Ameliorating Uniformity and Color Conversion Efficiency in Quantum Dot-Based Micro-LED Displays through Blue–UV Hybrid Structures
Abstract
1. Introduction
2. Simulated Method and Structure Definition
- (1)
- Transmission through the DBR structure to the receiver plane: Light from the LEDs strikes the DBR structure at an angle that does not achieve total internal reflection; Therefore, it follows Snell’s law and reaches the receiver plane through refraction.
- (2)
- Direct to Receiver Plane: The light generated by the LED is directed straight to the receiver plane, bypassing any objects;
- (3)
- Reflected light from DBR structure: Reflected light is produced when the angle of incidence on the DBR reaches the total internal reflection (TIR) angle, and it subsequently reaches the receiver plane;
- (4)
- Reflected light from the receiver plane: Reflected light is produced when light impinges upon the receiver plane.
3. Experiment and Fabrication Process
3.1. UV and Blue μ-LED Preparation Process
3.2. QDPR Array Preparation Technology
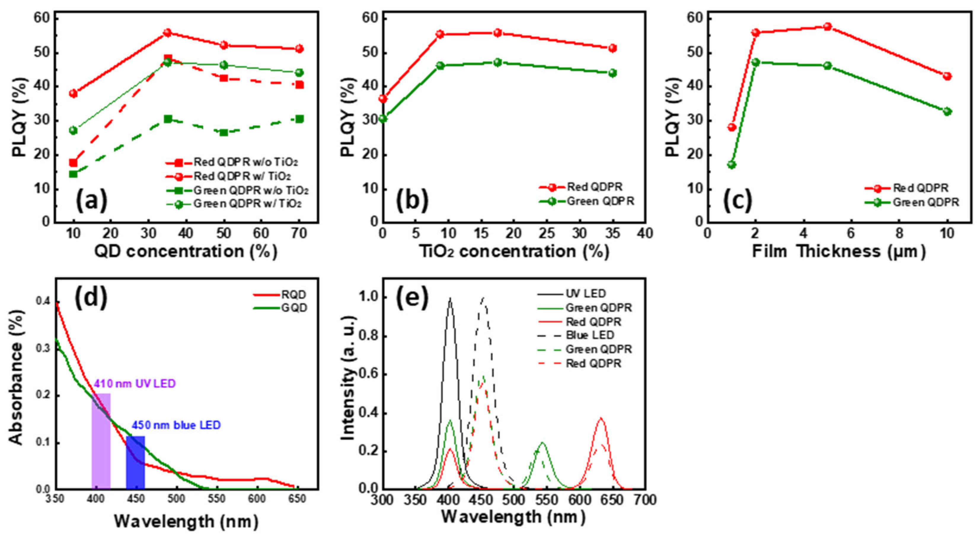
4. Result and Discussion
5. Conclusions
Author Contributions
Funding
Data Availability Statement
Acknowledgments
Conflicts of Interest
References
- Chen, S.-W.H.; Huang, Y.-M.; Chang, Y.-H.; Lin, Y.; Liou, F.-J.; Hsu, Y.-C.; Song, J.; Choi, J.; Chow, C.-W.; Lin, C.-C. High-bandwidth green semipolar (20–21) InGaN/GaN micro light-emitting diodes for visible light communication. ACS Photonics 2020, 7, 2228–2235. [Google Scholar] [CrossRef]
- Chang, Y.-H.; Huang, Y.-M.; Gunawan, W.H.; Chang, G.-H.; Liou, F.-J.; Chow, C.-W.; Kuo, H.-C.; Liu, Y.; Yeh, C.-H. 4.343-Gbit/s green semipolar (20-21) μ-LED for high speed visible light communication. IEEE Photonics J. 2021, 13, 1–4. [Google Scholar]
- Lee, T.-Y.; Chen, L.-Y.; Lo, Y.-Y.; Swayamprabha, S.S.; Kumar, A.; Huang, Y.-M.; Chen, S.-C.; Zan, H.-W.; Chen, F.-C.; Horng, R.-H. Technology and applications of micro-LEDs: Their characteristics, fabrication, advancement, and challenges. ACS Photonics 2022, 9, 2905–2930. [Google Scholar]
- Chen, F.; Bian, J.; Hu, J.; Sun, N.; Yang, B.; Ling, H.; Yu, H.; Wang, K.; Gai, M.; Ma, Y. Mass transfer techniques for large-scale and high-density microLED arrays. Int. J. Extrem. Manuf. 2022, 4, 042005. [Google Scholar]
- Wu, T.; Sher, C.-W.; Lin, Y.; Lee, C.-F.; Liang, S.; Lu, Y.; Huang Chen, S.-W.; Guo, W.; Kuo, H.-C.; Chen, Z. Mini-LED and micro-LED: Promising candidates for the next generation display technology. Appl. Sci. 2018, 8, 1557. [Google Scholar] [CrossRef]
- Anwar, A.R.; Sajjad, M.T.; Johar, M.A.; Hernández-Gutiérrez, C.A.; Usman, M.; Łepkowski, S. Recent Progress in Micro-LED-Based Display Technologies. Laser Photonics Rev. 2022, 16, 2100427. [Google Scholar] [CrossRef]
- Chen, Z.; Yan, S.; Danesh, C. MicroLED technologies and applications: Characteristics, fabrication, progress, and challenges. J. Phys. D Appl. Phys. 2021, 54, 123001. [Google Scholar] [CrossRef]
- Zhou, X.; Tian, P.; Sher, C.-W.; Wu, J.; Liu, H.; Liu, R.; Kuo, H.-C. Growth, transfer printing and colour conversion techniques towards full-colour micro-LED display. Prog. Quantum Electron. 2020, 71, 100263. [Google Scholar]
- Chen, S.-W.H.; Shen, C.-C.; Wu, T.; Liao, Z.-Y.; Chen, L.-F.; Zhou, J.-R.; Lee, C.-F.; Lin, C.-H.; Lin, C.-C.; Sher, C.-W. Full-color monolithic hybrid quantum dot nanoring micro light-emitting diodes with improved efficiency using atomic layer deposition and nonradiative resonant energy transfer. Photonics Res. 2019, 7, 416–422. [Google Scholar] [CrossRef]
- Lee, G.-Y.; Weng, S.-Y.; Ho, W.-H.; Huang, C.-W.; Chao, H.-Y.; Huang, S.-K.; Kuo, H.-C.; Wu, C.-C.; Lin, C.-C. Photonic Characterization and Modeling of Highly Efficient Color Conversion Layers with External Reflectors. IEEE Photonics J. 2023, 15, 2201110. [Google Scholar] [CrossRef]
- Han, H.-V.; Lin, H.-Y.; Lin, C.-C.; Chong, W.-C.; Li, J.-R.; Chen, K.-J.; Yu, P.; Chen, T.-M.; Chen, H.-M.; Lau, K.-M. Resonant-enhanced full-color emission of quantum-dot-based micro LED display technology. Opt. Express 2015, 23, 32504–32515. [Google Scholar] [CrossRef] [PubMed]
- Lin, H.-Y.; Sher, C.-W.; Hsieh, D.-H.; Chen, X.-Y.; Chen, H.-M.P.; Chen, T.-M.; Lau, K.-M.; Chen, C.-H.; Lin, C.-C.; Kuo, H.-C. Optical cross-talk reduction in a quantum-dot-based full-color micro-light-emitting-diode display by a lithographic-fabricated photoresist mold. Photonics Res. 2017, 5, 411–416. [Google Scholar] [CrossRef]
- Qin, F.; Liu, C.; Wu, W.; Peng, W.; Huo, S.; Ye, J.; Gu, S. Inkjet Printed Quantum Dots Color Conversion Layers for Full-Color Micro-LED Displays. Electron. Mater. Lett. 2023, 19, 19–28. [Google Scholar] [CrossRef]
- Park, H.; Hahm, D.; Cho, H.; Shin, J.-W.; Kang, C.-m.; Ahn, D.-H.; Joo, C.W.; Kwon, B.-H.; Kim, K.; Kim, J.Y. Efficient Quantum Dot Color Conversion Layer with Mixed Spherical/Rod-Shaped Scattering Particles. ACS Appl. Opt. Mater. 2023, 1, 289–297. [Google Scholar] [CrossRef]
- Gaurav, A.; Tsai, C.-Y.; Wang, G.-W.; Tsai, H.-Y.; Ye, Z.T.; Lin, C.-F. Ultrahigh-resolution full-color micro-LED array with enhanced efficiency based on a color conversion technique. Photonics Res. 2023, 11, 925–935. [Google Scholar] [CrossRef]
- Chen, S.-W.H.; Huang, Y.-M.; Singh, K.J.; Hsu, Y.-C.; Liou, F.-J.; Song, J.; Choi, J.; Lee, P.-T.; Lin, C.-C.; Chen, Z. Full-color micro-LED display with high color stability using semipolar (20-21) InGaN LEDs and quantum-dot photoresist. Photonics Res. 2020, 8, 630–636. [Google Scholar] [CrossRef]
- Yin, Y.; Hu, Z.; Ali, M.U.; Duan, M.; Gao, L.; Liu, M.; Peng, W.; Geng, J.; Pan, S.; Wu, Y. Full-color micro-LED display with CsPbBr3 perovskite and CdSe quantum dots as color conversion layers. Adv. Mater. Technol. 2020, 5, 2000251. [Google Scholar] [CrossRef]
- Tinjod, F.; Gilles, B.; Moehl, S.; Kheng, K.; Mariette, H. II–VI quantum dot formation induced by surface energy change of a strained layer. Appl. Phys. Lett. 2003, 82, 4340–4342. [Google Scholar] [CrossRef]
- Moon, H.; Lee, C.; Lee, W.; Kim, J.; Chae, H. Stability of quantum dots, quantum dot films, and quantum dot light-emitting diodes for display applications. Adv. Mater. 2019, 31, 1804294. [Google Scholar] [CrossRef]
- Loiudice, A.; Saris, S.; Oveisi, E.; Alexander, D.T.; Buonsanti, R. CsPbBr3 QD/AlOx inorganic nanocomposites with exceptional stability in water, light, and heat. Angew. Chem. Int. Ed. 2017, 56, 10696–10701. [Google Scholar] [CrossRef]
- Hsieh, T.-H.; Huang, W.-T.; Hong, K.-B.; Lee, T.-Y.; Bai, Y.-H.; Pai, Y.-H.; Tu, C.-C.; Huang, C.-H.; Li, Y.; Kuo, H.-C. Optoelectronic Simulations of InGaN-Based Green Micro-Resonant Cavity Light-Emitting Diodes with Staggered Multiple Quantum Wells. Crystals 2023, 13, 572. [Google Scholar] [CrossRef]
- Lee, T.-Y.; Hsieh, T.-H.; Miao, W.-C.; James Singh, K.; Li, Y.; Tu, C.-C.; Chen, F.-C.; Lu, W.-C.; Kuo, H.-C. High-Reliability Perovskite Quantum Dots Using Atomic Layer Deposition Passivation for Novel Photonic Applications. Nanomaterials 2022, 12, 4140. [Google Scholar] [CrossRef]
- Huang, Y.-M.; Chen, J.-H.; Liou, Y.-H.; James Singh, K.; Tsai, W.-C.; Han, J.; Lin, C.-J.; Kao, T.-S.; Lin, C.-C.; Chen, S.-C. High-uniform and high-efficient color conversion nanoporous GaN-based micro-LED display with embedded quantum dots. Nanomaterials 2021, 11, 2696. [Google Scholar] [CrossRef] [PubMed]
- Hyun, B.-R.; Sher, C.-W.; Chang, Y.-W.; Lin, Y.; Liu, Z.; Kuo, H.-C. Dual role of quantum dots as color conversion layer and suppression of input light for full-color micro-LED displays. J. Phys. Chem. Lett. 2021, 12, 6946–6954. [Google Scholar] [CrossRef] [PubMed]
- Lin, K.-C.; Lee, W.-K.; Wang, B.-K.; Lin, Y.-H.; Chen, H.-H.; Song, Y.-H.; Huang, Y.-H.; Shih, L.-W.; Wu, C.-C. Modified distributed Bragg reflector for protecting organic light-emitting diode displays against ultraviolet light. Opt. Express 2021, 29, 7654–7665. [Google Scholar] [CrossRef] [PubMed]
- Shen, C.; Ng, T.K.; Ooi, B.S. Enabling area-selective potential-energy engineering in InGaN/GaN quantum wells by post-growth intermixing. Opt. Express 2015, 23, 7991–7998. [Google Scholar] [CrossRef]
- Liu, Z.; Zou, Y.; Ji, C.; Chen, X.; Hou, G.; Zhang, C.; Wan, X.; Guo, L.J.; Zhao, Y.; Zhang, X. Broad-Spectrum Ultrathin-Metal-Based Oxide/Metal/Oxide Transparent Conductive Films for Optoelectronic Devices. ACS Appl. Mater. Interfaces 2021, 13, 58539–58551. [Google Scholar] [CrossRef] [PubMed]
- Huang, Y.-M.; Peng, C.-Y.; Miao, W.-C.; Chiang, H.; Lee, T.-Y.; Chang, Y.-H.; Singh, K.J.; Iida, Z.D.; Horng, R.-H.; Chow, C.-W. High-efficiency InGaN red micro-LEDs for visible light communication. Photonics Res. 2022, 10, 1978–1986. [Google Scholar] [CrossRef]
- Lee, T.-Y.; Huang, Y.-M.; Chiang, H.; Chao, C.-L.; Hung, C.-Y.; Kuo, W.-H.; Fang, Y.-H.; Chu, M.-T.; Wu, C.-I.; Lin, C.-c. Increase in the efficiency of III-nitride micro LEDs by atomic layer deposition. Opt. Express 2022, 30, 18552–18561. [Google Scholar] [CrossRef]
- Römer, F.; Witzigmann, B. Effect of Auger recombination and leakage on the droop in InGaN/GaN quantum well LEDs. Opt. Express 2014, 22, A1440–A1452. [Google Scholar] [CrossRef]
- David, A.; Grundmann, M.J. Influence of polarization fields on carrier lifetime and recombination rates in InGaN-based light-emitting diodes. Appl. Phys. Lett. 2010, 97, 033501. [Google Scholar] [CrossRef]
- Zhou, K.; Jiang, Q.; Zhang, Z.; Chen, S.; Liu, H.; Lu, Z.; Kennedy, K.; Matcher, S.; Hogg, R. Quantum dot selective area intermixing for broadband light sources. Opt. Express 2012, 20, 26950–26957. [Google Scholar] [CrossRef] [PubMed]
- Chen, W.; Wang, W.; Sun, L.; Chen, S.; Yan, Q.; Guo, T.; Zhou, X.; Wu, C.; Zhang, Y. Synthesis and characterization of InP/ZnSe/ZnS quantum dots for photo-emissive color conversion. Opt. Mater. Express 2022, 12, 1717–1730. [Google Scholar] [CrossRef]
- Miao, W.-C.; Hong, Y.-H.; Hsiao, F.-H.; Chen, J.-D.; Chiang, H.; Lin, C.-L.; Lin, C.-C.; Chen, S.-C.; Kuo, H.-C. Modified distributed bragg reflectors for color stability in InGaN red micro-LEDs. Nanomaterials 2023, 13, 661. [Google Scholar] [CrossRef] [PubMed]









Disclaimer/Publisher’s Note: The statements, opinions and data contained in all publications are solely those of the individual author(s) and contributor(s) and not of MDPI and/or the editor(s). MDPI and/or the editor(s) disclaim responsibility for any injury to people or property resulting from any ideas, methods, instructions or products referred to in the content. |
© 2023 by the authors. Licensee MDPI, Basel, Switzerland. This article is an open access article distributed under the terms and conditions of the Creative Commons Attribution (CC BY) license (https://creativecommons.org/licenses/by/4.0/).
Share and Cite
Lee, T.-Y.; Miao, W.-C.; Hung, Y.-Y.; Bai, Y.-H.; Chen, P.-T.; Huang, W.-T.; Chen, K.-A.; Lin, C.-C.; Chen, F.-C.; Hong, Y.-H.; et al. Ameliorating Uniformity and Color Conversion Efficiency in Quantum Dot-Based Micro-LED Displays through Blue–UV Hybrid Structures. Nanomaterials 2023, 13, 2099. https://doi.org/10.3390/nano13142099
Lee T-Y, Miao W-C, Hung Y-Y, Bai Y-H, Chen P-T, Huang W-T, Chen K-A, Lin C-C, Chen F-C, Hong Y-H, et al. Ameliorating Uniformity and Color Conversion Efficiency in Quantum Dot-Based Micro-LED Displays through Blue–UV Hybrid Structures. Nanomaterials. 2023; 13(14):2099. https://doi.org/10.3390/nano13142099
Chicago/Turabian StyleLee, Tzu-Yi, Wen-Chien Miao, Yu-Ying Hung, Yi-Hong Bai, Pei-Tien Chen, Wei-Ta Huang, Kuan-An Chen, Chien-Chung Lin, Fang-Chung Chen, Yu-Heng Hong, and et al. 2023. "Ameliorating Uniformity and Color Conversion Efficiency in Quantum Dot-Based Micro-LED Displays through Blue–UV Hybrid Structures" Nanomaterials 13, no. 14: 2099. https://doi.org/10.3390/nano13142099
APA StyleLee, T.-Y., Miao, W.-C., Hung, Y.-Y., Bai, Y.-H., Chen, P.-T., Huang, W.-T., Chen, K.-A., Lin, C.-C., Chen, F.-C., Hong, Y.-H., & Kuo, H.-C. (2023). Ameliorating Uniformity and Color Conversion Efficiency in Quantum Dot-Based Micro-LED Displays through Blue–UV Hybrid Structures. Nanomaterials, 13(14), 2099. https://doi.org/10.3390/nano13142099

