The Low-Temperature Photocurrent Spectrum of Monolayer MoSe2: Excitonic Features and Gate Voltage Dependence
Abstract
:1. Introduction
2. Materials and Methods
2.1. Device Fabrication
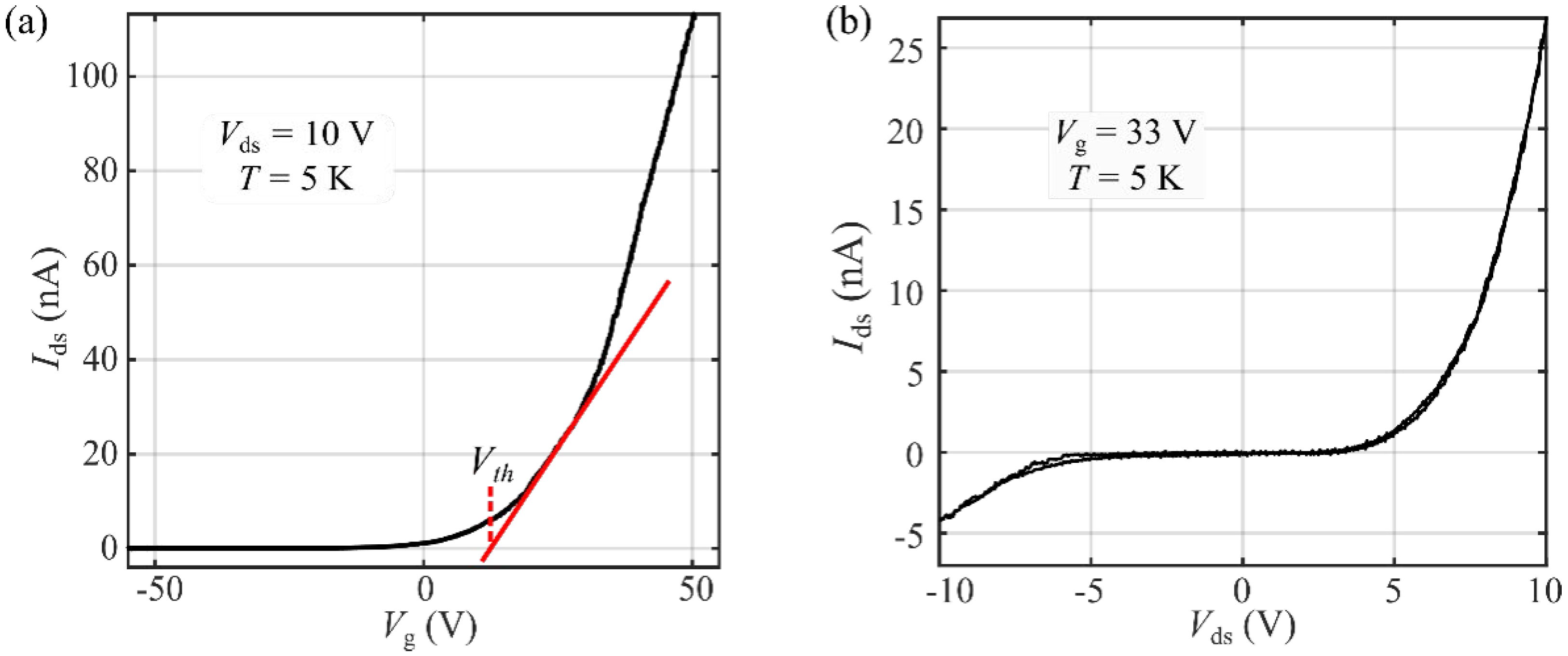
2.2. Electrical Characterization of The Monolayer MoSe2 Phototransistor
3. Results
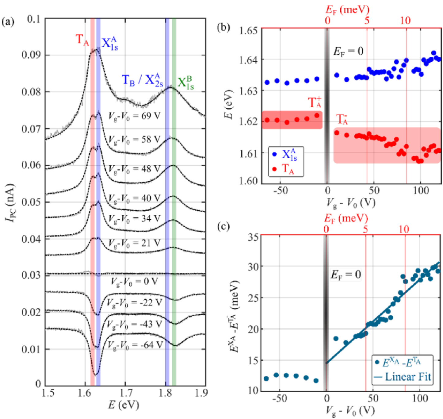
3.1. Photocurrent Spectroscopy Measurements
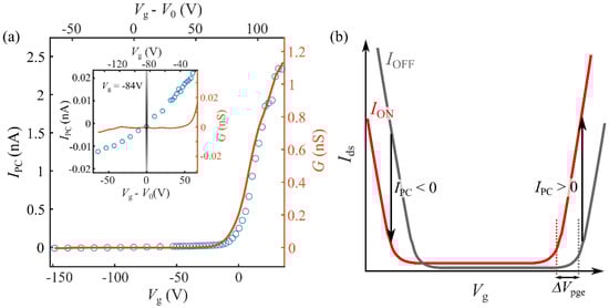
3.2. Gate Dependence of The Photocurrent
3.3. Gate Dependence of Spectral Features
4. Discussion
Supplementary Materials
Author Contributions
Funding
Institutional Review Board Statement
Data Availability Statement
Acknowledgments
Conflicts of Interest
References
- Splendiani, A.; Sun, L.; Zhang, Y.; Li, T.; Kim, J.; Chim, C.-Y.; Galli, G.; Wang, F. Emerging photoluminescence in monolayer MoS2. Nano Lett. 2010, 10, 1271–1275. [Google Scholar] [CrossRef] [PubMed]
- Castellanos-Gomez, A.; Quereda, J.; van der Meulen, H.P.; Agraït, N.; Rubio-Bollinger, G. Spatially resolved optical absorption spectroscopy of single-and few-layer MoS2 by hyperspectral imaging. Nanotechnology 2016, 27, 115705. [Google Scholar] [CrossRef] [Green Version]
- He, K.; Poole, C.; Mak, K.F.; Shan, J. Experimental demonstration of continuous electronic structure tuning via strain in atomically thin MoS2. Nano Lett. 2013, 13, 2931–2936. [Google Scholar] [CrossRef] [PubMed] [Green Version]
- Frisenda, R.; Niu, Y.; Gant, P.; Molina-Mendoza, A.J.; Schmidt, R.; Bratschitsch, R.; Liu, J.; Fu, L.; Dumcenco, D.; Kis, A.; et al. Micro-reflectance and transmittance spectroscopy: A versatile and powerful tool to characterize 2D materials. J. Phys. D Appl. Phys. 2017, 50, 074002. [Google Scholar] [CrossRef]
- Zhang, C.; Wang, H.; Chan, W.; Manolatou, C.; Rana, F. Absorption of light by excitons and trions in monolayers of metal dichalcogenide MoS2: Experiments and theory. Phys. Rev. B—Condens. Matter Mater. Phys. 2014, 89, 205436. [Google Scholar] [CrossRef] [Green Version]
- Robert, C.; Semina, M.A.; Cadiz, F.; Manca, M.; Courtade, E.; Taniguchi, T.; Watanabe, K.; Cai, H.; Tongay, S.; Lassagne, B.; et al. Optical spectroscopy of excited exciton states in MoS2 monolayers in van der Waals heterostructures. Phys. Rev. Mater. 2018, 2, 011001. [Google Scholar] [CrossRef]
- Paur, M.; Molina-Mendoza, A.J.; Bratschitsch, R.; Watanabe, K.; Taniguchi, T.; Mueller, T. Electroluminescence from multi-particle exciton complexes in transition metal dichalcogenide semiconductors. Nat. Commun. 2019, 10, 1709. [Google Scholar] [CrossRef] [PubMed] [Green Version]
- Vaquero, D.; Clericò, V.; Salvador-Sánchez, J.; Martín-Ramos, A.; Díaz, E.; Domínguez-Adame, F.; Meziani, Y.M.; Diez, E.; Quereda, J. Excitons, trions and Rydberg states in monolayer MoS2 revealed by low-temperature photocurrent spectroscopy. Commun. Phys. 2020, 3, 194. [Google Scholar] [CrossRef]
- Kam, K.K.; Parklnclon, B.A. Detailed Photocurrent Spectroscopy of the Semiconducting Group VI Transition Metal Dichaicogenldes. J. Phys. Chem. 1982, 86, 463–467. [Google Scholar] [CrossRef]
- Quereda, J.; Ghiasi, T.S.; van Zwol, F.A.; van der Wal, C.H.; van Wees, B.J. Observation of bright and dark exciton transitions in monolayer MoSe2 by photocurrent spectroscopy. 2D Mater. 2018, 5, 015004. [Google Scholar] [CrossRef]
- Klots, A.R.; Newaz, A.K.M.; Wang, B.; Prasai, D.; Krzyzanowska, H.; Lin, J.; Caudel, D.; Ghimire, N.J.; Yan, J.; Ivanov, B.L.; et al. Probing excitonic states in suspended two-dimensional semiconductors by photocurrent spectroscopy. Sci. Rep. 2014, 4, 6608. [Google Scholar] [CrossRef] [PubMed]
- Vu, Q.A.; Fan, S.; Lee, S.H.; Joo, M.-K.; Yu, W.J.; Lee, Y.H. Near-zero hysteresis and near-ideal subthreshold swing in h-BN encapsulated single-layer MoS2 field-effect transistors. 2D Mater. 2018, 5, 031001. [Google Scholar] [CrossRef]
- Niu, Y.; Gonzalez-Abad, S.; Frisenda, R.; Marauhn, P.; Drüppel, M.; Gant, P.; Schmidt, R.; Taghavi, N.S.; Barcons, D.; Molina-Mendoza, A.J.; et al. Thickness-dependent differential reflectance spectra of monolayer and few-layer MoS2, MoSe2, WS2 and WSe2. Nanomaterials 2018, 8, 725. [Google Scholar] [CrossRef] [Green Version]
- Zomer, P.J.; Guimaraes, M.H.D.; Brant, J.C.; Tombros, N.; Van Wees, B.J. Fast pick up technique for high quality heterostructures of bilayer graphene and hexagonal boron nitride. Appl. Phys. Lett. 2014, 105, 013101. [Google Scholar] [CrossRef] [Green Version]
- Caridad, M.; Wang, L.; Hone, J.; Pizzocchero, F.; Gammelgaard, L.; Jessen, B.S.; Bøggild, P.; Booth, T.J.; Caridad, J.M.; Wang, L.; et al. The hot pick-up technique for batch assembly of van der Waals heterostructures. Nat. Commun. 2016, 7, 11894. [Google Scholar] [CrossRef] [Green Version]
- Cadiz, F.; Courtade, E.; Robert, C.; Wang, G.; Shen, Y.; Cai, H.; Taniguchi, T.; Watanabe, K.; Carrere, H.; Lagarde, D.; et al. Excitonic linewidth approaching the homogeneous limit in MoS2-based van der Waals heterostructures. Phys. Rev. X 2017, 7, 021026. [Google Scholar] [CrossRef] [Green Version]
- Goryca, M.; Li, J.; Stier, A.V.; Taniguchi, T.; Watanabe, K.; Courtade, E.; Shree, S.; Robert, C.; Urbaszek, B.; Marie, X.; et al. Revealing exciton masses and dielectric properties of monolayer semiconductors with high magnetic fields. Nat. Commun. 2019, 10, 4172. [Google Scholar] [CrossRef] [PubMed] [Green Version]
- Wang, G.; Palleau, E.; Amand, T.; Tongay, S.; Marie, X.; Urbaszek, B. Polarization and time-resolved photoluminescence spectroscopy of excitons in MoSe2 monolayers. Appl. Phys. Lett. 2015, 106, 112101. [Google Scholar] [CrossRef] [Green Version]
- Buscema, M.; Island, J.O.; Groenendijk, D.J.; Blanter, S.I.; Steele, G.A.; van der Zant, H.S.J.; Castellanos-Gomez, A. Photocurrent generation with two-dimensional van der Waals semiconductors. Chem. Soc. Rev. 2015, 44, 3691–3718. [Google Scholar] [CrossRef] [PubMed] [Green Version]
- Island, J.O.; Blanter, S.I.; Buscema, M.; Van Der Zant, H.S.J.J.; Castellanos-Gomez, A. Gate controlled photocurrent generation mechanisms in high-gain In2Se3 phototransistors. Nano Lett. 2015, 15, 7853–7858. [Google Scholar] [CrossRef] [PubMed] [Green Version]
- Vaquero, D.; Clericò, V.; Salvador-Sánchez, J.; Díaz, E.; Domínguez-Adame, F.; Chico, L.; Meziani, Y.M.; Diez, E.; Quereda, J. Fast response photogating in monolayer MoS2 phototransistors. Nanoscale 2021, 13, 16156–16163. [Google Scholar] [CrossRef]
- Nur, R.; Tsuchiya, T.; Toprasertpong, K.; Terabe, K.; Takagi, S.; Takenaka, M. High responsivity in MoS2 phototransistors based on charge trapping HfO2 dielectrics. Commun. Mater. 2020, 1, 103. [Google Scholar] [CrossRef]
- Furchi, M.M.; Polyushkin, D.K.; Pospischil, A.; Mueller, T. Mechanisms of photoconductivity in atomically thin MoS2. Nano Lett. 2014, 14, 6165–6170. [Google Scholar] [CrossRef] [Green Version]
- Lee, H.; Ahn, J.; Im, S.; Kim, J.; Choi, W. High-Responsivity Multilayer MoSe2 Phototransistors with Fast Response Time. Sci. Rep. 2018, 8, 11545. [Google Scholar] [CrossRef] [Green Version]
- Quereda, J.; Ghiasi, T.S.; Van Der Wal, C.H.; Van Wees, B.J. Semiconductor channel-mediated photodoping in h-BN encapsulated monolayer MoSe2 phototransistors. 2D Mater. 2019, 6, 025040. [Google Scholar] [CrossRef]
- Courtade, E.; Semina, M.; Manca, M.; Glazov, M.M.; Robert, C.; Cadiz, F.; Wang, G.; Taniguchi, T.; Watanabe, K.; Pierre, M.; et al. Charged excitons in monolayer WSe2: Experiment and theory. Phys. Rev. B 2017, 96, 085302. [Google Scholar] [CrossRef] [Green Version]
- Ross, J.S.; Wu, S.; Yu, H.; Ghimire, N.J.; Jones, A.M.; Aivazian, G.; Yan, J.; Mandrus, D.G.; Xiao, D.; Yao, W.; et al. Electrical control of neutral and charged excitons in a monolayer semiconductor. Nat. Commun. 2013, 4, 1474. [Google Scholar] [CrossRef] [PubMed] [Green Version]
- Shepard, G.D.; Ardelean, J.V.; Ajayi, O.A.; Rhodes, D.; Zhu, X.; Hone, J.C.; Strauf, S. Trion-Species-Resolved Quantum Beats in MoSe2. ACS Nano 2017, 11, 11550–11558. [Google Scholar] [CrossRef] [PubMed] [Green Version]
- Chernikov, A.; Van Der Zande, A.M.; Hill, H.M.; Rigosi, A.F.; Velauthapillai, A.; Hone, J.; Heinz, T.F. Electrical Tuning of Exciton Binding Energies in Monolayer WS2. Phys. Rev. Lett. 2015, 115, 126802. [Google Scholar] [CrossRef] [PubMed] [Green Version]
- Mak, K.F.; He, K.; Lee, C.; Lee, G.H.; Hone, J.; Heinz, T.F.; Shan, J. Tightly bound trions in monolayer MoS2. Nat. Mater. 2013, 12, 207–211. [Google Scholar] [CrossRef] [PubMed]
- Lundt, N.; Cherotchenko, E.; Iff, O.; Fan, X.; Shen, Y.; Bigenwald, P.; Kavokin, A.V.; Höfling, S.; Schneider, C. The interplay between excitons and trions in a monolayer of MoSe2. Appl. Phys. Lett. 2018, 112, 031107. [Google Scholar] [CrossRef] [Green Version]
- Mitioglu, A.A.; Plochocka, P.; Jadczak, J.N.; Escoffier, W.; Rikken, G.L.J.A.; Kulyuk, L.; Maude, D.K. Optical manipulation of the exciton charge state in single-layer tungsten disulfide. Phys. Rev. B—Condens. Matter Mater. Phys. 2013, 88, 245403. [Google Scholar] [CrossRef] [Green Version]
- Huard, V.; Cox, R.T.; Saminadayar, K.; Arnoult, A.; Tatarenko, S. Bound states in optical absorption of semiconductor quantum wells containing a two-dimensional electron gas. Phys. Rev. Lett. 2000, 84, 187–190. [Google Scholar] [CrossRef]
- Rana, F.; Koksal, O.; Manolatou, C. Many-body theory of the optical conductivity of excitons and trions in two-dimensional materials. Phys. Rev. B 2020, 102, 085304. [Google Scholar] [CrossRef]
- Larentis, S.; Movva, H.C.P.; Fallahazad, B.; Kim, K.; Behroozi, A.; Taniguchi, T.; Watanabe, K.; Banerjee, S.K.; Tutuc, E. Large effective mass and interaction-enhanced Zeeman splitting of K-valley electrons in MoSe2. Phys. Rev. B 2018, 97, 201407. [Google Scholar] [CrossRef] [Green Version]
- Hawrylak, P. Optical properties of a two-dimensional electron gas: Evolution of spectra from excitons to Fermi-edge singularities. Phys. Rev. B 1991, 44, 3821–3828. [Google Scholar] [CrossRef] [PubMed]
- Jones, A.M.; Yu, H.; Ghimire, N.J.; Wu, S.; Aivazian, G.; Ross, J.S.; Zhao, B.; Yan, J.; Mandrus, D.G.; Xiao, D.; et al. Optical generation of excitonic valley coherence in monolayer WSe2. Nat. Nanotechnol. 2013, 8, 634–638. [Google Scholar] [CrossRef] [PubMed]
- Goldstein, T.; Wu, Y.C.; Chen, S.Y.; Taniguchi, T.; Watanabe, K.; Varga, K.; Yan, J. Ground and excited state exciton polarons in monolayer MoSe2. J. Chem. Phys. 2020, 153, 071101. [Google Scholar] [CrossRef]
- Pisoni, R.; Kormányos, A.; Brooks, M.; Lei, Z.; Back, P.; Eich, M.; Overweg, H.; Lee, Y.; Rickhaus, P.; Watanabe, K.; et al. Interactions and Magnetotransport through Spin-Valley Coupled Landau Levels in Monolayer MoS2. Phys. Rev. Lett. 2018, 121, 247701. [Google Scholar] [CrossRef] [PubMed] [Green Version]
- Tempelaar, R.; Berkelbach, T.C. Many-body simulation of two-dimensional electronic spectroscopy of excitons and trions in monolayer transition metal dichalcogenides. Nat. Commun. 2019, 10, 3419. [Google Scholar] [CrossRef] [Green Version]
- Quereda, J.; Castellanos-Gomez, A.; Agraït, N.; Rubio-Bollinger, G. Single-layer MoS2 roughness and sliding friction quenching by interaction with atomically flat substrates. Appl. Phys. Lett. 2014, 105, 2–7. [Google Scholar] [CrossRef] [Green Version]
- Tonndorf, P.; Schmidt, R.; Böttger, P.; Zhang, X.; Börner, J.; Liebig, A.; Albrecht, M.; Kloc, C.; Gordan, O.; Zahn, D.R.T.; et al. Photoluminescence Emission and Raman Response of Monolayer MoS_2, MoSe_2, and WSe_2. Opt. Express 2013, 21, 4908. [Google Scholar] [CrossRef] [PubMed]
- Haug, H.; Koch, S.W. Quantum Theory of the Optical and Electronic Properties of Semiconductors; World Scientific Publishing Company: Singapore, 2009. [Google Scholar]





Publisher’s Note: MDPI stays neutral with regard to jurisdictional claims in published maps and institutional affiliations. |
© 2022 by the authors. Licensee MDPI, Basel, Switzerland. This article is an open access article distributed under the terms and conditions of the Creative Commons Attribution (CC BY) license (https://creativecommons.org/licenses/by/4.0/).
Share and Cite
Vaquero, D.; Salvador-Sánchez, J.; Clericò, V.; Diez, E.; Quereda, J. The Low-Temperature Photocurrent Spectrum of Monolayer MoSe2: Excitonic Features and Gate Voltage Dependence. Nanomaterials 2022, 12, 322. https://doi.org/10.3390/nano12030322
Vaquero D, Salvador-Sánchez J, Clericò V, Diez E, Quereda J. The Low-Temperature Photocurrent Spectrum of Monolayer MoSe2: Excitonic Features and Gate Voltage Dependence. Nanomaterials. 2022; 12(3):322. https://doi.org/10.3390/nano12030322
Chicago/Turabian StyleVaquero, Daniel, Juan Salvador-Sánchez, Vito Clericò, Enrique Diez, and Jorge Quereda. 2022. "The Low-Temperature Photocurrent Spectrum of Monolayer MoSe2: Excitonic Features and Gate Voltage Dependence" Nanomaterials 12, no. 3: 322. https://doi.org/10.3390/nano12030322
APA StyleVaquero, D., Salvador-Sánchez, J., Clericò, V., Diez, E., & Quereda, J. (2022). The Low-Temperature Photocurrent Spectrum of Monolayer MoSe2: Excitonic Features and Gate Voltage Dependence. Nanomaterials, 12(3), 322. https://doi.org/10.3390/nano12030322

