Water-Soluble Pd Nanoparticles for the Anti-Markovnikov Oxidation of Allyl Benzene in Water
Abstract
1. Introduction
2. Materials and Methods
3. Results and Discussion
3.1. Synthesis of Water-Soluble Palladium Nanoparticles
3.2. Characterization of Palladium Nanoparticles and Ligand Precursors
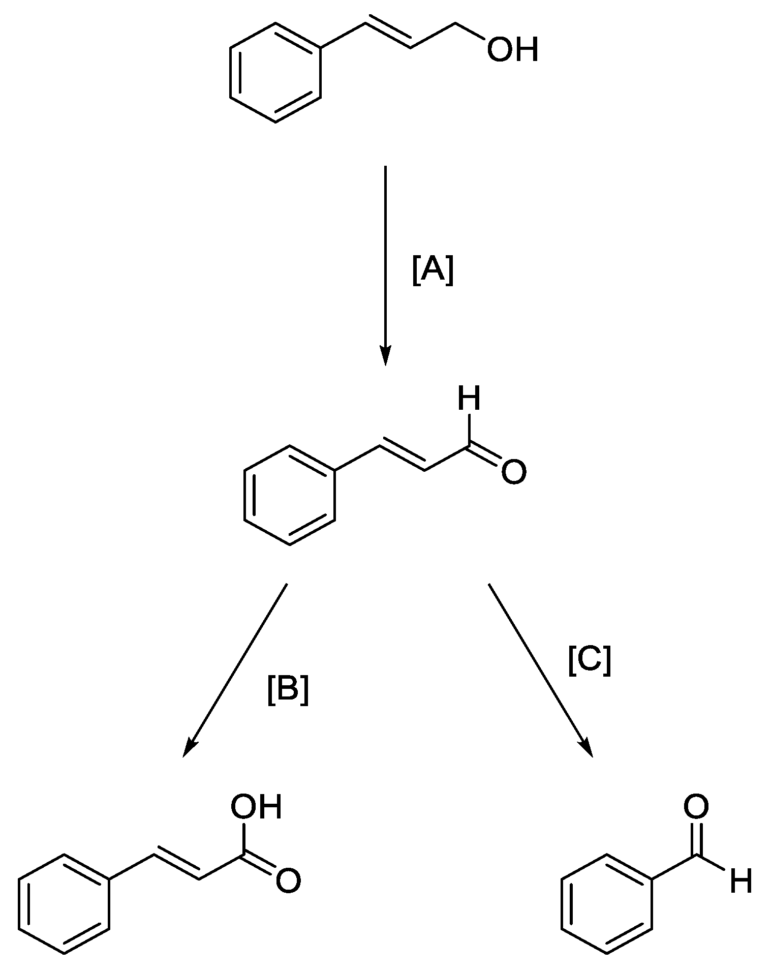
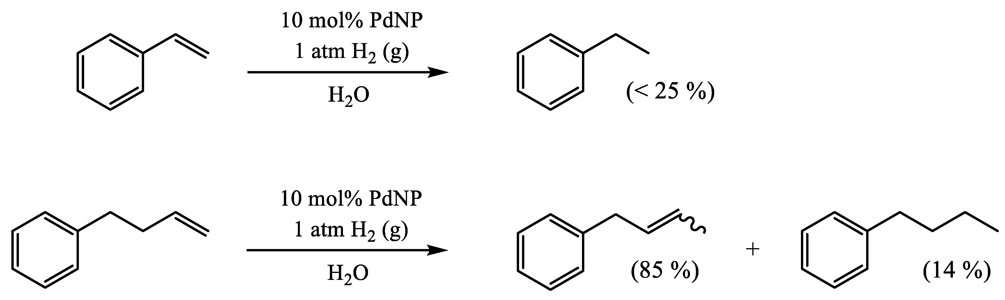
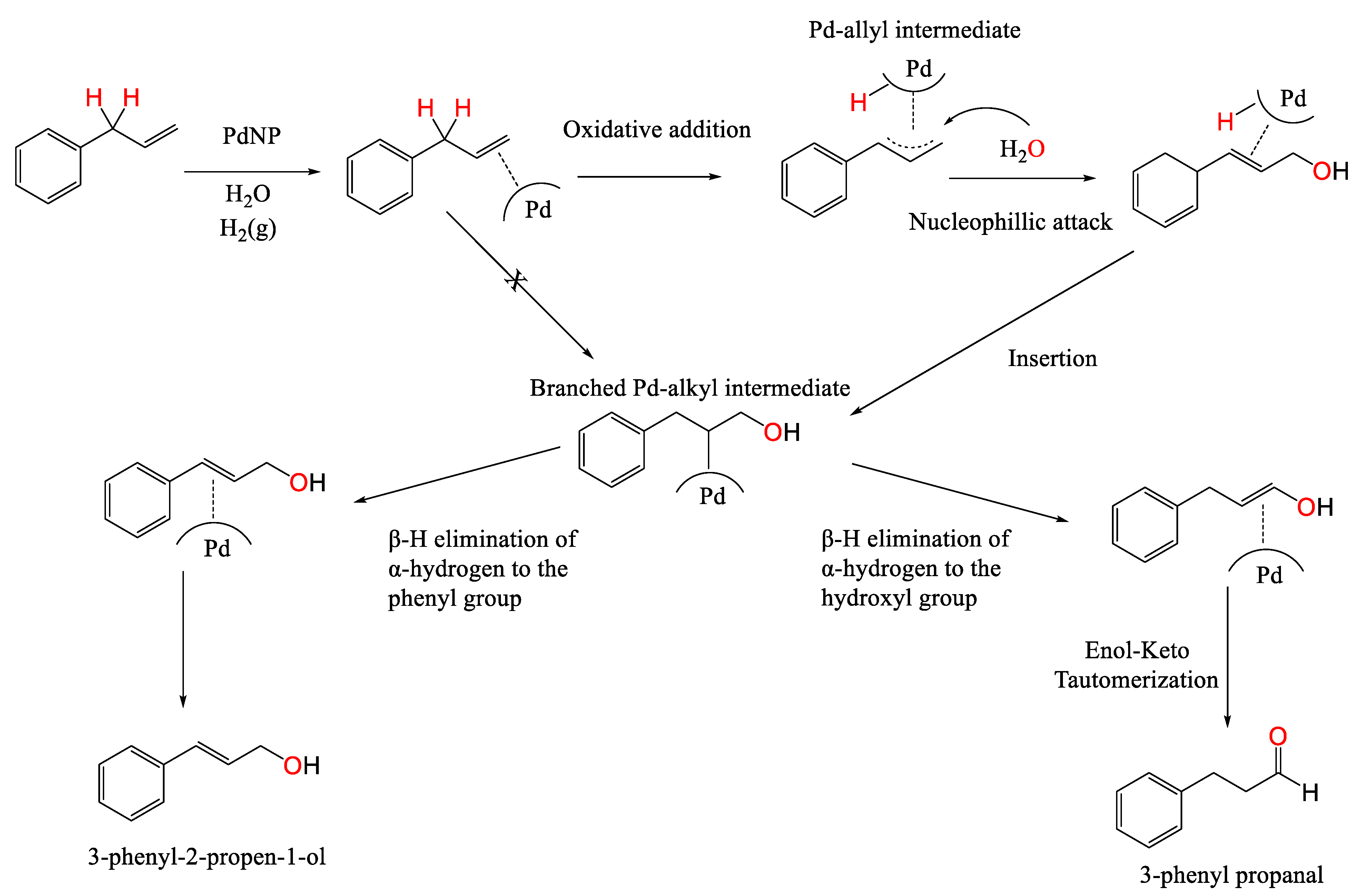
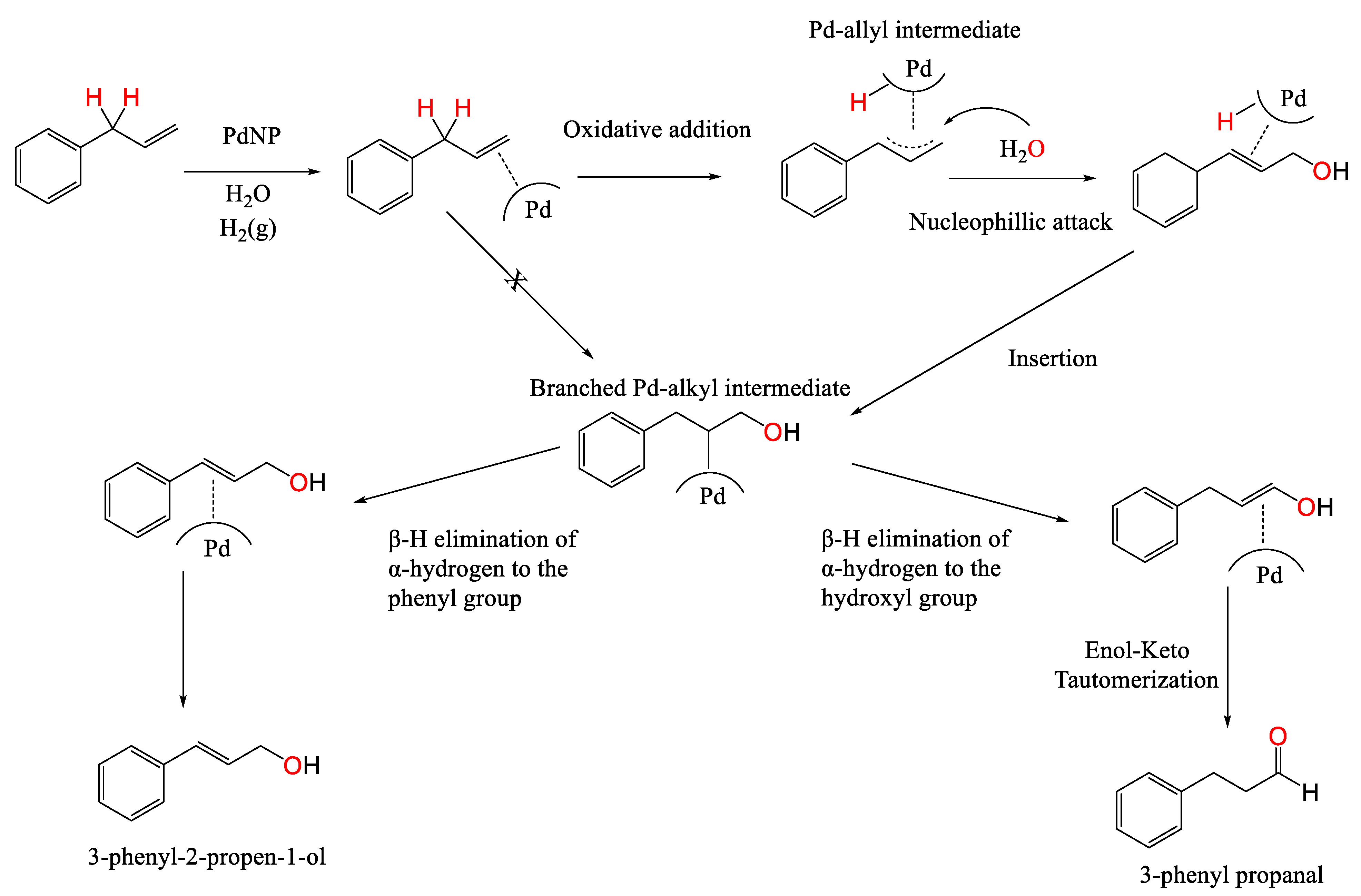
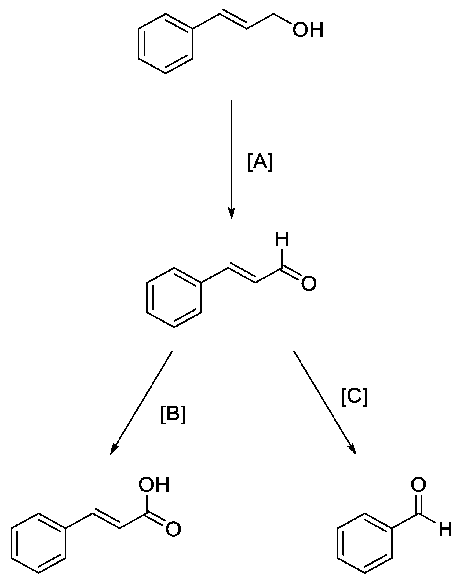
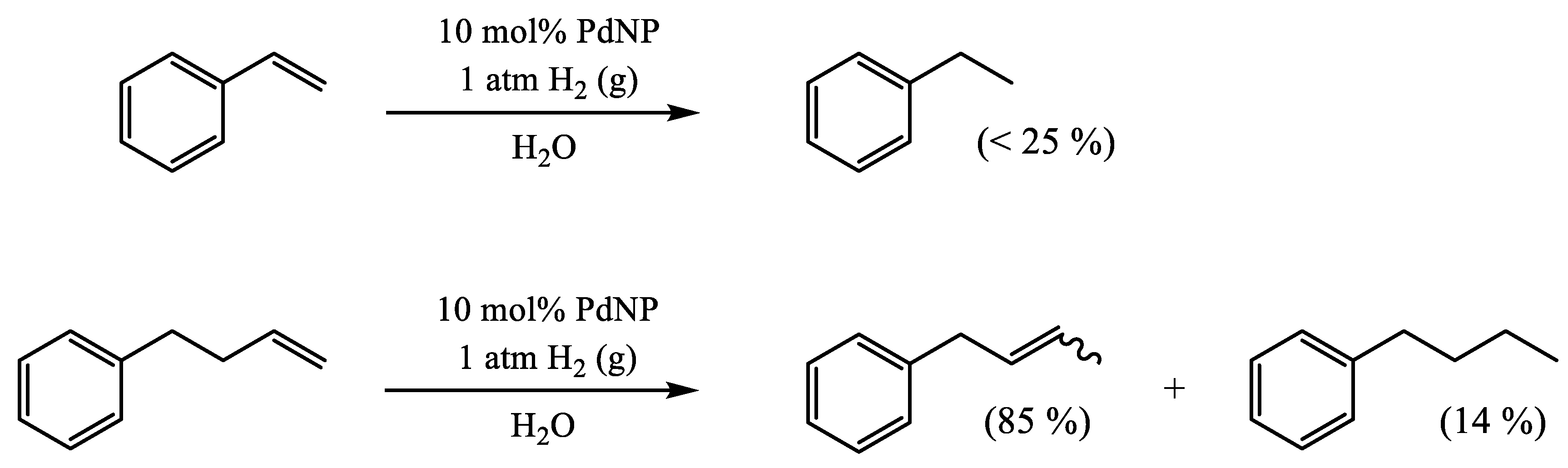
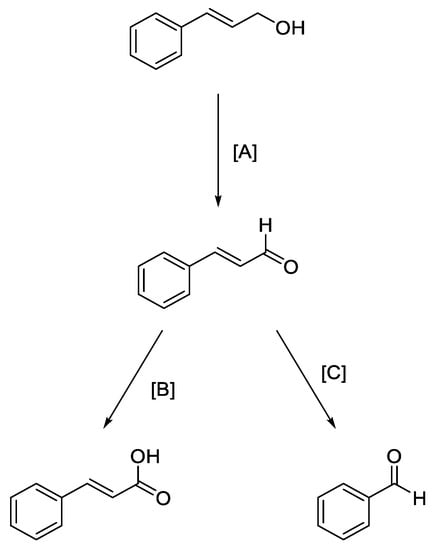
3.3. Catalytic Reactions of Allyl Benzene
4. Conclusions
Supplementary Materials
Author Contributions
Funding
Data Availability Statement
Acknowledgments
Conflicts of Interest
References
- Liu, L.; Corma, A. Metal Catalysts for Heterogeneous Catalysts: From Single Atoms to Nanoclusters and Nanoparticles. Chem. Rev. 2018, 118, 4981–5079. [Google Scholar] [CrossRef]
- Li, Z.; Ji, S.; Liu, Y.; Cao, X.; Tian, S.; Chen, Y.; Niu, Z.; Li, Y. Well-Defined Materials for Heterogeneous Catalysis: From Nanoparticles to Isolated Single-Atom Sites. Chem. Rev. 2020, 120, 623–682. [Google Scholar] [CrossRef]
- Xu, Y.; Ma, J.; Xu, Y.; Xu, L.; Xu, L.; Li, H.; Li, H. Palladium nanoparticles encapsulated in porous silica shells: An efficient and highly stable catalyst for CO oxidation. RSC Adv. 2013, 3, 851–858. [Google Scholar] [CrossRef]
- Farrussenga, D.; Tuel, A. Perspectives on zeolite-encapsulated metal nanoparticles and their applications in catalysis. New J. Chem. 2016, 40, 3933–3949. [Google Scholar] [CrossRef]
- Be’jar, M.; Peters, K.; Tapley, G.; Grenier, M.; Scaiano, J. Rapid one-pot propargylamine synthesis by plasmon mediated catalysis with gold nanoparticles on ZnO under ambient conditions. Chem. Commun. 2013, 49, 1732. [Google Scholar]
- Ali, E.; Rahman, M.; Sarkar, S.M.; Hamid, S.B.A. Heterogeneous Metal Catalysts for Oxidation Reactions. J. Nanomater. 2014, 1, 192038. [Google Scholar] [CrossRef]
- Rossi, L.M.; Fiorio, J.L.; Garcia, M.A.; Ferraz, C.P. The Role and Fate of Capping Ligands in Colloidally Prepared Metal Nanoparticle Catalysts. Dalton Trans. 2018, 47, 5889–5915. [Google Scholar] [CrossRef]
- Lu, L.; Zou, S.; Fang, B. The Critical Impacts of Ligands on Heterogeneous Nanocatalysis: A Review. ACS Catal. 2021, 11, 6020–6058. [Google Scholar] [CrossRef]
- San, K.A.; Shon, Y.-S. Synthesis of Alkanethiolate-Capped Metal Nanoparticles Using Alkyl Thiosulfate Ligand Precursors: A Method to Generate Promising Reagents for Selective Catalysis. Nanomaterials 2018, 8, 346. [Google Scholar] [CrossRef] [PubMed]
- Du, Y.; Sheng, H.; Astruc, D.; Zhu, M. Atomically Precise Noble Metal Nanoclusters as Efficient Catalysts: A Bridge between Structure and Properties. Chem. Rev. 2020, 120, 526–622. [Google Scholar] [CrossRef] [PubMed]
- Zhong, R.-Y.; Sun, K.-Q.; Hong, Y.-C.; Xu, B.-Q. Impacts of Organic Stabilizers on Catalysis of Au Nanoparticles from Colloidal Preparation. ACS Catal. 2014, 4, 3982–3993. [Google Scholar] [CrossRef]
- Eyimegwu, P.; Lartey, J.; Kim, J. Gold-Nanoparticle-Embedded Poly(N-isopropylacrylamide) Microparticles for Selective Quasi-Homogeneous Catalytic Homocoupling Reactions. ACS Appl. Nano Mater. 2019, 2, 6057–6066. [Google Scholar] [CrossRef]
- Moreno, M.; Kissell, L.; Jasinski, J.; Zamborini, F. Selectivity and Reactivity of Alkylamine- and Alkanethiolate-Stabilized Pd and PdAg Nanoparticles for Hydrogenation and Isomerization of Allyl Alcohol. ACS Catal. 2012, 2, 2602–2613. [Google Scholar] [CrossRef]
- Vargas, K.M.; San, K.A.; Shon, Y.-S. Isolated Effects of Surface Ligand Density on the Catalytic Activity and Selectivity of Palladium Nanoparticles. ACS Appl. Nano Mater. 2019, 2, 7188–7196. [Google Scholar] [CrossRef]
- Sadeghmoghaddam, E.; Gu, H.; Shon, Y.-S. Pd Nanoparticle-Catalyzed Isomerization vs. Hydrogenation of Allyl Alcohol: Solvent-Dependent Regioselectivity. ACS Catal. 2012, 2, 1838–1845. [Google Scholar] [CrossRef] [PubMed]
- Zhu, J.S.; Shon, Y.-S. Mechanistic Interpretation of Selective Catalytic Hydrogenation and Isomerization of Alkenes and Dienes by Ligand Deactivated Pd Nanoparticles. Nanoscale 2015, 7, 17786–17790. [Google Scholar] [CrossRef]
- San, K.A.; Chen, V.; Shon, Y.-S. Preparation of Partially Poisoned Alkanethiolate-Capped Platinumnanoparticles for Selective Hydrogenation of Activated Terminal Alkynes. ACS Appl. Mater. Interfaces. 2017, 9, 9823–9832. [Google Scholar] [CrossRef]
- Tieu, P.; Nguyen, V.; Shon, Y.-S. Proximity Effects of Methyl Group on Ligand Steric Interactions and Colloidal Stability of Palladium Nanoparticles. Front. Chem. 2020, 8, 599. [Google Scholar] [CrossRef]
- Maung, M.S.; Shon, Y.-S. Effects of Noncovalent Interactions on the Catalytic Activity of Unsupported Colloidal Palladium Nanoparticles Stabilized with Thiolate Ligands. J. Phys. Chem. C 2017, 121, 20882–20891. [Google Scholar] [CrossRef]
- Mahdaly, M.A.; Zhu, J.S.; Nguyen, V.; Shon, Y.-S. Colloidal Palladium Nanoparticles for Selective Hydrogenation of Styrene Derivatives with Reactive Functional Groups. ACS Omega 2019, 4, 20819–20828. [Google Scholar] [CrossRef]
- Chen, T.-A.; Shon, Y.-S. Alkanethiolate-Capped Palladium Nanoparticles for Regio- and Stereoselective Hydrogenation of Allenes. Catalysts 2018, 8, 428. [Google Scholar] [CrossRef]
- Jira, R. Acetaldehyde from Ethylene—A Retrospective on the Discovery of the Wacker Process. Angew. Chem. Int. Ed. 2009, 48, 9034–9037. [Google Scholar] [CrossRef]
- DeLuca, R.J.; Edwards, J.L.; Steffens, L.D.; Michel, B.W.; Qiao, X.; Zhu, C.; Cook, S.P.; Sigman, M.S. Wacker-Type Oxidation of Internal Alkenes using Pd(Quinox) and TBHP. J. Org. Chem. 2013, 78, 1682–1686. [Google Scholar] [CrossRef] [PubMed]
- Liu, B.; Hu, P.; Xu, F.; Cheng, L.; Tan, M.; Han, W. Nickel-catalyzed remote and proximal Wacker-type oxidation. Commun. Chem. 2019, 2, 5. [Google Scholar] [CrossRef]
- Clement, W.; Selwitz, C. Improved Procedures for Converting Higher α-Olefins to Methyl Ketones with Palladium Chloride. J. Org. Chem. 1964, 29, 241–243. [Google Scholar] [CrossRef]
- Keith, J.; Henry, P. The Mechanism of the Wacker Reaction: A Tale of Two Hydroxypalladations. Angew Chem. Int. Ed. 2009, 48, 9038–9049. [Google Scholar] [CrossRef]
- Dong, J.J.; Browne, W.R.; Feringa, B.L. Palladium-Catalyzed Anti-Markovnikov Oxidation of Terminal Alkenes. Angew. Chem. Int. Ed. 2014, 54, 734–744. [Google Scholar] [CrossRef]
- Kim, K.; Li, J.; Grubbs, R.; Stoltz, B. Catalytic Anti-Markovnikov Transformations of Hindered Terminal Alkenes Enabled by Aldehyde-Selective Wacker-Type Oxidation. J. Am. Chem. Soc. 2016, 138, 13179–13182. [Google Scholar] [CrossRef]
- Weiner, B.; Baeza, A.; Jerphagnon, T.; Feringa, B. Aldehyde Selective Wacker Oxidations of Phthalimide Protected Allylic Amines: A New Catalytic Route to β3-Amino Acids. J. Am. Chem. Soc. 2009, 131, 9473. [Google Scholar] [CrossRef] [PubMed]
- Wright, J.; Gaunt, M.; Spencer, J. Novel Anti-Markovnikov Regioselectivity in the Wacker Reaction of Styrenes. Chem. Eur. J. 2006, 12, 949. [Google Scholar] [CrossRef] [PubMed]
- Wickens, Z.; Morandi, B.; Grubbs, R. Aldehyde-Selective Wacker-Type Oxidation of Unbiased Alkenes Enabled by a Nitrite Co-Catalyst. Angew. Chem. Int. Ed. 2013, 52, 11257. [Google Scholar] [CrossRef]
- Wickens, Z.; Skakuj, K.; Morandi, B.; Grubbs, R. Catalyst-Controlled Wacker-Type Oxidation: Facile Access to Functionalized Aldehydes. J. Am. Chem. Soc. 2014, 136, 890. [Google Scholar] [CrossRef] [PubMed]
- Guo, J.; Teo, P. Anti-Markovnikov Oxidation and Hydration of Terminal Olefins. Dalton Trans. 2014, 43, 6952–6964. [Google Scholar] [CrossRef] [PubMed]
- Zhang, G.; Hu, X.; Chiang, C.-W.; Yi, H.; Pei, P.; Singh, A.K.; Lei, A. Anti-Markovnikov Oxidation of b-Alkyl Styrenes with H2O at the Terminal Oxidant. J. Am. Chem. Soc. 2016, 138, 12037–12040. [Google Scholar] [CrossRef]
- Nakaoka, S.; Murakami, Y.; Kataoka, Y.; Ura, Y. Maleimide-Assisted Anti-Markovnikov Wacker-type Oxidation of Vinylarenes Using Molecular Oxygen as a Terminal Oxidant. Chem. Commun. 2016, 52, 335. [Google Scholar] [CrossRef] [PubMed]
- Magano, J.; Dunetz, J. Large-Scale Carbonyl Reductions in the Pharmaceutical Industry. Org. Process Res. Dev. 2012, 16, 1156–1184. [Google Scholar] [CrossRef]
- Kawajiri, T.; Ohta, R.; Fujioka, H.; Sajiki, H.; Sawama, Y. Aromatic aldehyde-selective aldol addition with aldehyde-derived silyl enol ethers. Chem. Commun. 2018, 54, 374–377. [Google Scholar] [CrossRef] [PubMed]
- Franke, R.; Selent, D.; Börne, A. Applied Hydroformylation. Chem. Rev. 2012, 112, 5675–5732. [Google Scholar] [CrossRef]
- Bhattacharjee, J.; Harinath, A.; Bano, K.; Panda, T.K. Highly Chemoselective Hydroboration of Alkynes and Nitriles Catalyzed by Group 4 Metal Amidophosphine-Borane Complexes. ACS Omega 2020, 5, 1595–1606. [Google Scholar] [CrossRef]
- Gavia, D.J.; Maung, M.S.; Shon, Y.-S. Water-Soluble Pd Nanoparticles Synthesized From ω-Carboxyl-S-alkanethiosulfae Ligand Precursors as Unimolecular Micelle Catalysts. ACS Appl. Mater. Interfaces 2013, 5, 12432–12440. [Google Scholar] [CrossRef]
- Chen, V.; Pan, H.; Jacobs, R.; Derakhshan, S.; Shon, Y.-S. Influence of Graphene Oxide Supports on Solution-Phase Catalysis of Thiolate-Protected Palladium Nanoparticles in Water. New J. Chem. 2017, 41, 177–183. [Google Scholar] [CrossRef]
- Maung, M.S.; Dinh, T.; Salazar, C.; Shon, Y.-S. Unsupported Colloidal Palladium Nanoparticles for Biphasic Hydrogenation and Isomerization of Hydrophobic Allylic Alcohols in Water. Colloids Surf. A 2017, 513, 367–372. [Google Scholar] [CrossRef] [PubMed]
- Zhang, S.-L.; Yu, Z.-L. C-C Activation by Retro-Aldol Reaction of Two b-Hydroxy Carbonyl Compounds: Synergy with Pd-Catalyzed Cross-Coupling To Access Mono-a-arylated Ketones and Esters. J. Org. Chem. 2015, 81, 57–65. [Google Scholar] [CrossRef] [PubMed]
- Williams, R.M.; Medlin, J.W. Benzyl Alcohol Oxidation on Pd(111): Aromatic Binding Effects on Alcohol Reactivity. Langmuir 2014, 30, 4642–4653. [Google Scholar] [CrossRef]
- Harrison, J.A.; Nielson, A.J.; Sajjad, M.A.; Schwerdtfeger, P. Evaluation of the Agostic and Syndetic Donations in Aromatic Ring Agostic Interactions Involved in Heteroatom Ligand-Directed C-H Bond Activation. Organometallics 2019, 38, 1903–1916. [Google Scholar] [CrossRef]
- Zhang, L.; Zhou, M.; Wang, A.; Zhang, T. Selective Hydrogenation over Supported Metal Catalysts: From Nanoparticles to Single Atoms. Chem. Rev. 2020, 120, 683–733. [Google Scholar] [CrossRef]
- Dong, Y.; Ebrahimi, M.; Tillekaratne, A.; Zaera, F. Direct Addition Mechanism during the Catalytic Hydrogenation of Olefins over Platinum Surfaces. J. Phys. Chem. Lett. 2016, 7, 2439–2443. [Google Scholar] [CrossRef]
- Wang, H.; Qiu, S.; Wang, S.; Zhai, H. Pd-Catalyzed Umpolung of p-Allylpalladium Intermediates: Assembly of All-Carbon a-Vinyl Quaternary Aldehydes through C(sp3)-C(sp3) Coupling. ACS Catal. 2018, 8, 11960–11965. [Google Scholar] [CrossRef]
- Fernandes, R.A.; Nallasivam, J.L. Catalytic Allylic Functionalization via p-Allyl Palladium Chemistry. Org. Biomol. Chem. 2019, 17, 8647–8672. [Google Scholar] [CrossRef] [PubMed]








| Reaction Condition | Conversion (%) | Oxidation–Hydration (%) | Isomerization (%) | Hydrogenation (%) | ||
|---|---|---|---|---|---|---|
![]() | ![]() | ![]() | ![]() | |||
C6-PdNP | 6 h, 1 atm H2, H2O | 40 | 29 | 5 | 0 | 6 |
| 24 h, 1 atm H2, H2O | 93 b | 66 | 6 | 3 | 1 | |
| 24 h, 1 atm H2/N2, H2O | 91 c | 39 | 0 | 9 | 2 | |
| 24 h, 1 atm H2, H2O/DMF | 94 d | 12 | 16 | 34 | 4 | |
C5-PdNP | 24 h, 1 atm H2, H2O | 97 e | 83 | 0 | 7 | 5 |
| 24 h, 1 atm H2/N2, H2O | 93 f | 71 | 0 | 9 | 2 | |
| 24 h, 1 atm H2, H2O/DMF | 83 g | 14 | 18 | 26 | 5 | |
Disclaimer/Publisher’s Note: The statements, opinions and data contained in all publications are solely those of the individual author(s) and contributor(s) and not of MDPI and/or the editor(s). MDPI and/or the editor(s) disclaim responsibility for any injury to people or property resulting from any ideas, methods, instructions or products referred to in the content. |
© 2023 by the authors. Licensee MDPI, Basel, Switzerland. This article is an open access article distributed under the terms and conditions of the Creative Commons Attribution (CC BY) license (https://creativecommons.org/licenses/by/4.0/).
Share and Cite
Avila, E.; Nixarlidis, C.; Shon, Y.-S. Water-Soluble Pd Nanoparticles for the Anti-Markovnikov Oxidation of Allyl Benzene in Water. Nanomaterials 2023, 13, 348. https://doi.org/10.3390/nano13020348
Avila E, Nixarlidis C, Shon Y-S. Water-Soluble Pd Nanoparticles for the Anti-Markovnikov Oxidation of Allyl Benzene in Water. Nanomaterials. 2023; 13(2):348. https://doi.org/10.3390/nano13020348
Chicago/Turabian StyleAvila, Edwin, Christos Nixarlidis, and Young-Seok Shon. 2023. "Water-Soluble Pd Nanoparticles for the Anti-Markovnikov Oxidation of Allyl Benzene in Water" Nanomaterials 13, no. 2: 348. https://doi.org/10.3390/nano13020348
APA StyleAvila, E., Nixarlidis, C., & Shon, Y.-S. (2023). Water-Soluble Pd Nanoparticles for the Anti-Markovnikov Oxidation of Allyl Benzene in Water. Nanomaterials, 13(2), 348. https://doi.org/10.3390/nano13020348







