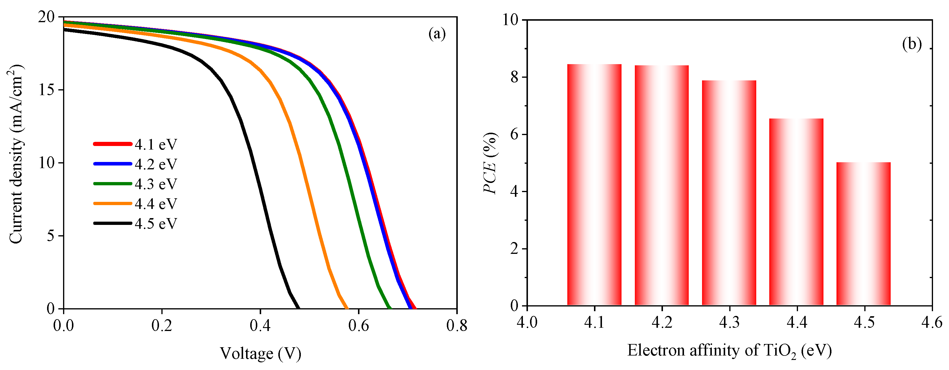
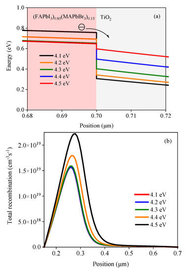
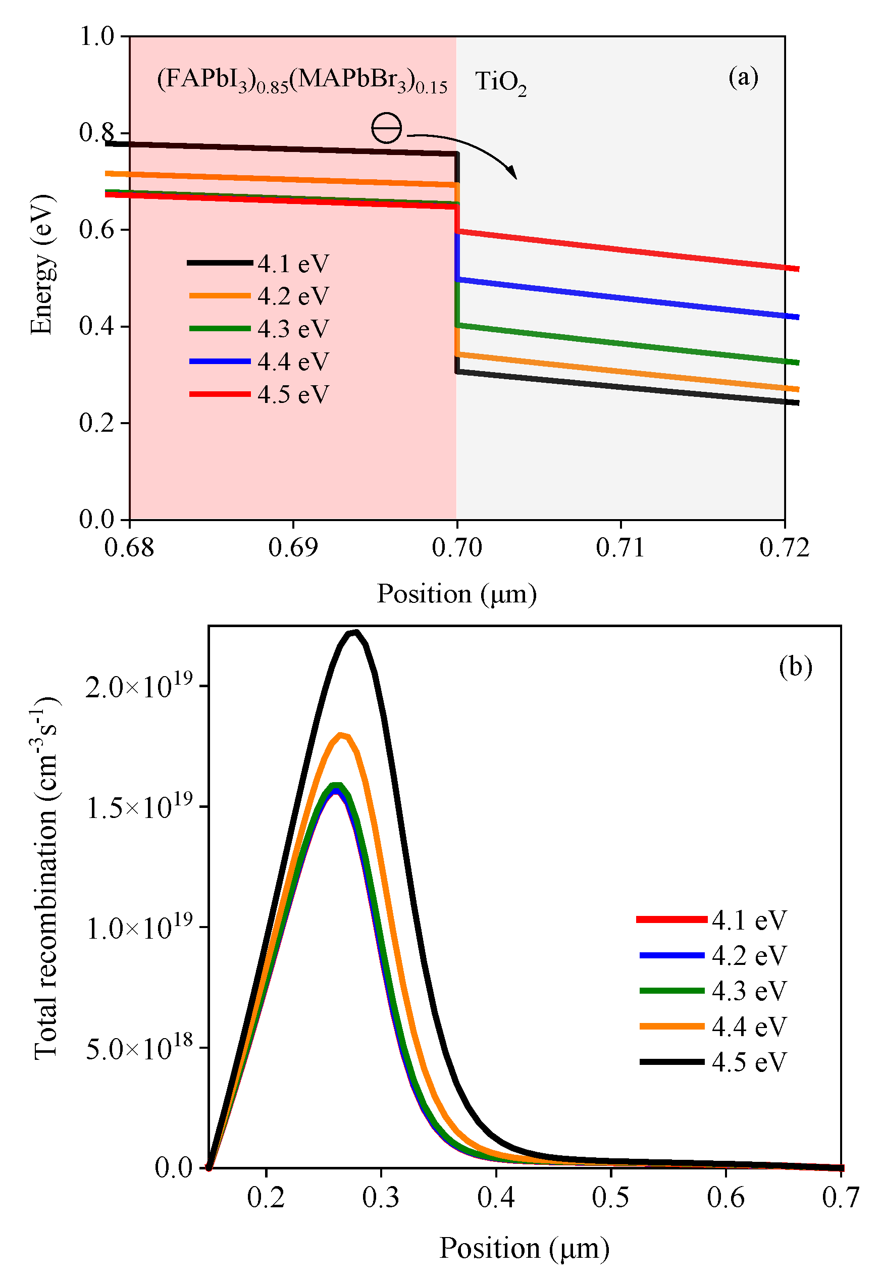
3.1. Analysis of Device with TiO2 Single Electron Transport Layer
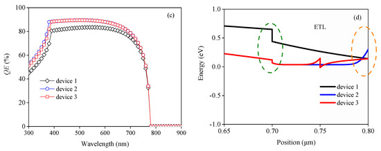
3.2. Effects of Defect Density of Perovskite Active Layer on Performance
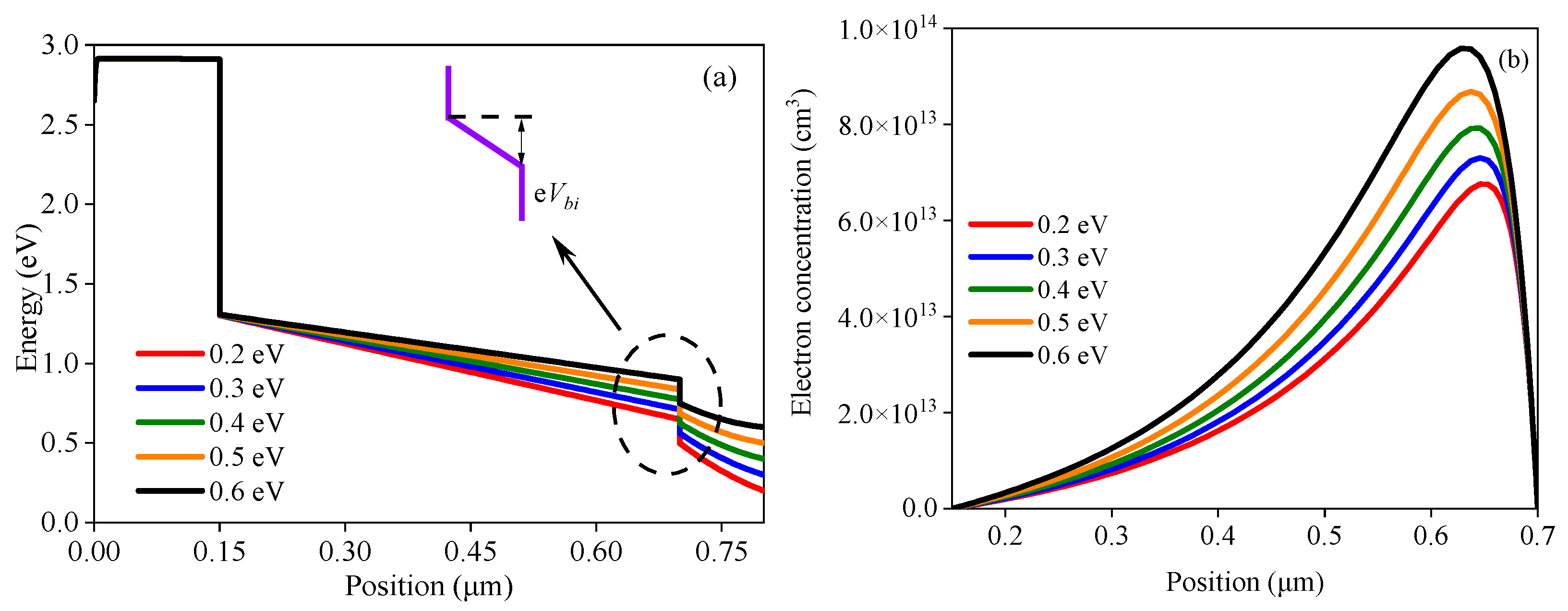
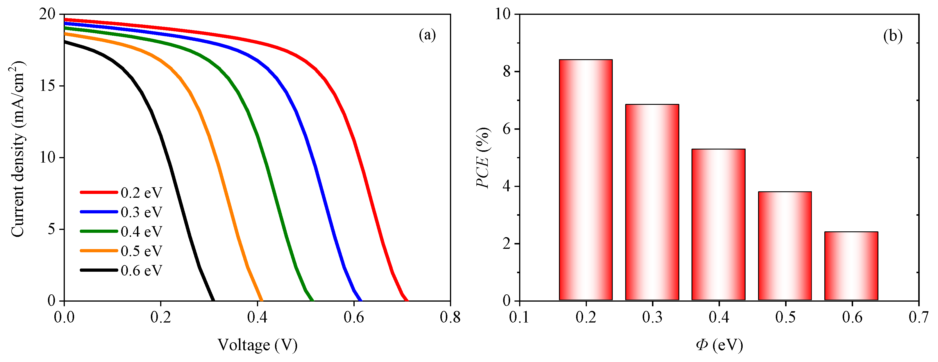
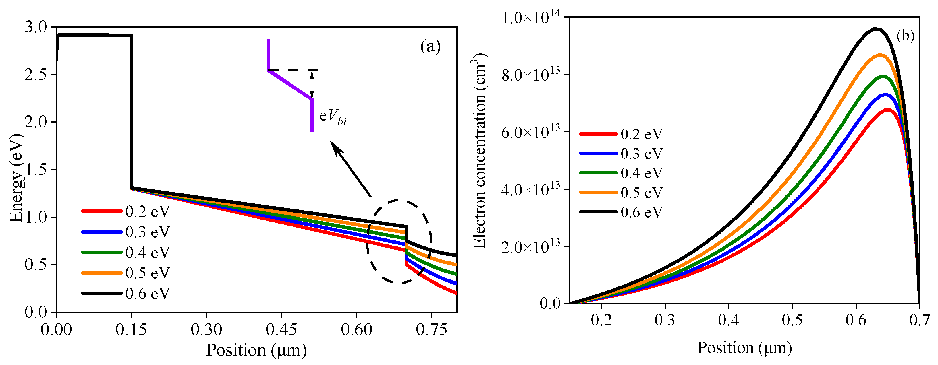
3.3. Effects of Defect Density at Electron Transport Layer (ETL)/Perovskite Interface
3.4. Effects of Working Temperature on the Performance
4. Conclusions
Author Contributions
Funding
Institutional Review Board Statement
Informed Consent Statement
Data Availability Statement
Acknowledgments
Conflicts of Interest
References
- Pulli, E.; Rozzi, E.; Bella, F. Transparent photovoltaic technologies: Current trends towards upscaling. Energy Convers. Manag. 2020, 219, 112982. [Google Scholar] [CrossRef]
- Hu, Z.; Ran, C.; Zhang, H.; Chao, L.; Chen, Y.; Huan, W. The Current Status and Development Trend of Perovskite Solar Cells. Engineering 2022, 21, 15–19. [Google Scholar] [CrossRef]
- Shi, W.; Zhuang, Q.; Zhou, R.; Hou, X.; Zhao, X.; Kong, J.; Fuchter, M.J. Enantiomerically Pure Fullerenes as a Means to Enhance the Performance of Perovskite Solar Cells. Adv. Energy Mater. 2023, 2300054. [Google Scholar] [CrossRef]
- Akkerman, Q.A.; Rainò, G.; Kovalenko, M.V.; Manna, L. Genesis, challenges and opportunities for colloidal lead halide perovskite nanocrystals. Nat. Mater. 2018, 17, 394–405. [Google Scholar] [CrossRef]
- Stranks, S.D.; Eperon, G.E.; Grancini, G.; Menelaou, C.; Alcocer, M.J.; Leijtens, T.; Snaith, H.J. Electron-hole diffusion lengths exceeding 1 micrometer in an organometal trihalide perovskite absorber. Science 2013, 342, 341–344. [Google Scholar] [CrossRef]
- Schmitz, F.; Lago, N.; Fagiolari, L.; Burkhart, J.; Cester, A.; Polo, A.; Gatti, T. High Open-Circuit Voltage Cs2AgBiBr6 Carbon-Based Perovskite Solar Cells via Green Processing of Ultrasonic Spray-Coated Carbon Electrodes from Waste Tire Sources. ChemSusChem 2022, 15, e202201590. [Google Scholar] [CrossRef]
- Kojima, A.; Teshima, K.; Shirai, Y.; Miyasaka, T. Organometal halide perovskites as visible-light sensitizers for photovoltaic cells. J. Am. Chem. Soc. 2009, 131, 6050–6051. [Google Scholar] [CrossRef]
- Sharma, R.; Sharma, A.; Agarwal, S.; Dhaka, M.S. Stability and efficiency issues, solutions and advancements in perovskite solar cells: A review. Sol. Energy 2022, 244, 516–535. [Google Scholar] [CrossRef]
- Mazzarella, L.; Lin, Y.H.; Kirner, S.; Morales-Vilches, A.B.; Korte, L.; Albrecht, S.; Schlatmann, R. Infrared light management using a nanocrystalline silicon oxide interlayer in monolithic perovskite/silicon heterojunction tandem solar cells with efficiency above 25%. Adv. Energy Mater. 2019, 9, 1803241. [Google Scholar] [CrossRef]
- Kim, M.; Jeong, J.; Lu, H.; Lee, T.K.; Eickemeyer, F.T.; Liu, Y.; Kim, D.S. Conformal quantum dot-SnO2 layers as electron transporters for efficient perovskite solar cells. Science 2022, 375, 302–306. [Google Scholar] [CrossRef]
- Gan, Y.-J.; Zhao, D.; Qin, B.-Y.; Bi, X.-G.; Liu, Y.-C.; Ning, W.-L.; Yang, R.-Z.; Jiang, Q.-B. Numerical simulation of high-performance CsPbI3/FAPbI3 heterojunction perovskite solar cell. Energies 2022, 15, 7301. [Google Scholar] [CrossRef]
- Gan, Y.-J.; Bi, X.-G.; Liu, Y.-C.; Li, Q.-L.; Qin, B.-Y.; Jiang, Q.-B.; Mo, P. Numerical investigation energy conversion performance of tin-based perovskite solar cells using cell capacitance simulator. Energies 2020, 13, 5907. [Google Scholar] [CrossRef]
- Zhang, H.; Ji, X.; Yao, H.; Fan, Q.; Yu, B.; Li, J. Review on efficiency improvement effort of perovskite solar cell. Sol. Energy 2022, 233, 421–434. [Google Scholar] [CrossRef]
- Akin, S.; Arora, N.; Zakeeruddin, S.M.; Graetzel, M.; Friend, R.H.; Dar, M.I. New Strategies for Defect Passivation in High-Efficiency Perovskite Solar Cells. Adv. Energy Mater. 2019, 10, 1903090. [Google Scholar] [CrossRef]
- Zheng, X.; Chen, B.; Dai, J.; Fang, Y.; Bai, Y.; Lin, Y.; Wei, H.; Zeng, X.C.; Huang, J. Defect passivation in hybrid perovskite solar cells using quaternary ammonium halide anions and cations. Nat. Energy 2017, 2, 17102. [Google Scholar] [CrossRef]
- Le Corre, V.M.; Stolterfoht, M.; Perdigon’ Toro, L.; Feuerstein, M.; Wolff, C.; Gil-Escrig, L.N.; Bolink, H.J.; Neher, D.; Koster, L.J.A. Charge transport layers limiting the efficiency of perovskite solar cells: How to optimize conductivity, doping, and thickness. ACS Appl. Energy Mater. 2019, 2, 6280–6287. [Google Scholar] [CrossRef]
- Jung, E.H.; Jeon, N.J.; Park, E.Y.; Moon, C.S.; Shin, T.J.; Yang, T.-Y.; Noh, J.H.; Seo, J. Efficient, stable and scalable perovskite solar cells using poly (3-hexylthiophene). Nature 2019, 567, 511–515. [Google Scholar] [CrossRef]
- Liu, W.W.; Wu, T.H.; Liu, M.C.; Niu, W.J.; Chueh, Y.L. Recent challenges in perovskite solar cells toward enhanced stability, less toxicity, and large-area mass production. Adv. Mater. Interfaces 2019, 6, 1801758. [Google Scholar] [CrossRef]
- Tumen-Ulzii, G.; Matsushima, T.; Klotz, D.; Leyden, M.R.; Wang, P.; Qin, C.; Adachi, C. Hysteresis-less and stable perovskite solar cells with a self-assembled monolayer. Commun. Mater. 2020, 1, 31. [Google Scholar] [CrossRef]
- Petrus, M.L.; Schlipf, J.; Li, C.; Gujar, T.P.; Giesbrecht, N.; Müller-Buschbaum, P.; Docampo, P. Capturing the sun: A review of the challenges and perspectives of perovskite solar cells. Adv. Energy Mater. 2017, 7, 1700264. [Google Scholar] [CrossRef]
- Qin, X.; Zhao, Z.; Wang, Y.; Wu, J.; Jiang, Q.; You, J. Recent progress in stability of perovskite solar cells. J. Semicond. 2017, 38, 011002. [Google Scholar] [CrossRef]
- Leijtens, T.; Eperon, G.E.; Pathak, S.; Abate, A.; Lee, M.M.; Snaith, H.J. Overcoming ultraviolet light instability of sensitized TiO2 with meso-superstructured organometal tri-halide perovskite solar cells. Nat. Commun. 2013, 4, 2885. [Google Scholar] [CrossRef] [PubMed]
- Cho, A.N.; Park, N.G. Impact of interfacial layers in perovskite solar cells. ChemSusChem 2017, 10, 3687–3704. [Google Scholar] [CrossRef] [PubMed]
- Xu, F.; Zhang, T.; Li, G.; Zhao, Y. Mixed cation hybrid lead halide perovskites with enhanced performance and stability. J. Mater. Chem. A 2017, 5, 11450–11461. [Google Scholar] [CrossRef]
- Bag, M.; Renna, L.A.; Adhikari, R.Y.; Karak, S.; Liu, F.; Lahti, P.M.; Venkataraman, D. Kinetics of ion transport in perovskite active layers and its implications for active layer stability. J. Am. Chem. Soc. 2015, 137, 13130–13137. [Google Scholar] [CrossRef]
- Binek, A.; Hanusch, F.C.; Docampo, P.; Bein, T. Stabilization of the trigonal high-temperature phase of formamidinium lead iodide. J. Phys. Chem. Lett. 2015, 6, 1249–1253. [Google Scholar] [CrossRef]
- Reyna, Y.; Salado, M.; Kazim, S.; Perez-Tomas, A.; Ahmad, S.; Lira-Cantu, M. Performance and stability of mixed FAPbI3(0.85)MAPbBr3(0.15) halide perovskite solar cells under outdoor conditions and the effect of low light irradiation. Nano Energy 2016, 30, 570–579. [Google Scholar] [CrossRef]
- Li, Y.; Zhang, T.; Xu, F.; Wang, Y.; Li, G.; Yang, Y.; Zhao, Y. CH3NH3Cl assisted solvent engineering for highly crystallized and large grain size mixed-composition (FAPbI3)0.85(MAPbBr3)0.15 perovskites. Crystals 2017, 7, 272. [Google Scholar] [CrossRef]
- Paek, S.; Qin, P.; Lee, Y.; Cho, K.T.; Gao, P.; Grancini, G.; Nazeeruddin, M.K. Dopant-free hole-transporting materials for stable and efficient perovskite solar cells. Adv. Mater. 2017, 29, 1606555. [Google Scholar] [CrossRef]
- Bencherif, H.; Meddour, F.; Elshorbagy, M.H.; Hossain, M.K.; Cuadrado, A.; Abdi, M.A.; Alda, J. Performance enhancement of (FAPbI3)1-x(MAPbBr3)x perovskite solar cell with an optimized design. Micro Nanostruct. 2022, 171, 207403. [Google Scholar] [CrossRef]
- Miao, Y.-F.; Wang, X.-T.; Zhang, H.-J.; Zhang, T.-Y.; Wei, N.; Liu, X.-M.; Chen, Y.-T.; Chen, J.; Zhao, Y.-X. In situ growth of ultra-thin perovskitoid layer to stabilize and passivate MAPbI3 for efficient and stable photovoltaics. eScience 2021, 1, 91–97. [Google Scholar] [CrossRef]
- Gong, C.; Zhang, C.; Zhuang, Q.-X.; Li, H.-Y.; Yang, H.; Chen, J.-Z.; Zhang, Z.-G. Stabilizing buried interface via synergistic effect of fluorine and sulfonyl functional groups toward efficient and stable perovskite solar cells. Nano-Micro Lett. 2022, 15, 17. [Google Scholar] [CrossRef]
- Wang, S.-L.; Wang, P.-Y.; Chen, B.-B.; Li, R.-J.; Ren, N.-Y.; Li, Y.-C.; Shi, B.; Huang, Q.; Zhao, Y.; Gratzel, M.; et al. Suppressed recombination for monolithic inorganic perovskite/silicon tandem solar cells with an approximate efficiency of 23%. eScience 2022, 2, 339–346. [Google Scholar] [CrossRef]
- Pathak, C.; Pandey, S.K. Design, performance, and defect density analysis of efficient eco-friendly perovskite solar cell. IEEE Trans. Electro. Dev. 2020, 67, 2837–2843. [Google Scholar] [CrossRef]
- Gao, Y.; Wu, Y.; Liu, Y.; Chen, C.; Shen, X.; Bai, X.; Zhang, Y. Improved Interface Charge Extraction by Double Electron Transport Layers for High-Efficient Planar Perovskite Solar Cells. Sol. RRL 2019, 3, 1900314. [Google Scholar] [CrossRef]
- Wang, Y.; Duan, C.; Zhang, X.; Rujisamphan, N.; Liu, Y.; Li, Y.; Ma, W. Dual interfacial engineering enables efficient and reproducible CsPbI2Br all-inorganic perovskite solar cells. ACS Appl. Mater. Inter. 2020, 12, 31659–31666. [Google Scholar] [CrossRef]
- Qiu, W.; Buffiere, M.; Brammertz, G.; Paetzold, U.W.; Froyen, L.; Heremans, P.; Cheyns, D. High efficiency perovskite solar cells using a PCBM/ZnO double electron transport layer and a short air-aging step. Org. Electron. 2015, 26, 30–35. [Google Scholar] [CrossRef]
- Wu, C.; Huang, Z.; He, Y.; Luo, W.; Ting, H.; Li, T.; Xiao, L. TiO2/SnOxCly double layer for highly efficient planar perovskite solar cells. Org. Electron. 2017, 50, 485–490. [Google Scholar] [CrossRef]
- Wang, D.; Wu, C.; Luo, W.; Guo, X.; Qu, B.; Xiao, L.; Chen, Z. ZnO/SnO2 double electron transport layer guides improved open circuit voltage for highly efficient CH3NH3PbI3-based planar perovskite solar cells. ACS Appl. Energy Mater. 2018, 1, 2215–2221. [Google Scholar] [CrossRef]
- Ren, C.; He, Y.; Li, S.; Sun, Q.; Liu, Y.; Wu, Y.; Wu, Y. Double electron transport layers for efficient and stable organic-inorganic hybrid perovskite solar cells. Org. Electron. 2019, 70, 292–299. [Google Scholar] [CrossRef]
- Burgelman, M.; Nollet, P.; Degrave, S. Modelling polycrystalline semiconductor solar cells. Thin Solid Films 2000, 361, 527–532. [Google Scholar] [CrossRef]
- Ren, X.; Wang, Z.; Sha, W.E.; Choy, W.C. Exploring the way to approach the efficiency limit of perovskite solar cells by drift-diffusion model. Acs Photonics 2017, 4, 934–942. [Google Scholar] [CrossRef]
- Benami, A.; Ouslimane, T.; Et-taya, L.; Sohani, A. Comparison of the effects of ZnO and TiO2 on the performance of perovskite solar cells via SCAPS-1D software package. J. Nano-Electron. Phys. 2022, 14, 1033. [Google Scholar] [CrossRef] [PubMed]
- Du, H.J.; Wang, W.C.; Zhu, J.Z. Device simulation of lead-free CH3NH3SnI3 perovskite solar cells with high efficiency. Chin. Phys. B 2016, 25, 108802. [Google Scholar] [CrossRef]
- Hao, F.; Stoumpos, C.C.; Cao, D.H.; Chang, R.P.; Kanatzidis, M.G. Lead-free solid-state organic–inorganic halide perovskite solar cells. Nat. Photon. 2014, 8, 489–494. [Google Scholar] [CrossRef]
- Gamal, N.; Sedky, S.H.; Shaker, A.; Fedawy, M. Design of lead-free perovskite solar cell using Zn1-xMgxO as ETL: SCAPS device simulation. Optik 2021, 242, 167306. [Google Scholar] [CrossRef]
- Lakhdar, N.; Hima, A. Electron transport material effect on performance of perovskite solar cells based on CH3NH3GeI3. Opt. Mater. 2020, 99, 109517. [Google Scholar] [CrossRef]
- Lin, L.; Jiang, L.; Li, P.; Fan, B.; Qiu, Y. A modeled perovskite solar cell structure with a Cu2O hole-transporting layer enabling over 20% efficiency by low-cost low-temperature processing. J. Phys. Chem. Solids 2019, 124, 205–211. [Google Scholar] [CrossRef]
- Abadi, N.M.S.; Banihashemi, M.; Nia, A.K. Effects of HTL/ETL properties on the performance of (FAPbI3)0.85(MAPbBr3)0.15 perovskite solar cells. J. Phys. D Appl. Phys. 2021, 54, 334001. [Google Scholar] [CrossRef]
- Minemoto, T.; Murata, M. Device modeling of perovskite solar cells based on structural similarity with thin film inorganic semiconductor solar cells. J. Appl. Phys. 2014, 116, 054505. [Google Scholar] [CrossRef]
- Elbaz, G.A.; Straus, D.B.; Semonin, O.E.; Hull, T.D.; Paley, D.W.; Kim, P.; Roy, X. Unbalanced hole and electron diffusion in lead bromide perovskites. Nano Lett. 2017, 17, 1727–1732. [Google Scholar] [CrossRef]
- Jeon, N.J.; Noh, J.H.; Yang, W.S.; Kim, Y.C.; Ryu, S.; Seo, J.; Seok, S.I. Compositional engineering of perovskite materials for high-performance solar cells. Nature 2015, 517, 476–480. [Google Scholar] [CrossRef]
- Huang, Y.; Zhang, Y.; Sun, J.; Wang, X.; Sun, J.; Chen, Q.; Zhou, H. The exploration of carrier behavior in the inverted mixed perovskite single-crystal solar cells. Adv. Mater. Interfaces 2018, 5, 1800224. [Google Scholar] [CrossRef]
- Sabbah, H.; Arayro, J.; Mezher, R. Simulation and Investigation of 26% Efficient and Robust Inverted Planar Perovskite Solar Cells Based on GA0. 2FA0. 78SnI3-1% EDAI2 Films. Nanomaterials 2022, 12, 3885. [Google Scholar] [CrossRef]
- Zhao, P.; Lin, Z.; Wang, J.; Yue, M.; Su, J.; Zhang, J.; Hao, Y. Numerical simulation of planar heterojunction perovskite solar cells based on SnO2 electron transport layer. ACS Appl. Energy Mater. 2019, 2, 4504. [Google Scholar] [CrossRef]
- Hima, A.; Lakhdar, N.; Benhaoua, B.; Saadoune, A.; Kemerchou, I.; Rogti, F. An optimized perovskite solar cell designs for high conversion efficiency. Superlattice Microst. 2019, 129, 240–246. [Google Scholar] [CrossRef]
- Sherkar, T.S.; Momblona, C.; Gil-Escrig, L.; Avila, J.; Sessolo, M.; Bolink, H.J. Recombination in perovskite solar cells: Significance of grain boundaries, interface traps, and defect ions. ACS Energy Lett. 2017, 2, 1214–1222. [Google Scholar] [CrossRef]
- Zekry, Z.; Eldallal, G. Effect of ms contact on the electrical behaviour of solar cells. Solid State Electron. 1988, 31, 91–97. [Google Scholar] [CrossRef]
- Haider, S.Z.; Anwar1, H.; Wang, M. A comprehensive device modelling of perovskite solar cell with inorganic copper iodide as hole transport material. Semicond. Sci. Technol. 2018, 33, 035001. [Google Scholar] [CrossRef]
- Tan, K.; Lin, P.; Wang, G.; Liu, Y.; Xu, Z.; Lin, Y. Controllable design of solid-state perovskite solar cells by SCAPS device simulation. Solid-State Electron. 2016, 126, 75–80. [Google Scholar] [CrossRef]
- Adhikari, K.R.; Gurung, S.; Bhattarai, B.K.; Soucase, B.M. Comparative study on MAPbI3 based solar cells using different electron transporting materials. Phys. Status Solidi C 2016, 13, 13–17. [Google Scholar] [CrossRef]
- Karimi, E.; Ghorashi, S.M.B. Simulation of perovskite solar cell with P3HT hole-transporting materials. J. Nanophotonics 2017, 11, 032510. [Google Scholar] [CrossRef]
- Sheikh, A.D.; Munir, R.; Haque, M.A.; Bera, A.; Hu, W.; Shaikh, P.; Wu, T. Effects of high temperature and thermal cycling on the performance of perovskite solar cells: Acceleration of charge recombination and deterioration of charge extraction. ACS Appl. Mater. Interfaces 2017, 9, 35018–35029. [Google Scholar] [CrossRef] [PubMed]
- Devi, N.; Parrey, K.A.; Aziz, A.; Datta, S. Numerical simulations of perovskite thin-film solar cells using a CdS hole blocking layer. J. Vac. Sci. Technol. B 2018, 36, 04G105. [Google Scholar] [CrossRef]
- Chakraborty, K.; Choudhury, M.G.; Paul, S. Numerical study of Cs2TiX6 (X = Br−, I−, F− and Cl−) based perovskite solar cell using SCAPS-1D device simulation. Sol. Energy 2019, 194, 886–892. [Google Scholar] [CrossRef]
- Nakada, T.; Mizutani, M. 18% efficiency Cd-free Cu(In, Ga)Se2 thin-film solar cells fabricated using chemical bath deposition (CBD)-ZnS buffer layers. Jpn. J. Appl. Phys. 2002, 41, L165. [Google Scholar] [CrossRef]
- Chelvanathan, P.; Hossain, M.I.; Amin, N. Performance analysis of copper–indium–gallium–diselenide (CIGS) solar cells with various buffer layers by SCAPS. Curr. Appl. Phys. 2010, 10, S387–S391. [Google Scholar] [CrossRef]
























| Parameters | TiO2 [44,45,46] | ZnO [47,48] | (FAPbI3)0.85(MAPbBr3)0.15 [49] | Spiro-OMeTAD [27,50] |
|---|---|---|---|---|
| Thickness (nm) | -- | -- | 550 | 150 |
| Bandgap Eg (eV) | 3.2 | 3.3 | 1.6 | 3.0 |
| Electron affinity χ (eV) | 4.26 | 4.1 | 4.05 | 2.45 |
| Dielectric permittivity εr | 9.0 | 9.0 | 30 | 3.0 |
| CB effective density of states Nc (cm−3) | 2 × 1018 | 4 × 1018 | 2.2 × 1018 | 2.2 × 1018 |
| VB effective density of states Nv (cm−3) | 1.8 × 1019 | 1 × 1019 | 1.8 × 1019 | 1.8 × 1019 |
| Electron mobility μn (cm2/Vs) | 20 | 100 | 0.1261 | 2 × 10−4 |
| Hole mobility μp (cm2/Vs) | 10 | 25 | 126.9 | 2 × 10−4 |
| Donor concentration ND (cm−3) | 1 × 1016 | 1 × 1018 | 1 × 1013 | 0 |
| Acceptor concentration NA (cm−3) | 0 | 0 | 1 × 1013 | 1 × 1019 |
| Defect density Nt (cm−3) | 1 × 1015 | 1 × 1015 | 2.16 × 1013 | 1 × 1015 |
| Interface Characteristics | TiO2/PSC | PSC/Spiro-OMeTAD |
|---|---|---|
| Defect type | Neutral | Neutral |
| Capture cross section electrons (cm2) | 2 × 10−14 | 2 × 10−14 |
| Capture cross section holes (cm2) | 2 × 10−14 | 2 × 10−14 |
| Energetic distribution | Gaussian | Gaussian |
| Reference for defect energy level Et | Above the highest Ev | Above the highest Ev |
| Energy with respect to Reference (eV) | 0.6 | 0.6 |
| Characteristic energy (eV) | 0.1 | 0.1 |
| Total density (cm−3) | 2 × 1019 | 2 × 1019 |
| Parameters | Voc | Jsc | FF | PCE |
|---|---|---|---|---|
| Device 1 | 12.37% | 47.33% | 34.02% | 69.25% |
| Device 2 | 14.85% | 34.74% | 28.89% | 60.52% |
| Device 3 | 11.47% | 23.10% | 26.60% | 50.57% |
| Structure | Voc | Jsc | FF | PCE |
|---|---|---|---|---|
| Device 1 | 23.83% | 11.90% | 14.48% | 42.66% |
| Device 2 | 11.90% | 7.18% | 8.25% | 25.00% |
| Device 3 | 11.75% | 6.19% | 8.04% | 23.92% |
Disclaimer/Publisher’s Note: The statements, opinions and data contained in all publications are solely those of the individual author(s) and contributor(s) and not of MDPI and/or the editor(s). MDPI and/or the editor(s) disclaim responsibility for any injury to people or property resulting from any ideas, methods, instructions or products referred to in the content. |
© 2023 by the authors. Licensee MDPI, Basel, Switzerland. This article is an open access article distributed under the terms and conditions of the Creative Commons Attribution (CC BY) license (https://creativecommons.org/licenses/by/4.0/).
Share and Cite
Gan, Y.; Qiu, G.; Qin, B.; Bi, X.; Liu, Y.; Nie, G.; Ning, W.; Yang, R. Numerical Analysis of Stable (FAPbI3)0.85(MAPbBr3)0.15-Based Perovskite Solar Cell with TiO2/ZnO Double Electron Layer. Nanomaterials 2023, 13, 1313. https://doi.org/10.3390/nano13081313
Gan Y, Qiu G, Qin B, Bi X, Liu Y, Nie G, Ning W, Yang R. Numerical Analysis of Stable (FAPbI3)0.85(MAPbBr3)0.15-Based Perovskite Solar Cell with TiO2/ZnO Double Electron Layer. Nanomaterials. 2023; 13(8):1313. https://doi.org/10.3390/nano13081313
Chicago/Turabian StyleGan, Yongjin, Guixin Qiu, Binyi Qin, Xueguang Bi, Yucheng Liu, Guochao Nie, Weilian Ning, and Ruizhao Yang. 2023. "Numerical Analysis of Stable (FAPbI3)0.85(MAPbBr3)0.15-Based Perovskite Solar Cell with TiO2/ZnO Double Electron Layer" Nanomaterials 13, no. 8: 1313. https://doi.org/10.3390/nano13081313
APA StyleGan, Y., Qiu, G., Qin, B., Bi, X., Liu, Y., Nie, G., Ning, W., & Yang, R. (2023). Numerical Analysis of Stable (FAPbI3)0.85(MAPbBr3)0.15-Based Perovskite Solar Cell with TiO2/ZnO Double Electron Layer. Nanomaterials, 13(8), 1313. https://doi.org/10.3390/nano13081313

