Enhanced Visible-Light-Responsive Photocatalytic Degradation of Ciprofloxacin by the CuxO/Metal-Organic Framework Hybrid Nanocomposite
Abstract
1. Introduction
2. Experiment
2.1. Chemicals
2.2. Synthesis of Cu-MOF
2.3. Synthesis of Cu-MOF-Urea and CuxO/MOF
2.4. Characterization of the As-Prepared MOF-Based Nanomaterials
2.5. Photodegradation of CIP
3. Results and Discussion
3.1. Surface Characterization of CuxO/MOF
3.2. Adsorption and Photodegradation of CIP by CuxO/MOF
3.3. Effect of the Initial CIP Concentration
3.4. Possible Mechanism for the Enhanced Photocatalytic Activity of CuxO/MOF
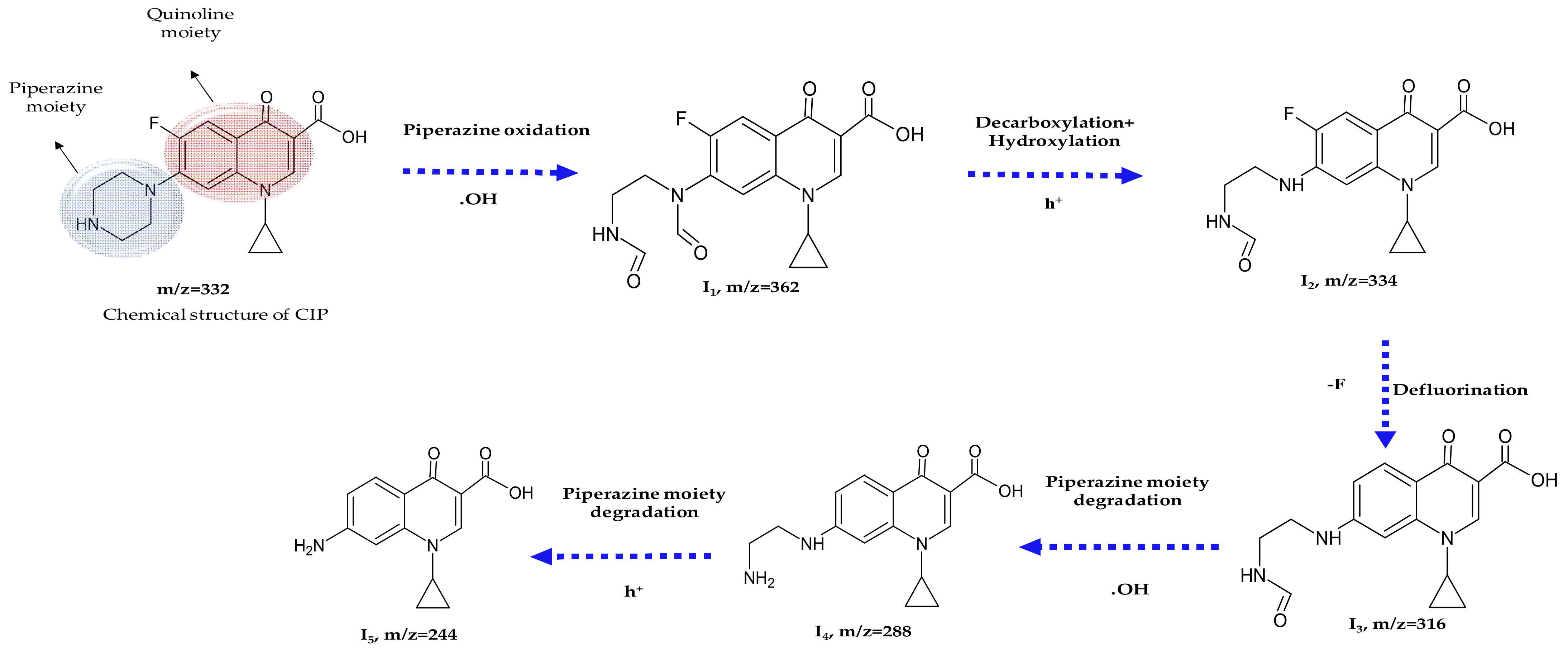
3.5. Possible Photodegradation Pathway of CIP by CuxO/MOF
4. Conclusions
Supplementary Materials
Author Contributions
Funding
Data Availability Statement
Conflicts of Interest
References
- Yu, F.; Bai, X.; Liang, M.; Ma, J. HKUST-1-Derived Cu@ Cu (I)@ Cu (II)/Carbon adsorbents for ciprofloxacin removal with high adsorption performance. Sep. Purif. Technol. 2022, 288, 120647. [Google Scholar] [CrossRef]
- Coulibaly, G.N.; Bae, S.; Kim, J.; Assadi, A.A.; Hanna, K. Enhanced removal of antibiotics in hospital wastewater by Fe–ZnO activated persulfate oxidation. Environ. Sci. Wat. Res. Technol. 2019, 5, 2193–2201. [Google Scholar] [CrossRef]
- Noroozi, R.; Gholami, M.; Farzadkia, M.; Jonidi Jafari, A. Degradation of ciprofloxacin by CuFe2O4/GO activated PMS process in aqueous solution: Performance, mechanism and degradation pathway. Inter. J. Environ. Anal. Chem. 2022, 102, 174–195. [Google Scholar] [CrossRef]
- Hu, H.; Chen, Y.; Ye, J.; Zhuang, L.; Zhang, H.; Ou, H. Degradation of ciprofloxacin by 185/254 nm vacuum ultraviolet: Kinetics, mechanism and toxicology. Environ. Sci. Water Res.Technol. 2019, 5, 564–576. [Google Scholar] [CrossRef]
- Wang, Z.; Muhammad, Y.; Tang, R.; Lu, C.; Yu, S.; Song, R.; Tong, Z.; Han, B.; Zhang, H. Dually organic modified bentonite with enhanced adsorption and desorption of tetracycline and ciprofloxacine. Sep. Purif. Technol. 2021, 274, 119059. [Google Scholar] [CrossRef]
- Sha, J.; Li, L.; An, Z.; He, M.; Yu, H.; Wang, Y.; Gao, B.; Xu, S. Diametrically opposite effect of Cu2+ on sulfamerazine and ciprofloxacin adsorption-photodegradation in g-C3N4/visible light system: Behavior and mechanism study. Chem. Eng. J. 2022, 428, 131065. [Google Scholar] [CrossRef]
- He, J.; Li, N.; Zhang, D.; Zheng, G.; Zhang, H.; Yu, K.; Jiang, J. Real-time monitoring of ciprofloxacin degradation in an electro-Fenton-like system using electrochemical-mass spectrometry. Environ. Sci. Water Res. Technol. 2020, 6, 181–188. [Google Scholar] [CrossRef]
- Cseri, L.; Hardian, R.; Anan, S.; Vovusha, H.; Schwingenschlögl, U.; Budd, P.M.; Sada, K.; Kokado, K.; Szekely, G. Bridging the interfacial gap in mixed-matrix membranes by nature-inspired design: Precise molecular sieving with polymer-grafted metal–organic frameworks. J. Mater. Chem. A 2021, 9, 23793–23801. [Google Scholar] [CrossRef]
- Hardian, R.; Liang, Z.; Zhang, X.; Szekely, G. Artificial intelligence: The silver bullet for sustainable materials development. Green Chem. 2020, 22, 7521–7528. [Google Scholar] [CrossRef]
- Zhao, X.; Shi, T.-J.; Liu, Y.-Y.; Chen, L.-J. Porphyrinic Metal–Organic Framework-Loaded Polycaprolactone Composite Films with a High Photodynamic Antibacterial Activity for the Preservation of Fresh-Cut Apples. ACS Appl. Poly. Mater. 2022. [Google Scholar] [CrossRef]
- Azhar, M.R.; Abid, H.R.; Sun, H.; Periasamy, V.; Tadé, M.O.; Wang, S. Excellent performance of copper based metal organic framework in adsorptive removal of toxic sulfonamide antibiotics from wastewater. J. Colloid Interface Sci. 2016, 478, 344–352. [Google Scholar] [CrossRef] [PubMed]
- Li, S.; Zhang, X.; Huang, Y. Zeolitic imidazolate framework-8 derived nanoporous carbon as an effective and recyclable adsorbent for removal of ciprofloxacin antibiotics from water. J. Hazard. Mater. 2017, 321, 711–719. [Google Scholar] [CrossRef] [PubMed]
- Pourmadadi, M.; Ostovar, S.; Eshaghi, M.M.; Rajabzadeh-Khosroshahi, M.; Safakhah, S.; Ghotekar, S.; Rahdar, A.; Díez-Pascual, A.M. Nanoscale MOFs as an advanced tool for medical applications: Challenges and recent progress. Appl. Organomet. Chem. 2022, e6982. [Google Scholar] [CrossRef]
- Kaur, N.; Tiwari, P.; Kapoor, K.S.; Saini, A.K.; Sharma, V.; Mobin, S.M. Metal–organic framework based antibiotic release and antimicrobial response: An overview. CrystEngComm 2020, 22, 7513–7527. [Google Scholar] [CrossRef]
- Lu, F.-F.; Gu, X.-W.; Wu, E.; Li, B.; Qian, G. Systematical evaluation of water adsorption in isoreticular UiO-type metal–organic frameworks. J. Mater. Chem. A 2023. [Google Scholar] [CrossRef]
- Wen, M.; Li, G.; Liu, H.; Chen, J.; An, T.; Yamashita, H. Metal–organic framework-based nanomaterials for adsorption and photocatalytic degradation of gaseous pollutants: Recent progress and challenges. Environ. Sci. Nano 2019, 6, 1006–1025. [Google Scholar] [CrossRef]
- Yu, D.; Li, L.; Wu, M.; Crittenden, J.C. Enhanced photocatalytic ozonation of organic pollutants using an iron-based metal-organic framework. Appl. Catal. B Environ. 2019, 251, 66–75. [Google Scholar] [CrossRef]
- Luo, J.; Steier, L.; Son, M.-K.; Schreier, M.; Mayer, M.T.; Grätzel, M. Cu2O nanowire photocathodes for efficient and durable solar water splitting. Nano Lett. 2016, 16, 1848–1857. [Google Scholar] [CrossRef]
- Wei, B.; Yang, N.; Pang, F.; Ge, J. Cu2O–CuO Hollow Nanospheres as a Heterogeneous Catalyst for Synergetic Oxidation of CO. J. Phys. Chem. C 2018, 122, 19524–19531. [Google Scholar] [CrossRef]
- Sengupta, M.; Das, S.; Bordoloi, A. Cu/Cu2O nanoparticle interface: Rational designing of a heterogeneous catalyst system for selective hydroamination. Mol. Catal. 2017, 440, 57–65. [Google Scholar] [CrossRef]
- Gawande, M.B.; Goswami, A.; Felpin, F.-X.; Asefa, T.; Huang, X.; Silva, R.; Zou, X.; Zboril, R.; Varma, R.S. Cu and Cu-based nanoparticles: Synthesis and applications in catalysis. Chem. Rev. 2016, 116, 3722–3811. [Google Scholar] [CrossRef] [PubMed]
- Karimzadeh, M.; Niknam, K.; Manouchehri, N.; Tarokh, D. A green route for the cross-coupling of azide anions with aryl halides under both base and ligand-free conditions: Exceptional performance of a Cu2O–CuO–Cu–C nanocomposite. RSC Adv. 2018, 8, 25785–25793. [Google Scholar] [CrossRef] [PubMed]
- Sasmal, A.K.; Dutta, S.; Pal, T. A ternary Cu2O–Cu–CuO nanocomposite: A catalyst with intriguing activity. Dalton Trans. 2016, 45, 3139–3150. [Google Scholar] [CrossRef] [PubMed]
- Cai, J.; Li, Y.; Zhang, M.; Li, Z.J.I.c. Cooperation in Cu-MOF-74-Derived Cu–Cu2O–C Nanocomposites To Enable Efficient Visible-Light-Initiated Phenylacetylene Coupling. Inorg. Chem. 2019, 58, 7997–8002. [Google Scholar] [CrossRef] [PubMed]
- Zhu, C.; Tang, H.; Yang, K.; Wu, X.; Luo, Y.; Wang, J.; Li, Y. A urea-containing metal-organic framework as a multifunctional heterogeneous hydrogen bond-donating catalyst. Catal. Commun. 2020, 135, 105837. [Google Scholar] [CrossRef]
- Armetta, F.; Saladino, M.L.; Giordano, C.; Defilippi, C.; Marciniak, Ł.; Hreniak, D.; Caponetti, E. Non-conventional Ce: YAG nanostructures via urea complexes. Sci. Rep. 2019, 9, 3368. [Google Scholar] [CrossRef]
- Liu, J.; Peng, L.; Zhou, Y.; Lv, L.; Fu, J.; Lin, J.; Guay, D.; Qiao, J. Metal–Organic-Frameworks-Derived Cu/Cu2O catalyst with ultrahigh current density for continuous-flow CO2 electroreduction. ACS Sustain. Chem. Eng. 2019, 7, 15739–15746. [Google Scholar] [CrossRef]
- Yan, J.; Wang, H.; Jin, B.; Zeng, M.; Peng, R. Cu-MOF derived Cu/Cu2O/C nanocomposites for the efficient thermal decomposition of ammonium perchlorate. J. Solid State Chem. 2021, 297, 122060. [Google Scholar] [CrossRef]
- Su, R.; Ge, S.; Li, H.; Su, Y.; Li, Q.; Zhou, W.; Gao, B.; Yue, Q. Synchronous synthesis of Cu2O/Cu/rGO@ carbon nanomaterials photocatalysts via the sodium alginate hydrogel template method for visible light photocatalytic degradation. Sci. Total Environ. 2019, 693, 133657. [Google Scholar] [CrossRef]
- Yang, Y.; Dong, H.; Wang, Y.; He, C.; Wang, Y.; Zhang, X. Synthesis of octahedral like Cu-BTC derivatives derived from MOF calcined under different atmosphere for application in CO oxidation. J. Solid State Chem. 2018, 258, 582–587. [Google Scholar] [CrossRef]
- Dey, A.; Chandrabose, G.; Damptey, L.A.; Erakulan, E.; Thapa, R.; Zhuk, S.; Dalapati, G.K.; Ramakrishna, S.; Braithwaite, N.S.J.; Shirzadi, A. Cu2O/CuO heterojunction catalysts through atmospheric pressure plasma induced defect passivation. Appl. Sur. Sci. 2021, 541, 148571. [Google Scholar] [CrossRef]
- Kuterasiński, Ł.; Podobiński, J.; Madej, E.; Smoliło-Utrata, M.; Rutkowska-Zbik, D.; Datka, J. Reduction and oxidation of cu species in Cu-faujasites studied by IR spectroscopy. Molecules 2020, 25, 4765. [Google Scholar] [CrossRef] [PubMed]
- Ozaslan, D.; Ozkendir, O.; Gunes, M.; Ufuktepe, Y.; Gumus, C. Study of the electronic properties of Cu2O thin films by X-ray absorption spectroscopy. Optik 2018, 157, 1325–1330. [Google Scholar] [CrossRef]
- Jiang, P.; Prendergast, D.; Borondics, F.; Porsgaard, S.; Giovanetti, L.; Pach, E.; Newberg, J.; Bluhm, H.; Besenbacher, F.; Salmeron, M. Experimental and theoretical investigation of the electronic structure of Cu2O and CuO thin films on Cu (110) using x-ray photoelectron and absorption spectroscopy. J. Chem. Phys. 2013, 138, 024704. [Google Scholar] [CrossRef] [PubMed]
- Al-Janabi, N.; Hill, P.; Torrente-Murciano, L.; Garforth, A.; Gorgojo, P.; Siperstein, F.; Fan, X. Mapping the Cu-BTC metal–organic framework (HKUST-1) stability envelope in the presence of water vapour for CO2 adsorption from flue gases. Chem. Eng. J. 2015, 281, 669–677. [Google Scholar] [CrossRef]
- Liu, Y.; Ghimire, P.; Jaroniec, M. Copper benzene-1, 3, 5-tricarboxylate (Cu-BTC) metal-organic framework (MOF) and porous carbon composites as efficient carbon dioxide adsorbents. J. Colloid Interface Sci. 2019, 535, 122–132. [Google Scholar] [CrossRef] [PubMed]
- Zhang, Y.-F.; Qiu, L.-G.; Yuan, Y.-P.; Zhu, Y.-J.; Jiang, X.; Xiao, J.-D. Magnetic Fe3O4@ C/Cu and Fe3O4@ CuO core–shell composites constructed from MOF-based materials and their photocatalytic properties under visible light. Appl. Catal. B Environ. 2014, 144, 863–869. [Google Scholar] [CrossRef]
- Fan, W.; Wang, X.; Zhang, X.; Liu, X.; Wang, Y.; Kang, Z.; Dai, F.; Xu, B.; Wang, R.; Sun, D. Fine-tuning the pore environment of the microporous Cu-MOF for high propylene storage and efficient separation of light hydrocarbons. ACS Central Sci. 2019, 5, 1261–1268. [Google Scholar] [CrossRef]
- Balamurugan, B.; Mehta, B.; Shivaprasad, S. Surface-modified CuO layer in size-stabilized single-phase Cu2O nanoparticles. Appl. Phys. Lett. 2001, 79, 3176–3178. [Google Scholar] [CrossRef]
- Dasineh Khiavi, N.; Katal, R.; Kholghi Eshkalak, S.; Masudy-Panah, S.; Ramakrishna, S.; Jiangyong, H. Visible Light Driven Heterojunction Photocatalyst of CuO–Cu2O Thin films for photocatalytic degradation of organic pollutants. Nanomaterials 2019, 9, 1011. [Google Scholar] [CrossRef]
- Zhu, Y.; Li, D.; Zuo, S.; Guan, Z.; Ding, S.; Xia, D.; Li, X. Cu2O/CuO induced non-radical/radical pathway toward highly efficient peroxymonosulfate activation. J. Environ. Chem. Eng. 2021, 9, 106781. [Google Scholar] [CrossRef]
- Pauly, N.; Tougaard, S.; Yubero, F. Determination of the Cu2p primary excitation spectra for Cu, Cu2O and CuO. Sur. Sci. 2014, 620, 17–22. [Google Scholar] [CrossRef]
- Wang, Y.; Lü, Y.; Zhan, W.; Xie, Z.; Kuang, Q.; Zheng, L. Synthesis of porous Cu2O/CuO cages using Cu-based metal–organic frameworks as templates and their gas-sensing properties. J. Mater. Chem. A 2015, 3, 12796–12803. [Google Scholar] [CrossRef]
- Shen, J.-H.; Chiang, T.-H.; Tsai, C.-K.; Jiang, Z.-W.; Horng, J.-J. Mechanistic insights into hydroxyl radical formation of Cu-doped ZnO/g-C3N4 composite photocatalysis for enhanced degradation of ciprofloxacin under visible light: Efficiency, kinetics, products identification and toxicity evaluation. J. Environ. Chem. Eng. 2022, 10, 107352. [Google Scholar] [CrossRef]
- Adorna Jr, J.; Annadurai, T.; Bui, T.A.N.; Tran, H.L.; Lin, L.-Y.; Doong, R.-A. Indirect Z-scheme nitrogen-doped carbon dot decorated Bi2MoO6/g-C3N4 photocatalyst for enhanced visible-light-driven degradation of ciprofloxacin. Chem. Eng. J. 2021, 422, 130103. [Google Scholar]
- Chen, A.; Wang, A.; Zhu, W.; Qian, Y.; Jiang, Z. Efficient catalytic activity of BiOBr@ polyaniline-MnO2 ternary nanocomposites for sunlight-driven photodegradation of ciprofloxacin. J. Photochem. Photobiol. A Chem. 2020, 386, 112126. [Google Scholar] [CrossRef]
- Navarro-Aguilar, A.; Obregón, S.; Sanchez-Martinez, D.; Hernández-Uresti, D. An efficient and stable WO3/g-C3N4 photocatalyst for ciprofloxacin and orange G degradation. J. Photochem. Photobiol. A Chem. 2019, 384, 112010. [Google Scholar] [CrossRef]
- Xu, H.; Zhang, J.; Lv, X.; Niu, T.; Zeng, Y.; Duan, J.; Hou, B. The effective photocatalysis and antibacterial properties of AgBr/Ag2MoO4@ ZnO composites under visible light irradiation. Biofouling 2019, 35, 719–731. [Google Scholar] [CrossRef]
- Wang, B.; Liu, G.; Ye, B.; Ye, Y.; Zhu, W.; Yin, S.; Xia, J.; Li, H. Novel CNT/PbBiO2Br hybrid materials with enhanced broad spectrum photocatalytic activity toward ciprofloxacin (CIP) degradation. J. Photochem. Photobiol. A Chem. 2019, 382, 111901. [Google Scholar] [CrossRef]
- Zhang, M.; Lai, C.; Li, B.; Huang, D.; Liu, S.; Qin, L.; Yi, H.; Fu, Y.; Xu, F.; Li, M. Ultrathin oxygen-vacancy abundant WO3 decorated monolayer Bi2WO6 nanosheet: A 2D/2D heterojunction for the degradation of Ciprofloxacin under visible and NIR light irradiation. J. Colloid Interface Sci. 2019, 556, 557–567. [Google Scholar] [CrossRef]
- Chen, W.-Q.; Li, L.-Y.; Li, L.; Qiu, W.-H.; Tang, L.; Xu, L.; Xu, K.-J.; Wu, M.-H. MoS2/ZIF-8 Hybrid Materials for Environmental Catalysis: Solar-Driven Antibiotic-Degradation Engineering. Engineering 2019, 5, 755–767. [Google Scholar] [CrossRef]
- Zhao, J.; Liu, J.; Li, N.; Wang, W.; Nan, J.; Zhao, Z.; Cui, F. Highly efficient removal of bivalent heavy metals from aqueous systems by magnetic porous Fe3O4-MnO2: Adsorption behavior and process study. Chem. Eng. J. 2016, 304, 737–746. [Google Scholar] [CrossRef]
- Su, X.; Tian, Y.; Zuo, W.; Zhang, J.; Li, H.; Pan, X. Static adsorptive fouling of extracellular polymeric substances with different membrane materials. Water Res. 2014, 50, 267–277. [Google Scholar] [CrossRef]
- Silva, I.F.; Teixeira, I.F.; Rios, R.D.; do Nascimento, G.M.; Binatti, I.; Victória, H.F.; Krambrock, K.; Cury, L.A.; Teixeira, A.P.C.; Stumpf, H.O. Amoxicillin photodegradation under visible light catalyzed by metal-free carbon nitride: An investigation of the influence of the structural defects. J. Hazard. Mater. 2021, 401, 123713. [Google Scholar] [CrossRef] [PubMed]
- Jiang, Y.; Huang, K.; Ling, W.; Wei, X.; Wang, Y.; Wang, J. Investigation of the Kinetics and Reaction Mechanism for Photodegradation Tetracycline Antibiotics over Sulfur-Doped Bi2WO6-x/ZnIn2S4 Direct Z-Scheme Heterojunction. Nanomaterials 2021, 11, 2123. [Google Scholar] [CrossRef] [PubMed]
- Uthirakumar, P.; Devendiran, M.; Kim, T.H.; Kalaiarasan, S.; Lee, I.-H. Fabrication of flexible sheets of Cu/CuO/Cu2O heterojunction nanodisks: A dominant performance of multiple photocatalytic sheets under natural sunlight. Mater. Sci. Eng. B 2020, 260, 114652. [Google Scholar] [CrossRef]
- Diao, F.; Tian, F.; Liang, W.; Feng, H.; Wang, Y. Mechanistical investigation on the self-enhanced photocatalytic activity of CuO/Cu 2 O hybrid nanostructures by density functional theory calculations. Phys. Chem. Chem. Phys. 2016, 18, 27967–27975. [Google Scholar] [CrossRef]
- Gupta, A.; Garg, A. Degradation of ciprofloxacin using Fenton’s oxidation: Effect of operating parameters, identification of oxidized by-products and toxicity assessment. Chemosphere 2018, 193, 1181–1188. [Google Scholar] [CrossRef]
- Rong, X.; Qiu, F.; Jiang, Z.; Rong, J.; Pan, J.; Zhang, T.; Yang, D. Preparation of ternary combined ZnO-Ag2O/porous g-C3N4 composite photocatalyst and enhanced visible-light photocatalytic activity for degradation of ciprofloxacin. Chem. Eng. Res. Des. 2016, 111, 253–261. [Google Scholar] [CrossRef]
- Hu, X.; Hu, X.; Peng, Q.; Zhou, L.; Tan, X.; Jiang, L.; Tang, C.; Wang, H.; Liu, S.; Wang, Y. Mechanisms underlying the photocatalytic degradation pathway of ciprofloxacin with heterogeneous TiO2. Chem. Eng. J. 2020, 380, 122366. [Google Scholar] [CrossRef]
- Chen, M.; Yao, J.; Huang, Y.; Gong, H.; Chu, W. Enhanced photocatalytic degradation of ciprofloxacin over Bi2O3/(BiO)2CO3 heterojunctions: Efficiency, kinetics, pathways, mechanisms and toxicity evaluation. Chem. Eng. J. 2018, 334, 453–461. [Google Scholar] [CrossRef]
- Giri, A.S.; Golder, A.K. Ciprofloxacin degradation from aqueous solution by Fenton oxidation: Reaction kinetics and degradation mechanisms. Rsc Adv. 2014, 4, 6738–6745. [Google Scholar] [CrossRef]
- Afzal, M.Z.; Sun, X.-F.; Liu, J.; Song, C.; Wang, S.-G.; Javed, A. Enhancement of ciprofloxacin sorption on chitosan/biochar hydrogel beads. Sci. Total Environ. 2018, 639, 560–569. [Google Scholar] [CrossRef] [PubMed]
- Chen, M.; Chu, W.J.A.C.B.E. Photocatalytic degradation and decomposition mechanism of fluoroquinolones norfloxacin over bismuth tungstate: Experiment and mathematic model. Appl. Catal. B. Environ. 2015, 168, 175–182. [Google Scholar] [CrossRef]
- Wu, D.; Li, J.; Guan, J.; Liu, C.; Zhao, X.; Zhu, Z.; Ma, C.; Huo, P.; Li, C.; Yan, Y.J.J.o.I.; et al. Improved photoelectric performance via fabricated heterojunction g-C3N4/TiO2/HNTs loaded photocatalysts for photodegradation of ciprofloxacin. J. Ind. Eng. Chem. 2018, 64, 206–218. [Google Scholar] [CrossRef]









| Photocatalyst | Dosage (g L−1) | Light Source | kobs (min−1) | Ref. |
|---|---|---|---|---|
| BiO2Br/0.5Mn-PANI | - | Sunlight | 0.0280 | [46] |
| 5%WO3/g-C3N4 | 1.0 | Solar light | 0.0256 | [47] |
| 0.5 AgBr/Ag2MoO4@ZnO | 0.8 | 420 nm | 0.0094 | [48] |
| WO3/Bi2WO6 | 0.4 | 420 nm | 0.0133 | [50] |
| MoS2/ZIF8 | 0.4 | 420 nm | 0.0099 | [51] |
| CuxO/MOF | 0.5 | 465 nm | 0.0480 | This study |
Disclaimer/Publisher’s Note: The statements, opinions and data contained in all publications are solely those of the individual author(s) and contributor(s) and not of MDPI and/or the editor(s). MDPI and/or the editor(s) disclaim responsibility for any injury to people or property resulting from any ideas, methods, instructions or products referred to in the content. |
© 2023 by the authors. Licensee MDPI, Basel, Switzerland. This article is an open access article distributed under the terms and conditions of the Creative Commons Attribution (CC BY) license (https://creativecommons.org/licenses/by/4.0/).
Share and Cite
Tsai, C.-K.; Huang, C.-H.; Horng, J.-J.; Ong, H.L.; Doong, R.-A. Enhanced Visible-Light-Responsive Photocatalytic Degradation of Ciprofloxacin by the CuxO/Metal-Organic Framework Hybrid Nanocomposite. Nanomaterials 2023, 13, 282. https://doi.org/10.3390/nano13020282
Tsai C-K, Huang C-H, Horng J-J, Ong HL, Doong R-A. Enhanced Visible-Light-Responsive Photocatalytic Degradation of Ciprofloxacin by the CuxO/Metal-Organic Framework Hybrid Nanocomposite. Nanomaterials. 2023; 13(2):282. https://doi.org/10.3390/nano13020282
Chicago/Turabian StyleTsai, Cheng-Kuo, Ching-Hsuan Huang, Jao-Jia Horng, Hui Lin Ong, and Ruey-An Doong. 2023. "Enhanced Visible-Light-Responsive Photocatalytic Degradation of Ciprofloxacin by the CuxO/Metal-Organic Framework Hybrid Nanocomposite" Nanomaterials 13, no. 2: 282. https://doi.org/10.3390/nano13020282
APA StyleTsai, C.-K., Huang, C.-H., Horng, J.-J., Ong, H. L., & Doong, R.-A. (2023). Enhanced Visible-Light-Responsive Photocatalytic Degradation of Ciprofloxacin by the CuxO/Metal-Organic Framework Hybrid Nanocomposite. Nanomaterials, 13(2), 282. https://doi.org/10.3390/nano13020282

