Complex Study of Magnetization Reversal Mechanisms of FeNi/FeMn Bilayers Depending on Growth Conditions
Abstract
1. Introduction
2. Materials and Methods
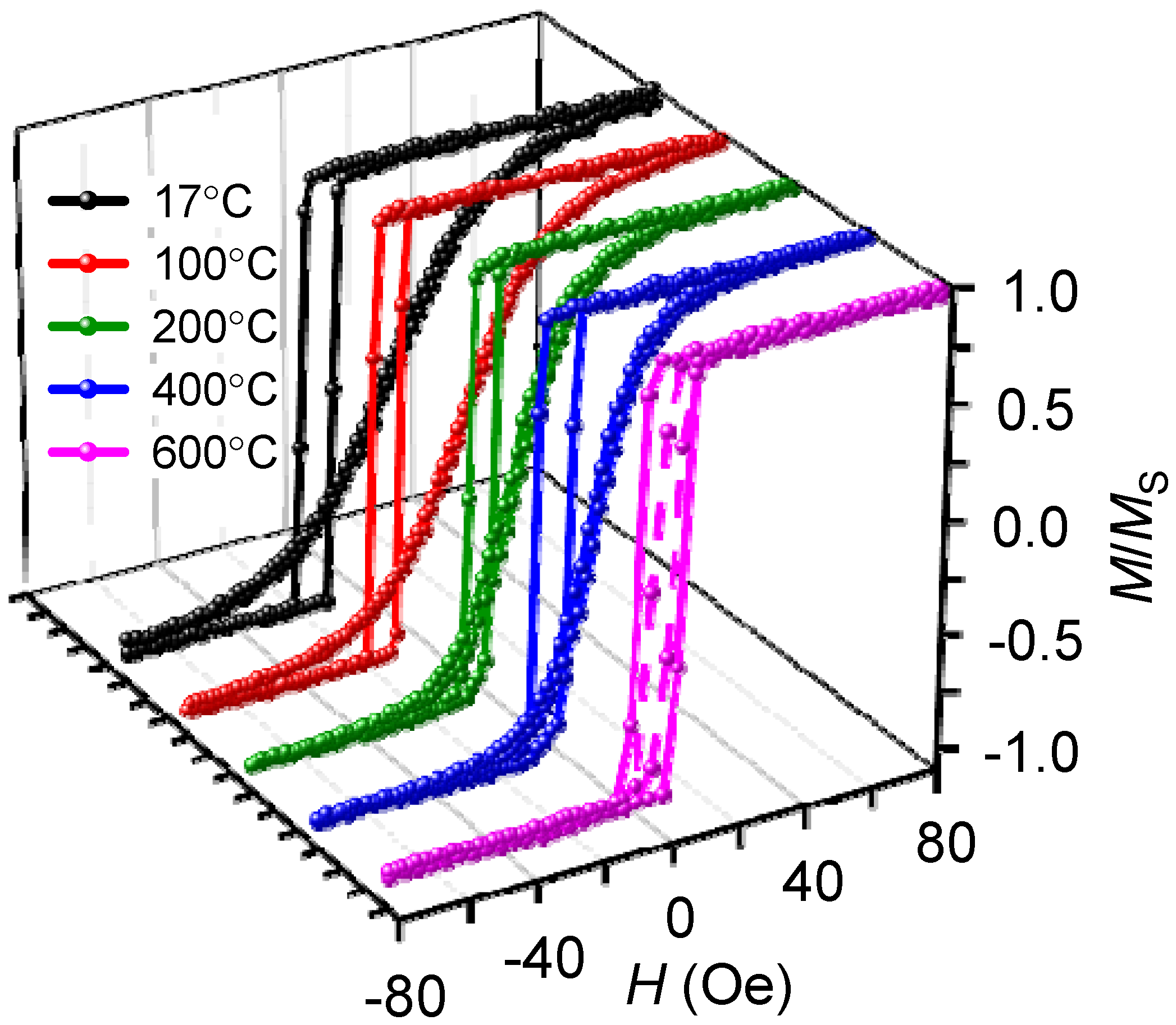
3. Results
4. Conclusions
Author Contributions
Funding
Institutional Review Board Statement
Informed Consent Statement
Data Availability Statement
Acknowledgments
Conflicts of Interest
References
- Da Silva, R.B.; Viegas, A.D.C.; Nascimento, V.P.; Corrêa, M.A.; Schelp, L.F.; Baggio-Saitovitch, E.; Sommer, R.L. High Frequency Magnetoimpedance in Ni81 Fe19/Fe50 Mn50 Exchange Biased Multilayer. Appl. Phys. Lett. 2009, 94, 3–5. [Google Scholar] [CrossRef]
- Garcia, C.; Florez, J.M.; Vargas, P.; Ross, C.A. Asymmetrical Giant Magnetoimpedance in Exchange-Biased NiFe Thermodynamical Properties of Nanomagnets: Quantum Systems View Project Magnetoimpedance: Experiments and Modeling View Project. Appl. Phys. Lett. 2010, 96, 232501. [Google Scholar] [CrossRef]
- Vas’kovskiy, V.; Lepalovskij, V.; Gor’kovenko, A.N.; Kulesh, N.A.; Svalov, A.V.; Shcheglova, N.N.; Yuvchenko, A.A. Magnetoresistive Medium Based on the Film Structure of Fe20Ni80/Fe50Mn50. J. Tech. Phys. 2015, 85, 118–125. [Google Scholar]
- Vinai, G.; Moritz, J.; Bandiera, S.; Prejbeanu, I.L.; Dieny, B. Large Exchange Bias Enhancement in (Pt(or Pd)/Co)/IrMn/Co Trilayers with Ultrathin IrMn Thanks to Interfacial Cu Dusting. Appl. Phys. Lett. 2014, 104, 162401. [Google Scholar] [CrossRef]
- Merenkov, D.N.; Bludov, A.N.; Gnatchenko, S.L.; Baran, M.; Szymczak, R.; Novosad, V.A. Exchange Anisotropy in Polycrystalline FeNiFeMn Films with Hysteresis Loop Asymmetry. Low Temp. Phys. 2007, 33, 957–964. [Google Scholar] [CrossRef]
- Svalov, A.V.; Adanakova, O.A.; Gorkovenko, A.N.; Lepalovskij, V.N.; Stepanova, E.A.; Selezneva, N.V.; Vaśkovskiy, V.O. Exchange Bias Features in FeNi/FeMn/Gd-Co Films. J. Magn. Magn. Mater. 2020, 507, 166839. [Google Scholar] [CrossRef]
- Gnatchenko, S.L.; Merenkov, D.N.; Bludov, A.N.; Pishko, V.V.; Shakhayeva, Y.A.; Baran, M.; Szymczak, R.; Novosad, V.A. Asymmetrically Shaped Hysteresis Loop in Exchange-Biased FeNi/FeMn Film. J. Magn. Magn. Mater. 2006, 307, 263–267. [Google Scholar] [CrossRef]
- Nogués, J.; Schuller, I.K. Exchange Bias. J. Magn. Magn. Mater. 1999, 192, 203–232. [Google Scholar] [CrossRef]
- Kurlyandskaya, G.V.; Bhagat, S.M.; Svalov, A.V.; Fernandez, E.; Garcia-Arribas, A.; Barandiaran, J.M. FeNi-Based Film Nanostructures for High Frequency Applications: Design and Characterization. Solid State Phenom. 2011, 168, 257–260. [Google Scholar] [CrossRef]
- Kateb, M.; Hajihoseini, H.; Gudmundsson, J.T.; Ingvarsson, S. Comparison of Magnetic and Structural Properties of Permalloy Ni80Fe20 Grown by Dc and High Power Impulse Magnetron Sputtering. J. Phys. D. Appl. Phys. 2018, 51, 285005. [Google Scholar] [CrossRef]
- Kilic, U.; Ross, C.A.; Garcia, C. Tailoring the Asymmetric Magnetoimpedance Response in Exchange-Biased Ni-Fe Multilayers. Phys. Rev. Appl. 2018, 10, 34043. [Google Scholar] [CrossRef]
- Chlenova, A.A.; Novoselova, I.P.; Salikhov, R.; Farle, M.; Lepalovskij, V.N.; Totoricaguena Gorriño, J.; Kurlyandskaya, G.V. FexNi100-x Thin Film Systems with Slight Deviations from Zero Magnetostriction Compositions: Focus on Pressure Sensor Applications. Key Eng. Mater. 2019, 826, 11–18. [Google Scholar] [CrossRef]
- Gritsenko, C.; Dzhun, I.; Chechenin, N.; Babaytsev, G.; Rodionova, V. Dependence of the Exchange Bias on the Thickness of Antiferromagnetic Layer in the Trilayered NiFe/IrMn/NiFe Thin-Films. Phys. Procedia 2015, 75, 1066–1071. [Google Scholar] [CrossRef][Green Version]
- Rodionova, V.; Dzhun, I.; Chichay, K.; Shevyrtalov, S.; Chechenin, N. Enhancement of exchange bias in NiFe/IrM, IrMn/NiFe AND NiFe/IrMn/NiFe structures with different thickness of antiferromagnetic layer. Solid State Phenom. 2015, 233, 427–430. [Google Scholar] [CrossRef]
- Lang, X.Y.; Zheng, W.T.; Jiang, Q. Dependence of the Blocking Temperature in Exchange Biased Ferromagnetic/Antiferromagnetic Bilayers on the Thickness of the Antiferromagnetic Layer. Nanotechnology 2007, 18, 155701. [Google Scholar] [CrossRef]
- Choe, G.; Gupta, S. High Exchange Anisotropy and High Blocking Temperature in Strongly Textured NiFe(111)/FeMn(111) Films. Appl. Phys. Lett. 1997, 70, 1766–1768. [Google Scholar] [CrossRef]
- Sankaranarayanan, V.K.; Yoon, S.M.; Kim, D.Y.; Kim, C.O.; Kim, C.G. Exchange Bias in NiFe/FeMn/NiFe Trilayers. J. Appl. Phys. 2004, 96, 7428–7434. [Google Scholar] [CrossRef]
- Savin, P.A.; Lepalovskij, V.N.; Svalov, A.V.; Vas’kovskiy, V.O.; Kurlyandskaya, G.V. Effect of Phase Separation in an Fe20Ni80/Fe50Mn50 Structure with Exchange Coupling. Phys. Met. Metallogr. 2014, 115, 856–863. [Google Scholar] [CrossRef]
- Uspenskaya, L.S.; Tikhomirov, O.A. Low-Temperature Magnetization Switching of Bilayer FeNi/FeMn Films. J. Exp. Theor. Phys. 2019, 128, 624–629. [Google Scholar] [CrossRef]
- Camarero, J.; Sort, J.; Hoffmann, A.; García-Martín, J.M.; Dieny, B.; Miranda, R.; Nogués, J. Origin of the Asymmetric Magnetization Reversal Behavior in Exchange-Biased Systems: Competing Anisotropies. Phys. Rev. Lett. 2005, 95, 057204. [Google Scholar] [CrossRef]
- Jimé Nez, E.; Camarero, J.; Perna, P.; Mikuszeit, N.; Terán, F.J.; Sort, J.; Nogués, J.; García-Martín, J.M.; Hoffmann, A.; Dieny, B.; et al. Role of Anisotropy Configuration in Exchange-Biased Systems. Am. Inst. Phys. 2011, 109, 07D730. [Google Scholar] [CrossRef]
- Gornakov, V.S.; Kabanov, Y.P.; Tikhomirov, O.A.; Nikitenko, V.I.; Urazhdin, S.V.; Yang, F.Y.; Chien, C.L.; Shapiro, A.J.; Shull, R.D. Experimental Study of the Microscopic Mechanisms of Magnetization Reversal in FeNi/FeMn Exchange-Biased Ferromagnet/Antiferromagnet Polycrystalline Bilayers Using the Magneto-Optical Indicator Film Technique. Phys. Rev. B 2006, 73, 184428. [Google Scholar] [CrossRef]
- Radu, F.; Zabel, H. Exchange Bias Effect of Ferro-/Antiferromagnetic Heterostructures. In Magnetic Heterostructures; Bader, S., Zabel, H., Eds.; Springer: Berlin/Heidelberg, Germany, 2008; pp. 97–184. ISBN 978-3-540-73461-1. [Google Scholar]
- Scholl, A.; Liberati, M.; Arenholz, E.; Ohldag, H.; Stöhr, J. Creation of an Antiferromagnetic Exchange Spring. Phys. Rev. Lett. 2004, 92, 247201. [Google Scholar] [CrossRef] [PubMed]
- Kim, K.; Choi, H.; You, C.; Lee, J. Annealing Effect on Exchange Bias in NiFe/FeMn/CoFe Trilayer Thin Films. J. Magn. 2008, 13, 97–101. [Google Scholar] [CrossRef][Green Version]
- Kim, S.W.; Kim, J.K.; Kim, J.H. Mn Diffusion Effect in the Exchange Biased NiFe/FeMn/NiFe Trilayers ARTICLES YOU MAY BE INTERESTED IN. J. Appl. Phys. 2003, 93, 6602. [Google Scholar] [CrossRef]
- Svalov, A.; Savin, P.; Lepalovskij, V.; Larrañaga, A.; Vas, V.; García-arribas, A.; Kurlyandskaya, G. Tailoring the Exchange Bias in FeNi/FeMn Bilayers by Heat Treatment and FeMn Surface Oxidation. IEEE Trans. Magn. 2014, 50, 3–6. [Google Scholar] [CrossRef]
- Xue, X.; Zhou, Z.; Peng, B.; Zhu, M.; Zhang, Y.; Ren, W.; Ren, T.; Yang, X.; Nan, T.; Sun, N.X.; et al. Electric Field Induced Reversible 180° Magnetization Switching through Tuning of Interfacial Exchange Bias along Magnetic Easy-Axis in Multiferroic Laminates. Sci. Rep. 2015, 5, 16480. [Google Scholar] [CrossRef]
- Adanakova, O.; Lepalovskij, V.; Svalov, A.; Larrañaga, A.; Trubin, A.; Vas’Kovskiy, V. Magnetic Properties of NixFe100- x Layers in Exchange-Coupled FeMn/NixFe100- x Film Structures. AIP Conf. Proc. 2016, 1767, 020001. [Google Scholar] [CrossRef]
- Svalov, A.V.; Savin, P.A.; Lepalovskij, V.N.; Larrañaga, A.; Vas’Kovskiy, V.O.; Arribas, A.G.; Kurlyandskaya, G.V. Exchange Biased FeNi/FeMn Bilayers with Coercivity and Switching Field Enhanced by FeMn Surface Oxidation. AIP Adv. 2013, 3, 092104. [Google Scholar] [CrossRef]
- Savin, P.; Guzmán, J.; Lepalovskij, V.; Svalov, A.; Kurlyandskaya, G.; Asenjo, A.; Vas’Kovskiy, V.; Vazquez, M. Exchange Bias in Sputtered FeNi/FeMn Systems: Effect of Short Low-Temperature Heat Treatments. J. Magn. Magn. Mater. 2016, 402, 49–54. [Google Scholar] [CrossRef]
- Patterson, A.L. The Scherrer Formula for I-Ray Particle Size Determination. Phys. Rev. 1939, 56, 978. [Google Scholar] [CrossRef]
- Wang, W.; Chai, G.; Xue, D. Omnidirectional Zero-Field Ferromagnetic Resonance Driven by Rotatable Anisotropy in FeNi/FeMn Bilayers without Exchange Bias. Sci. Rep. 2017, 7, 1341. [Google Scholar] [CrossRef] [PubMed]
- Vallejo-Fernandez, G.; Fernandez-Outon, L.E.; O’Grady, K. Antiferromagnetic Grain Volume Effects in Metallic Polycrystalline Exchange Bias Systems. J. Phys. D Appl. Phys. 2008, 41, 112001. [Google Scholar] [CrossRef]
- O’Grady, K.; Fernandez-Outon, L.E.; Vallejo-Fernandez, G. A New Paradigm for Exchange Bias in Polycrystalline Thin Films. J. Magn. Magn. Mater. 2010, 322, 883–899. [Google Scholar] [CrossRef]
- Pan, M.; You, B.; Zhao, Y.; Mu, L.; An, H.; Hongru, Z. Thermal Stability of Exchange Bias in FeMn Based Bilayers Minghu. J. Appl. Phys. 2002, 91, 5272. [Google Scholar] [CrossRef]
- Yoon, S.M.; Lim, J.J.; Lee, Y.W.; Kim, C.G.; Kim, C.O. Exchange Bias Affected by Ion Beam Etching of FeMn Surface in Ta/NiFe/FeMn. Phys. Status Solidi 2004, 201, 1736–1738. [Google Scholar] [CrossRef]
- Gao, T.R.; Yang, D.Z.; Zhou, S.M.; Chantrell, R.; Asselin, P.; Du, J.; Wu, X.S. Hysteretic Behavior of Angular Dependence of Exchange Bias in FeNi/FeMn Bilayers. Phys. Rev. Lett. 2007, 99, 057201. [Google Scholar] [CrossRef]
- King, J.; Chapman, J.; Gillies, M.; Kools, J. Magnetization Reversal of NiFe Films Exchange-Biased by IrMn and FeMn. J. Phys. D Appl. Phys. 2001, 34, 528–538. [Google Scholar] [CrossRef]
- Martínez-García, J.C.; Rivas, M.; Lago-Cachón, D.; García, J.A. First-Order Reversal Curves Analysis in Nanocrystalline Ribbons. J. Phys. D. Appl. Phys. 2014, 47, 015001. [Google Scholar] [CrossRef]
- Kim, J.; Stamps, R.L. Hysteresis from Antiferromagnet Domain-Wall Processes in Exchange-Biased Systems: Magnetic Defects and Thermal Effects. Phys. Rev. B 2005, 71, 094405. [Google Scholar] [CrossRef]
- Nikitenko, V.I.; Gornakov, V.S.; Shapiro, A.J.; Shull, R.D.; Liu, K.; Zhou, S.M.; Chien, C.L. Asymmetry in Elementary Events of Magnetization Reversal in a Ferromagnetic/Antiferromagnetic Bilayer. Phys. Rev. Lett. 2000, 84, 765. [Google Scholar] [CrossRef] [PubMed]
- Gornakov, V.S.; Shashkov, I.V.; Lebyodkin, M.A.; Lebedkina, T.A. Domain Structure and Magnetization Reversal Micromechanisms in Quasi-Two-Dimensional Exchange-Biased Nanomagnetics. Phys. Solid State 2018, 60, 2181–2189. [Google Scholar] [CrossRef]
- Feng, C.; Li, Y.; Wang, L.; Cao, Y.; Yao, M.; Meng, F.; Yang, F.; Li, B.; Wang, K.; Yu, G. Giant Strain Control of Antiferromagnetic Moment in Metallic FeMn by Tuning Exchange Spring Structure. Adv. Funct. Mater. 2020, 30, 1909708. [Google Scholar] [CrossRef]











| TSUB (°C) | d (FeMn) ± 1 (nm) |
|---|---|
| 17, 100 | 12 |
| 200, 400, 500 | 7 |
| 600 | <7 |
| t (FeMn) (nm) | d (FeMn) ± 1 (nm) |
|---|---|
| 5 | <7 |
| 10 | 7 |
| 20 | 12 |
| 30, 40, 50 | 18 |
Publisher’s Note: MDPI stays neutral with regard to jurisdictional claims in published maps and institutional affiliations. |
© 2022 by the authors. Licensee MDPI, Basel, Switzerland. This article is an open access article distributed under the terms and conditions of the Creative Commons Attribution (CC BY) license (https://creativecommons.org/licenses/by/4.0/).
Share and Cite
Gritsenko, C.; Lepalovskij, V.; Volochaev, M.; Komanický, V.; Gorkovenko, A.; Pazniak, H.; Gazda, M.; Andreev, N.; Rodionova, V. Complex Study of Magnetization Reversal Mechanisms of FeNi/FeMn Bilayers Depending on Growth Conditions. Nanomaterials 2022, 12, 1178. https://doi.org/10.3390/nano12071178
Gritsenko C, Lepalovskij V, Volochaev M, Komanický V, Gorkovenko A, Pazniak H, Gazda M, Andreev N, Rodionova V. Complex Study of Magnetization Reversal Mechanisms of FeNi/FeMn Bilayers Depending on Growth Conditions. Nanomaterials. 2022; 12(7):1178. https://doi.org/10.3390/nano12071178
Chicago/Turabian StyleGritsenko, Christina, Vladimir Lepalovskij, Mikhail Volochaev, Vladimir Komanický, Aleksandr Gorkovenko, Hanna Pazniak, Maria Gazda, Nikolai Andreev, and Valeria Rodionova. 2022. "Complex Study of Magnetization Reversal Mechanisms of FeNi/FeMn Bilayers Depending on Growth Conditions" Nanomaterials 12, no. 7: 1178. https://doi.org/10.3390/nano12071178
APA StyleGritsenko, C., Lepalovskij, V., Volochaev, M., Komanický, V., Gorkovenko, A., Pazniak, H., Gazda, M., Andreev, N., & Rodionova, V. (2022). Complex Study of Magnetization Reversal Mechanisms of FeNi/FeMn Bilayers Depending on Growth Conditions. Nanomaterials, 12(7), 1178. https://doi.org/10.3390/nano12071178

