Abstract
The development of Ce-based materials is directly dependent on the catalyst surface defects, which is caused by the calcination steps required to increase structural stability. At the same time, the evaluation of cerium’s redox properties under reaction conditions is of increasing relevant importance. The synthesis of Ce-UiO-66 and CeZr-UiO-66 and their subsequent calcination are presented here as a simple and inexpensive approach for achieving homogeneous and stable CeO2 and CeZrOx nanocrystals. The resulting materials constitute an ideal case study to thoroughly understand cerium redox properties. The Ce3+/Ce4+ redox properties are investigated by H2-TPR experiments exploited by in situ FT-IR and Ce M5-edge AP-NEXAFS spectroscopy. In the latter case, Ce3+ formation is quantified using the MCR-ALS protocol. FT-IR is then presented as a high potential/easily accessible technique for extracting valuable information about the cerium oxidation state under operating conditions. The dependence of the OH stretching vibration frequency on temperature and Ce reduction is described, providing a novel tool for qualitative monitoring of surface oxygen vacancy formation. Based on the reported results, the molecular absorption coefficient of the Ce3+ characteristic IR transition is tentatively evaluated, thus providing a basis for future Ce3+ quantification through FT-IR spectroscopy. Finally, the FT-IR limitations for Ce3+ quantification are discussed.
Keywords:
MOFs-derived oxides; Ce-UiO-66; CeZr-UiO-66; CeO2; CeZrOx; Ce3+ quantification; FT-IR; AP-NEXAFS 1. Introduction
Ce-based catalysts are of great interest for their redox properties in a wide range of catalytic reactions such as CO oxidation, CO2 hydrogenation, water–gas shift, and many more [1,2,3,4,5,6,7,8,9,10]. The catalyst surface reactivity is strongly dependent on the presence of coordinatively unsaturated sites (CUS) [11,12,13]. The CUS can be simply described as surface defects where the site instability provides a higher energy state, enhancing the target reaction. The CUS concentration is synthesis-dependent since high-temperature calcination treatments induce crystallite sintering and a consequent loss of defects [14]. Nevertheless, most of the investigated reactions occur at elevated temperatures or pressures, which require a certain degree of catalyst stability. The synthesis of the catalyst should therefore require a simple preparation procedure which at the same time provides a high number of defective sites which are also stable at the operating temperatures of the catalyst.
The commonly used sol–gel methods generally involve long and complex synthesis procedures [4,15,16,17]. On the contrary, direct precursor calcination has shown a great potential for the direct preparation of catalysts [18,19,20,21,22]. In the latter approach, promising results have been reported for direct calcination of metal–organic frameworks (MOFs) at moderate temperatures (300–500 °C) [20,21,22,23,24,25,26,27,28,29]. Indeed, depending on the employed linkers, MOF synthesis can be very simple and cheap [30]. Furthermore, the natural separation of the oxide-based clusters by organic ligands prevents crystals from sintering even at high calcination temperatures, thus preserving the surface defects of the catalysts. It is noteworthy that Ce-based MOFs were recently studied as replacements for oxides in several chemical reactions [31,32,33]. However, the MOFs’ stability still limits their practical applications [34,35]. For this reason, MOF calcination is still preferred for preparation of stable nanocatalysts. Considering Ce-based oxides, while CUS reduce the activation energy of the reaction, the key catalytic redox role is usually played by Ce3+/4+ interconversions [1,2,12,13]. For this reason, tracking the cerium oxidation state is of major interest for understanding catalytic mechanisms. The oxidation state of cerium is often monitored by electron paramagnetic resonance (EPR) or X-ray-based techniques such as photoelectron spectroscopy (XPS), absorption spectroscopy (XAS) and near-edge absorption fine structure (NEXAFS) [36,37,38,39,40]. However, from a catalytic viewpoint, only XAS spectra collected with hard X-rays at Ce K- or L3-edges can access Ce3+/Ce4+ ratios under high temperature and pressure conditions. Unfortunately, these measurements are limited to synchrotron sources, which limits their availability. However, the presence of Ce3+ can also be identified with the less expensive/more available infrared spectroscopy. Indeed, it is well known that the Ce3+ 4f ground state splits into doublet 2F5/2 and 2F7/2 energy levels. They are separated by about 2000 cm−1 and the 2F5/2→2F7/2 electronic transition is observed in the infrared range at 2127 cm−1 [14,41,42,43,44,45,46]. The presence/absence of this absorption band was then related to the occurrence of Ce3+ and it has been recently used to qualitatively monitor cerium reduction in a NiCeO2 sample [18]. From the infrared viewpoint, the hydroxyl stretching vibration could also be used to selectively monitor Ce3+ formation on the catalyst surface. In fact, the ν(OH) position (≈3600 cm−1) depends on the hydroxyl-cation bond order, which is directly affected by Ce oxidation state, i.e., Ce3+ increases the bond order, causing a hypsochromic shift of the vibration [47]. The ν(OH) frequency can then be used to identify the formation of Ce3+-VO sites on the catalyst first surface layer, which is inaccessible to any other X-ray techniques as it represents a penetration depth of at least few nm. The use of infrared spectroscopy to safely monitor cerium’s oxidation state would then provide an incredible boost to redox mechanism evaluation since FT-IR and DRIFT cells capable of operating under several thermochemical conditions are now available [48,49,50].
In this work, we have then prepared three MOF samples with the UiO-66 structure and different Ce:Zr ratios on the clusters, i.e., 100% Ce, 50:50 Ce:Zr and 5:95 Ce:Zr. The three samples were calcined under aerobic conditions at 450 °C to obtain three stable and defective oxides containing the respective Ce:Zr ratio. FT-IR spectra of the three CeO2 and CeZrOx derived-oxides were recorded during temperature programmed oxidation/reduction experiments to monitor ν(OH) and Ce3+ infrared bands. Moreover, to compare and quantify Ce3+ evolution, the same experiment was repeated with an ambient pressure NEXAFS set-up. Ce M5-edge NEXAFS spectra were recorded under in situ conditions and Ce3+ was quantified through MCR-ALS routine. Ce3+ quantification was then combined with Ce3+ IR absorbance to determine its infrared molar absorption coefficient.
2. Materials and Methods
2.1. Samples Preparation
The MOF syntheses were carried out following a procedure described in the literature [51]. The corresponding amounts of aqueous solutions of cerium(IV) ammonium nitrate (Sigma-Aldrich, ≥99.99%) and/or zirconium(IV) dinitrate oxide hydrate (Sigma-Aldrich, 99%) (0.53 M) were added to a Pyrex reactor containing terephthalic acid (Sigma-Aldrich, 98%) (260 mg) and N,N-dimethylformamide (DMF) (VWR Chemicals, ≥99.8%) (see Table S1). Finally, and only in the case of Ce/Zr-UiO-66 materials, a known amount of formic acid (Sigma-Aldrich, 98%) (2.07 mL) was employed as a modulator. The resulting mixtures were magnetically stirred at 100 °C for 15 min. Then, the glass vessel reactors were cooled to RT and the reaction medium was collected by centrifugation. Finally, the MOFs were washed three times with DMF and twice with acetone. The as-obtained materials were allowed to dry at RT overnight prior to the analyses.
The MOF-derived materials were obtained by a thermal treatment under aerobic conditions. The corresponding amount of the MOF (Table S2) was calcined up to 450 °C with a ramp of 5 °C/min with a total flow of 0.5 mL/min (air). This temperature was maintained for 4 h to completely remove the organic components.
2.2. Thermogravimetric (TG) Analysis
The TG profile was collected with a TA Instruments Q600 thermobalance under an air flow (100 mL/min) with a ramp of 5 °C/min from RT to 600 °C with about 5 mg of sample in an alumina crucible.
2.3. Powder X-ray Diffraction (PXRD)
PXRD patterns were collected with a Panalytical X-Pert diffractometer in the 3–50° and 10–100° 2θ range for UiO-66 and oxides samples, respectively. The crystallite size was extracted through peak shape refinement using Thompson–Cox–Hastings (TCH) function implemented in FullProf software [52,53].
2.4. Specific Surface Area (SSA)
SSA was determined by applying the Brunauer–Emmett–Teller (BET) equation to N2 adsorption/desorption isotherms collected at 77 K obtained with a Micromeritics ASAP 2020 physisorption analyzer. The samples were previously evacuated at 120 °C (for the UiO-66 samples) and 400 °C (for oxides).
2.5. Transmission Electron Microscopy (TEM)
TEM was exploited to obtain morphological and structural information of the samples. The analyses were carried out by using a TEM Jeol JEM 3010 UHR (300 kV, LaB6 filament) equipped with X-ray EDS analysis by a Link ISIS 200 detector. The samples, in the form of powders, were deposited on a Cu grid coated with a porous carbon film.
2.6. In Situ Fourier Transform-Infrared (FT-IR)
FT-IR spectra were collected with an Aabspec cell suitable for thermal treatments under gas flows. The cell was mounted in a Bruker Invenio R spectrophotometer. Spectra were collected in transmission mode in the 4000–500 cm−1 range with 2 cm−1 resolution. CeO2 was pressed in a self-supported pellet of area ≈ 10 cm2. The pellet was held in a gold envelope and placed in the cell sample holder. The measurement protocol (Figure S1) consisted of two parts: (I) The CeO2 surface was cleaned from adsorbed species (H2O, carbonates, etc.) by heating the pellet from RT to 400 °C (5 °C/min) under 50 mL/min of N2 (99.9999%):O2 (99.99999%) (1:1) stream. The temperature was then held at 400 °C for 60 minutes and then cooled to RT. To prevent self-reduction, the oxidising gas mixture was maintained until 150 °C, while from 150 °C to RT, the gas stream consisted of pure N2 only. (II) Depending on the performed temperature programmed oxidation (TPO, Figure S1a) or reduction (TPR, Figure S1b) experiment (i.e., O2-TPO or H2-TPR, respectively), the gas mixture was replaced with a N2:O2 (99.9999%) or N2:H2 stream at 25 °C and held for 15′. After that, the TPO or TPR experiment was performed by heating the pellet from RT to 300 °C at 5 °C/min rate with a final holding at 300 °C for 30′. Both measurements were performed on the same pellet to guarantee experimental reproducibility.
2.7. Ambient Pressure Near-Edge X-ray Absorption Spectra (AP-NEXAFS)
AP-NEXAFS spectra were measured at APE-HE beamline of the Elettra Italian Synchrotron radiation source. CeO2 was placed in a specially designed reactor cell allowing thermal treatments in the RT–400 °C range under a gas atmosphere of 1 bar. The total electron yield (TEY) mode was used to record the experimental spectra. Ce M5-edge spectra were collected from 880 to 910 eV with 0.01 eV energy resolution. The measurement protocol followed the same steps as described for the in situ FTIR measurements (Figure S1) with N2 replaced by He (99.99999%) and with the maximum temperature limited to 350 °C. Spectra were energy aligned to a reference CeO2 measured simultaneously with the MOF-derived material. Spectra were background subtracted and energy aligned with the Thorondor software [54]. A 6th order polynomial was used for background subtraction. Ce3+/Ce4+ spectral pure components and their concentration evolution were extracted using MCR-ALS implemented in MATLAB. The MCR-ALS protocol lead to lack of fit (LOF) of 3.9% with PCA and 6.2% with experimental spectra, with 99.6% of variance explained [55]. Spectra and concentration were constrained to positive values while the closure condition was applied to concentrations. Notably, to increase the variance between spectra, the H2-TPR was conducted until 350 °C to improve Ce4+/Ce3+ spectra separation. Moreover, to guarantee reproducibility of the MCR-ALS protocol for the three samples, the collected spectra were analysed together in the same dataset. Ten replicas of CeO2 and CeF3 reference spectra were added at the end of the dataset to support the MCR-ALS protocol in finding Ce4+ and Ce3+ pure spectra components.
3. Results and Discussion
Ce-UiO-66 and CeZr-UiO-66 were synthesized following the procedure described by Lammert et al. [56] and reported in Materials and Methods section. The resulting solids showed the fcu topology characteristic of the UiO-66 materials (Figure 1a), as it can be deduced from the PXRD patterns reported in Figure 1b and Figure S2a. The PXRD patterns also presented a shift in Bragg reflections towards higher 2θ values with Zr concentration (Figure S2b), in line with the smaller ionic radii of Zr4+ (0.84 vs. 0.97 Å of Ce4+) [57]. On the other hand, the N2 adsorption isotherms revealed the microporous nature of these MOFs. The evaluated SSA was 1000–1440 m2/g, in line with the values reported in the literature (Figure S4 and Table S3) [56]. Thermogravimetric (TG) analysis (Figure 1a) showed ~40% of weight loss in the 300–500 °C temperature range, which corresponded to the degradation of the organic linker and the subsequent transformation of the MOFs into the metal oxide. The increase in the onset temperature with the Zr content was related to the known higher stability of pure Zr-UiO-66 [58]. MOF calcination was then conducted at 450 °C to eliminate the organic components, in line with the temperatures range reported in the literature [26,27,28,29]. C100-UiO-66 calcination could have been conducted at lower temperature (≈350 °C); however, this would have induced an inhomogeneity in the samples’ thermal treatments. In fact, all the successive measurements applied heating steps up to 400 °C. The calcination of the three MOFs at 450 °C then guaranteed the derived-oxides’ stability within the RT–400 °C temperature range. The PXRD pattern of the obtained yellowish powder (Figure 1c) presented Bragg peaks ascribable to a cubic (Fm-3m) CeO2 phase (JCPDS file number 34–394). As for the initial MOFs, Bragg reflections shifted to higher 2θ values with Zr concentration, in line with the Zr4+/Ce4+ ionic radii differences (Figure S2c,d). TEM images (Figure 1a,d) and crystallite size determined by PXRD Rietveld refinement (Figure S3, Table S3) confirmed that particles of among 5–10 nm were well defined and not agglomerated. An EDX analysis (Figure 1d) unveiled that the obtained oxides maintained the MOF composition, i.e., C100 (pure CeO2), C50Z50 (Ce:Zr 49:51 wt%), and C5Z95 (Ce:Zr 5:95 wt%) with an homogeneous distribution of Ce and Zr on the surface of the samples, confirming solid solution formation. The obtained oxides presented a significant drop in SSA (Table S3), in line with the collapse of the UiO-66 structure. Moreover, hysteresis necks (Figure 1e and Figure S4) were not observed in any of the samples. This indicated the absence of interparticle porosity, which is in line with the non-agglomerated particles observed by microscopy results.
Figure 1.
(a) Reported Ce-UiO-66 and CeO2 structures (Ce atoms/clusters in orange, O in red). TG analysis of C100-(red line), C50Z50-(green line), and C5Z95-UiO-66 (blue line) are shown in the top inset. The C100 TEM image is shown in the bottom inset. The PXRD pattern of (b) C100-UiO-66 and (c) C100 samples. (d) C50Z50 and C5Z95 TEM images and EDX maps. (e) N2 adsorption–desorption isotherms collected at 77 K over C100-UiO-66 (empty squares) and C100 (full squares) samples.
To obtain the best achievable information on the Ce oxidation state through FT-IR spectroscopy, O2-TPO and H2-TPR were collected over previously activated C100, C50Z50, and C5Z95 samples. The sample activation was conducted following the protocol described in the experimental section with the aim of cleaning its surface from adsorbate species (i.e., H2O, carbonates, and organic compounds). While the O2-TPO experiment was conducted to have a reference spectrum of oxidised CeO2 at the different temperatures, the H2-TPR experiment was expected to introduce Ce3+ and oxygen vacancies (VO) into the sample. Indeed, as reported in Equation (1), the exposure of Ce4+-O-Ce4+ sites to H2 at high temperatures can cause a redox reaction leading to cerium reduction and water formation.
Even though CeO2 and CeZrOx infrared spectra have been known for decades, we here aim to show how to exploit spectral fingerprints related to the Ce oxidation state. C100 spectra collected after thermal activation (described in SI) presented three bands in the ν(OH) region (Figure S5′) at 3704, 3684, and 3657 cm−1 ascribed to monodentate (m-OH), bidentate (b-OH), and tridentate (t-OH) hydroxyl groups (Figure S6), respectively. After the thermal activation, O2-TPO was conducted (Figure 2a) to track the reference variation in ν(OH) positions with temperature. During heating under O2, the absorbance of m- and b-OH bands decreased until a single broad band centered at 3696 cm−1 was formed. At the same time, the broad band centered at ~3500 cm−1, related to physisorbed water, decreased in intensity. In constrast, the t-OH lost intensity and its position shifted linearly to lower wavenumbers, (Figure 2b, red line) until it was stabilized when T = 300 °C. The band position bathochromic linear shift is associated with crystal lattice expansion. Instead, the loss of band integrated area could be related to either a decrease in surface OH groups (i.e., sample dehydration) or to a temperature dependence of the OH molar absorption coefficient (ε) [59,60]. Indeed, following the Beer–Lambert Law (Equation (2)), a variation in ε would directly affect the integrated band area. However, this can be excluded since surface dehydration was observed from the corresponding decrease in the broad band at 3500 cm−1. After having determined the spectral behavior under heating conditions, H2-TPR was conducted on the activated catalyst. First of all, by observing the physisorbed water band (~3500 cm−1), we noticed that the band intensity was relatively higher than the first spectra of the O2-TPO experiment. During H2-TPR, the band intensity initially decreased, indicating water desorption, while it increased again at higher temperatures. Water formation under H2/300 °C is the first evidence of cerium reduction with parallel formation of oxygen vacancies (VO), as described in Equation (1).
Figure 2.
(a) Detail of FT-IR spectra ν(OH) region collected during the O2-TPO experiment (temperature rise is shown as from black to red). (b) Position of t-OH maximum during H2-TPR (blue line) and O2-TPO (red line) experiments compared with Ce3+ band integrated area (green circles) observed during the H2-TPR experiment. The temperature profile is reported with a dashed red line. Detail of FT-IR spectra (c) ν(OH) and (d) Ce3+ 2F5/2→2F7/2 regions (baseline corrected) collected during H2-TPR experiments (temperature rise is shown as from black to blue).
Moreover, the higher intensity of the band in the spectra under H2/RT conditions suggested that surface reduction had already started at RT.
Considering the Ce-OH groups, m-OH and b-OH were rapidly consumed, whilst the t-OH band underwent a non-linear bathochromic shift (Figure 2c). Since t-OH presented a higher stability during thermal treatment, we focused on its band maximum position (Figure 2b, blue line). In particular, we observed that: (I) the frequency increased from 3658 cm−1 to 3661 cm−1 at T = 25 °C when the gas environment changed from N2 to N2:H2 (see protocol Figure S1). (II) The frequency decreased when the temperature increased to 300 °C, in line with lattice expansion, and (III) the frequency shifted to 3650 cm−1 (8 cm−1 higher than the final position reached under O2, i.e., 3542 cm−1) as soon as the temperature was stabilized at 300 °C. The origin of the t-OH shift under H2 can be further understood from the Ce3+ 2F5/2→2F7/2 electronic transition occurring at 2127 cm−1. Indeed, while this band was not observed under O2 (Figure S5b″), it presented a relevant intensity under H2 (Figure 2d). To understand the t-OH hypsochromic shift, it should be considered that during cerium reduction, Ce3+-VO-Ce3+ sites are formed (Equation (1)). The t-OH can then arrange over the Ce3+-VO-Ce3+ site, formally becoming a t’-OH group (Figure S6). Ce3+ increases the hydroxyl bond order causing a hypsochromic shift of the t’-OH vibration [47]. Furthermore, the Ce3+ integrated band absorbance intensity reported in Figure 2b (green circles) followed the same trend as the t-OH hypsochromic shift. In fact, the Ce3+ area (I) increased when H2 was added to the gas environment at a constant temperature of 25 °C, (II) it decreased during heating, and (III) it rose dramatically at T > 250 °C. This confirms the relationship between Ce3+ content and t-OH shift. A direct comparison of t-OH position with Ce3+ area gave a complete (non-quantitative) view of Ce3+-VO formation on both the catalyst surface (ν(OH)) and in the bulk (Ce3+ band). Notably, the H2O, ν(t-OH) or Ce3+ band area which highlights surface cerium reduction under H2, showed that the reaction had already begun at RT. This is in line with cerium’s higher reducibility in the case of MOF-derived CeO2 samples [26,27,28,29].
Nevertheless, the amount of available information extractable from FTIR spectra decreased in the case of CeZrOx solid solutions, i.e., C50Z50 and C5Z95. In the former, the even distribution of Ce/Zr within the lattice increased the hydroxyl species population with potential similar vibrational frequencies (see Figure S6). This caused a broadening of the observed band which prevented a precise evaluation of the t-OH shift reported in Figure S7a. On the contrary, in the C5Z95 sample, the lower Ce content reduced the broadening of the OH band. This allowed observation of the same behavior noticed for C100, i.e., m-OH was consumed, b-OH was preserved, and t-OH presented a non-linear bathochromic shift. Moreover, the maximum position of the latter presented an hypsochromic shift at T ≈ 150 °C, prevailing over the lattice expansion-induced bathochromic shift (Figure S7f). As showed by NEXAFS measurements (see discussion hereafter), C5Z95-ox already contained Ce3+. This indicated that at 150 °C, the Ce3+-VO surface concentration was sufficiently high to induce the observed shift. Concerning the Ce3+ 2F5/2→2F7/2 band, the higher Ce content in the C50Z50 sample allowed observation of the band formation (Figure S7b) which highlighted that Ce4+ reduction began at around 250 °C (Figure S7c). On the contrary, in C5Z95, the low Ce content did not allow observation of the band (Figure S7e).
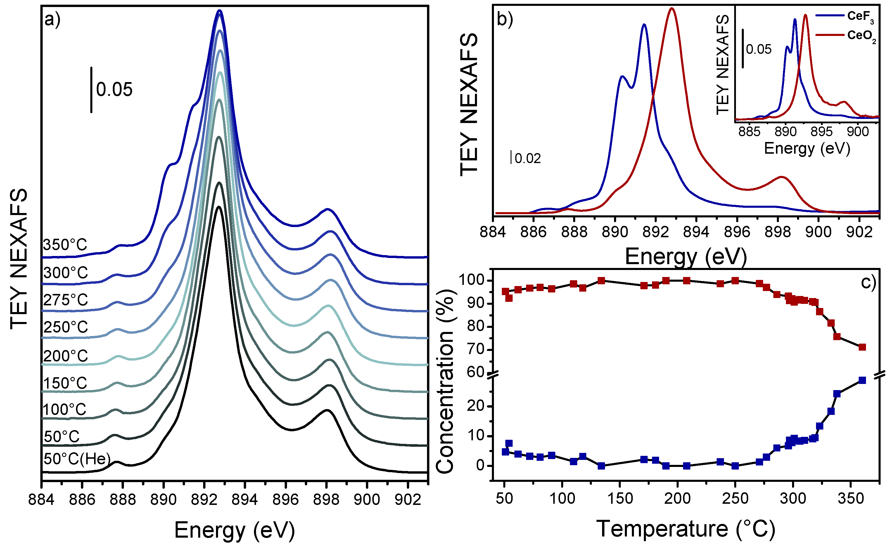
To quantify cerium reduction, Ce M5-edge AP-NEXAFS spectra were collected under the same conditions employed for the IR experiment, i.e., H2-TPR was performed after having heated the sample for 30 minutes at 300 °C under O2:He. Starting with C100, the as-prepared material presented a spectrum (Figure 3a) comparable to reference CeO2 (Figure 3b inset). However, during heating under He:H2 (Figure S8a), the Ce4+ bands initially gained intensity and lost the shoulder at 891 eV. The presence of this shoulder suggested a minor contribution of Ce3+ in C100 after oxidation. At T > 200 °C, the main edge lost intensity again, while a two-band shoulder arose at around 891 eV. These bands became structured around 300 °C, and at 350 °C they had a final shape clearly attributable to Ce3+. As we recently reported, Ce3+/Ce4+ can be quantified from M5-edge NEXAFS spectra with a driven MCR-ALS protocol where 10 replicas of CeO2 and CeF3 references spectra are added at the end of the dataset [40]. This method allowed to improve the identification of principal components whilst simultaneously adapting the references to the dataset. The procedure identified two principal components (Figure 3b) describing 99.6% of the variance. The component spectra were clearly related to the pure spectra of Ce4+ and Ce3+, though with a band width specifically related to these samples. Moreover, the CeO2 concentration profiles reported in Figure 3c indicated an evolution very close to the one observed in FT-IR experiments. We noticed that a minor content of Ce3+ (≈8%) was already present in the sample after oxidation which completely disappeared during heating. Ce3+ was then formed again at T > 200 °C and it reached levels of 10% and 30% at 300 °C and 350 °C, respectively. Even though the initial 8% of Ce3+ is within the MCR-ALS protocol error, we clearly observed that Ce3+ fingerprints were already present in C100 at RT (Figure S8b), confirming the reliability of the performed quantification.
Figure 3.
(a) C100 Ce M5-edge experimental NEXAFS spectra collected under 50 mL/min H2:He (3:2) from RT (black line) to 350 °C (blue line). The full spectra dataset is reported in Figure S4a. Ce4+ (red line/squares) and Ce3+ (blue line/squares) (b) spectral component and (c) concentration profiles extracted from unbiased MCR-ALS routine (99.6% of variance explained). CeO2 and CeF3 reference spectra are reported in the top inset with red and blues line, respectively.
Interestingly, since the FT-IR absorbance of the Ce3+ band and Ce M5-edge NEXAFS results followed the same trend, we attempted to extract the Ce3+ 2F5/2→2F7/2 transition molar attenuation coefficient. By exploiting the integrated Beer–Lambert law [61] (Equation (2) where A = absorbance, ε = molar attenuation coefficient, c = Ce3+ concentration, w = Ce content, and S = pellet area), we reported for the same temperature the evaluated Ce3+ concentration (through Ce M5-edge fit) with respect to the Ce3+ FT-IR band integrated area (Figure S9).
The slope of the scatter plot linear fit (Figure S9) indicated that . This approach is conventionally used for determining ε of adsorbed species [62,63,64,65]. In contrast, this is so far the first attempt to evaluate the Ce3+ molar extinction coefficient and it could potentially be used in the future to evaluate Ce3+ concentration from FT-IR measurements.
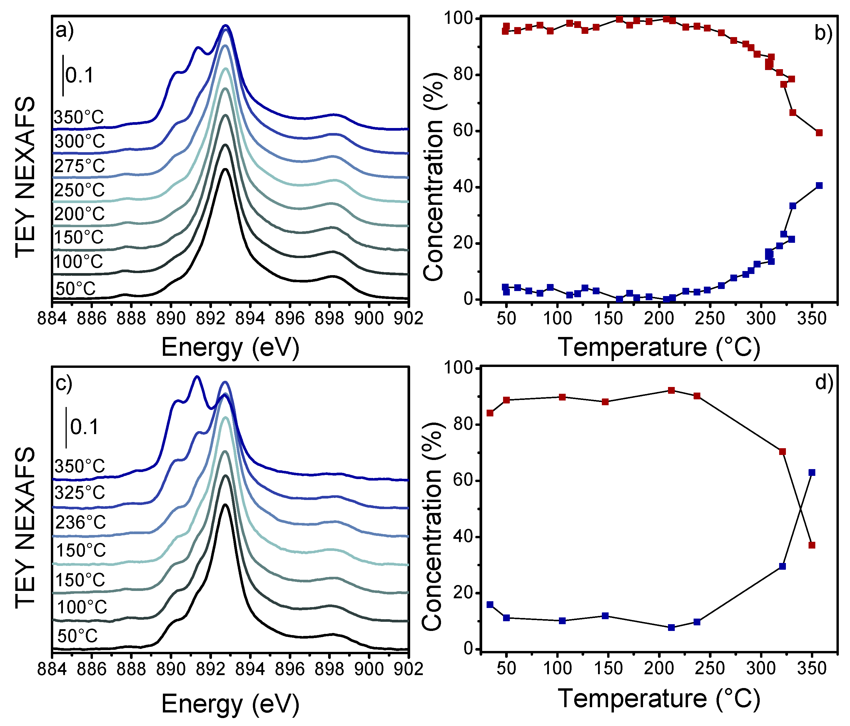
Regarding the mixed oxides, cerium showed a higher reducibility to Ce3+ with an increase in Zr content. In particular, we noticed that C50Z50 and C5Z95 presented 5 and 18% of Ce3+ in the prepared sample, respectively. At 350 °C under H2, the Ce3+ content increased to 40% for C50Z50 and 60% for C5Z95 (Figure 4). Indeed, it is well known that Ce reducibility increases in CeZrOx solid solutions due to lattice straining induced by the different ionic radius of Zr [1,66].
Figure 4.
(a) C50Z50 and (c) C5Z95 Ce M5-edge NEXAFS spectra measured during heating under 50 mL/min H2:He (3:2) from RT (black line) to 350 °C (blue line). The full spectra dataset is reported in Figure S10. (b) C50Z50 and (d) C5Z95 concentration profiles of Ce4+ (red squares) and Ce3+ (blue squares) obtained from MCR-ALS protocol applied to the experimental spectra in panels (a,c). CeO2 and CeF3 reference spectra are reported (Figure 3b).
It is noteworthy that the latter sample contained ≈18% of Ce3+ at 150 °C, confirming that the significant t-OH hypsochromic shift (Figure S7f) observed at this temperature was related to the high Ce3+ content (Figure 4c). Moreover, by combining the calculated ε with C50Z50 integrated absorbance after H2-TPR at 300 °C (≈1.09 cm−1, Figure S7c), we calculated a Ce3+ ≈ 14%, in agreement with the 13.6% of Ce3+ evaluated from the Ce M5-edge NEXAFS at the same temperature (Figure 4b).
4. Conclusions
Ce/Zr-UiO-66 calcination was presented as a cheap and simple synthesis pathway to obtain nanoparticles of CeO2 and homogeneous CeZrOx solid solutions. The MOF calcination temperature was determined by TG analysis whilst PXRD and EDX measurements confirmed a Ce/Zr homogenous dispersion. Due to their nanosize and homogeneity, the obtained oxides are ideal candidates for a deep understanding of their FTIR and NEXAFS spectra properties under reducing conditions. Cerium reduction occurred at RT under H2 and it was related to the use of a MOF as a precursor. Moreover, Ce reducibility increased with the Zr content. A careful analysis of CeO2 FT-IR H2-TPR spectra unveiled that the Ce3+ 2F5/2→2F7/2 transition can be used to monitor CeO2 bulk reduction. Moreover, we reported that the ν(OH) hypsochromic shift can be used to qualitatively determine the absence/presence of Ce3+-VO sites on the catalyst surface. Ce3+ was quantified by applying the MCR-ALS protocol to in situ Ce M5-edge NEXAFS spectra. NEXAFS results reproduced the infrared results, hence confirming the reliability of the latter.
Eventually, by combining CeO2 FTIR and Ce M5-edge NEXAFS spectra, the Ce3+ 2F5/2→2F7/2 molar absorption coefficient was calculated. The coefficient was further used to calculate Ce3+ content in mixed CeZrOx, leading to results in line with Ce M5-edge NEXAFS quantification. This proved that the determined molar absorption coefficient value could be further employed for Ce3+ quantification during operational FT-IR experiments.
We then demonstrated that the CeO2 FTIR spectrum presents excellent markers to extract valuable information on the reduction state of bulk and surface Ce3+. These fingerprints can be potentially monitored under relevant reaction conditions with a time resolution an order of magnitude faster than NEXAFS (seconds vs. minutes).
Nevertheless, the integrated area of the Ce3+ band and ν(OH) vibration are easily disturbed in case of doped Ce-based solid solutions (i.e., CeZrOx) where, depending on Ce content and its dispersion, only one of the two was meaningful. On the contrary, Ce M5-edge NEXAFS spectra were sensitive to Ce even with loading ≈ 5%, giving the technique access to all the possible combinations of Ce-based materials.
Supplementary Materials
The following supporting information can be downloaded at: https://www.mdpi.com/article/10.3390/nano13020272/s1. Table S1. Employed reactants quantities for the MOF synthesis. Table S2. Quantities of MOFs employed and quantities of oxides obtained after MOFs calcination. Table S3. Elemental composition, textural and structural properties of the six samples. a ICP results. b EDX results. Figure S1. Thermal protocol employed for (a) O2-TPO and (b) H2-TPR measurements. Figure S2. PXRD pattern of (a) C100-UiO-66 (red line), C50Z50-UiO-66 (green line) and C5Z95-UiO-66 (blue line) and (c) CeO2 (red line), C50Z50 (green line) and C5Z95 (blue line). Detail of fcu and Fm-3m main Bragg reflections are reported in panels (b,d), respectively. Figure S3. (a) C100, (b) C50Z50 and (c) C5Z95 PXRD experimental data (black line), refined pattern (red line) and difference function (blue line). Figure S4. N2 adsorption/desorption isotherms of (a) C100-UiO-66 (red line), C50Z50-UiO-66 (green line) and C5Z95-UiO-66 (blue line) and (b) C100 (red line), C50Z50 (green line) and C5Z95 (blue line). Figure S5. FT-IR spectra collected on C100 during the: (a) protocol step I (temperature rises from black to green line), (b) O2-TPR (temperature rises from black to red line) and (c) H2-TPR (temperature rises from balck to blue line). Detail of ν(OH) and Ce3+ 2F5/2→2F7/2 electronic transtion are reported in the smaller panels indictaed with ’) and ’’), respectively. Figure S6. Examples of possible OH groups species potentially formed over CeO2 and CeZrOx. surface. Ce4+ and Ce3+ atoms are represented with red and blue colours, respectively. Figure S7. FTIR spectra collected during H2-TPR experiment on (a–c) C50Z50 and (d–f) C5Z95 samples. Detail of (a,d) ν(OH) and (b,e) Ce3+ 2F5/2→2F7/2 regions (temperature increases from black to blue line). (c) C50Z50 Ce3+ 2F5/2→2F7/2 integrated area (black squares) respect to temperature evolution (red squares). (f) C5Z95 t-OH position (blue line) respect to temperature evolution (red squares). Figure S8. C100 (a,b) Ce M5 edge NEXAFS spectra collected during H2-TPR experiment. Temperatures are reported in the graph legend. Figure S9. (a) Ce3+ concentration evaluated by Ce M5-edge NEXAFS fit reported with respect to the Ce3+ FT-IR band integrated area collected at the same temperature. Linear fit is reported with red line whilst its equation and the Pearson R value are reported in the graph. (b) Residual plot for the employed linear fit model. Figure S10. (a) C50Z50 and (b) C5Z95 Ce M5-edge NEXAFS spectra measured during heating under 50 mL/min H2:He (3:2). Temperature increases from black to blue line. References [51,52,53,54,55,67] are cited in supplementary materials.
Author Contributions
D.S.: Conceptualization, formal analysis, writing—original draft preparation; S.M. and G.D.: formal analysis, writing—review and editing; P.T. and S.B.: supervision, visualization, writing—review and editing; S.R.-B.: Conceptualization, supervision, visualization, formal analysis, writing—review and editing. All authors have read and agreed to the published version of the manuscript.
Funding
This work was partially funded by the Margarita Salas grant financed by the Ministerio de Universidades, Spain, and by the European Union-Next Generation EU and also by the European Union´s Horizon 2020 research and innovation program under grant agreement 837733.
Data Availability Statement
Not applicable.
Acknowledgments
The authors are grateful to APE-HE beamline (Elettra Synchrotron) for beamtime allocation and the experimental support. A. Kudinov is acknowledged for support with sample synthesis and characterization. M. Signorile is acknowledged for support during NEXAFS measurements and further scientific discussions. A. Kudinov and M. R. Salazar are acknowledged for support during NEXAFS spectra measurement. D. Simonne is acknowledged for support with NEXAFS data analysis. Maria Carmen Valsania is acknowledged for TEM measurements. S. Rojas-Buzo acknowledges the Margarita Salas grant financed by the Ministerio de Universidades, Spain, and also funded by the European Union-Next Generation EU. This work has been partially performed in the framework of the Nanoscience Foundry and Fine Analysis (NFFA-MIUR Italy Progetti Internazionali) project.
Conflicts of Interest
The authors declare no conflict of interest. The funders had no role in the design of the study; in the collection, analyses, or interpretation of data; in the writing of the manuscript; or in the decision to publish the results.
References
- Montini, T.; Melchionna, M.; Monai, M.; Fornasiero, P. Fundamentals and Catalytic Applications of CeO2-Based Materials. Chem. Rev. 2016, 116, 5987–6041. [Google Scholar] [CrossRef] [PubMed]
- Wang, F.; Wei, M.; Evans, D.G.; Duan, X. CeO2-Based Heterogeneous Catalysts toward Catalytic Conversion of CO2. J. Mater. Chem. A 2016, 4, 5773–5783. [Google Scholar] [CrossRef]
- Ebrahimi, P.; Kumar, A.; Khraisheh, M. A Review of CeO2 Supported Catalysts for CO2 Reduction to CO through the Reverse Water Gas Shift Reaction. Catalysts 2022, 12, 1101. [Google Scholar] [CrossRef]
- Yang, W.; Wang, X.; Song, S.; Zhang, H. Syntheses and Applications of Noble-Metal-Free CeO2-Based Mixed-Oxide Nanocatalysts. Chem 2019, 5, 1743–1774. [Google Scholar] [CrossRef]
- Paier, J.; Penschke, C.; Sauer, J. Oxygen Defects and Surface Chemistry of Ceria: Quantum Chemical Studies Compared to Experiment. Chem. Rev. 2013, 113, 3949–3985. [Google Scholar] [CrossRef]
- Boaro, M.; Colussi, S.; Trovarelli, A. Ceria-Based Materials in Hydrogenation and Reforming Reactions for CO2 Valorization. Front. Chem. 2019, 7, 28. [Google Scholar] [CrossRef]
- Chang, K.; Zhang, H.; Cheng, M.J.; Lu, Q. Application of Ceria in CO2 Conversion Catalysis. ACS Catal. 2020, 10, 613–631. [Google Scholar] [CrossRef]
- Kim, H.J.; Jang, M.G.; Shin, D.; Han, J.W. Design of Ceria Catalysts for Low-Temperature CO Oxidation. ChemCatChem 2020, 12, 11–26. [Google Scholar] [CrossRef]
- Chen, D.; Niakolas, D.K.; Papaefthimiou, V.; Ioannidou, E.; Neophytides, S.G.; Zafeiratos, S. How the Surface State of Nickel/Gadolinium-Doped Ceria Cathodes Influences the Electrochemical Performance in Direct CO2 Electrolysis. J. Catal. 2021, 404, 518–528. [Google Scholar] [CrossRef]
- Can, F.; Berland, S.; Royer, S.; Courtois, X.; Duprez, D. Composition-Dependent Performance of CexZr1-XO2 Mixed-Oxide-Supported WO3 Catalysts for the NOx Storage Reduction-Selective Catalytic Reduction Coupled Process. ACS Catal. 2013, 3, 1120–1132. [Google Scholar] [CrossRef]
- Wu, Z.; Li, M.; Howe, J.; Meyer, H.M.; Overbury, S.H. Probing Defect Sites on CeO2 Nanocrystals with Well-Defined Surface Planes by Raman Spectroscopy and O2 Adsorption. Langmuir 2010, 26, 16595–16606. [Google Scholar] [CrossRef] [PubMed]
- Yang, C.; Lu, Y.; Zhang, L.; Kong, Z.; Yang, T.; Tao, L.; Zou, Y.; Wang, S. Defect Engineering on CeO2—Based Catalysts for Heterogeneous Catalytic Applications. Small Struct. 2021, 2, 2100058. [Google Scholar] [CrossRef]
- Konsolakis, M. Facet-Dependent Reactivity of Ceria Nanoparticles Exemplified. Catalysts 2021, 11, 452. [Google Scholar] [CrossRef]
- Bozon-Verduraz, F.; Bensalem, A. IR Studies of Cerium Dioxide: Influence of Impurities and Defects. J. Chem. Soc. Faraday Trans. 1994, 90, 653–657. [Google Scholar] [CrossRef]
- Kurajica, S.; Mužina, K.; Dražić, G.; Matijašić, G.; Duplančić, M.; Mandić, V.; Župančić, M.; Munda, I.K. A Comparative Study of Hydrothermally Derived Mn, Fe, Co, Ni, Cu and Zn Doped Ceria Nanocatalysts. Mater. Chem. Phys. 2020, 244, 122689. [Google Scholar] [CrossRef]
- Xiong, Y.; Li, L.; Zhang, L.; Cao, Y.; Yu, S.; Tang, C.; Dong, L. Migration of Copper Species in CexCu1−XO2 Catalyst Driven by Thermal Treatment and the Effect on CO Oxidation. Phys. Chem. Chem. Phys. 2017, 19, 21840–21847. [Google Scholar] [CrossRef]
- Shan, W.; Luo, M.; Ying, P.; Shen, W.; Li, C. Reduction Property and Catalytic Activity of Ce1−XNiXO2 Mixed Oxide Catalysts for CH4 Oxidation. Appl. Catal. A Gen. 2003, 246, 1–9. [Google Scholar] [CrossRef]
- Barreau, M.; Chen, D.; Zhang, J.; Papaefthimiou, V.; Petit, C.; Salusso, D.; Borfecchia, E.; Turczyniak-Surdacka, S.; Sobczak, K.; Mauri, S.; et al. Synthesis of Ni-Doped Ceria Nanoparticles and Their Unusual Surface Reduction in Hydrogen. Mater. Today Chem. 2022, 26, 101011. [Google Scholar] [CrossRef]
- Sher, M.; Javed, M.; Shahid, S.; Hakami, O.; Qamar, M.A.; Iqbal, S.; AL-Anazy, M.M.; Baghdadi, H.B. Designing of Highly Active G-C3N4/Sn Doped ZnO Heterostructure as a Photocatalyst for the Disinfection and Degradation of the Organic Pollutants under Visible Light Irradiation. J. Photochem. Photobiol. A Chem. 2021, 418, 113393. [Google Scholar] [CrossRef]
- Li, Y.; Han, W.; Wang, R.; Weng, L.T.; Serrano-Lotina, A.; Bañares, M.A.; Wang, Q.; Yeung, K.L. Performance of an Aliovalent-Substituted CoCeOx Catalyst from Bimetallic MOF for VOC Oxidation in Air. Appl. Catal. B Environ. 2020, 275, 119121. [Google Scholar] [CrossRef]
- Nanoparticles, T.C.; Elias, J.S.; Risch, M.; Giordano, L.; Mansour, A.N.; Shao-horn, Y. Structure, Bonding, and Catalytic Activity of Monodisperse, Transition-Metal-Substituted CeO2 Nanoparticles. J. Am. Chem. Soc. 2014, 136, 17193–17200. [Google Scholar]
- Derafa, W.; Paloukis, F.; Mewafy, B.; Baaziz, W.; Ersen, O.; Petit, C.; Corbel, G.; Zafeiratos, S. Synthesis and Characterization of Nickel-Doped Ceria Nanoparticles with Improved Surface Reducibility. RSC Adv. 2018, 8, 40712–40719. [Google Scholar] [CrossRef]
- Huang, J.; Li, W.; Wang, K.; Huang, J.; Liu, X.; Fu, D.; Li, Q.; Zhan, G. M XO Y-ZrO2 (M = Zn, Co, Cu) Solid Solutions Derived from Schiff Base-Bridged UiO-66 Composites as High-Performance Catalysts for CO2 Hydrogenation. ACS Appl. Mater. Interfaces 2019, 11, 33263–33272. [Google Scholar] [CrossRef]
- Guo, Y.; Yu, Q.; Fang, H.; Wang, H.; Han, J.; Ge, Q.; Zhu, X. Ce-UiO-66 Derived CeO2 Octahedron Catalysts for Efficient Ketonization of Propionic Acid. Ind. Eng. Chem. Res. 2020, 59, 17269–17278. [Google Scholar] [CrossRef]
- Fang, R.; Luque, R.; Li, Y. Efficient One-Pot Fructose to DFF Conversion Using Sulfonated Magnetically Separable MOF-Derived Fe3O4 (111) Catalysts. Green Chem. 2017, 19, 647–655. [Google Scholar] [CrossRef]
- More, G.S.; Srivastava, R. Efficient Activation of CO2 over Ce-MOF-Derived CeO2for the Synthesis of Cyclic Urea, Urethane, and Carbamate. Ind. Eng. Chem. Res. 2021, 60, 12492–12504. [Google Scholar] [CrossRef]
- Mei, J.; Shen, Y.; Wang, Q.; Shen, Y.; Li, W.; Zhao, J.; Chen, J.; Zhang, S. Roles of Oxygen Species in Low-Temperature Catalytic o-Xylene Oxidation on MOF-Derived Bouquetlike CeO2. ACS Appl. Mater. Interfaces 2022, 14, 35694–35703. [Google Scholar] [CrossRef]
- Wang, Y.; Bi, F.; Wang, Y.; Jia, M.; Tao, X.; Jin, Y.; Zhang, X. MOF-Derived CeO2 Supported Ag Catalysts for Toluene Oxidation: The Effect of Synthesis Method. Mol. Catal. 2021, 515, 111922. [Google Scholar] [CrossRef]
- Sun, H.; Yu, X.; Ma, X.; Yang, X.; Lin, M.; Ge, M. MnOx-CeO2 Catalyst Derived from Metal-Organic Frameworks for Toluene Oxidation. Catal. Today 2020, 355, 580–586. [Google Scholar] [CrossRef]
- Bagi, S.; Yuan, S.; Rojas-Buzo, S.; Shao-Horn, Y.; Román-Leshkov, Y. A Continuous Flow Chemistry Approach for the Ultrafast and Low-Cost Synthesis of MOF-808. Green Chem. 2021, 23, 9982–9991. [Google Scholar] [CrossRef]
- Wei, Y.S.; Zhang, M.; Zou, R.; Xu, Q. Metal-Organic Framework-Based Catalysts with Single Metal Sites. Chem. Rev. 2020, 120, 12089–12174. [Google Scholar] [CrossRef] [PubMed]
- Cai, G.; Yan, P.; Zhang, L.; Zhou, H.-C.; Jiang, H.-L. Metal–Organic Framework-Based Hierarchically Porous Materials: Synthesis and Applications. Chem. Rev. 2021, 121, 12278–12326. [Google Scholar] [CrossRef] [PubMed]
- Rojas-Buzo, S.; Concepción, P.; Olloqui-Sariego, J.L.; Moliner, M.; Corma, A. Metalloenzyme-Inspired Ce-MOF Catalyst for Oxidative Halogenation Reactions. ACS Appl. Mater. Interfaces 2021, 13, 31021–31030. [Google Scholar] [CrossRef] [PubMed]
- Ding, M.; Cai, X.; Jiang, H.L. Improving MOF Stability: Approaches and Applications. Chem. Sci. 2019, 10, 10209–10230. [Google Scholar] [CrossRef] [PubMed]
- Howarth, A.J.; Liu, Y.; Li, P.; Li, Z.; Wang, T.C.; Hupp, J.T.; Farha, O.K. Chemical, Thermal and Mechanical Stabilities of Metal–Organic Frameworks. Nat. Rev. Mater. 2016, 1, 15018. [Google Scholar] [CrossRef]
- Garvie, L.A.J.; Buseck, P.R. Determination of Ce4+/Ce3+ in Electron-Beam-Damaged CeO2 by Electron Energy-Loss Spectroscopy. J. Phys. Chem. Solids 1999, 60, 1943–1947. [Google Scholar] [CrossRef]
- Livraghi, S.; Paganini, M.C.; Giamello, E.; Di Liberto, G.; Tosoni, S.; Pacchioni, G. Formation of Reversible Adducts by Adsorption of Oxygen on Ce-ZrO2: An Unusual H2 Ionic Superoxide. J. Phys. Chem. C 2019, 123, 27088–27096. [Google Scholar] [CrossRef]
- Karnatak, R.C.; Esteva, J.M.; Dexpert, H.; Gasgnier, M.; Caro, P.E.; Albert, L. X-Ray Absorption Studies of CeO2, PrO2, and TbO2. I. Manifestation of Localized and Extended f States in the 3d Absorption Spectra. Phys. Rev. B 1987, 36, 1745–1749. [Google Scholar] [CrossRef]
- Paparazzo, E. Use and Mis-Use of x-Ray Photoemission Spectroscopy Ce3d Spectra of Ce2O3 and CeO2. J. Phys. Condens. Matter 2018, 30, 343003. [Google Scholar] [CrossRef]
- Rojas-Buzo, S.; Salusso, D.; Bonino, F.; Paganini, M.C.; Bordiga, S. Unraveling the Reversible Formation of Defective Ce3+ Sites in the UiO-66(Ce) Material: A Multi-Technique Study. Mater. Today Chem. 2023, 27, 101337. [Google Scholar] [CrossRef]
- Laachir, A.; Perrichon, V.; Badri, A.; Lamotte, J.; Catherine, E.; Lavalley, J.C.; El Fallah, J.; Hilaire, L.; Le Normand, F.; Quéméré, E.; et al. Reduction of CeO2 by Hydrogen. Magnetic Susceptibility and Fourier-Transform Infrared, Ultraviolet and X-Ray Photoelectron Spectroscopy Measurements. J. Chem. Soc., Faraday Trans. 1991, 87, 1601–1609. [Google Scholar] [CrossRef]
- Vindigni, F.; Manzoli, M.; Tabakova, T.; Idakiev, V.; Boccuzzi, F.; Chiorino, A. Effect of Ceria Structural Properties on the Catalytic Activity of Au-CeO2 Catalysts for WGS Reaction. Phys. Chem. Chem. Phys. 2013, 15, 13400–13408. [Google Scholar] [CrossRef]
- Zhang, W.; Li, P.; Duan, X.; Liu, S.; Wang, Z. Enhanced Broadband Excitable Near-Infrared Luminescence in Ce3+/Yb3+ Codoped Oxyapatite Based Glass Ceramics. Phys. B Condens. Matter 2020, 582, 411898. [Google Scholar] [CrossRef]
- Lin, J.; Su, Q. Luminescence and Energy Transfer of Rare-Earth-Metal Ions in Mg2Y8(SiO4)6O2. J. Mater. Chem. 1995, 5, 1151–1154. [Google Scholar] [CrossRef]
- Herrmann, A.; Othman, H.A.; Assadi, A.A.; Tiegel, M.; Kuhn, S.; Rüssel, C. Spectroscopic Properties of Cerium-Doped Aluminosilicate Glasses. Opt. Mater. Express 2015, 5, 720. [Google Scholar] [CrossRef]
- Li, J.; Chen, L.; Hao, Z.; Zhang, X.; Zhang, L.; Luo, Y.; Zhang, J. Efficient Near-Infrared Downconversion and Energy Transfer Mechanism of Ce3+/Yb3+ Codoped Calcium Scandate Phosphor. Inorg. Chem. 2015, 54, 4806–4810. [Google Scholar] [CrossRef]
- Binet, C.; Badri, A.; Lavalley, J.C. A Spectroscopic Characterization of the Reduction of Ceria from Electronic Transitions of Intrinsic Point Defects. J. Phys. Chem. 1994, 98, 6392–6398. [Google Scholar] [CrossRef]
- Thomas, S.; Marie, O.; Bazin, P.; Lietti, L.; Visconti, C.G.; Corbetta, M.; Manenti, F.; Daturi, M. Modelling a Reactor Cell for Operando IR Studies: From Qualitative to Fully Quantitative Kinetic Investigations. Catal. Today 2017, 283, 176–184. [Google Scholar] [CrossRef]
- Meunier, F.C.; Goguet, A.; Shekhtman, S.; Rooney, D.; Daly, H. A Modified Commercial DRIFTS Cell for Kinetically Relevant Operando Studies of Heterogeneous Catalytic Reactions. Appl. Catal. A Gen. 2008, 340, 196–202. [Google Scholar] [CrossRef]
- Melián-Cabrera, I. Temperature Control in DRIFT Cells Used for: In Situ and Operando Studies: Where Do We Stand Today? Phys. Chem. Chem. Phys. 2020, 22, 26088–26092. [Google Scholar] [CrossRef]
- Lammert, M.; Glißmann, C.; Stock, N. Tuning the Stability of Bimetallic Ce(IV)/Zr(IV)-Based MOFs with UiO-66 and MOF-808 Structures. Dalt. Trans. 2017, 46, 2425–2429. [Google Scholar] [CrossRef]
- Rodríguez-Carvajal, J. Recent Developments of the Program Fullprof. Newsl. Comm. Powder Diffr. IUCr 2001, 26, 12–19. [Google Scholar]
- Thompson, P.; Cox, D.E.; Hastings, J.B. Rietveld Refinement of Debye-Scherrer Synchrotron X-Ray Data from Al2O3. J. Appl. Crystallogr. 1987, 20, 79–83. [Google Scholar] [CrossRef]
- Simonne, D.; Martini, A.; Signorile, M.; Piovano, A.; Braglia, L.; Torelli, P.; Borfecchia, E.; Ricchiardi, G. THORONDOR: Software for Fast Treatment and Analysis of Low-Energy XAS Data. J. Synchrotron Radiat. 2020, 27, 1741–1752. [Google Scholar] [CrossRef] [PubMed]
- Ruckebusch, C.; Blanchet, L. Multivariate Curve Resolution: A Review of Advanced and Tailored Applications and Challenges. Anal. Chim. Acta 2013, 765, 28–36. [Google Scholar] [CrossRef] [PubMed]
- Lammert, M.; Wharmby, M.T.; Smolders, S.; Bueken, B.; Lieb, A.; Lomachenko, K.A.; De Vos, D.; Stock, N. Cerium-Based Metal Organic Frameworks with UiO-66 Architecture: Synthesis, Properties and Redox Catalytic Activity. Chem. Commun. 2015, 51, 12578–12581. [Google Scholar] [CrossRef]
- Shannon, R.D. Revised Effective Ionic Radii and Systematic Studies of Interatomie Distances in Halides and Chaleogenides. Acta Crystallogr. Sect. A Found. Crystallogr. 1976, 32, 751–767. [Google Scholar] [CrossRef]
- Ronda-Lloret, M.; Pellicer-Carreño, I.; Grau-Atienza, A.; Boada, R.; Diaz-Moreno, S.; Narciso-Romero, J.; Serrano-Ruiz, J.C.; Sepúlveda-Escribano, A.; Ramos-Fernandez, E.V. Mixed-Valence Ce/Zr Metal-Organic Frameworks: Controlling the Oxidation State of Cerium in One-Pot Synthesis Approach. Adv. Funct. Mater. 2021, 31, 2102582. [Google Scholar] [CrossRef]
- Libowitzky, E. Correlation of O-H Stretching Frequencies and O-H O Hydrogen Bond Lengths in Minerals. Hydrog. Bond Res. 1999, 1059, 103–115. [Google Scholar] [CrossRef]
- Yang, Y.; Xia, Q.; Feng, M.; Zhang, P. Temperature Dependence of IR Absorption of OH Species in Clinopyroxene. Am. Mineral. 2010, 95, 1439–1443. [Google Scholar] [CrossRef]
- Mayerhöfer, T.G.; Pipa, A.V.; Popp, J. Beer’s Law-Why Integrated Absorbance Depends Linearly on Concentration. ChemPhysChem 2019, 20, 2748–2753. [Google Scholar] [CrossRef] [PubMed]
- Badri, A.; Binet, C.; Lavalley, J.C. Use of Methanol as an IR Molecular Probe to Study the Surface of Polycrystalline Ceria. J. Chem. Soc. Faraday Trans. 1997, 93, 1159–1168. [Google Scholar] [CrossRef]
- Deplano, G.; Signorile, M.; Crocellà, V.; Porcaro, N.G.; Atzori, C.; Solemsli, B.G.; Svelle, S.; Bordiga, S. Titration of Cu(I) Sites in Cu-ZSM-5 by Volumetric CO Adsorption. ACS Appl. Mater. Interfaces 2022, 14, 21059–21068. [Google Scholar] [CrossRef]
- Menegazzo, F.; Manzoli, M.; Chiorino, A.; Boccuzzi, F.; Tabakova, T.; Signoretto, M.; Pinna, F.; Pernicone, N. Quantitative Determination of Gold Active Sites by Chemisorption and by Infrared Measurements of Adsorbed CO. J. Catal. 2006, 237, 431–434. [Google Scholar] [CrossRef]
- Daturi, M.; Binet, C.; Lavalley, J.; Sporken, R. Surface Investigation on CexZr1−xO2 Compounds. Phys. Chem. Chem. Phys. 1999, 1, 5717–5724. [Google Scholar] [CrossRef]
- Kašpar, J.; Fornasiero, P.; Graziani, M. Use of CeO2-Based Oxides in the Three-Way Catalysis. Catal. Today 1999, 50, 285–298. [Google Scholar] [CrossRef]
- Ravel, B.; Newville, M. ATHENA, ARTEMIS, HEPHAESTUS: Data Analysis for X-ray Absorption Spectroscopy Using IFEFFIT. J. Synchrotron Radiat. 2005, 12, 537–541. [Google Scholar] [CrossRef] [PubMed]
Disclaimer/Publisher’s Note: The statements, opinions and data contained in all publications are solely those of the individual author(s) and contributor(s) and not of MDPI and/or the editor(s). MDPI and/or the editor(s) disclaim responsibility for any injury to people or property resulting from any ideas, methods, instructions or products referred to in the content. |
© 2023 by the authors. Licensee MDPI, Basel, Switzerland. This article is an open access article distributed under the terms and conditions of the Creative Commons Attribution (CC BY) license (https://creativecommons.org/licenses/by/4.0/).



