Strong Electric Polarizability of Cone–Shell Quantum Structures for a Large Stark Shift, Tunable Long Exciton Lifetimes, and a Dot-to-Ring Transformation
Abstract
1. Introduction
2. Experimental Setup
3. Simulation Model
4. Results and Discussion
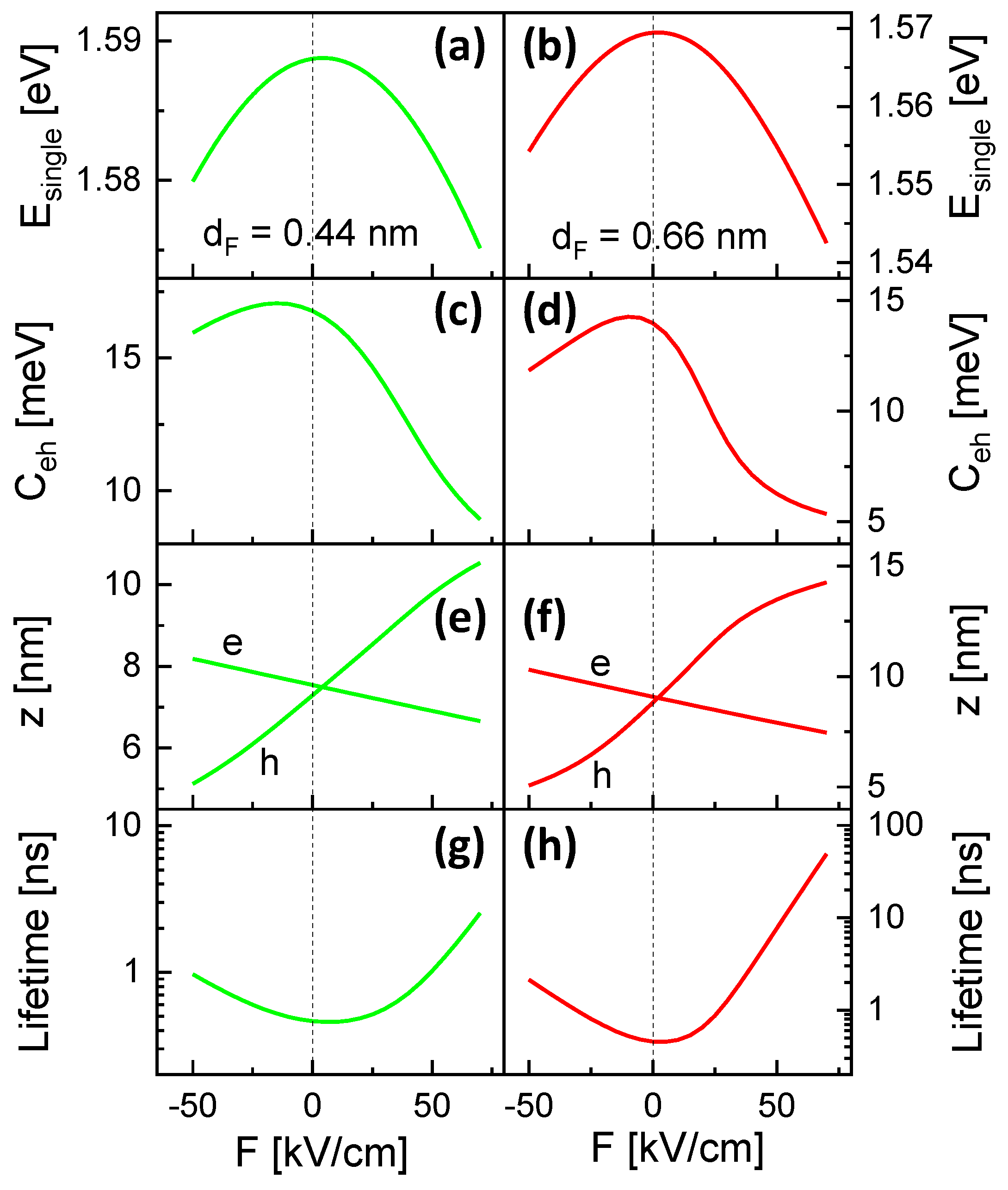
4.1. Stark Shift
4.2. Shape of Cone–Shell Quantum Structures
4.3. Field-Induced Charge–Carrier Separation
4.4. Radiative Lifetime and Quantum Ring Formation
5. Conclusions
Author Contributions
Funding
Data Availability Statement
Acknowledgments
Conflicts of Interest
References
- Mendez, E.; Bastard, G.; Chang, L.; Esaki, L.; Morkoc, H.; Fischer, R. Effect of an electric field on the luminescence of GaAs quantum wells. Phys. Rev. 1982, 26, 7101–7104. [Google Scholar] [CrossRef]
- Miller, D.A.B.; Chemla, D.S.; Damen, T.C.; Gossard, A.C.; Wiegmann, W.; Wood, T.H.; Burrus, C.A. Band-Edge Electroabsorption in Quantum Well Structures: The Quantum-Confined Stark Effect. Phys. Rev. Lett. 1984, 53, 2173–2176. [Google Scholar] [CrossRef]
- Empedocles, S.A.; Bawendi, M.G. Quantum-Confined Stark Effect in Single CdSe Nanocrystallite Quantum Dots. Science 1997, 278, 2114–2117. [Google Scholar] [CrossRef] [PubMed]
- Heller, W.; Bockelmann, U.; Abstreiter, G. Electric-field effects on excitons in quantum dots. Phys. Rev. 1998, 57, 6270–6273. [Google Scholar] [CrossRef]
- Finley, J.J.; Sabathil, M.; Vogl, P.; Abstreiter, G.; Oulton, R.; Tartakovskii, A.I.; Mowbray, D.J.; Skolnick, M.S.; Liew, S.L.; Cullis, A.G.; et al. Quantum-confined Stark shifts of charged exciton complexes in quantum dots. Phys. Rev. 2004, 70, 201308. [Google Scholar] [CrossRef]
- Bennett, A.J.; Patel, R.B.; Joanna, S.S.; Christine, A.N.; David, A.F.; Andrew, J.S. Giant Stark effect in the emission of single semiconductor quantum dots. Appl. Phys. Lett. 2010, 97, 031104. [Google Scholar] [CrossRef]
- Akopian, N.; Wang, L.; Rastelli, A.; Schmidt, O.G.; Zwiller, V. Hybrid semiconductor-atomic interface: Slowing down single photons from a quantum dot. Nat. Photonics 2011, 5, 230–233. [Google Scholar] [CrossRef]
- Keil, R.; Zopf, M.; Chen, Y.; Höfer, B.; Zhang, J.; Ding, F.; Schmidt, O.G. Solid-state ensemble of highly entangled photon sources at rubidium atomic transitions. Nat. Commun. 2017, 8, 15501. [Google Scholar] [CrossRef]
- Heyn, C.; Ranasinghe, L.; Zocher, M.; Hansen, W. Shape-Dependent Stark Shift and Emission-Line Broadening of Quantum Dots and Rings. J. Phys. Chem. 2020, 124, 19809–19816. [Google Scholar] [CrossRef]
- Heyn, C.; Stemmann, A.; Köppen, T.; Strelow, C.; Kipp, T.; Grave, M.; Mendach, S.; Hansen, W. Highly uniform and strain-free GaAs quantum dots fabricated by filling of self-assembled nanoholes. Appl. Phys. Lett. 2009, 94, 183113–183115. [Google Scholar] [CrossRef]
- Heyn, C.; Gräfenstein, A.; Pirard, G.; Ranasinghe, L.; Deneke, K.; Alshaikh, A.; Bester, G.; Hansen, W. Dot-Size Dependent Excitons in Droplet-Etched Cone-Shell GaAs Quantum Dots. Nanomaterials 2022, 12, 2981. [Google Scholar] [CrossRef]
- Graf, A.; Sonnenberg, D.; Paulava, V.; Schliwa, A.; Heyn, C.; Hansen, W. Excitonic states in GaAs quantum dots fabricated by local droplet etching. Phys. Rev. 2014, 89, 115314. [Google Scholar] [CrossRef]
- Bester, G.; Nair, S.; Zunger, A. Pseudopotential calculation of the excitonic fine structure of million-atom self-assembled InGaAs/GaAs quantum dots. Phys. Rev. 2003, 67, 161306. [Google Scholar] [CrossRef]
- Bester, G. Electronic excitations in nanostructures: An empirical pseudopotential based approach. J. Phys. Condens. Matter 2008, 21, 023202. [Google Scholar] [CrossRef]
- Heyn, C.; Küster, A.; Ungeheuer, A.; Gräfenstein, A.; Hansen, W. Excited-state indirect excitons in GaAs quantum dot molecules. Phys. Rev. 2017, 96, 085408. [Google Scholar] [CrossRef]
- Melnik, R.V.N.; Willatzen, M. Bandstructures of conical quantum dots with wetting layers. Nanotechnology 2004, 15, 1. [Google Scholar] [CrossRef]
- Vina, L.; Mendez, E.E.; Wang, W.I.; Chang, L.L.; Esaki, L. Stark shifts in GaAs/GaAlAs quantum wells studied by photoluminescence spectroscopy. J. Phys. Solid State Phys. 1987, 20, 2803. [Google Scholar] [CrossRef]
- Tighineanu, P.; Daveau, R.; Lee, E.H.; Song, J.D.; Stobbe, S.; Lodahl, P. Decay dynamics and exciton localization in large GaAs quantum dots grown by droplet epitaxy. Phys. Rev. 2013, 88, 155320. [Google Scholar] [CrossRef]
- Fomin, V.M. Physics of Quantum Rings; Springer: Berlin/Heidelberg, Germany, 2018. [Google Scholar]
- Aharonov, Y.; Bohm, D. Significance of Electromagnetic Potentials in the Quantum Theory. Phys. Rev. 1959, 115, 485–491. [Google Scholar] [CrossRef]
- Kleemans, N.A.J.M.; Bominaar-Silkens, I.M.A.; Fomin, V.M.; Gladilin, V.N.; Granados, D.; Taboada, A.G.; García, J.M.; Offermans, P.; Zeitler, U.; Christianen, P.C.M.; et al. Oscillatory Persistent Currents in Self-Assembled Quantum Rings. Phys. Rev. Lett. 2007, 99, 146808. [Google Scholar] [CrossRef]
- Garcia, J.M.; Medeiros-Ribeiro, G.; Schmidt, K.; Ngo, T.; Feng, J.L.; Lorke, A.; Kotthaus, J.; Petroff, P.M. Intermixing and shape changes during the formation of InAs self-assembled quantum dots. Appl. Phys. Lett. 1997, 71, 2014–2016. [Google Scholar] [CrossRef]
- Stemmann, A.; Koeppen, T.; Grave, M.; Wildfang, S.; Mendach, S.; Hansen, W.; Heyn, C. Local etching of nanoholes and quantum rings with InxGa1-x droplets. J. Appl. Phys. 2009, 106, 064315–064318. [Google Scholar] [CrossRef]
- Llorens, J.M.; Wewior, L.; Cardozo de Oliveira, E.R.; Ulloa, J.M.; Utrilla, A.D.; Guzmán, A.; Hierro, A.; Alén, B. Type II InAs/GaAsSb quantum dots: Highly tunable exciton geometry and topology. Appl. Phys. Lett. 2015, 107, 183101. [Google Scholar] [CrossRef]






Disclaimer/Publisher’s Note: The statements, opinions and data contained in all publications are solely those of the individual author(s) and contributor(s) and not of MDPI and/or the editor(s). MDPI and/or the editor(s) disclaim responsibility for any injury to people or property resulting from any ideas, methods, instructions or products referred to in the content. |
© 2023 by the authors. Licensee MDPI, Basel, Switzerland. This article is an open access article distributed under the terms and conditions of the Creative Commons Attribution (CC BY) license (https://creativecommons.org/licenses/by/4.0/).
Share and Cite
Heyn, C.; Ranasinghe, L.; Deneke, K.; Alshaikh, A.; Duque, C.A.; Hansen, W. Strong Electric Polarizability of Cone–Shell Quantum Structures for a Large Stark Shift, Tunable Long Exciton Lifetimes, and a Dot-to-Ring Transformation. Nanomaterials 2023, 13, 857. https://doi.org/10.3390/nano13050857
Heyn C, Ranasinghe L, Deneke K, Alshaikh A, Duque CA, Hansen W. Strong Electric Polarizability of Cone–Shell Quantum Structures for a Large Stark Shift, Tunable Long Exciton Lifetimes, and a Dot-to-Ring Transformation. Nanomaterials. 2023; 13(5):857. https://doi.org/10.3390/nano13050857
Chicago/Turabian StyleHeyn, Christian, Leonardo Ranasinghe, Kristian Deneke, Ahmed Alshaikh, Carlos A. Duque, and Wolfgang Hansen. 2023. "Strong Electric Polarizability of Cone–Shell Quantum Structures for a Large Stark Shift, Tunable Long Exciton Lifetimes, and a Dot-to-Ring Transformation" Nanomaterials 13, no. 5: 857. https://doi.org/10.3390/nano13050857
APA StyleHeyn, C., Ranasinghe, L., Deneke, K., Alshaikh, A., Duque, C. A., & Hansen, W. (2023). Strong Electric Polarizability of Cone–Shell Quantum Structures for a Large Stark Shift, Tunable Long Exciton Lifetimes, and a Dot-to-Ring Transformation. Nanomaterials, 13(5), 857. https://doi.org/10.3390/nano13050857

