Temperature-Enhanced Exciton Emission from GaAs Cone–Shell Quantum Dots
Abstract
:1. Introduction
2. Experimental Setup
3. Experimental Results
3.1. Power Dependence at Low Temperature
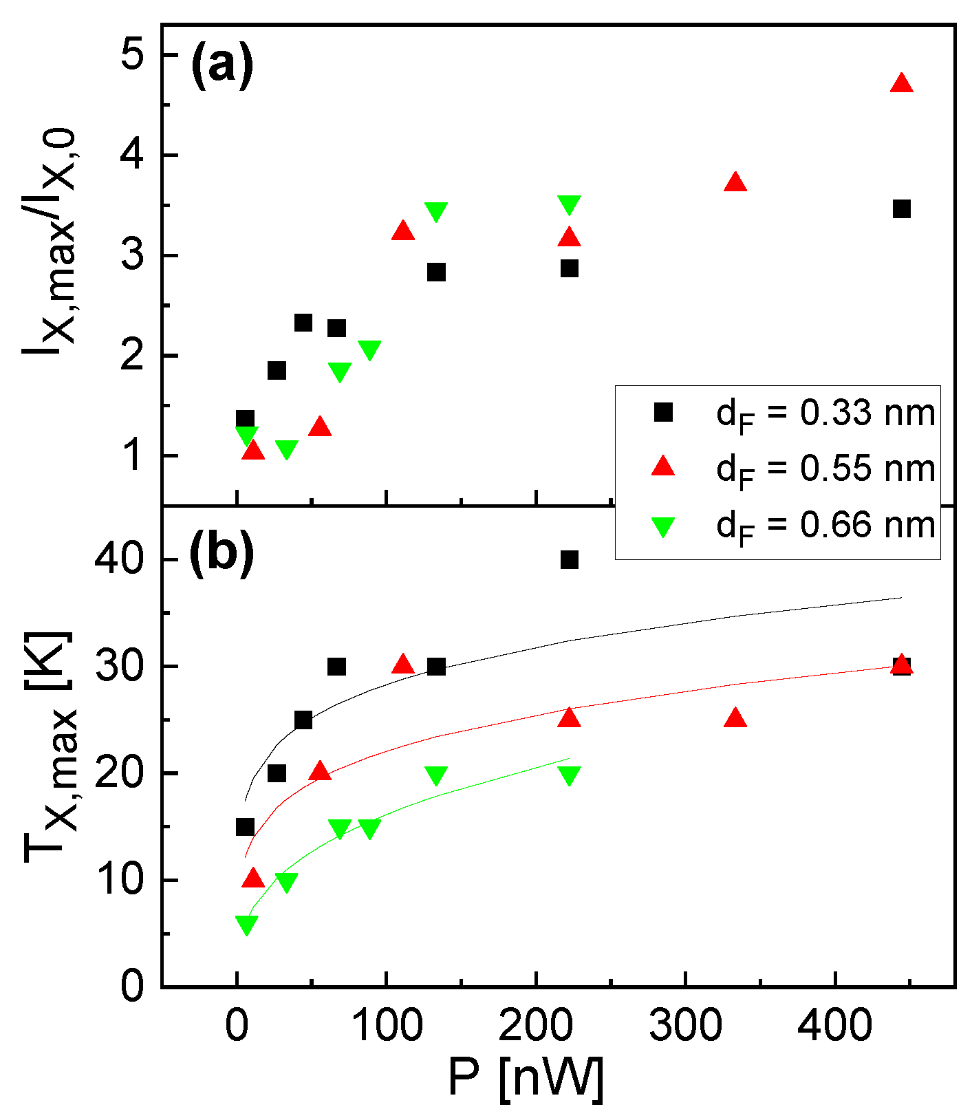
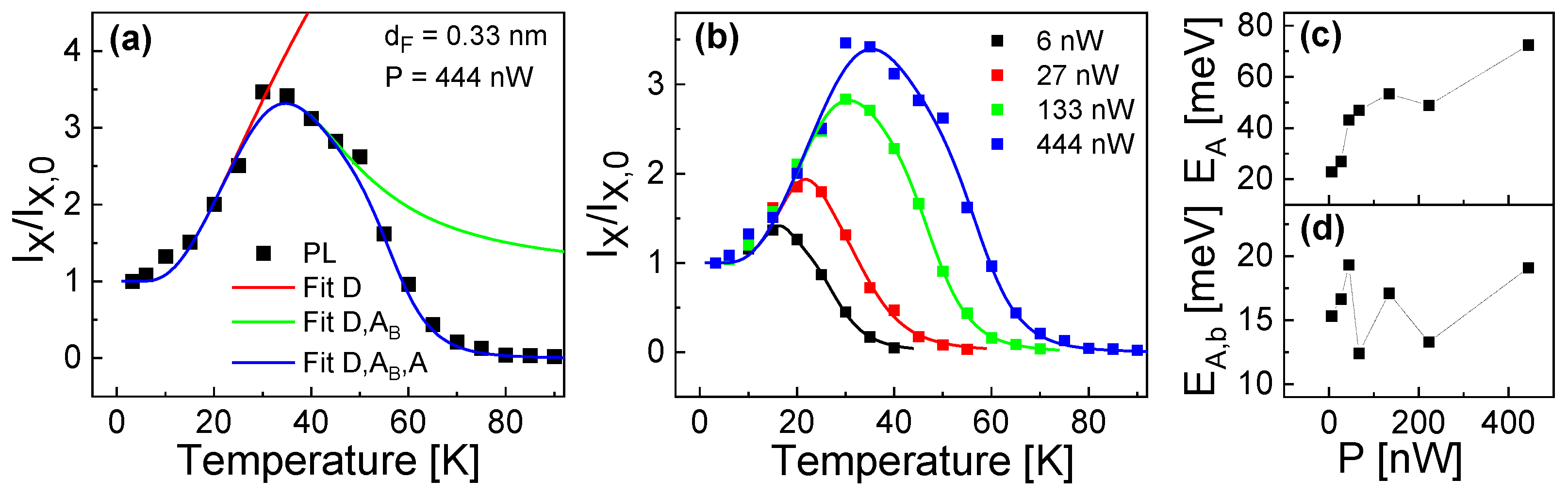
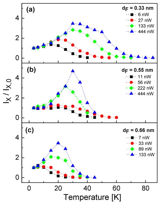
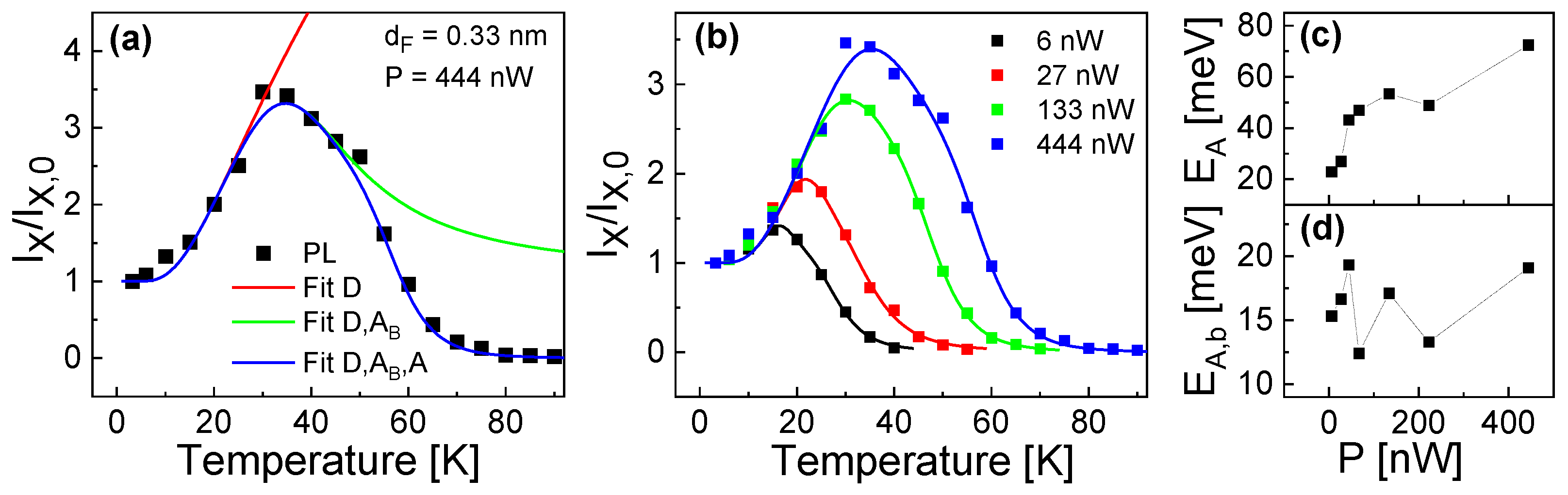
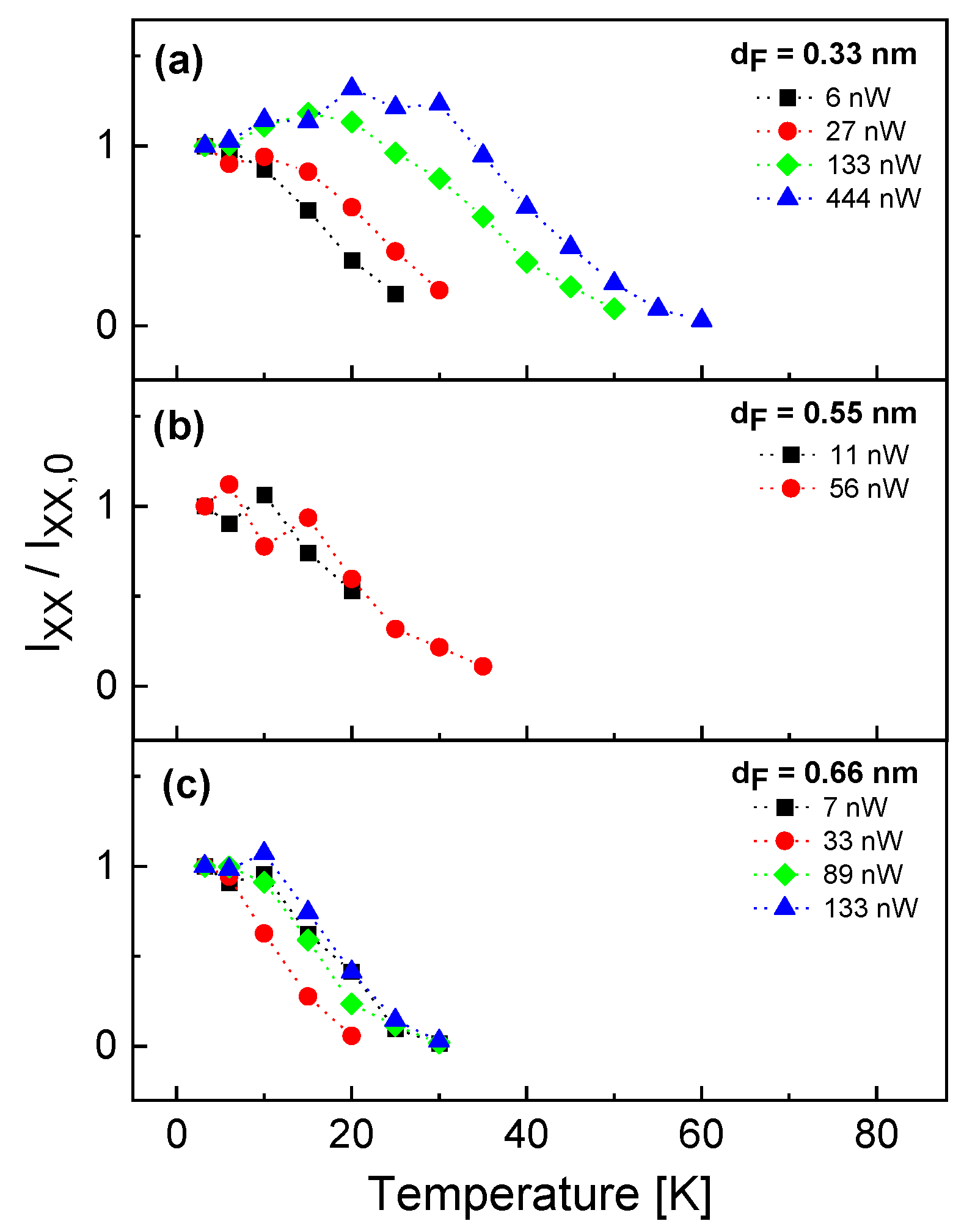
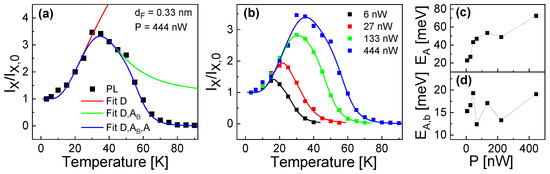
3.2. Temperature and Power Dependence
4. Model
4.1. QD Peak Intensities
4.2. Exciton Generation
4.3. Exciton Annihilation
5. Model Results
5.1. Power Dependence at Low T
5.2. Temperature and Power Dependence
6. Discussion and Conclusions
Author Contributions
Funding
Data Availability Statement
Acknowledgments
Conflicts of Interest
References
- Vasconcellos, S.M.d.; Gordon, S.; Bichler, M.; Meier, T.; Zrenner, A. Coherent control of a single exciton qubit by optoelectronic manipulation. Nat. Photonics 2010, 4, 545–548. [Google Scholar] [CrossRef]
- Somaschi, N.; Giesz, V.; Santis, L.D.; Loredo, J.C.; Almeida, M.P.; Hornecker, G.; Portalupi, S.L.; Grange, T.; Antón, C.; Demory, J.; et al. Near-optimal single-photon sources in the solid state. Nat. Photonics 2016, 10, 340–345. [Google Scholar] [CrossRef]
- Keil, R.; Zopf, M.; Chen, Y.; Höfer, B.; Zhang, J.; Ding, F.; Schmidt, O.G. Solid-state ensemble of highly entangled photon sources at rubidium atomic transitions. Nat. Commun. 2017, 8, 15501. [Google Scholar] [CrossRef] [PubMed]
- Huber, D.; Reindl, M.; Huo, Y.; Huang, H.; Wildmann, J.S.; Schmidt, O.G.; Rastelli, A.; Trotta, R. Highly indistinguishable and strongly entangled photons from symmetric GaAs quantum dots. Nat. Commun. 2017, 8, 15506. [Google Scholar] [CrossRef] [PubMed]
- Arakawa, Y.; Holmes, M.J. Progress in quantum-dot single photon sources for quantum information technologies: A broad spectrum overview. Appl. Phys. Rev. 2020, 7, 021309. [Google Scholar] [CrossRef]
- Lodahl, P.; Ludwig, A.; Warburton, R.J. A deterministic source of single photons. Phys. Today 2022, 75, 44–50. [Google Scholar] [CrossRef]
- Besombes, L.; Kheng, K.; Marsal, L.; Mariette, H. Acoustic phonon broadening mechanism in single quantum dot emission. Phys. Rev. B 2001, 63, 155307. [Google Scholar] [CrossRef]
- Abbarchi, M.; Gurioli, M.; Vinattieri, A.; Sanguinetti, S.; Bonfanti, M.; Mano, T.; Watanabe, K.; Kuroda, T.; Koguchi, N. Phonon sideband recombination kinetics in single quantum dots. J. Appl. Phys. 2008, 104, 023504. [Google Scholar] [CrossRef]
- Denning, E.V.; Iles-Smith, J.; Gregersen, N.; Mork, J. Phonon effects in quantum dot single-photon sources. Opt. Mater. Express 2020, 10, 222–239. [Google Scholar] [CrossRef]
- Abbarchi, M.; Mano, T.; Kuroda, T.; Sakoda, K. Exciton Dynamics in Droplet Epitaxial Quantum Dots Grown on (311)A-Oriented Substrates. Nanomaterials 2020, 10, 1833. [Google Scholar] [CrossRef]
- Wigger, D.; Karakhanyan, V.; Schneider, C.; Kamp, M.; Höfling, S.; Machnikowski, P.; Kuhn, T.; Kasprzak, J. Acoustic phonon sideband dynamics during polaron formation in a single quantum dot. Opt. Lett. 2020, 45, 919–922. [Google Scholar] [CrossRef] [PubMed]
- Jing, P.; Zheng, J.; Ikezawa, M.; Liu, X.; Lv, S.; Kong, X.; Zhao, J.; Masumoto, Y. Temperature-Dependent Photoluminescence of CdSe-Core CdS/CdZnS/ZnS-Multishell Quantum Dots. J. Phys. Chem. C 2009, 113, 13545–13550. [Google Scholar] [CrossRef]
- Tighineanu, P.; Daveau, R.; Lee, E.H.; Song, J.D.; Stobbe, S.; Lodahl, P. Decay dynamics and exciton localization in large GaAs quantum dots grown by droplet epitaxy. Phys. Rev. B 2013, 88, 155320. [Google Scholar] [CrossRef]
- Jagtap, A.M.; Khatei, J.; Rao, K.S.R.K. Exciton–phonon scattering and nonradiative relaxation of excited carriers in hydrothermally synthesized CdTe quantum dots. Phys. Chem. Chem. Phys. 2015, 17, 27579–27587. [Google Scholar] [CrossRef]
- Schlehahn, A.; Krüger, L.; Gschrey, M.; Schulze, J.H.; Rodt, S.; Strittmatter, A.; Heindel, T.; Reitzenstein, S. Operating single quantum emitters with a compact Stirling cryocooler. Rev. Sci. Instruments 2015, 86, 013113. [Google Scholar] [CrossRef]
- Yuan, Q.; Liang, B.; Zhou, C.; Wang, Y.; Guo, Y.; Wang, S.; Fu, G.; Mazur, Y.I.; Ware, M.E.; Salamo, G.J. Interplay Effect of Temperature and Excitation Intensity on the Photoluminescence Characteristics of InGaAs/GaAs Surface Quantum Dots. Nanoscale Res. Lett. 2018, 13, 387. [Google Scholar] [CrossRef]
- Abiedh, K.; Zaaboub, Z.; Hassen, F.; David, T.; Sfaxi, L.; Maaref, H. Experimental and theoretical study of thermally activated carrier transfer in InAs/GaAs multilayer quantum dots. Appl. Phys. A 2020, 126, 491. [Google Scholar] [CrossRef]
- Ranasinghe, L.; Heyn, C.; Deneke, K.; Zocher, M.; Korneev, R.; Hansen, W. Luminescence from Droplet-Etched GaAs Quantum Dots at and Close to Room Temperature. Nanomaterials 2021, 11, 690. [Google Scholar] [CrossRef]
- Heyn, C.; Gräfenstein, A.; Pirard, G.; Ranasinghe, L.; Deneke, K.; Alshaikh, A.; Bester, G.; Hansen, W. Dot-Size Dependent Excitons in Droplet-Etched Cone-Shell GaAs Quantum Dots. Nanomaterials 2022, 12, 2981. [Google Scholar] [CrossRef]
- Wang, Z.M.; Liang, B.L.; Sablon, K.A.; Salamo, G.J. Nanoholes fabricated by self-assembled gallium nanodrill on GaAs(100). Appl. Phys. Lett. 2007, 90, 113120–113122. [Google Scholar] [CrossRef]
- Heyn, C.; Stemmann, A.; Köppen, T.; Strelow, C.; Kipp, T.; Grave, M.; Mendach, S.; Hansen, W. Highly uniform and strain-free GaAs quantum dots fabricated by filling of self-assembled nanoholes. Appl. Phys. Lett. 2009, 94, 183113–183115. [Google Scholar] [CrossRef]
- Küster, A.; Heyn, C.; Ungeheuer, A.; Juska, G.; Tommaso Moroni, S.; Pelucchi, E.; Hansen, W. Droplet etching of deep nanoholes for filling with self-aligned complex quantum structures. Nanoscale Res. Lett. 2016, 11, 282. [Google Scholar] [CrossRef]
- Heyn, C.; Ranasinghe, L.; Deneke, K.; Alshaikh, A.; Duque, C.A.; Hansen, W. Strong Electric Polarizability of Cone–Shell Quantum Structures for a Large Stark Shift, Tunable Long Exciton Lifetimes, and a Dot-to-Ring Transformation. Nanomaterials 2023, 13, 857. [Google Scholar] [CrossRef]
- Aspnes, D.E.; Kelso, S.M.; Logan, R.A.; Bhat, R. Optical properties of AlGaAs. J. Appl. Phys. 1986, 60, 754–767. [Google Scholar] [CrossRef]
- Jiang, D.S.; Jung, H.; Ploog, K. Temperature dependence of photoluminescence from GaAs single and multiple quantum-well heterostructures grown by molecular-beam epitaxy. J. Appl. Phys. 1988, 64, 1371–1377. [Google Scholar] [CrossRef]
- Efros, A.L.; Nesbitt, D.J. Origin and control of blinking in quantum dots. Nat. Nanotechnol. 2016, 11, 661–671. [Google Scholar] [CrossRef]







Disclaimer/Publisher’s Note: The statements, opinions and data contained in all publications are solely those of the individual author(s) and contributor(s) and not of MDPI and/or the editor(s). MDPI and/or the editor(s) disclaim responsibility for any injury to people or property resulting from any ideas, methods, instructions or products referred to in the content. |
© 2023 by the authors. Licensee MDPI, Basel, Switzerland. This article is an open access article distributed under the terms and conditions of the Creative Commons Attribution (CC BY) license (https://creativecommons.org/licenses/by/4.0/).
Share and Cite
Heyn, C.; Ranasinghe, L.; Deneke, K.; Alshaikh, A.; Blick, R.H. Temperature-Enhanced Exciton Emission from GaAs Cone–Shell Quantum Dots. Nanomaterials 2023, 13, 3121. https://doi.org/10.3390/nano13243121
Heyn C, Ranasinghe L, Deneke K, Alshaikh A, Blick RH. Temperature-Enhanced Exciton Emission from GaAs Cone–Shell Quantum Dots. Nanomaterials. 2023; 13(24):3121. https://doi.org/10.3390/nano13243121
Chicago/Turabian StyleHeyn, Christian, Leonardo Ranasinghe, Kristian Deneke, Ahmed Alshaikh, and Robert H. Blick. 2023. "Temperature-Enhanced Exciton Emission from GaAs Cone–Shell Quantum Dots" Nanomaterials 13, no. 24: 3121. https://doi.org/10.3390/nano13243121
APA StyleHeyn, C., Ranasinghe, L., Deneke, K., Alshaikh, A., & Blick, R. H. (2023). Temperature-Enhanced Exciton Emission from GaAs Cone–Shell Quantum Dots. Nanomaterials, 13(24), 3121. https://doi.org/10.3390/nano13243121

