High Curie Temperature Achieved in the Ferromagnetic MnxGe1−x/Si Quantum Dots Grown by Ion Beam Co-Sputtering
Abstract
1. Introduction
2. Experimental Section

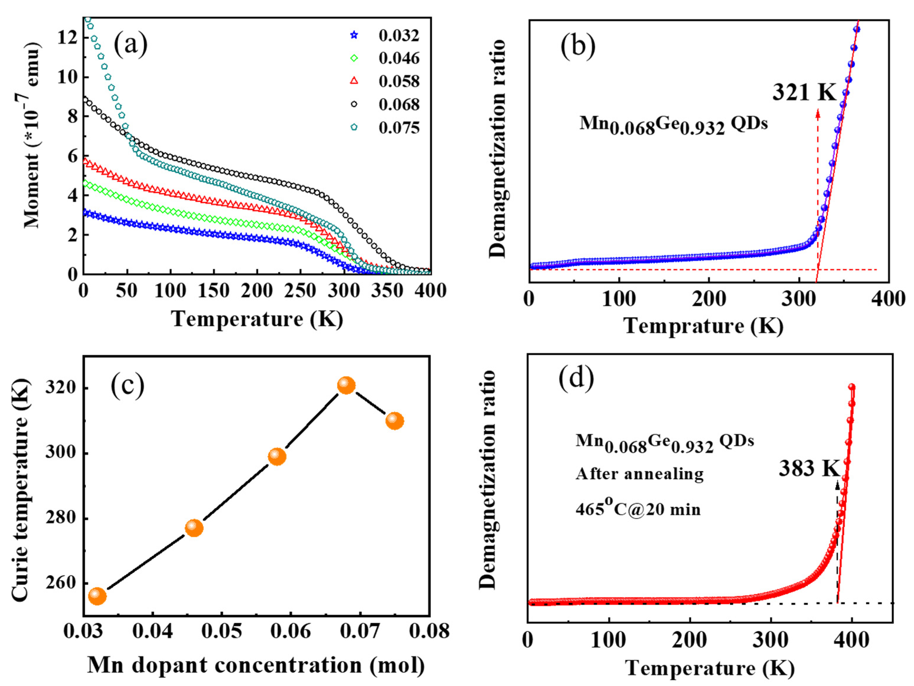
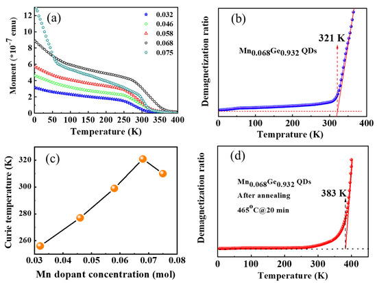
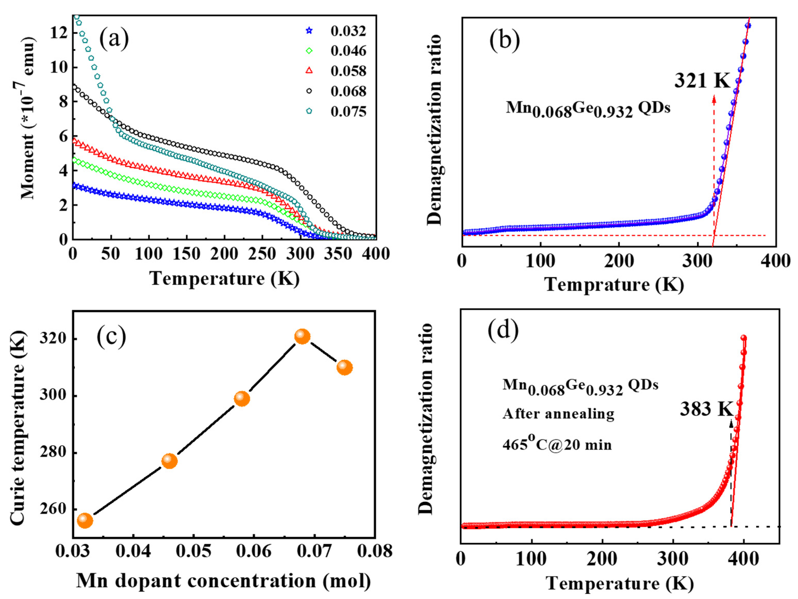
3. Results and Discussion
4. Conclusions
Author Contributions
Funding
Data Availability Statement
Acknowledgments
Conflicts of Interest
References
- Awschalom, D.D.; Flatte, M.E. Challenges for semiconductor spintronics. Nat. Phys. 2007, 3, 153–159. [Google Scholar] [CrossRef]
- Dietl, T. A ten-year perspective on dilute magnetic semiconductors and oxides. Nat. Mater. 2010, 9, 965–974. [Google Scholar] [CrossRef] [PubMed]
- Wang, L.; Liu, T.; Hu, X.; Wang, S.; Zhong, Z.; Jia, Q.; Jiang, Z. Carrier effects on ferromagnetism of MnxGe1−x quantum dots. Appl. Phys. Lett. 2017, 111, 072103. [Google Scholar] [CrossRef]
- Dietl, T.; Ohno, H. Dilute ferromagnetic semiconductors: Physics and spintronic structures. Rev. Mod. Phys. 2014, 86, 187–251. [Google Scholar] [CrossRef]
- Cai, B.; Chen, X.; Xie, M.; Zhang, S.; Liu, X.; Yang, J.; Zhou, W.; Guo, S.; Zeng, H. A class of Pb-free double perovskite halide semiconductors with intrinsic ferromagnetism, large spin splitting and high Curie temperature. Mater. Horiz. 2018, 5, 961–968. [Google Scholar] [CrossRef]
- Park, Y.D.; Hanbicki, A.T.; Erwin, S.C.; Hellberg, C.S.; Sullivan, J.M.; Mattson, J.E.; Ambrose, T.F.; Wilson, A.; Spanos, G.; Jonker, B.T. A group-IV ferromagnetic semiconductor: MnxGe1-x. Science 2002, 295, 651–654. [Google Scholar] [CrossRef]
- Wang, Y.; Zou, J.; Zhao, Z.; Han, X.; Zhou, X.; Wang, K.L. Direct structural evidences of Mn11Ge8 and Mn5Ge2 clusters in Ge0.96Mn0.04 thin films. Appl. Phys. Lett. 2008, 92, 101913. [Google Scholar] [CrossRef]
- Park, Y.D.; Wilson, A.; Hanbicki, A.T.; Mattson, J.E.; Ambrose, T.; Spanos, G.; Jonker, B.T. Magnetoresistance of Mn:Ge ferromagnetic nanoclusters in a diluted magnetic semiconductor matrix. Appl. Phys. Lett. 2001, 78, 2739–2741. [Google Scholar] [CrossRef]
- Wang, Y.; Zou, J.; Zhao, Z.; Han, X.; Zhou, X.; Wang, K.L. Mn behavior in Ge0.96Mn0.04 magnetic thin films grown on Si. J. Appl. Phys. 2008, 103, 066104. [Google Scholar] [CrossRef]
- Kassim, J.; Nolph, C.; Jamet, M.; Reinke, P.; Floro, J. Ge1−xMnx heteroepitaxial quantum dots: Growth, morphology, and magnetism. J. Appl. Phys. 2013, 113, 073910. [Google Scholar] [CrossRef]
- Xiu, F.; Wang, Y.; Kim, J.; Hong, A.; Tang, J.; Jacob, A.P.; Zou, J.; Wang, K.L. Electric-field-controlled ferromagnetism in high-Curie-temperature Mn0.05Ge0.95 quantum dots. Nat. Mater. 2010, 9, 337–344. [Google Scholar] [CrossRef] [PubMed]
- Shaughnessy, M.; Fong, C.Y.; Snow, R.; Yang, L.H.; Chen, X.S.; Jiang, Z.M. Structural and magnetic properties of single dopants of Mn and Fe for Si-based spintronic materials. Phys. Rev. B 2010, 82, 035202. [Google Scholar] [CrossRef]
- Kazakova, O.; Kulkarni, J.S.; Holmes, J.D.; Demokritov, S.O. Room-temperature ferromagnetism inGe1−xMnxnanowires. Phys. Rev. B 2005, 72, 094415. [Google Scholar] [CrossRef]
- Nie, T.; Tang, J.; Kou, X.; Gen, Y.; Lee, S.; Zhu, X.; He, Q.; Chang, L.T.; Murata, K.; Fan, Y.; et al. Enhancing electric-field control of ferromagnetism through nanoscale engineering of high-Tc MnxGe1-x nanomesh. Nat. Commun. 2016, 7, 12866. [Google Scholar] [CrossRef]
- Wang, L.; Liu, T.; Jia, Q.; Zhang, Z.; Lin, D.; Chen, Y.; Fan, Y.; Zhong, Z.; Yang, X.; Zou, J.; et al. Research Update: Strain and composition effects on ferromagnetism of Mn0.05Ge0.95 quantum dots. APL Mater. 2016, 4, 040701. [Google Scholar] [CrossRef]
- Assaf, E.; Portavoce, A.; Hoummada, K.; Bertoglio, M.; Bertaina, S. High Curie temperature Mn5Ge3 thin films produced by non-diffusive reaction. Appl. Phys. Lett. 2017, 110, 072408. [Google Scholar] [CrossRef]
- Sasaki, K.; Nabetani, Y.; Miyashita, H.; Hata, T. Heteroepitaxial growth of SiGe films and heavy B doping by ion-beam sputtering. Thin Solid Films 2000, 369, 171–174. [Google Scholar] [CrossRef]
- Sasaki, K.; Nakata, K.; Hata, T. Epitaxial growth of SiGe thin films by ion-beam sputtering. Appl. Surf. Sci. 1997, 113, 43–47. [Google Scholar] [CrossRef]
- Wang, C.; Ke, S.Y.; Yang, J.; Hu, W.D.; Qiu, F.; Wang, R.F.; Yang, Y. Electronic properties of single Ge/Si quantum dot grown by ion beam sputtering deposition. Nanotechnology 2015, 26, 105201. [Google Scholar] [CrossRef]
- Yang, J.; Zhao, B.; Wang, C.; Qiu, F.; Wang, R.; Yang, Y. Improving the growth of Ge/Si islands by modulating the spacing between screen and accelerator grids in ion beam sputtering deposition system. Appl. Surf. Sci. 2016, 386, 303–308. [Google Scholar] [CrossRef]
- Zhang, Z.; Wang, R.F.; Zhang, J.; Li, H.S.; Zhang, J.; Qiu, F.; Yang, J.; Wang, C.; Yang, Y. Direct growth of Ge quantum dots on a graphene/SiO2/Si structure using ion beam sputtering deposition. Nanotechnology 2016, 27, 305601. [Google Scholar] [CrossRef] [PubMed]
- Chung, H.-C.; Liu, C.-P.; Lai, Y.-L. Formation of coherent Ge shallow dome islands on Si(001) by ultra-high-vacuum ion beam sputter deposition. Appl. Phys. A 2008, 91, 267–271. [Google Scholar] [CrossRef]
- Gnanarajan, S.; Savvides, N. Dual ion beam assisted magnetron deposition of biaxially textured YSZ and YBCO/YSZ thin films. Surf. Coat. Tech. 2016, 305, 116–122. [Google Scholar] [CrossRef]
- Ishizaka, A.; Shiraki, Y. Low-Temperature Surface Cleaning of Silicon and Its Application to Silicon Mbe. J. Electrochem. Soc. 1986, 133, 666–671. [Google Scholar] [CrossRef]
- Ke, S.; Ye, S.; Yang, J.; Wang, Z.; Wang, C.; Yang, Y. Morphological evolution of self-assembled SiGe islands based on a mixed-phase pre-SiGe island layer grown by ion beam sputtering deposition. Appl. Surf. Sci. 2015, 328, 387–394. [Google Scholar] [CrossRef]
- Shu, Q.; Wang, R.; Yang, J.; Zhang, M.; Zeng, T.; Sun, T.; Wang, C.; Yang, Y. Microstructure and optical response optimization of Ge/Si quantum dots transformed from the sputtering-grown Ge thin film by manipulating the thermal annealing. Nanotechnology 2018, 29, 095601. [Google Scholar] [CrossRef]
- Singha, R.K.; Das, S.; Majumdar, S.; Das, K.; Dhar, A.; Ray, S.K. Evolution of strain and composition of Ge islands on Si (001) grown by molecular beam epitaxy during postgrowth annealing. J. Appl. Phys. 2008, 103, 114301. [Google Scholar] [CrossRef]
- Ferri, F.A. Low-temperature metal-induced crystallization of Mn-containing amorphous Ge thin films. J. Non-Cryst. Solids 2012, 358, 58–60. [Google Scholar] [CrossRef]
- Montalenti, F.; Raiteri, P.; Migas, D.B.; von Kanel, H.; Rastelli, A.; Manzano, C.; Costantini, G.; Denker, U.; Schmidt, O.G.; Kern, K.; et al. Atomic-scale pathway of the pyramid-to-dome transition during ge growth on Si(001). Phys. Rev. Lett. 2004, 93, 216102. [Google Scholar] [CrossRef]
- Huang, C.J.; Zuo, Y.H.; Li, D.Z.; Cheng, B.W.; Luo, L.P.; Yu, J.Z.; Wang, Q.M. Shape evolution of Ge/Si(001) islands induced by strain-driven alloying. Appl. Phys. Lett. 2001, 78, 3881–3883. [Google Scholar] [CrossRef]
- Savaloni, H.; Goli-Haghighi, S.; Babaei, R. Application of Mn-Cu Helical Star-Shaped (Pine-Tree-Like) Sculpted Thin Films with Different Symmetries Using Surface-Enhanced Raman Spectroscopy (SERS). Appl. Spectrosc. 2019, 73, 879–892. [Google Scholar] [CrossRef] [PubMed]
- Lin, J.H.; Yang, H.B.; Qin, J.; Zhang, B.; Fan, Y.L.; Yang, X.J.; Jiang, Z.M. Strain analysis of Ge/Si(001) islands after initial Si capping by Raman spectroscopy. J. Appl. Phys. 2007, 101, 083528. [Google Scholar] [CrossRef]
- Alonso, M.I.; de la Calle, M.; Ossó, J.O.; Garriga, M.; Goñi, A.R. Strain and composition profiles of self-assembled Ge∕Si(001) islands. J. Appl. Phys. 2005, 98, 033530. [Google Scholar] [CrossRef]
- Qiao, S.; Hou, D.; Wei, Y.; Gao, W.; Hu, Y.; Zhen, C.; Tang, G. Ferromagnetism in MnxGe1−x films prepared by magnetron sputtering. J. Magn. Magn. Mater. 2009, 321, 2446–2450. [Google Scholar] [CrossRef]
- Kim, S.-K.; Cho, Y.C.; Jeong, S.-Y.; Cho, C.-R.; Park, S.E.; Lee, J.H.; Kim, J.-P.; Kim, Y.C.; Choi, H.W. High-temperature ferromagnetism in amorphous semiconductor Ge3Mn thin films. Appl. Phys. Lett. 2007, 90, 192505. [Google Scholar] [CrossRef]
- Qiao, S.; Hou, D.; Wei, Y.; Zhang, Q.; Zhen, C. Structure, magnetic and transport properties of MnxGe1−x films. Physica B 2008, 403, 3916–3920. [Google Scholar] [CrossRef]
- Sato, S.; Nozaki, S.; Morisaki, H. Photo-oxidation of germanium nanostructures deposited by the cluster-beam evaporation technique. J. Appl. Phys. 1997, 81, 1518–1521. [Google Scholar] [CrossRef]
- Craciun, V.; Boyd, I.W.; Reader, A.H.; Vandenhoudt, D.E.W. Low temperature synthesis of Ge nanocrystals in SiO2. Appl. Phys. Lett. 1994, 65, 3233–3235. [Google Scholar] [CrossRef]
- Craciun, V.; Boyd, I.W.; Craciun, D.; Andreazza, P.; Perriere, J. Vacuum ultraviolet annealing of hydroxyapatite films grown by pulsed laser deposition. J. Appl. Phys. 1999, 85, 8410–8414. [Google Scholar] [CrossRef]
- Shinya, H.; Fukushima, T.; Masago, A.; Sato, K.; Katayama-Yoshida, H. First-principles calculations on the origin of ferromagnetism in transition-metal doped Ge. Phys. Rev. B 2017, 96, 104415. [Google Scholar] [CrossRef]
- Thaljaoui, R.; Pękała, K.; Pękała, M.; Boujelben, W.; Szydłowska, J.; Fagnard, J.F.; Vanderbemden, P.; Cheikhrouhou, A. Magnetic susceptibility and electron magnetic resonance study of monovalent potassium doped manganites Pr0.6Sr0.4−xKxMnO3. J. Alloys Compd. 2013, 580, 137–142. [Google Scholar] [CrossRef]
- Nie, T.; Kou, X.; Tang, J.; Fan, Y.; Lee, S.; He, Q.; Chang, L.T.; Murata, K.; Gen, Y.; Wang, K.L. Nanoengineering of an Si/MnGe quantum dot superlattice for high Curie-temperature ferromagnetism. Nanoscale 2017, 9, 3086–3094. [Google Scholar] [CrossRef] [PubMed]
- Xiu, F.; Wang, Y.; Wong, K.; Zhou, Y.; Kou, X.; Zou, J.; Wang, K.L. MnGe magnetic nanocolumns and nanowells. Nanotechnology 2010, 21, 255602. [Google Scholar] [CrossRef] [PubMed]
- Xiu, F.; Ovchinnikov, I.V.; Upadhyaya, P.; Wong, K.; Kou, X.; Zhou, Y.; Wang, K.L. Voltage-controlled ferromagnetic order in MnGe quantum dots. Nanotechnology 2010, 21, 375606. [Google Scholar] [CrossRef][Green Version]
- Chiba, D.; Sawicki, M.; Nishitani, Y.; Nakatani, Y.; Matsukura, F.; Ohno, H. Magnetization vector manipulation by electric fields. Nature 2008, 455, 515–518. [Google Scholar] [CrossRef]
- Dietl, T.; Ohno, H.; Matsukura, F.; Cibert, J.; Ferrand, D. Zener model description of ferromagnetism in zinc-blende magnetic semiconductors. Science 2000, 287, 1019–1022. [Google Scholar] [CrossRef]
- De Padova, P.; Olivieri, B.; Mariot, J.M.; Favre, L.; Berbezier, I.; Quaresima, C.; Paci, B.; Generosi, A.; Rossi Albertini, V.; Cricenti, A.; et al. Ferromagnetic Mn-doped Si0.3Ge0.7 nanodots self-assembled on Si(100). J. Phys. Condens. Matter 2012, 24, 142203. [Google Scholar] [CrossRef]
- Arras, E.; Lançon, F.; Slipukhina, I.; Prestat, É.; Rovezzi, M.; Tardif, S.; Titov, A.; Bayle-Guillemaud, P.; d’Acapito, F.; Barski, A.; et al. Interface-driven phase separation in multifunctional materials: The case of the ferromagnetic semiconductor GeMn. Phys. Rev. B 2012, 85, 115204. [Google Scholar] [CrossRef]
- Ferri, F.A.; Pereira-da-Silva, M.A.; Zanatta, A.R.; Varella, A.L.S.; de Oliveira, A.J.A. Effect of Mn concentration and atomic structure on the magnetic properties of Ge thin films. J. Appl. Phys. 2010, 108, 113922. [Google Scholar] [CrossRef]
- Yang, J.; Jin, Y.; Wang, C.; Li, L.; Tao, D.; Yang, Y. Evolution of self-assembled Ge/Si island grown by ion beam sputtering deposition. Appl. Surf. Sci. 2012, 258, 3637–3642. [Google Scholar] [CrossRef]







Publisher’s Note: MDPI stays neutral with regard to jurisdictional claims in published maps and institutional affiliations. |
© 2022 by the authors. Licensee MDPI, Basel, Switzerland. This article is an open access article distributed under the terms and conditions of the Creative Commons Attribution (CC BY) license (https://creativecommons.org/licenses/by/4.0/).
Share and Cite
Duan, X.; Ye, S.; Yang, J.; Li, C.; Lu, C.; He, X.; Zhang, L.; Wang, R.; Qiu, F.; Yang, J.; et al. High Curie Temperature Achieved in the Ferromagnetic MnxGe1−x/Si Quantum Dots Grown by Ion Beam Co-Sputtering. Nanomaterials 2022, 12, 716. https://doi.org/10.3390/nano12040716
Duan X, Ye S, Yang J, Li C, Lu C, He X, Zhang L, Wang R, Qiu F, Yang J, et al. High Curie Temperature Achieved in the Ferromagnetic MnxGe1−x/Si Quantum Dots Grown by Ion Beam Co-Sputtering. Nanomaterials. 2022; 12(4):716. https://doi.org/10.3390/nano12040716
Chicago/Turabian StyleDuan, Xiaoxiao, Shuming Ye, Jing Yang, Chen Li, Chunjiang Lu, Xinpeng He, Luran Zhang, Rongfei Wang, Feng Qiu, Jie Yang, and et al. 2022. "High Curie Temperature Achieved in the Ferromagnetic MnxGe1−x/Si Quantum Dots Grown by Ion Beam Co-Sputtering" Nanomaterials 12, no. 4: 716. https://doi.org/10.3390/nano12040716
APA StyleDuan, X., Ye, S., Yang, J., Li, C., Lu, C., He, X., Zhang, L., Wang, R., Qiu, F., Yang, J., Cui, H., & Wang, C. (2022). High Curie Temperature Achieved in the Ferromagnetic MnxGe1−x/Si Quantum Dots Grown by Ion Beam Co-Sputtering. Nanomaterials, 12(4), 716. https://doi.org/10.3390/nano12040716

