Mechanochemical Synthesis of Sustainable Ternary and Quaternary Nanostructured Cu2SnS3, Cu2ZnSnS4, and Cu2ZnSnSe4 Chalcogenides for Thermoelectric Applications
Abstract
1. Introduction
2. Structure and Nature of Disorder
Role of Disorder
3. Electronic Properties
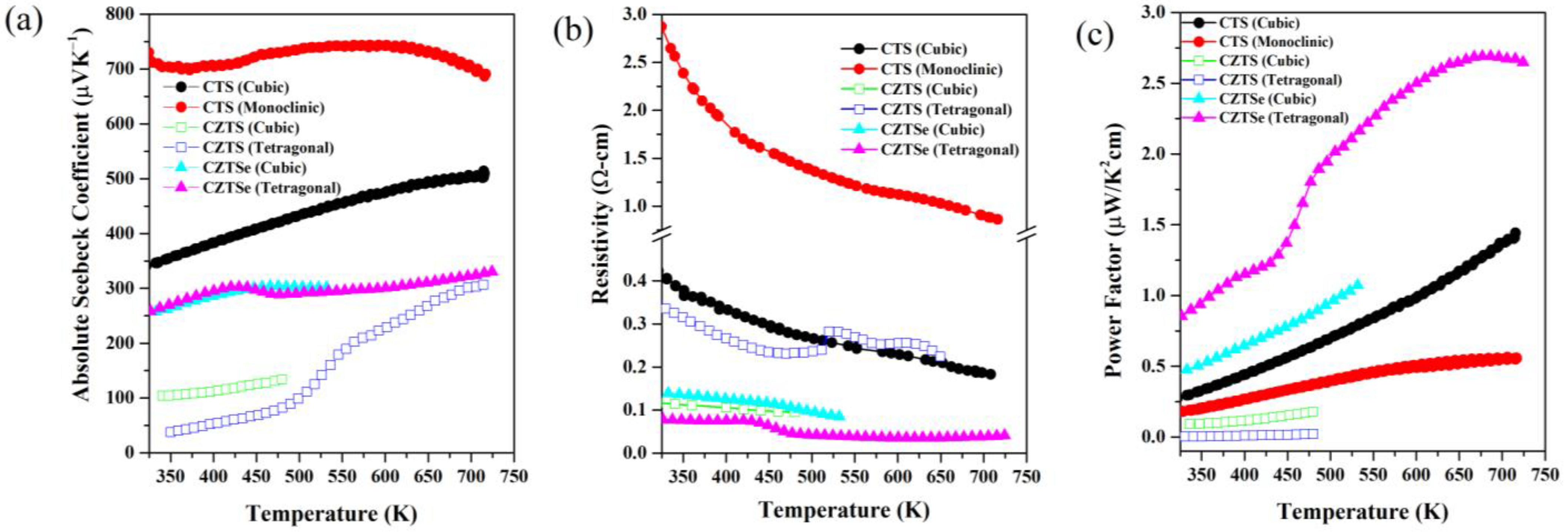
3.1. Seebeck Coefficient, Resistivity, and Power Factor
3.2. The Role of Electronic Structure
4. Thermal Conductivity
5. Grain Size Effect on the Transport Properties
6. Conclusions
7. Materials and Methods
Supplementary Materials
Author Contributions
Funding
Data Availability Statement
Acknowledgments
Conflicts of Interest
References
- Mao, J.; Liu, Z.; Zhou, J.; Zhu, H.; Zhang, Q.; Chen, G.; Ren, Z. Advances in Thermoelectrics. Adv. Phys. 2018, 67, 69–147. [Google Scholar] [CrossRef]
- Beretta, D.; Neophytou, N.; Hodges, J.M.; Kanatzidis, M.G.; Narducci, D.; Martin-Gonzalez, M.; Beekman, M.; Balke, B.; Cerretti, G.; Tremel, W.; et al. Thermoelectrics: From History, a Window to the Future. Mater. Sci. Eng. R Rep. 2018, 138, 210–255. [Google Scholar] [CrossRef]
- Narducci, D. Thermoelectric Harvesters and the Internet of Things: Technological and Economic Drivers. J. Phys. Energy 2019, 1, 024001. [Google Scholar] [CrossRef]
- Ioffe, A.F. Semiconductor Thermoelectrics and Thermoelectric Cooling; Infosearch Ltd.: London, UK, 1957. [Google Scholar]
- Snyder, G.J.; Toberer, E.S. Complex Thermoelectric Materials. Nat. Mater. 2008, 7, 105–114. [Google Scholar] [CrossRef]
- Shi, X.; Yang, J.; Salvador, J.R.; Chi, M.; Cho, J.Y.; Wang, H.; Bai, S.; Yang, J.; Zhang, W.; Chen, L. Multiple-Filled Skutterudites: High Thermoelectric Figure of Merit through Separately Optimizing Electrical and Thermal Transports. J. Am. Chem. Soc. 2011, 133, 7837–7846. [Google Scholar] [CrossRef]
- Zhao, L.D.; Lo, S.H.; Zhang, Y.; Sun, H.; Tan, G.; Uher, C.; Wolverton, C.; Dravid, V.P.; Kanatzidis, M.G. Ultralow Thermal Conductivity and High Thermoelectric Figure of Merit in SnSe Crystals. Nature 2014, 508, 373–377. [Google Scholar] [CrossRef]
- Nielsen, M.D.; Ozolins, V.; Heremans, J.P. Lone Pair Electrons Minimize Lattice Thermal Conductivity. Energy Environ. Sci. 2013, 6, 570–578. [Google Scholar] [CrossRef]
- Lohani, K.; Isotta, E.; Ataollahi, N.; Fanciulli, C.; Chiappini, A.; Scardi, P. Ultra-Low Thermal Conductivity and Improved Thermoelectric Performance in Disordered Nanostructured Copper Tin Sulphide (Cu2SnS3, CTS). J. Alloys Compd. 2020, 830, 154604. [Google Scholar] [CrossRef]
- Biswas, K.; He, J.; Blum, I.D.; Wu, C.I.; Hogan, T.P.; Seidman, D.N.; Dravid, V.P.; Kanatzidis, M.G. High-Performance Bulk Thermoelectrics with All-Scale Hierarchical Architectures. Nature 2012, 489, 414–418. [Google Scholar] [CrossRef]
- Zhao, X.; Zhu, X.H.; Zhang, R.Z. Evaluation of Energy Filtering Effect from First Principles Calculations. Phys. Status Solidi Appl. Mater. Sci. 2016, 213, 3250–3253. [Google Scholar] [CrossRef]
- Abdel-Motaleb, I.M.; Qadri, S.M. Thermoelectric Devices: Principles and Future Trends. arXiv 2017, arXiv:1704.07742. [Google Scholar]
- Syafiq, U.; Isotta, E.; Ataollahi, N.; Lohani, K.; Luong, S.; Trifiletti, V.; Fenwick, O.; Scardi, P. Facile and Low-Cost Fabrication of Cu/Zn/Sn-Based Ternary and Quaternary Chalcogenides Thermoelectric Generators. ACS Appl. Energy Mater. 2022, 5, 5909–5918. [Google Scholar] [CrossRef]
- Isotta, E.; Andrade-Arvizu, J.; Syafiq, U.; Jiménez-Arguijo, A.; Navarro-Güell, A.; Guc, M.; Saucedo, E.; Scardi, P. Towards Low Cost and Sustainable Thin Film Thermoelectric Devices Based on Quaternary Chalcogenides. Adv. Funct. Mater. 2022, 32, 2202157. [Google Scholar] [CrossRef]
- Fiss, B.G.; Richard, A.J.; Douglas, G.; Kojic, M.; Friščić, T.; Moores, A. Mechanochemical Methods for the Transfer of Electrons and Exchange of Ions: Inorganic Reactivity from Nanoparticles to Organometallics. Chem. Soc. Rev. 2021, 50, 8279–8318. [Google Scholar] [CrossRef]
- Malagutti, M.A.; de Fátima Ulbrich, K.; Winiarski, J.P.; Paes, V.Z.C.; Geshev, J.; Jost, C.L.; Maduro de Campos, C.E. Mechanochemical Synthesis of γ-CoTe2 Nanocrystals and Their Application for Determination of Ferulic Acid. Mater. Today Commun. 2022, 31, 103481. [Google Scholar] [CrossRef]
- Malagutti, M.A.; Paes, V.Z.C.; Geshev, J.; De Campos, C.E.M. Polymorphism of the Co—Te Nanophases in Mechanochemical Synthesis. RSC Adv. 2022, 12, 33488–33500. [Google Scholar] [CrossRef]
- Moores, A. Bottom up, Solid-Phase Syntheses of Inorganic Nanomaterials by Mechanochemistry and Aging. Curr. Opin. Green Sustain. Chem. 2018, 12, 33–37. [Google Scholar] [CrossRef]
- Isotta, E.; Pugno, N.M.; Scardi, P. Nanostructured Kesterite (Cu2ZnSnS4) for Applications in Thermoelectric Devices. Powder Diffr. 2019, 34, S42–S47. [Google Scholar] [CrossRef]
- Mukherjee, B.; Isotta, E.; Malagutti, M.A.; Lohani, K.; Rebuffi, L.; Fanciulli, C.; Scardi, P. Thermoelectric Performance in Disordered Cu2ZnSnSe4 Nanostructures Driven by Ultra-Low Thermal Conductivity. J. Alloys Compd. 2023, 933, 167756. [Google Scholar] [CrossRef]
- Jathar, S.B.; Rondiya, S.R.; Jadhav, Y.A.; Nilegave, D.S.; Cross, R.W.; Barma, S.V.; Nasane, M.P.; Gaware, S.A.; Bade, B.R.; Jadkar, S.R.; et al. Ternary Cu2SnS3: Synthesis, Structure, Photoelectrochemical Activity, and Heterojunction Band Offset and Alignment. Chem. Mater. 2021, 33, 1983–1993. [Google Scholar] [CrossRef]
- Lokhande, A.C.; Yadav, A.A.; Lee, J.Y.; He, M.; Patil, S.J.; Lokhande, V.C.; Lokhande, C.D.; Kim, J.H. Room Temperature Liquefied Petroleum Gas Sensing Using Cu2SnS3/CdS Heterojunction. J. Alloys Compd. 2017, 709, 92–103. [Google Scholar] [CrossRef]
- Mathur, A.S.; Upadhyay, S.; Singh, P.P.; Sharma, B.; Arora, P.; Rajput, V.K.; Kumar, P.; Singh, D.; Singh, B.P. Role of Defect Density in Absorber Layer of Ternary Chalcogenide Cu2SnS3 Solar Cell. Opt. Mater. 2021, 119, 111314. [Google Scholar] [CrossRef]
- Tan, Q.; Sun, W.; Li, Z.; Li, J.F. Enhanced Thermoelectric Properties of Earth-Abundant Cu2SnS3 via in Doping Effect. J. Alloys Compd. 2016, 672, 558–563. [Google Scholar] [CrossRef]
- Shen, Y.; Li, C.; Huang, R.; Tian, R.; Ye, Y.; Pan, L.; Koumoto, K.; Zhang, R.; Wan, C.; Wang, Y. Eco-Friendly p-Type Cu2SnS3 Thermoelectric Material: Crystal Structure and Transport Properties. Sci. Rep. 2016, 6, 32501. [Google Scholar] [CrossRef]
- Zhao, H.; Xu, X.; Li, C.; Tian, R.; Zhang, R.; Huang, R.; Lyu, Y.; Li, D.; Hu, X.; Pan, L.; et al. Cobalt-Doping in Cu2SnS3: Enhanced Thermoelectric Performance by Synergy of Phase Transition and Band Structure Modification. J. Mater. Chem. 2017, 5, 23267–23275. [Google Scholar] [CrossRef]
- Deng, T.; Qiu, P.; Song, Q.; Chen, H.; Wei, T.R.; Xi, L.; Shi, X.; Chen, L. Thermoelectric Properties of Non-Stoichiometric Cu2+xSn1−xS3 Compounds. J. Appl. Phys. 2019, 126, 085111. [Google Scholar] [CrossRef]
- Xu, X.; Zhao, H.; Hu, X.; Pan, L.; Chen, C.; Li, D.; Wang, Y. Synergistic Role of Ni-Doping in Electrical and Phonon Transport Properties of Cu2Sn1−xNixS3. J. Alloys Compd. 2017, 728, 701–708. [Google Scholar] [CrossRef]
- Zhao, L.; Chen, C.; Pan, L.; Hu, X.; Lu, C.; Wang, Y. Magnetic Iron Doping in Cu2SnS3 Ceramics for Enhanced Thermoelectric Transport Properties. J. Appl. Phys. 2019, 125, 095107. [Google Scholar] [CrossRef]
- Zhang, Z.; Zhao, H.; Wang, Y.; Hu, X.; Lyu, Y.; Cheng, C.; Pan, L.; Lu, C. Role of Crystal Transformation on the Enhanced Thermoelectric Performance in Mn-Doped Cu2SnS3. J. Alloys Compd. 2019, 780, 618–625. [Google Scholar] [CrossRef]
- Wei, Y.; Zhou, Z.; Jiang, P.; Zheng, S.; Xiong, Q.; Zhang, B.; Wang, G.; Lu, X.; Han, G.; Zhou, X. Phase Composition Manipulation and Twin Boundary Engineering Lead to Enhanced Thermoelectric Performance of Cu2SnS3. ACS Appl. Energy Mater. 2021, 4, 9240–9247. [Google Scholar] [CrossRef]
- Zhao, Y.; Gu, Y.; Zhang, P.; Hu, X.; Wang, Y.; Zong, P.; Pan, L.; Lyu, Y.; Koumoto, K. Enhanced Thermoelectric Performance in Polymorphic Heavily Co-Doped Cu2SnS3 through Carrier Compensation by Sb Substitution. Sci. Technol. Adv. Mater. 2021, 22, 363–372. [Google Scholar] [CrossRef]
- Gu, Y.; Ai, W.; Zhao, Y.; Pan, L.; Lu, C.; Zong, P.; Hu, X.; Xu, Z.; Wang, Y. Remarkable Thermoelectric Property Enhancement in Cu2SnS3-CuCo2S4 nanocompositesvia3D Modulation Doping. J. Mater. Chem. 2021, 9, 16928–16935. [Google Scholar] [CrossRef]
- Lohani, K.; Nautiyal, H.; Ataollahi, N.; Fanciulli, C.; Sergueev, I.; Etter, M.; Scardi, P. Experimental and Ab Initio Study of Cu2SnS3 (CTS) Polymorphs for Thermoelectric Applications. J. Phys. Chem. 2021, 125, 178–188. [Google Scholar] [CrossRef]
- Lohani, K.; Nautiyal, H.; Ataollahi, N.; Maji, K.; Guilmeau, E.; Scardi, P. Effects of Grain Size on the Thermoelectric Properties of Cu2SnS3: An Experimental and First-Principles Study. ACS Appl. Energy Mater. 2021, 4, 12604–12612. [Google Scholar] [CrossRef]
- Siyar, M.; Cho, J.Y.; Youn, Y.; Han, S.; Kim, M.; Bae, S.H.; Park, C. Effect of Annealing Temperature on the Phase Transition, Band Gap and Thermoelectric Properties of Cu2SnSe3. J. Mater. Chem. 2018, 6, 1780–1788. [Google Scholar] [CrossRef]
- Ataollahi, N.; Bazerla, F.; Malerba, C.; Chiappini, A.; Ferrari, M.; Di Maggio, R.; Scardi, P. Synthesis and Post-Annealing of Cu2ZnSnS4 Absorber Layers Based on Oleylamine/1-Dodecanethiol. Materials 2019, 12, 3320. [Google Scholar] [CrossRef]
- Ahmoum, H.; Sukor Su’ait, M.; Ataollahi, N.; Ubaidah Syafiq Mustaffa, M.; Boughrara, M.; Chelvanathan, P.; Sopian, K.; Li, G.; Kerouad, M.; Scardi, P.; et al. Suppressing the Secondary Phases via N2 Preheating of Cu2ZnSnS4 Thin Films with the Addition of Oleylamine and/or 1-Dodecanethiol Solvents. Inorg. Chem. Commun. 2021, 134, 109031. [Google Scholar] [CrossRef]
- Syafiq, U.; Ataollahi, N.; Scardi, P. Progress in CZTS as Hole Transport Layer in Perovskite Solar Cell. Sol. Energy 2020, 196, 399–408. [Google Scholar] [CrossRef]
- Liu, M.L.; Huang, F.Q.; Chen, L.D.; Chen, I.W. A Wide-Band-Gap p-Type Thermoelectric Material Based on Quaternary Chalcogenides of Cu2ZnSnQ4 (Q = S,Se). Appl. Phys. Lett. 2009, 94, 3–6. [Google Scholar] [CrossRef]
- Yang, H.; Jauregui, L.A.; Zhang, G.; Chen, Y.P.; Wu, Y. Nontoxic and Abundant Copper Zinc Tin Sulfide Nanocrystals for Potential High-Temperature Thermoelectric Energy Harvesting. Nano Lett. 2012, 12, 540–545. [Google Scholar] [CrossRef]
- Jiang, Q.; Yan, H.; Lin, Y.; Shen, Y.; Yang, J.; Reece, M.J. Colossal Thermoelectric Enhancement in Cu2+xZn1−xSnS4 solid Solution by Local Disordering of Crystal Lattice and Multi-Scale Defect Engineering. J. Mater. Chem. 2020, 8, 10909–10916. [Google Scholar] [CrossRef]
- Dong, Y.; Wang, H.; Nolas, G.S. Synthesis and Thermoelectric Properties of Cu Excess Cu2ZnSnSe4. Phys. Status Solidi—Rapid Res. Lett. 2014, 8, 61–64. [Google Scholar] [CrossRef]
- Raju, C.; Falmbigl, M.; Rogl, P.; Yan, X.; Bauer, E.; Horky, J.; Zehetbauer, M.; Chandra Mallik, R. Thermoelectric Properties of Chalcogenide Based Cu2xZnSn1-xSe4. AIP Adv. 2013, 3, 032106. [Google Scholar] [CrossRef]
- Li, Z.; Zhang, W.; Gu, B.; Zhao, C.; Ye, B.; Xiao, C.; Xie, Y. Vacancy Cluster-Induced Local Disordered Structure for the Enhancement of Thermoelectric Property in Cu2ZnSnSe4. J. Mater. Chem. 2021, 9, 1006–1013. [Google Scholar] [CrossRef]
- Nagaoka, A.; Yoshino, K.; Masuda, T.; Sparks, T.D.; Scarpulla, M.A.; Nishioka, K. Environmentally Friendly Thermoelectric Sulphide Cu2ZnSnS4 single Crystals Achieving a 1.6 Dimensionless Figure of MeritZT. J. Mater. Chem. 2021, 9, 15595–15604. [Google Scholar] [CrossRef]
- Mehmood, F.; Wang, H.; Su, W.; Khan, M.; Huo, T.; Chen, T.; Chebanova, G.; Romanenko, A.; Wang, C. Enhanced Power Factor and Figure of Merit of Cu2ZnSnSe4-Based Thermoelectric Composites by Ag Alloying. Inorg. Chem. 2021, 963, 3452–3459. [Google Scholar] [CrossRef]
- Xiao, C.; Li, K.; Zhang, J.; Tong, W.; Liu, Y.; Li, Z.; Huang, P.; Pan, B.; Su, H.; Xie, Y. Magnetic Ions in Wide Band Gap Semiconductor Nanocrystals for Optimized Thermoelectric Properties. Mater. Horiz. 2014, 1, 81–86. [Google Scholar] [CrossRef]
- Wei, K.; Beauchemin, L.; Wang, H.; Porter, W.D.; Martin, J.; Nolas, G.S. Enhanced Thermoelectric Properties of Cu2ZnSnSe4 with Ga-Doping. J. Alloys Compd. 2015, 650, 844–847. [Google Scholar] [CrossRef]
- Isotta, E.; Fanciulli, C.; Pugno, N.M.; Scardi, P. Effect of the Order-Disorder Transition on the Seebeck Coefficient of Nanostructured Thermoelectric Cu2ZnSnS4. Nanomaterials 2019, 9, 762. [Google Scholar] [CrossRef]
- Isotta, E.; Mukherjee, B.; Fanciulli, C.; Pugno, N.M.; Scardi, P. Order-Disorder Transition in Kesterite Cu2ZnSnS4: Thermopower Enhancement via Electronic Band Structure Modification. J. Phys. Chem. 2020, 124, 7091–7096. [Google Scholar] [CrossRef]
- Isotta, E.; Mukherjee, B.; Fanciulli, C.; Ataollahi, N.; Sergueev, I.; Stankov, S.; Edla, R.; Pugno, N.M.; Scardi, P. Origin of a Simultaneous Suppression of Thermal Conductivity and Increase of Electrical Conductivity and Seebeck Coefficient in Disordered Cubic Cu2ZnSnS4. Phys. Rev. Appl. 2020, 14, 1. [Google Scholar] [CrossRef]
- Baláž, P.; Achimovičová, M.; Baláž, M.; Chen, K.; Dobrozhan, O.; Guilmeau, E.; Hejtmánek, J.; Knížek, K.; Kubíčková, L.; Levinský, P.; et al. Thermoelectric Cu–S-Based Materials Synthesized via a Scalable Mechanochemical Process. ACS Sustain. Chem. Eng. 2021, 9, 2003–2016. [Google Scholar] [CrossRef]
- Syafiq, U.; Ataollahi, N.; Maggio, R.; Di Scardi, P. Solution-Based Synthesis and Characterization of Cu2ZnSnS4 (CZTS) Thin Films. Molecules 2019, 24, 3454. [Google Scholar] [CrossRef] [PubMed]
- Ataollahi, N.; Malerba, C.; Cappelletto, E.; Ciancio, R.; Edla, R.; Di Maggio, R.; Scardi, P. Control of Composition and Grain Growth in Cu2ZnSnS4 Thin Films from Nanoparticle Inks. Thin Solid Films 2019, 674, 12–21. [Google Scholar] [CrossRef]
- Lohani, K.; Fanciulli, C.; Scardi, P. Effects of Preparation Procedures and Porosity on Thermoelectric Bulk Samples of Cu2SnS3 (CTS). Materials 2022, 15, 712. [Google Scholar] [CrossRef]
- Malagutti, M.A.; De Fátima Ulbrich, K.; Paes, V.Z.C.; Geshev, J.; Maduro De Campos, C.E. Structural, Microstructural and Magnetic Characterization of the β-CoTe Nanophase Synthesized by a Novel Mechanochemical Method. RSC Adv. 2021, 11, 5027–5034. [Google Scholar] [CrossRef]
- Ardila-Fierro, K.J.; Hernández, J.G. Sustainability Assessment of Mechanochemistry by Using the Twelve Principles of Green Chemistry. ChemSusChem 2021, 14, 2145–2162. [Google Scholar] [CrossRef]
- Koskela, K.M.; Mora Perez, C.; Eremin, D.B.; Evans, J.M.; Strumolo, M.J.; Lewis, N.S.; Prezhdo, O.V.; Brutchey, R.L. Polymorphic Control of Solution-Processed Cu2SnS3 Films with Thiol–Amine Ink Formulation. Chem. Mater. 2022, 34, 8654–8663. [Google Scholar] [CrossRef]
- Ortiz, B.R.; Peng, W.; Gomes, L.C.; Gorai, P.; Zhu, T.; Smiadak, D.M.; Snyder, G.J.; Stevanović, V.; Ertekin, E.; Zevalkink, A.; et al. Ultralow Thermal Conductivity in Diamond-Like Semiconductors: Selective Scattering of Phonons from Antisite Defects. Chem. Mater. 2018, 30, 3395–3409. [Google Scholar] [CrossRef]
- Chen, S.; Gong, X.G.; Walsh, A.; Wei, S.H. Defect Physics of the Kesterite Thin-Film Solar Cell Absorber Cu2ZnSnS4. Appl. Phys. Lett. 2010, 96, 4–7. [Google Scholar] [CrossRef]
- Walsh, A.; Chen, S.; Wei, S.H.; Gong, X.G. Kesterite Thin-Film Solar Cells: Advances in Materials Modelling of Cu2ZnSnS4. Adv. Energy Mater. 2012, 2, 400–409. [Google Scholar] [CrossRef]
- Chen, S.; Walsh, A.; Gong, X.G.; Wei, S.H. Classification of Lattice Defects in the Kesterite Cu2ZnSnS4 and Cu2ZnSnSe4 Earth-Abundant Solar Cell Absorbers. Adv. Mater. 2013, 25, 1522–1539. [Google Scholar] [CrossRef] [PubMed]
- Isotta, E.; Syafiq, U.; Ataollahi, N.; Chiappini, A.; Malerba, C.; Luong, S.; Trifiletti, V.; Fenwick, O.; Pugno, N.M.; Scardi, P. Thermoelectric Properties of CZTS Thin Films: Effect of Cu-Zn Disorder. Phys. Chem. Chem. Phys. 2021, 23, 13148–13158. [Google Scholar] [CrossRef] [PubMed]
- Momma, K.; Izumi, F. VESTA: A Three-Dimensional Visualization System for Electronic and Structural Analysis. J. Appl. Crystallogr. 2008, 41, 653–658. [Google Scholar] [CrossRef]
- Isotta, E.; Mukherjee, B.; Bette, S.; Dinnebier, R.; Scardi, P. Static and Dynamic Components of Debye-Waller Coefficients in the Novel Cubic Polymorph of Low-Temperature Disordered Cu2ZnSnS4. IUCrJ 2022, 9, 272–285. [Google Scholar] [CrossRef]
- Zoppi, G.; Forbes, I.; Miles, R.W.; Dale, P.J.; Scragg, J.J.; Peter, L.M. Cu2ZnSnSe4 Thin Film Solar Cells Produced by Selenisation of Magnetron Sputtered Precursors. Prog. Photovolt. Res. Appl. 2009, 17, 315–319. [Google Scholar] [CrossRef]
- Suresh Babu, G.; Kishore Kumar, Y.B.; Uday Bhaskar, P.; Raja Vanjari, S. Effect of Cu/(Zn+Sn) Ratio on the Properties of Co-Evaporated Cu2ZnSnSe4 Thin Films. Sol. Energy Mater. Sol. Cells 2010, 94, 221–226. [Google Scholar] [CrossRef]
- Ahn, S.; Jung, S.; Gwak, J.; Cho, A.; Shin, K.; Yoon, K.; Park, D.; Cheong, H.; Yun, J.H. Determination of Band Gap Energy (Eg) of Cu2ZnSnSe4 Thin Films: On the Discrepancies of Reported Band Gap Values. Appl. Phys. Lett. 2010, 97, 021905. [Google Scholar] [CrossRef]
- Scardi, P.; Leoni, M. Whole Powder Pattern Modelling. Acta Crystallogr. Sect. Found. Crystallogr. 2002, 58, 190–200. [Google Scholar] [CrossRef]
- Scardi, P.; Azanza Ricardo, C.L.; Perez-Demydenko, C.; Coelho, A.A. Whole Powder Pattern Modelling Macros for TOPAS. J. Appl. Crystallogr. 2018, 51, 1752–1765. [Google Scholar] [CrossRef]
- Zawadzki, P.; Zakutayev, A.; Lany, S. Entropy-Driven Clustering in Tetrahedrally Bonded Multinary Materials. Phys. Rev. Appl. 2015, 3, 034007. [Google Scholar] [CrossRef]
- Kapusta, K.; Drygas, M.; Janik, J.F.; Jelen, P.; Bucko, M.M.; Olejniczak, Z. From Magnetic Cubic Pre-Kesterite to Semiconducting Tetragonal Kesterite Cu2ZnSnS4 Nanopowders via the Mechanochemically Assisted Route. J. Alloys Compd. 2019, 770, 981–988. [Google Scholar] [CrossRef]
- Mukherjee, B.; Isotta, E.; Fanciulli, C.; Ataollahi, N.; Scardi, P. Topological Anderson Insulator in Cation-Disordered Cu2ZnSnS4. Nanomaterials 2021, 11, 2595. [Google Scholar] [CrossRef] [PubMed]
- Perdew, J.P.; Burke, K.; Ernzerhof, M. Generalized Gradient Approximation Made Simple. Phys. Rev. Lett. 1996, 77, 3865–3868. [Google Scholar] [CrossRef] [PubMed]
- Heyd, J.; Scuseria, G.E.; Ernzerhof, M. Hybrid Functionals Based on a Screened Coulomb Potential. J. Chem. Phys. 2003, 118, 8207–8215. [Google Scholar] [CrossRef]
- Feng, J.; Wang, W.; Huang, S.; Jiang, B.; Zhu, B.; Zhou, Y.; Cui, J.; Lin, P.; Xie, L.; He, J. Porous Thermoelectric Zintl: YbCd2Sb2. ACS Appl. Energy Mater. 2021, 4, 913–920. [Google Scholar] [CrossRef]
- Goldsmid, H. Porous Thermoelectric Materials. Materials 2009, 2, 903. [Google Scholar] [CrossRef]
- Kuo, J.J.; Kang, S.D.; Imasato, K.; Tamaki, H.; Ohno, S.; Kanno, T.; Snyder, G.J. Grain Boundary Dominated Charge Transport in Mg3Sb2-Based Compounds. Energy Environ. Sci. 2018, 11, 429–434. [Google Scholar] [CrossRef]
- Ming, H.; Zhu, C.; Qin, X.; Jabar, B.; Chen, T.; Zhang, J.; Xin, H.; Li, D.; Zhang, J. Improving the Thermoelectric Performance of Cu2SnSe3: Via Regulating Micro-and Electronic Structures. Nanoscale 2021, 13, 4233–4240. [Google Scholar] [CrossRef]
- Coelho, A.A. TOPAS and TOPAS-Academic: An Optimization Program Integrating Computer Algebra and Crystallographic Objects Written in C++. J. Appl. Crystallogr. 2018, 51, 210–218. [Google Scholar] [CrossRef]
- Kresse, G.; Furthmüller, J. Efficiency of Ab-Initio Total Energy Calculations for Metals and Semiconductors Using a Plane-Wave Basis Set. Comput. Mater. Sci. 1996, 6, 15–50. [Google Scholar] [CrossRef]
- Kresse, G.; Furthmüller, J. Efficient Iterative Schemes for Ab Initio Total-Energy Calculations Using a Plane-Wave Basis Set. Phys. Rev. 1996, 54, 11169–11186. [Google Scholar] [CrossRef] [PubMed]
- Togo, A.; Tanaka, I. First Principles Phonon Calculations in Materials Science. Scr. Mater. 2015, 108, 1–5. [Google Scholar] [CrossRef]










| CTS | CZTS/CZTSe |
|---|---|
![]() | ![]() |
![]() | ![]() |
![]() |
| CTS | CZTS | CZTSe [20] | |
|---|---|---|---|
| Lattice parameters | Ordered a = 6.660(1) Å b = 11.536(2) Å c = 6.660(1) Å | Tetragonal [66] a = 5.4345(1) Å b = 5.4345(1) Å c = 10.8380(1) Å | Tetragonal a = 5.69706(3) Å b = 5.69706(3) Å c = 11.3472(1) Å |
| Disordered a = 5.4316(1) Å | Disordered cubic [66] a = 5.4150(1) Å | Disordered cubic a = 5.68719(9) Å | |
| Band gap | Ordered [34] 0.99 eV | Tetragonal [52] 1.56 eV | Tetragonal [67,68,69] 0.9–1.5 eV |
| Disordered [34] 0.95 eV | Disordered cubic [52] 1.53 eV |
Disclaimer/Publisher’s Note: The statements, opinions and data contained in all publications are solely those of the individual author(s) and contributor(s) and not of MDPI and/or the editor(s). MDPI and/or the editor(s) disclaim responsibility for any injury to people or property resulting from any ideas, methods, instructions or products referred to in the content. |
© 2023 by the authors. Licensee MDPI, Basel, Switzerland. This article is an open access article distributed under the terms and conditions of the Creative Commons Attribution (CC BY) license (https://creativecommons.org/licenses/by/4.0/).
Share and Cite
Nautiyal, H.; Lohani, K.; Mukherjee, B.; Isotta, E.; Malagutti, M.A.; Ataollahi, N.; Pallecchi, I.; Putti, M.; Misture, S.T.; Rebuffi, L.; et al. Mechanochemical Synthesis of Sustainable Ternary and Quaternary Nanostructured Cu2SnS3, Cu2ZnSnS4, and Cu2ZnSnSe4 Chalcogenides for Thermoelectric Applications. Nanomaterials 2023, 13, 366. https://doi.org/10.3390/nano13020366
Nautiyal H, Lohani K, Mukherjee B, Isotta E, Malagutti MA, Ataollahi N, Pallecchi I, Putti M, Misture ST, Rebuffi L, et al. Mechanochemical Synthesis of Sustainable Ternary and Quaternary Nanostructured Cu2SnS3, Cu2ZnSnS4, and Cu2ZnSnSe4 Chalcogenides for Thermoelectric Applications. Nanomaterials. 2023; 13(2):366. https://doi.org/10.3390/nano13020366
Chicago/Turabian StyleNautiyal, Himanshu, Ketan Lohani, Binayak Mukherjee, Eleonora Isotta, Marcelo Augusto Malagutti, Narges Ataollahi, Ilaria Pallecchi, Marina Putti, Scott T. Misture, Luca Rebuffi, and et al. 2023. "Mechanochemical Synthesis of Sustainable Ternary and Quaternary Nanostructured Cu2SnS3, Cu2ZnSnS4, and Cu2ZnSnSe4 Chalcogenides for Thermoelectric Applications" Nanomaterials 13, no. 2: 366. https://doi.org/10.3390/nano13020366
APA StyleNautiyal, H., Lohani, K., Mukherjee, B., Isotta, E., Malagutti, M. A., Ataollahi, N., Pallecchi, I., Putti, M., Misture, S. T., Rebuffi, L., & Scardi, P. (2023). Mechanochemical Synthesis of Sustainable Ternary and Quaternary Nanostructured Cu2SnS3, Cu2ZnSnS4, and Cu2ZnSnSe4 Chalcogenides for Thermoelectric Applications. Nanomaterials, 13(2), 366. https://doi.org/10.3390/nano13020366






