ZnO Nanoparticles from Different Precursors and Their Photocatalytic Potential for Biomedical Use
Abstract
1. Introduction
2. Materials and Methods
2.1. Materials and Reagents
2.2. Synthesis Procedures of ZnO Nanoparticles
2.2.1. Synthesis of ZnO Nanoparticles, Using Zinc Acetate Dehydrate Precursor
2.2.2. Synthesis of ZnO Nanoparticles, Using Zinc Nitrate Hexahydrate Precursor
2.2.3. Synthesis of ZnO Nanoparticles, Using Zinc Chloride Precursor
2.2.4. Synthesis of ZnO Nanoparticles, Using Zinc Sulphate Heptahydrate Precursor
2.3. Rhodamine B Solution
2.4. Characterization Methods
2.5. Photocatalytic Degradation of Rhodamine B
Total Organic Carbon (TOC) Analysis
2.6. Photo-Induced Biological Effect
2.6.1. Cell Cultures
2.6.2. Effect on Cell Proliferation
2.6.3. Cytotoxicity Test
3. Results
3.1. Characterization of the Nanoparticles
3.1.1. XRD Analysis
3.1.2. Micro-Raman Analysis
3.1.3. FT-IR Analysis
3.1.4. BET Specific Surface Area Analysis
3.1.5. DLS Analysis
3.1.6. Diffuse Reflectance UV–Vis Spectroscopy
3.1.7. FESEM Analysis
3.2. Photocatalysis of Rhodamine B
3.2.1. Photocatalytic Activity
3.2.2. Photocatalytic Kinetic Model Study
3.2.3. Mineralization of RhB
3.2.4. Photocatalysis Mechanism
3.3. Photo-Induced Biological Effect
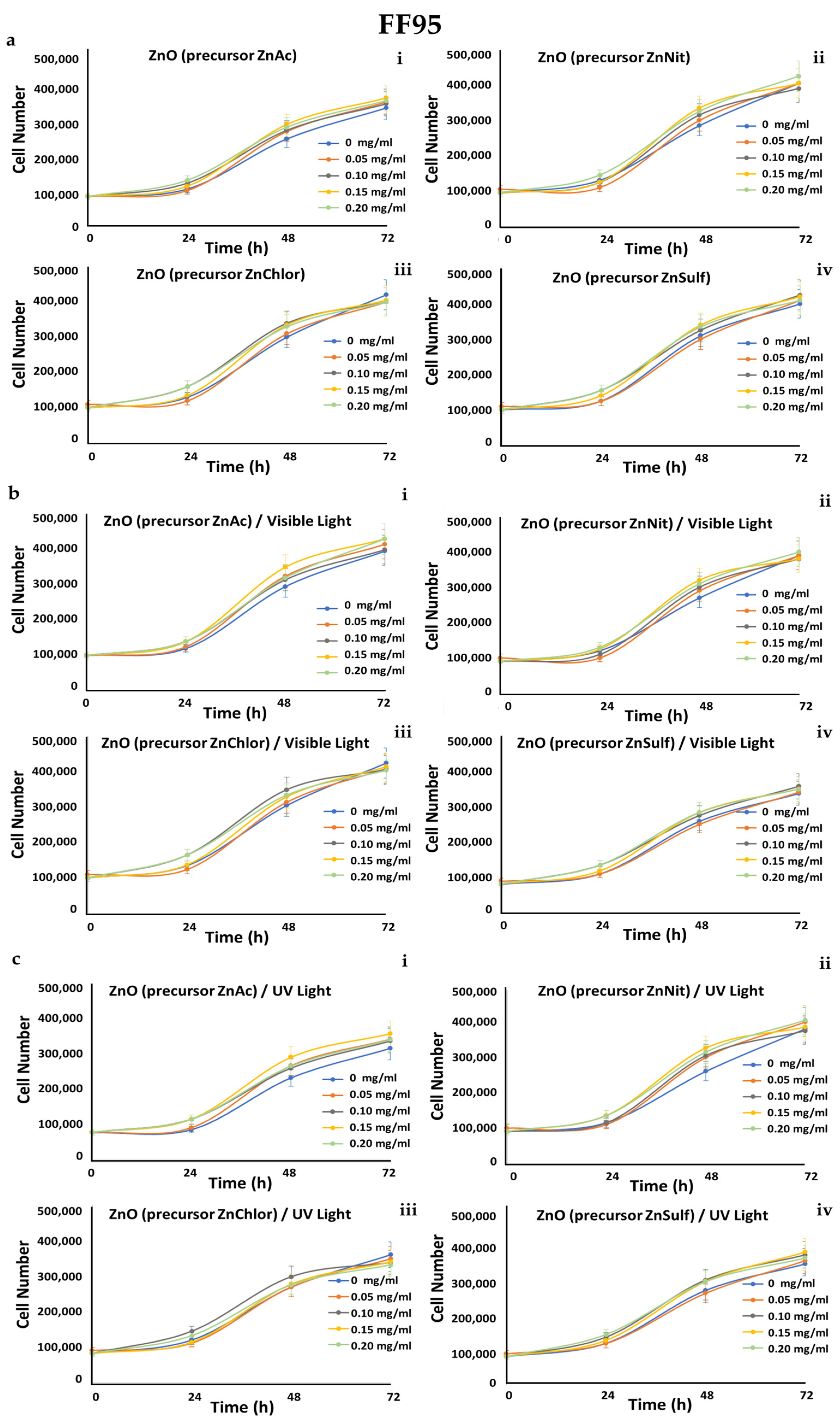
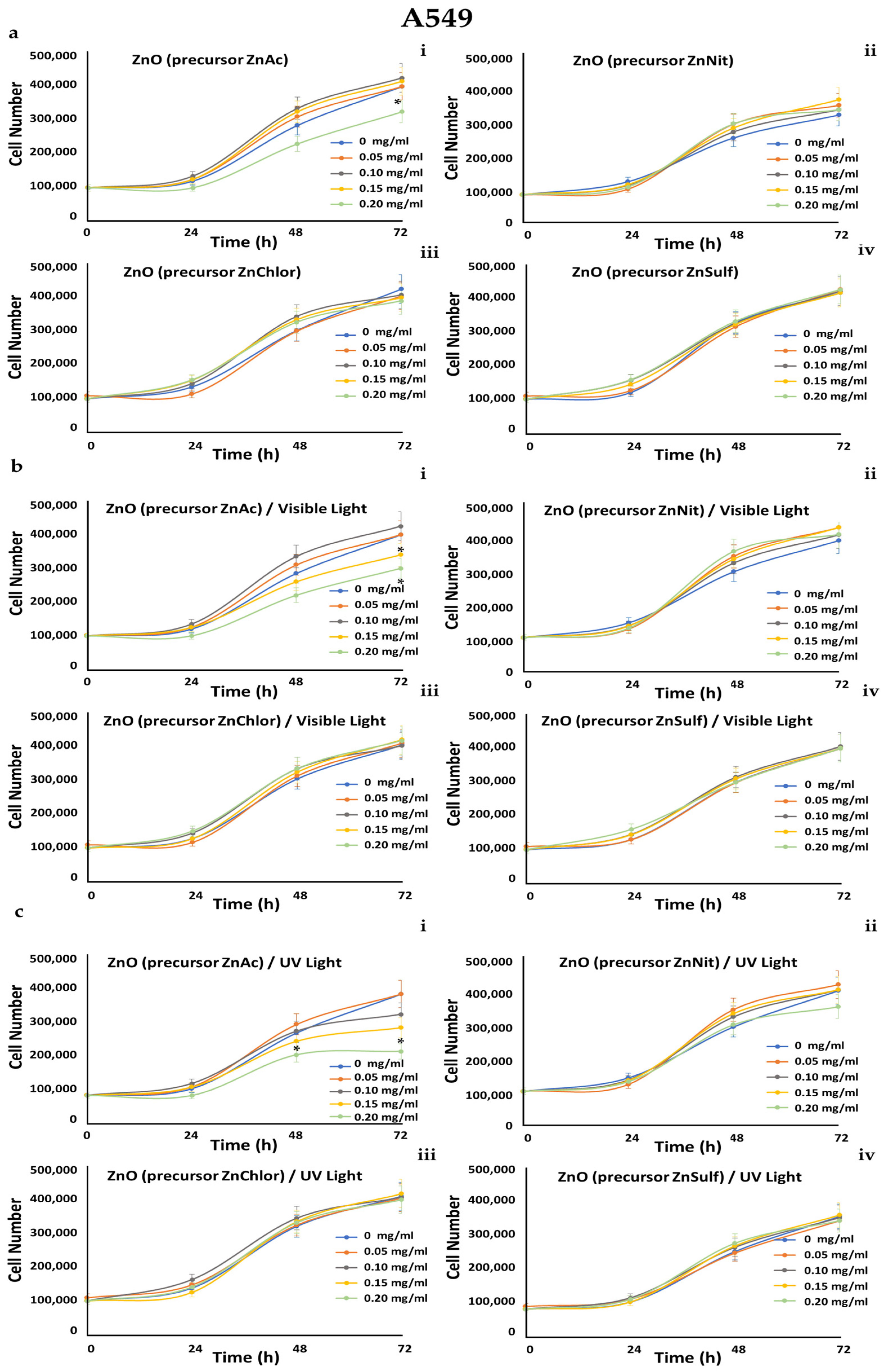
3.3.1. Effect on Cell Proliferation
3.3.2. Effect on Cytotoxicity
4. Conclusions
Author Contributions
Funding
Data Availability Statement
Acknowledgments
Conflicts of Interest
References
- Avtar, R.; Tripathi, S.; Aggarwal, A.K.; Kumar, P. Population–Urbanization–Energy Nexus: A Review. Resources 2019, 8, 136. [Google Scholar] [CrossRef]
- Iacob Tudose, E.T.; Zaharia, C. Textile Wastewater Treatment on a Spinning Disc Reactor: Characteristics, Performances, and Empirical Modeling. Appl. Sci. 2020, 10, 8687. [Google Scholar] [CrossRef]
- Banerjee, A.; Chattopadhyay, S.; Kundu, A.; Sharma, R.K.; Maiti, R.; Das, S. Vertically aligned zinc oxide nanosheet for high-performance photocatalysis of water pollutants. Ceram. Int. 2019, 45, 16821–16828. [Google Scholar] [CrossRef]
- Murphy, E.A.; Post, G.B.; Buckley, B.T.; Lippincott, R.L.; Robson, M.G. Future challenges to protecting public health from drinking-water contaminants. Annu. Rev. Public Health 2012, 33, 209–224. [Google Scholar] [CrossRef]
- Thompson, R.C.; Moore, C.J.; vom Saal, F.S.; Swan, S.H. Plastics, the environment and human health: Current consensus and future trends. Philos. Trans. R. Soc. Lond. B Biol. Sci. 2009, 64, 2153–2166. [Google Scholar] [CrossRef]
- Mancipe, S.; Martinez, J.J.; Pinzon, C.; Rojas, H.; Solis, D.; Gomez, R. Effective Photocatalytic Degradation of Rhodamine B using the semiconductors over hydrotalcite-type materials under sunlight driven. Catal. Today 2020, 372, 191–197. [Google Scholar] [CrossRef]
- Sen, T.K.; Afroze, S. Ang, Equilibrium, Kinetics and Mechanism of Removal of Methylene Blue from Aqueous Solution by Adsorption onto Pine Cone Biomass of Pinus radiata. Water Air Soil Pollut. 2010, 218, 499–515. [Google Scholar] [CrossRef]
- Gusain, R.; Gupta, K.; Joshi, P.; Khatri, O.P. Adsorptive removal and photocatalytic degradation of organic pollutants using metal oxides and their composites: A comprehensive review. Adv. Colloid Interface Sci. 2019, 272, 102009. [Google Scholar] [CrossRef] [PubMed]
- Buthelezi, S.P.; Olaniran, A.O.; Pillay, B. Textile Dye Removal from Wastewater Effluents Using Bioflocculants Produced by Indigenous Bacterial Isolates. Molecules 2012, 17, 14260–14274. [Google Scholar] [CrossRef] [PubMed]
- Ghosh, U.; Pal, A. Defect engineered mesoporous 2D graphitic carbon nitride nanosheet photocatalyst for rhodamine B degradation under LED light illumination. J. Photochem. Photobiol. A 2020, 112582, 397. [Google Scholar] [CrossRef]
- Poudel, M.B.; Lohani, P.C.; Kim, A.A. Synthesis of silver nanoparticles decorated tungsten oxide nanorods as high-performance supercapacitor electrode. Chem. Phys. Lett. 2022, 804, 139884. [Google Scholar] [CrossRef]
- Sultana, K.A.; Islam, T.M.; Silva, J.; Turley, R.S.; Viezcas, J.A.; Gardea- Torresdey, J.L.; Noveron, J.C. Enhanced visible-light photodegradation of organic pollutants by surface plasmon resonance supported Ag/ZnO heterostructures. J. Mol. Liq. 2020, 307. [Google Scholar] [CrossRef]
- Islam, M.T.; Dominguez, A.; Turley, R.S.; Kim, H.; Sultana, K.A.; Shuvo, M.A.I.; Noveron, J.C. Sustainable synthesis of zinc oxide nanoparticles for photocatalytic degradation of organic pollutant and generation of hydroxyl radical. Sci. Total Environ. 2020, 704, 112931. [Google Scholar]
- Islam, M.T.; Jing, H.; Yang, T.; Zubia, E.; Goos, A.G.; Bernal, R.A.; Noveron, J.C. Fullerene stabilized gold nanoparticles supported on titanium dioxide for enhanced photocatalytic degradation of methyl orange and catalytic reduction of 4-nitrophenol. J. Environ. Chem. Eng. 2018, 6, 3827–3836. [Google Scholar] [CrossRef]
- Glaze, W.H.; Kang, J.W.; Chapin, D.H. Effects of Advanced Oxidation Processes on the Decomposition Properties of Organic Compounds with Different Molecular Structures in Water. Hydrog. Peroxide Ultrav. Radiat. 1987, 9, 335–352. [Google Scholar]
- Cuerda-Correa, E.M.; Alexandre-Franco, M.F.; Fernández-González, C. Advanced Oxidation Processes for the Removal of Antibiotics from Water. An Overview. Water 2020, 12, 102. [Google Scholar] [CrossRef]
- Di Credico, B.; Bellobono, I.R.; D’Arienzo, M.; Fumagalli, D.; Redaelli, M.; Scotti, R.; Morazzoni, F. Efficacy of the Reactive Oxygen Species Generated by Immobilized TiO2 in the Photocatalytic Degradation of Diclofenac. Int. J. Photoenergy 2015, 2015, 919217. [Google Scholar] [CrossRef]
- Hanahan, D. Hallmarks of Cancer: New Dimensions. Cancer Discov. 2022, 12, 31–46. [Google Scholar] [CrossRef]
- Pucci, C.; Martinelli, C.; Ciofani, G. Innovative approaches for cancer treatment: Current perspectives and new challenges. Ecancermedicalscience 2019, 13, 961. [Google Scholar] [CrossRef]
- Nakamura, Y.; Mochida, A.; Choyke, P.L.; Kobayashi, H. Nanodrug Delivery: Is the Enhanced Permeability and Retention Effect Sufficient for Curing Cancer? Bioconjug Chem. 2016, 27, 2225–2238. [Google Scholar] [CrossRef]
- Yan, L.; Chuan-sheng, L. hydro/solvo-thermal synthesis of ZnO crystallite with particular morphology. Trans. Nonferrous Met. Soc. China 2009, 19, 399–403. [Google Scholar]
- Lagopati, N.; Gatou, M.-A.; Gogou, A.; Pavlatou, E.A. Synthesis of ZnO Nanoparticles Using Biological Substrates: A Review. United J. Nanotechnol. Pharm. 2020, 1, 1–7. [Google Scholar]
- Ghorbani, H.R.; Mehr, F.; Pazoki, H.; Mosavar Rahmani, B. Synthesis and Characterization of Copper Nanoparticles by Bis-(Acetylacetonato)-Copper(II) Using Nonionic Surfactants and the Effect of Their Structures on Nanopartciles Size and Yield. Orient. J. Chem. 2015, 31, 1219–1221. [Google Scholar] [CrossRef]
- Wahab, R.; Ansari, S.G.; Kim, Y.S.; Seo, H.K.; Kim, G.S.; Khang, G.; Shin, H.-S. Low temperature solution synthesis and characterization of ZnO nano-flowers. Mater. Res. Bull. 2007, 42, 1640–1648. [Google Scholar] [CrossRef]
- Bisht, G.; Rayamajhi, S. ZnO Nanoparticles: A Promising Anticancer Agent. Nanobiomedicine 2016, 3, 9. [Google Scholar] [CrossRef]
- Jamkhande, P.; Ghule, N.W.; Bamer, A.H.; Kalaskar, M.G. Metal Nanoparticles synthesis: An overview on methods of preparation, advantages and disadvantages, and applications. J. Drug. Deliv. Sci. Technol. 2019, 53, 101174. [Google Scholar] [CrossRef]
- Suntako, R. Effect of Zinc Oxide nanoparticles synthesized by a precipitation method on mechanical and morphological properties of the Cr foam. Bull. Mater. Sci. 2015, 38, 1033–1038. [Google Scholar] [CrossRef]
- Multian, V.V.; Uklein, A.V.; Zaderko, A.N.; Kozhanov, V.O.; Boldyrieva, O.Y.; Linnik, R.P. Synthesis, Characterization, luminescent and nonlinear optical responses of nanosized Zno. Nanoscale Res. Lett. 2017, 12, 1–8. [Google Scholar] [CrossRef]
- Visali, P.; Bhuvaneswari, R. Photoluminescence and enhanced photocatalytic activity of ZnO nanoparticles through incorporation of metal dopants Al and Ca. Opt. Int. J. Light Electron Opt. Opt. (Stuttg.) 2020, 202, D0251A. [Google Scholar] [CrossRef]
- Shang, T.M.; Sun, J.H.; Zhou, Q.F.; Guan, M.Y. Synthesis and Characterization of flower-like NiCoP/ZnO. Cryst. Res. Technol. 2007, 42, 1002–1006. [Google Scholar] [CrossRef]
- Bacaksiz, E.; Parlak, M.; Tomakin, M.; Ozcelik, A.; Karakiz, M.; Altunbas, M. Quantum Effects of Indium/Ytterbium Doping on ZnO-Like Nano-Condensed Matter in terms of Urbach-Martienssen and Wemple-DiDomenico Single-Oscillator Models Parameters. J. Alloys Compd 2008, 446, 447–450. [Google Scholar] [CrossRef]
- Baruah, S.; Dutta, J. Hydrothermal growth of ZnO nanostructures. STAM 2009, 10, 18–35. [Google Scholar] [CrossRef] [PubMed]
- Bandeira, M.; Giovanela, M.; Roesch-Ely, M.; Devine, D.M.; Crespo da Silva, J. Green Synthesis of zinc oxide nanoparticles: A review of the synthesis methodology and mechanism of formation. Sustain. Chem. Pharm. 2020, 15, 100223. [Google Scholar] [CrossRef]
- Hasnidawani, J.; Azlina, H.; Norita, H.; Bonnia, N.; Ratim, S.; Ali, E. Synthesis of ZnO Nanostructures Using Sol-Gel Method. Procedia Chem. 2016, 19, 211–216. [Google Scholar] [CrossRef]
- Madhavi, R.; Siamak Ashraf Talesh, S. Sol-gel synthesis, structural and enhanced photocatalytic performance of Al doped ZnO nanoparticles. Adv. Powder Technol. 2017, 28, 1418–1425. [Google Scholar] [CrossRef]
- Lin, C.C.; You, Y.C. Mass Production of ZnO nanoparticles by precipitation in a rotating packed bed: Effect of zinc salt. J. Mater. Res. Technol. 2020, 9, 8451–8458. [Google Scholar] [CrossRef]
- Limón-Rocha, I.; Guzmán-González, C.A.; Anaya-Esparza, L.M.; Romero-Toledo, R.; Rico, J.L.; González-Vargas, O.A.; Pérez-Larios, A. Effect of the Precursor on the Synthesis of ZnO and Its Photocatalytic Activity. Inorganics 2022, 10, 16. [Google Scholar] [CrossRef]
- Kahouli, M.; Tounsi, N.; Mzabi, N.; Guermazi, H.; Guermazi, S. Enhanced structural and optical properties of ZnO nano-powder with tailored visible luminescence as a function of sodium hydroxide to zinc sulfate mass ratio. Adv. Powder Technol. 2018, 29, 325–332. [Google Scholar] [CrossRef]
- Galata, E.; Georgakopoulou, E.A.; Kassalia, M.-E.; Papadopoulou-Fermeli, N.; Pavlatou, E.A. Development of Smart Composites 820 Based on Doped-TiO2 Nanoparticles with Visible Light Anticancer Properties. Materials 2019, 12, 2589. [Google Scholar] [CrossRef]
- Kumar, A.; Pandey, G. A review on the factors affecting the photocatalytic degradation of hazardous materials. Mater. Sci. Eng. Int. J. 2017, 1, 106–114. [Google Scholar]
- Katifelis, H.; Nikou, M.; Mukha, P.; Vityuk, I.; Lagopati, N.; Piperi, N.; Farooqi, C.; Pippa, A.A.; Efstathopoulos, E.; Gazouli, M. Ag/Au Bimetallic Nanoparticles Trigger Different Cell Death Pathways and Affect Damage Associated Molecular Pattern Release in Human Cell Lines. Cancers 2022, 14, 1546. [Google Scholar] [CrossRef] [PubMed]
- Hohn, A.; Sittig, A.; Jung, T.; Grimm, S.; Grune, T. Lipofuscin is formed independently of macroautophagy and lysosomal activity in stress-induced prematurely senescent human fibroblasts. Free Radic. Biol. Med. 2012, 53, 1760–1769. [Google Scholar] [CrossRef]
- Lagopati, N.; Kotsinas, A.; Veroutis, D.; Evangelou, K.; Papaspyropoulos, A.; Arfanis, M.; Falaras, P.; Kitsiou, P.V.; Pateras, I.; Bergonzini, A.; et al. Biological 847 Effect of Silver-modified Nanostructured Titanium Dioxide in Cancer. Cancer Genom. Proteom. 2021, 18 (Suppl. S3), 425–439. [Google Scholar] [CrossRef] [PubMed]
- JCPDS, Powder Diffraction File, Alphabetical Index, Inorganic Compounds; International Centre for Diffraction Data: Newtown Square, PA, USA, 1977.
- Al-Ariki, S.; Yahya, N.A.A.; Al-A’nsi, S.A.; Jumali, M.H.H.; Jannah, A.N.; Abd-Shukor, R. Synthesis and comparative study on the structural and optical properties of ZnO doped with Ni and Ag nanopowders fabricated by sol gel technique. Sci. Rep. 2021, 11, 11948. [Google Scholar] [CrossRef] [PubMed]
- LBVS, G.; Dhiman, T.K.; Kumar, R.; Singh, A.K.; Solanki, P.R. One-Step Synthesized ZnO np-Based Optical Sensors for Detection of Aldicarb via a Photoinduced Electron Transfer Route. ACS Omega 2020, 5, 2552–2560. [Google Scholar]
- Aljabali, A.A.A.; Obeid, M.A.; Bakshi, H.A.; Alshaer, W.; Ennab, R.M.; Al-Trad, B.; Al Khateeb, W.; Al-Batayneh, K.M.; Al-Kadash, A.; Alsotari, S.; et al. Synthesis, Characterization, and Assessment of Anti-Cancer Potential of ZnO Nanoparticles in an In Vitro Model of Breast Cancer. Molecules 2022, 27, 1827. [Google Scholar] [CrossRef] [PubMed]
- Rafaja, D.; Wüstefeld, C.; Dopita, M.; Motylenko, M.; Baehtz, C. Capability of X-ray diffraction for the study of microstructure of metastable thin films. IUCrJ 2014, 1 Pt 6, 446–456. [Google Scholar] [CrossRef] [PubMed]
- Levin, A.A.; Narykova, M.V.; Lihachev, A.I.; Kardashev, B.K.; Kadomtsev, A.G.; Brunkov, P.N.; Panfilov, A.G.; Prasolov, N.D.; Sultanov, M.M.; Kuryanov, V.N.; et al. Modification of the Structural, Microstructural, and Elastoplastic Properties of Aluminum Wires after Operation. Metals 2021, 11, 1955. [Google Scholar] [CrossRef]
- Uribe-López, M.C.; Hidalgo-López, M.C.; López-González, R.; Frías-Márquez, D.M.; Núñez-Nogueira, G.; Hernández-Castillo, D.; Alvarez-Lemus, M.A. Photocatalytic activity of ZnO nanoparticles and the role of the synthesis method on their physical and chemical properties. J. Photochem. Photobiol. A Chem. 2021, 404, 112866. [Google Scholar] [CrossRef]
- Cusco, R.; Alarcón-Lladó, E.; Ibάñez, J.; Artús, L.; Jiménez, J.; Wang, B.; Callahan, M.J. Temperature Dependence of Raman Scattering in ZnO. Phys. Rev. B 2007, 75, 165202. [Google Scholar] [CrossRef]
- Kaningini, G.A.; Azizi, S.; Nyoni, H.; Mudau, F.N.; Mohale, K.C.; Maaza, M. Green synthesis and characterization of zinc oxide nanoparticles using bush tea (Athrixia phylicoides DC) natural extract: Assessment of the synthesis process. F1000Research 2021, 10, 1077. [Google Scholar] [CrossRef]
- Al-Naim, A.F.; Sedky, A.; Afify, N.; Ibrahim, S.S. Structural, FTIR spectra and optical properties of pure and co-doped Zn1-x-y Fe x M y O ceramics with (M = Cu, Ni) for plastic deformation and optoelectronic applications. Appl. Phys. A Mater. Sci. Process. 2021, 127, 840. [Google Scholar] [CrossRef] [PubMed]
- Al-Arjan, W.S. Zinc Oxide Nanoparticles and Their Application in Adsorption of Toxic Dye from Aqueous Solution. Polymers 2022, 14, 3086. [Google Scholar] [CrossRef]
- Pourrahimi, A.; Liu, D.; Pallon, L.; Andersson, R.; Martinez Abad, A.; Lagaron, J.M. On the agent role of Mn+2 in redirecting the synthesis of Zn (OH)2. RSC 2016, 4, 35568–35577. [Google Scholar]
- Lopez, R.; Gomez, R. Band-gap energy estimation from diffuse reflectance measurements on sol–gel and commercial TiO2: A comparative study. J. Sol. Gel Sci. Technol. 2012, 61, 7. [Google Scholar] [CrossRef]
- Manabeng, M.; Mwankemwa, B.S.; Ocaya, R.O.; Motaung, T.E.; Malevu, T.D. A Review of the Impact of Zinc Oxide Nanostructure Morphology on Perovskite Solar Cell Performance. Processes 2022, 10, 1803. [Google Scholar] [CrossRef]
- Chen, L.-L.; Zhai, B.-g.; Huang, Y.M. Rendering Visible-Light Photocatalytic Activity to Undoped ZnO via Intrinsic Defects Engineering. Catalysts 2020, 10, 1163. [Google Scholar] [CrossRef]
- Rohilla, S.; Gupta, A.; Kumar, V.; Kumari, S.; Petru, M.; Amor, N.; Noman, M.-T.; Dalal, J. Excellent UV-Light Triggered Photocatalytic Performance of ZnO.SiO2 Nanocomposite for Water Pollutant Compound Methyl Orange Dye. Nanomaterials 2021, 11, 2548. [Google Scholar] [CrossRef]
- Rabbani, M.; Shokraiyan, J.; Rahimi, R.; Amrollahi, R. Comparison of photocatalytic activity of ZnO, Ag-ZnO, Cu-ZnO, Ag, Cu-ZnO and TPPS/ZnO for the degradation of methylene blue under UV and visible light irradiation. Water Sci. Technol. 2021, 84, 1813–1825. [Google Scholar] [CrossRef]
- Nagaraja, R.; Kottam, N.; Girija, C.R.; Nagabhushana, B.M. Photocatalytic degradation of Rhodamine B dye under UV/solar light using ZnO nanopowder synthesized by solution combustion route. Powder Technol. 2012, 215–216, 91–97. [Google Scholar] [CrossRef]
- Peter, I.J.; Praveen, E.; Vignesh, G.; Nithiananthi, P. ZnO nanostructures with different morphology for enhanced photocatalytic activity. Mater. Res. Express 2017, 4, 124003. [Google Scholar] [CrossRef]
- Ong, C.B.; Ng, L.Y.; Mohammad, A.W. A review of ZnO nanoparticles as solar photocatalysts: Synthesis, mechanisms and applications. Renew. Sustain. Energy Rev. 2018, 81, 536–551. [Google Scholar] [CrossRef]
- Samadi, M.; Zirak, M.; Naseri, A.; Khorashadizade, E.; Moshfegh, A.Z. Recent progress on doped ZnO nanostructures for visible-light photocatalysis. Thin Solid Film. 2016, 605, 2–19. [Google Scholar] [CrossRef]
- He, T.; Long, J.; Li, J.; Liu, L.; Cao, Y. Toxicity of ZnO nanoparticles (NPs) to A549 cells and A549 epithelium in vitro: Interactions with dipalmitoyl phosphatidylcholine (DPPC). Environ. Toxicol. Pharmacol. 2017, 56, 233–240. [Google Scholar] [CrossRef]
- Kc, B.; Paudel, S.N.; Rayamajhi, S.; Karna, D.; Adhikari, S.; Shrestha, B.G.; Bisht, G. Enhanced preferential cytotoxicity through surface modification: Synthesis, characterization and comparative in vitro evaluation of TritonX-100 modified and unmodified zinc oxide nanoparticles in human breast cancer cell (MDA-MB-231). Chem. Cent. J. 2016, 10, 16. [Google Scholar] [CrossRef]
- Demir, E.; Akça, H.; Kaya, B.; Burgucu, D.; Tokgün, O.; Turna, F.; Aksakal, S.; Vales, G.; Creus, A.; Marcos, R. Zinc oxide nanoparticles: Genotoxicity, interactions with UV-light and cell-transforming potential. J. Hazard. Mater. 2014, 264, 420–429. [Google Scholar] [CrossRef] [PubMed]
- Xia, T.; Kovochich, M.; Liong, M.; Mädler, L.; Gilbert, B.; Shi, H.; Yeh, J.I.; Zink, J.I.; Nel, A.E. Comparison of the mechanism of toxicity of zinc oxide and cerium oxide nanoparticles based on dissolution and oxidative stress properties. ACS Nano 2008, 2, 2121–2134. [Google Scholar] [CrossRef] [PubMed]
- Pujalté, I.; Passagne, I.; Brouillaud, B.; Tréguer, M.; Durand, E.; Ohayon-Courtès, C.; L’Azou, B. Cytotoxicity and oxidative stress induced by different metallic nanoparticles on human kidney cells. Part. Fibre Toxicol. 2011, 8, 10. [Google Scholar] [CrossRef] [PubMed]
- Lestari, U.; Mufti, N.; Lutfiyah, D.A.; Fitriyah, U.; Annisa, Y. UV Irradiation Enhanced In-Vitro Cytotoxic Effects of ZnO Nanoparticle on Human Breast Cancer. IOP Conf. Ser. J. Phys. Conf. Ser. 2018, 1093, 012046. [Google Scholar] [CrossRef]
- Yang, Q.; Ma, Y. Irradiation-Enhanced Cytotoxicity of Zinc Oxide Nanoparticles. Int. J. Toxicol. 2014, 33, 187–203. [Google Scholar] [CrossRef]
























| Sample ID | Crystal Lattice Index (a = b ≠ c) | Average Crystallite Size (nm) * | Full Width at Half Maximum (FWHM) | Crystallinity (%) | ||
|---|---|---|---|---|---|---|
| a | b | c | ||||
| ZnAc | 2.8137 | 2.8137 | 5.2087 | 4.270 ± 7.26·10−3 | 0.4215 | 81.99 |
| ZnChlor | 2.8149 | 2.8149 | 5.2105 | 5.470 ± 7.26·10−3 | 0.3291 | 76.05 |
| ZnNit | 2.8199 | 2.8199 | 5.2196 | 8.200 ± 7.26·10−3 | 0.2194 | 80.31 |
| ZnSulf | 2.8141 | 2.8141 | 5.2087 | 7.850 ± 7.26·10−3 | 0.2293 | 74.59 |
| Bragg’s Angle | dhkl (Å) | dhkl (nm) | hkl | |
|---|---|---|---|---|
| 2θ | θ | |||
| 31.78 | 15.89 | 2.8137 | 0.28137 | 100 |
| 34.44 | 17.22 | 2.6023 | 0.26023 | 002 |
| 36.26 | 18.13 | 2.4754 | 0.24754 | 101 |
| 47.57 | 23.78 | 1.9101 | 0.19101 | 102 |
| 56.63 | 28.31 | 1.6241 | 0.16241 | 110 |
| 62.90 | 31.45 | 1.4763 | 0.14763 | 103 |
| 66.54 | 33.27 | 1.4042 | 0.14042 | 200 |
| 68.00 | 34.00 | 1.3776 | 0.13776 | 112 |
| 69.12 | 34.56 | 1.3580 | 0.13580 | 201 |
| 72.64 | 36.32 | 1.3005 | 0.13005 | 202 |
| 76.99 | 38.49 | 1.2376 | 0.12376 | 004 |
| Bragg’s Angle | dhkl (Å) | dhkl (nm) | hkl | |
|---|---|---|---|---|
| 2θ | θ | |||
| 31.76 | 15.88 | 2.8149 | 0.28149 | 100 |
| 34.42 | 17.21 | 2.6032 | 0.26032 | 002 |
| 36.25 | 18.12 | 2.4762 | 0.24762 | 101 |
| 47.55 | 23.78 | 1.9106 | 0.19106 | 102 |
| 56.62 | 28.31 | 1.6243 | 0.16243 | 110 |
| 62.89 | 31.45 | 1.4766 | 0.14766 | 103 |
| 66.43 | 33.21 | 1.4063 | 0.14063 | 200 |
| 67.98 | 33.99 | 1.3778 | 0.13778 | 112 |
| 69.10 | 34.55 | 1.3583 | 0.13583 | 201 |
| 72.59 | 36.30 | 1.3012 | 0.13012 | 202 |
| 75.66 | 37.83 | 1.2559 | 0.12559 | 004 |
| Bragg’s Angle | dhkl (Å) | dhkl (nm) | hkl | |
|---|---|---|---|---|
| 2θ | θ | |||
| 31.70 | 15.85 | 2.8199 | 0.28199 | 100 |
| 34.36 | 17.18 | 2.6078 | 0.26078 | 002 |
| 36.19 | 18.10 | 2.4799 | 0.24799 | 101 |
| 47.49 | 23.74 | 1.9131 | 0.19131 | 102 |
| 56.55 | 28.28 | 1.6260 | 0.16260 | 110 |
| 62.82 | 31.41 | 1.4781 | 0.14781 | 103 |
| 66.35 | 33.17 | 1.4077 | 0.14077 | 200 |
| 67.92 | 33.96 | 1.3790 | 0.13790 | 112 |
| 69.05 | 34.53 | 1.3591 | 0.13591 | 201 |
| 69.05 | 34.53 | 1.3591 | 0.13591 | 202 |
| 76.86 | 38.43 | 1.2394 | 0.12394 | 004 |
| Bragg’s Angle | dhkl (Å) | dhkl (nm) | hkl | |
|---|---|---|---|---|
| 2θ | θ | |||
| 31.77 | 15.89 | 2.8141 | 0.28141 | 100 |
| 34.44 | 17.22 | 2.6023 | 0.26023 | 002 |
| 36.26 | 18.13 | 2.4753 | 0.24753 | 101 |
| 47.57 | 23.78 | 1.9101 | 0.19101 | 102 |
| 56.62 | 28.31 | 1.6242 | 0.16242 | 110 |
| 62.91 | 31.45 | 1.4762 | 0.14762 | 103 |
| 66.42 | 33.21 | 1.4065 | 0.14065 | 200 |
| 67.99 | 34.00 | 1.3777 | 0.13777 | 112 |
| 69.12 | 34.56 | 1.3579 | 0.13579 | 201 |
| 71.76 | 35.88 | 1.3144 | 0.13144 | 202 |
| 76.00 | 38.00 | 1.2512 | 0.12512 | 004 |
| Sample ID | BET Surface Area (m2 g–1) | Micropore Surfuce Area (m2 g–1) | Cumulative Volume (1.7–300 nm) (cm3 g–1) | Average Pore Diameter (nm) |
|---|---|---|---|---|
| ZnAc | 11 | 1 | 0.05 | 19 |
| ZnChlor | 9 | 2 | 0.07 | 29 |
| ZnNit | 8 | 2 | 0.02 | 13 |
| ZnSulf | 6 | 5 | 0.07 | 50 |
| Sample ID | Hydrodynamic Diameter (Dh) | PdI |
|---|---|---|
| ZnAc | 25.9 ± 10.5 | 0.219 |
| ZnChlor | 41.3 ± 16.3 | 0.293 |
| ZnNit | 27.43 ± 1.19 | 0.177 |
| ZnSulf | 27.0 ± 10.7 | 0.157 |
| Sample ID | Pseudo-First Order Kinetic Model | Pseudo-Second Order Kinetic Model | ||
|---|---|---|---|---|
| K1 (min−1) | R2 | K2 (g·mg−1·min−1) | R2 | |
| ZnAc | 0.017 | 0.975 | 0.366 | 0.890 |
| ZnChlor | 0.006 | 0.933 | 0.375 | 0.517 |
| ZnNit | 0.008 | 0.984 | 0.416 | 0.882 |
| ZnSulf | 0.006 | 0.939 | 0.516 | 0.882 |
| Sample ID | Pseudo-First Order Kinetic Model | Pseudo-Second Order Kinetic Model | ||
|---|---|---|---|---|
| K1 (min−1) | R2 | K2 (g·mg−1·min−1) | R2 | |
| ZnAc | 0.018 | 0.976 | 0.380 | 0.884 |
| ZnChlor | 0.006 | 0.920 | 0.433 | 0.599 |
| ZnNit | 0.008 | 0.970 | 0.413 | 0.807 |
| ZnSulf | 0.006 | 0.972 | 0.514 | 0.893 |
Disclaimer/Publisher’s Note: The statements, opinions and data contained in all publications are solely those of the individual author(s) and contributor(s) and not of MDPI and/or the editor(s). MDPI and/or the editor(s) disclaim responsibility for any injury to people or property resulting from any ideas, methods, instructions or products referred to in the content. |
© 2022 by the authors. Licensee MDPI, Basel, Switzerland. This article is an open access article distributed under the terms and conditions of the Creative Commons Attribution (CC BY) license (https://creativecommons.org/licenses/by/4.0/).
Share and Cite
Gatou, M.-A.; Lagopati, N.; Vagena, I.-A.; Gazouli, M.; Pavlatou, E.A. ZnO Nanoparticles from Different Precursors and Their Photocatalytic Potential for Biomedical Use. Nanomaterials 2023, 13, 122. https://doi.org/10.3390/nano13010122
Gatou M-A, Lagopati N, Vagena I-A, Gazouli M, Pavlatou EA. ZnO Nanoparticles from Different Precursors and Their Photocatalytic Potential for Biomedical Use. Nanomaterials. 2023; 13(1):122. https://doi.org/10.3390/nano13010122
Chicago/Turabian StyleGatou, Maria-Anna, Nefeli Lagopati, Ioanna-Aglaia Vagena, Maria Gazouli, and Evangelia A. Pavlatou. 2023. "ZnO Nanoparticles from Different Precursors and Their Photocatalytic Potential for Biomedical Use" Nanomaterials 13, no. 1: 122. https://doi.org/10.3390/nano13010122
APA StyleGatou, M.-A., Lagopati, N., Vagena, I.-A., Gazouli, M., & Pavlatou, E. A. (2023). ZnO Nanoparticles from Different Precursors and Their Photocatalytic Potential for Biomedical Use. Nanomaterials, 13(1), 122. https://doi.org/10.3390/nano13010122

