Study on Preparation of Chitosan/Polyvinyl Alcohol Aerogel with Graphene−Intercalated Attapulgite(GO−ATP@CS−PVA) and Adsorption Properties of Crystal Violet Dye
Abstract
:1. Introduction
2. Materials and Methods
2.1. Materials
2.2. Experimental Instruments
2.3. GO Intercalation Modified ATP
2.4. Preparation of GO−ATP@CS−PVA Composite Aerogel
2.5. Swelling Experiments
2.6. Adsorption Experiments
3. Results
3.1. Characterization Results and Analysis
3.2. Adsorption Performance
3.2.1. Effect of Initial pH on Adsorption
3.2.2. Effect of Material Dosing on Adsorption Experiments
3.2.3. Adsorption Kinetics Experiments
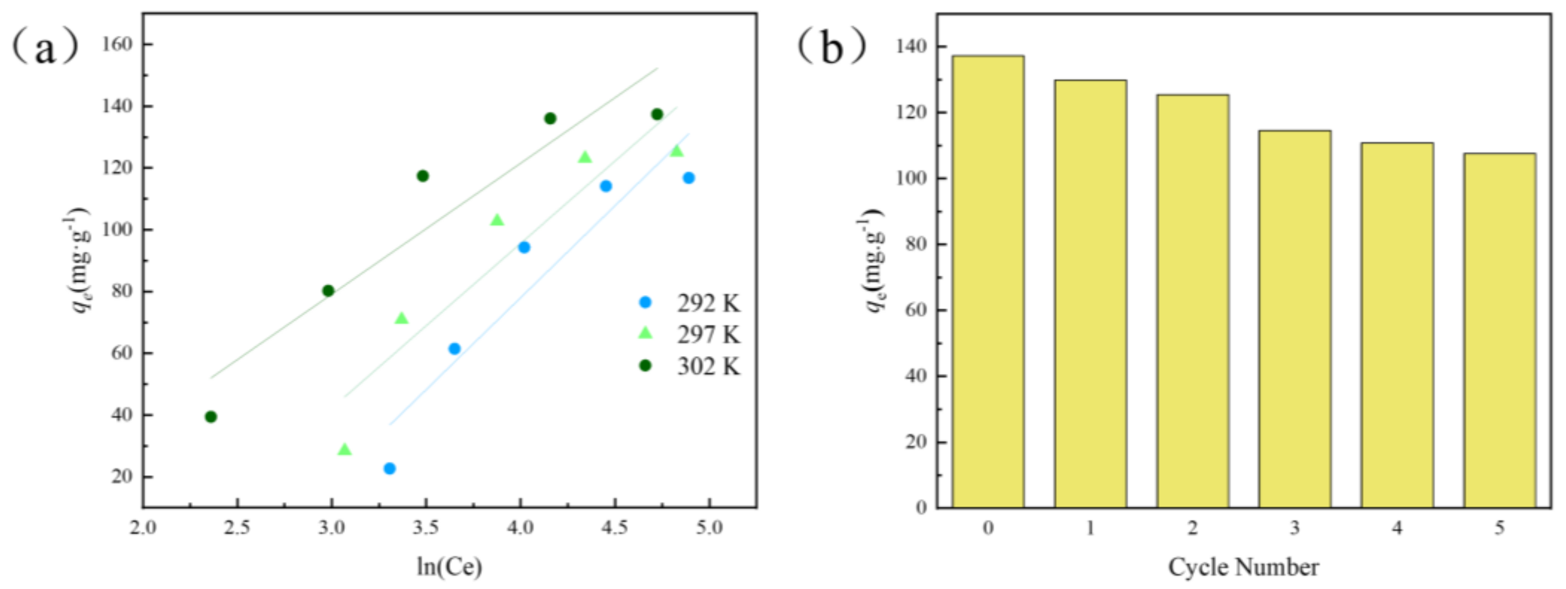
3.2.4. Adsorption Isotherm Experiment
3.2.5. Adsorption Regeneration Experiment
4. Discussion
5. Conclusions
Author Contributions
Funding
Data Availability Statement
Acknowledgments
Conflicts of Interest
References
- Zhang, G.; Lou, X.Y.; Li, M.H.; Yang, Y.W. A pillar[5]arene−based crosslinked polymer material for selective adsorption of organic dyes. Dyes Pigments 2022, 206, 110576. [Google Scholar] [CrossRef]
- Puri, C.; Sumana, G. Highly effective adsorption of crystal violet dye from contaminated water using graphene oxide intercalated montmorillonite nanocomposite. Appl. Clay Sci. 2018, 166, 102–112. [Google Scholar] [CrossRef]
- Kongseng, P.; Amornpitoksuk, P.; Chantarak, S. Development of multifunctional hydrogel composite based on poly(vinyl alcohol−g−acrylamide) for removal and photocatalytic degradation of organic dyes. React. Funct. Polym. 2022, 172, 105207. [Google Scholar] [CrossRef]
- Liu, G.; Wang, Y.; Sun, Y.; He, J. Synthesis of hollow structured Bi4O5Br2/Cu2O P–N heterojunctions with large surface area for enhanced photocatalytic performance towards the degradation of organic dyes. Ceram. Int. 2021, 47, 28650–28658. [Google Scholar] [CrossRef]
- Fang, S.Y.; Zhang, P.; Gong, J.L.; Tang, L.; Zeng, G.M.; Song, B.; Wei−Cheng, C.; Juan, L.; Jun, Y. Construction of highly water−stable metal−organic framework UiO−66 thin−film composite membrane for dyes and antibiotics separation. Chem. Eng. J. 2020, 385, 123400. [Google Scholar] [CrossRef]
- Shi, H.; Chen, X.; Liu, K.; Ding, X.; Liu, W.; Xu, M. Heterogeneous Fenton ferroferric oxide−reduced graphene oxide−based composite microjets for efficient organic dye degradation. J. Colloid. Interface Sci. 2020, 572, 39–47. [Google Scholar] [CrossRef]
- Chen, X.; Cui, J.; Xu, X.; Sun, B.; Zhang, L.; Dong, W.; Chen, C.; Sun, D. Bacterial cellulose/attapulgite magnetic composites as an efficient adsorbent for heavy metal ions and dye treatment. Carbohydr. Polym. 2020, 229, 115512. [Google Scholar] [CrossRef]
- Fu, M.; Li, X.; Jiang, R.; Zhang, Z. One−dimensional magnetic nanocomposites with attapulgites as templates: Growth, formation mechanism and magnetic alignment. Appl. Surf. Sci. 2018, 441, 239–250. [Google Scholar] [CrossRef]
- Liu, W.; Wang, D.; Soomro, R.A.; Fu, F.; Qiao, N.; Yu, Y.; Ran, W.; Xu, B. Ceramic supported attapulgite−graphene oxide composite membrane for efficient removal of heavy metal contamination. J. Membr. Sci. 2019, 591, 117323. [Google Scholar] [CrossRef]
- Yin, H.; Yan, X.; Gu, X. Evaluation of thermally−modified calcium−rich attapulgite as a low−cost substrate for rapid phosphorus removal in constructed wetlands. Water Res. 2017, 115, 329–338. [Google Scholar] [CrossRef]
- Liu, Z.Q.; Wei, X.Y.; Wu, H.H.; Li, W.T.; Zhang, Y.Y.; Zong, Z.M.; Feng−Yun, M.; Liu, J.M. Difunctional nickel/microfiber attapulgite modified with an acidic ionic liquid for catalytic hydroconversion of lignite−related model compounds. Fuel 2017, 204, 236–242. [Google Scholar] [CrossRef]
- Wang, J.; Zhang, D.; Liu, S.; Wang, C. Enhanced removal of chromium(III) for aqueous solution by EDTA modified attapulgite: Adsorption performance and mechanism. Sci. Total Environ. 2020, 720, 137391. [Google Scholar] [CrossRef] [PubMed]
- Xue, Z.; Dong, L.; Zhong, Z.; Lai, X.; Huang, Y. Capture effect of Pb, Zn, Cd and Cr by intercalation−exfoliation modified montmorillonite during coal combustion. Fuel 2021, 290, 119980. [Google Scholar] [CrossRef]
- Chen, Z.H.; Liu, Z.; Hu, J.Q.; Cai, Q.W.; Li, X.Y.; Wang, W.; Faraj, Y.; Ju, X.J.; Xie, R.; Chu, L.Y. β−Cyclodextrin−modified graphene oxide membranes with large adsorption capacity and high flux for efficient removal of bisphenol A from water. J. Membr. Sci. 2020, 595, 117510. [Google Scholar] [CrossRef]
- Lian, Q.; Islam, F.; Ahmad, Z.U.; Lei, X.; Depan, D.; Zappi, M.; Gang, D.D.; Holmes, W.; Yan, H. Enhanced adsorption of resorcinol onto phosphate functionalized graphene oxide synthesized via Arbuzov Reaction: A proposed mechanism of hydrogen bonding and π−π interactions. Chemosphere 2021, 280, 130730. [Google Scholar] [CrossRef]
- Zhu, Z.; Fan, W.; Liu, Z.; Dong, H.; Yan, Y.; Huo, P. Construction of an attapulgite intercalated mesoporous g−C3N4 with enhanced photocatalytic activity for antibiotic degradation. J. Photochem. Photobiol. A Chem. 2018, 359, 102–110. [Google Scholar] [CrossRef]
- Li, Y.; Shi, M.; Xia, M.; Wang, F. The enhanced adsorption of Ampicillin and Amoxicillin on modified montmorillonite with dodecyl dimethyl benzyl ammonium chloride: Experimental study and density functional theory calculation. Adv. Powder Technol. 2021, 32, 3465–3475. [Google Scholar] [CrossRef]
- Ghazy, O.A.; Khalil, S.A.; Senna, M.M. Synthesis of montmorillonite/chitosan/ammonium acrylate composite and its potential application in river water flocculation. Int. J. Biol. Macromol. 2020, 163, 1529–1537. [Google Scholar] [CrossRef]
- Li, Y.; Dong, X.; Zhao, L. Application of magnetic chitosan nanocomposites modified by graphene oxide and polyethyleneimine for removal of toxic heavy metals and dyes from water. Int. J. Biol. Macromol. 2021, 192, 118–125. [Google Scholar] [CrossRef]
- Sun, P.; Zhang, W.; Zou, B.; Zhou, L.; Ye, Z.; Zhao, Q. Preparation of EDTA−modified magnetic attapulgite chitosan gel bead adsorbent for the removal of Cu(II), Pb(II), and Ni(II). Int. J. Biol. Macromol. 2021, 182, 1138–1149. [Google Scholar] [CrossRef]
- Panpinit, S.; Pongsomboon, S.A.; Keawin, T.; Saengsuwan, S. Development of multicomponent interpenetrating polymer network (IPN) hydrogel films based on 2−hydroxyethyl methacrylate (HEMA), acrylamide (AM), polyvinyl alcohol (PVA) and chitosan (CS) with enhanced mechanical strengths, water swelling and antibacterial properties. React. Funct. Polym. 2020, 156, 104739. [Google Scholar]
- Zeng, W.J.; Li, C.; Feng, Y.; Zeng, S.H.; Fu, B.X.; Zhang, X.L. Carboxylated multi−walled carbon nanotubes (MWCNTs−COOH)−intercalated graphene oxide membranes for highly efficient treatment of organic wastewater. J. Water Process Eng. 2021, 40, 101901. [Google Scholar] [CrossRef]
- Wang, W.; Zhang, Z.; Zhao, X.; Ye, L. Polyoxymethylene/Reduced Graphene Oxide−g−Melamine Nano−composites With Low Formaldehyde Emission: Intercalation Structure and Synergistic Thermal Oxidative Stabilization Effect. Polym. Degrad. Stab. 2022, 198, 109876. [Google Scholar] [CrossRef]
- Wang, C.Y.; Zeng, W.J.; Jiang, T.T.; Chen, X.; Zhang, X.L. Incorporating attapulgite nanorods into graphene oxide nanofiltration membranes for efficient dyes wastewater treatment. Sep. Purif. Technol. 2019, 214, 21–30. [Google Scholar] [CrossRef]
- Barakan, S.; Aghazadeh, V. Synthesis and characterization of hierarchical porous clay heterostructure from Al, Fe −pillared nano−bentonite using microwave and ultrasonic techniques. Microporous Mesoporous Mater. 2019, 278, 138–148. [Google Scholar] [CrossRef]
- Du, G.; Xi, Y.; Tian, X.; Zhu, Y.; Zhou, Y.; Deng, C.; Hongxi, Z.; Natarajan, A. One−step hydrothermal synthesis of 3D porous microspherical LiFePO4/graphene aerogel composite for lithium−ion batteries. Ceram. Int. 2019, 45, 18247–18254. [Google Scholar] [CrossRef]
- Song, W.; Tong, T.; Xu, J.; Wu, N.; Ren, L.; Li, M.; Tong, J. Preparation and application of green chitosan/ploy (vinyl alcohol) porous microspheres for the removal of hexavalent chromium. Mater. Sci. Eng. B 2022, 284, 115922. [Google Scholar] [CrossRef]
- Xu, J.; Song, W.; Wu, N.; Tong, J.; Ren, L. Preparation and characterization of chitosan/polyvinyl porous alcohol aerogel microspheres with stable physicochemical properties. Int. J. Biol. Macromol. 2021, 187, 614–623. [Google Scholar] [CrossRef]
- Yang, Z.; Li, H.; Niu, G.; Wang, J.; Zhu, D. Poly(vinylalcohol)/chitosan−based high−strength, fire−retardant and smoke−suppressant composite aerogels incorporating aluminum species via freeze drying. Compos. Part B Eng. 2021, 219, 108919. [Google Scholar] [CrossRef]
- Mao, R.; Yao, W.; Qadir, A.; Chen, W.; Gao, W.; Xu, Y.; Hu, H. 3−D graphene aerogel sphere−based flexible sensors for healthcare applications. Sens. Actuators A Phys. 2020, 312, 112144. [Google Scholar] [CrossRef]
- Raju, L.; Stesho Crystalin Lazuli, A.R.; Prakash, N.U.; Rajkumar, E. Chitosan−terephthaldehyde hydrogels – Effect of concentration of cross−linker on structural, swelling, thermal and antimicrobial properties. Materialia 2021, 16, 101082. [Google Scholar] [CrossRef]
- Su, C.; Liu, J.; Yang, Z.; Jiang, L.; Liu, X.; Shao, W. UV−mediated synthesis of carboxymethyl cellulose/poly−N−isopropylacrylamide composite hydrogels with triple stimuli−responsive swelling performances. Int. J. Biol. Macromol. 2020, 161, 1140–1148. [Google Scholar] [CrossRef] [PubMed]
- Ko, E.; Kim, H. Preparation of chitosan aerogel crosslinked in chemical and ionical ways by non−acid condition for wound dressing. Int. J. Biol. Macromol. 2020, 164, 2177–2185. [Google Scholar] [CrossRef] [PubMed]
- Liu, X.; Zhou, Z.; Wang, L.; Wang, P.; Zhang, X.; Luo, K.; Li, J. A general and programmable preparation of α−MnO2/GO/CS aerogels used for efficient degradation of MB in wastewater. Sep. Purif. Technol. 2022, 301, 122034. [Google Scholar] [CrossRef]
- Gong, X.L.; Lu, H.Q.; Li, K.; Li, W. Effective adsorption of crystal violet dye on sugarcane bagasse−bentonite/sodium alginate composite aerogel: Characterisation, experiments, and advanced modelling. Sep. Purif. Technol. 2022, 286, 120478. [Google Scholar] [CrossRef]
- Sun, J.; Sun, G.; Zhao, X.; Liu, X.; Zhao, H.; Xu, C.; Yan, L.; Jiang, X.; Cui, Y. Ultrafast and efficient removal of Pb(II) from acidic aqueous solution using a novel polyvinyl alcohol superabsorbent. Chemosphere 2021, 282, 131032. [Google Scholar] [CrossRef] [PubMed]
- Najafi, H.; Asasian−Kolur, N.; Sharifian, S. Adsorption of chromium (VI) and crystal violet onto granular biopolymer−silica pillared clay composites from aqueous solutions. J. Mol. Liq. 2021, 344, 117822. [Google Scholar] [CrossRef]
- Liu, X.; Zhang, J.; Cheng, Y.; Zhao, X.; Dai, Z.; Liu, G. Efficient removal of crystal violet by polyacrylic acid functionalized ZIF−67 composite prepared by one−pot synthesis. Colloids Surf. A Physicochem. Eng. Asp. 2021, 631, 127655. [Google Scholar] [CrossRef]
- Chen, Y.; Nie, Z.; Gao, J.; Wang, J.; Cai, M. A novel adsorbent of bentonite modified chitosan−microcrystalline cellulose aerogel prepared by bidirectional regeneration strategy for Pb(II) removal. J. Environ. Chem. Eng. 2021, 9, 105775. [Google Scholar] [CrossRef]
- Lee, S.P.; Ali, G.A.; Algarni, H.; Chong, K.F. Flake size−dependent adsorption of graphene oxide aerogel. J. Mol. Liq. 2019, 277, 175–180. [Google Scholar] [CrossRef]
- Qisse, N.; Alouani, M.E.; Azzouzi, L.E.; Fadil, I.E.; Saufi, H.; Belghiti, M.A.E.; Zrineh, A.; Azzouzi, M.E. Adsorption of Imazalil herbicide onto Moroccan agricultural soils: Kinetic and isotherm adsorption studies. Groundw. Sustain. Dev. 2020, 11, 100468. [Google Scholar] [CrossRef]
- Gao, C.; Wang, X.L.; An, Q.D.; Xiao, Z.Y.; Zhai, S.R. Synergistic preparation of modified alginate aerogel with melamine/chitosan for efficiently selective adsorption of lead ions. Carbohydr. Polym. 2021, 256, 117564. [Google Scholar] [CrossRef] [PubMed]
- Mohammadabadi, S.I.; Javanbakht, V. Lignin extraction from barley straw using ultrasound−assisted treatment method for a lignin−based biocomposite preparation with remarkable adsorption capacity for heavy metal. Int. J. Biol. Macromol. 2020, 164, 1133–1148. [Google Scholar] [CrossRef] [PubMed]
- Ali, M.A.; Shaaban−Dessuuki, S.A.; El−Wassefy, N.A.; Mostafa, S.I.; Hussein, M.H. Adsorption of crude and waste diesel oil onto agar−carboxymethylcellulose−silver nanocomposite in aqueous media. Inorg. Chem. Commun. 2021, 133, 10891. [Google Scholar] [CrossRef]
- Tamer, Y.; Koşucu, A.; Berber, H. Graphene oxide incorporated chitosan/acrylamide/itaconic acid semi−interpenetrating network hydrogel bio−adsorbents for highly efficient and selective removal of cationic dyes. Int. J. Biol. Macromol. 2022, 219, 273–289. [Google Scholar] [CrossRef] [PubMed]
- Putri, K.N.A.; Keereerak, A.; Chinpa, W. Novel cellulose−based biosorbent from lemongrass leaf combined with cellulose acetate for adsorption of crystal violet. Int. J. Biol. Macromol. 2020, 156, 762–777. [Google Scholar] [CrossRef]
- AbdEl−Salam, A.H.; Ewais, H.A.; Basaleh, A.S. Silver nanoparticles immobilised on the activated carbon as efficient adsorbent for removal of crystal violet dye from aqueous solutions. A kinetic study. J. Mol. Liq. 2017, 248, 833–841. [Google Scholar] [CrossRef]








| T/K | qe/(mg·g−1) Expermental | Quasi−First Order Kinetic Equation | Quasi−Second Order Kinetic Equation | ||||
|---|---|---|---|---|---|---|---|
| qe/(mg·g−1) Theoretical | K1/min−1 | R2 | qe/(mg·g−1) Theoretical | K2/(g·mg−1·min−1) | R2 | ||
| 303 | 137.24 | 129.284 | 0.061 | 0.849 | 136.908 | 0.094 | 0.970 |
| T/K | Langmuir | Freundlich | |||||
|---|---|---|---|---|---|---|---|
| qm/(mg·g−1) | KL/(L·mg−1) | RL | R2 | KF/(L·mg−1) | 1/n | R2 | |
| 292 | 120.834 | 0.158 | 0.076 | 0.774 | 2.987 | 0.158 | 0.998 |
| 297 | 127.432 | 0.169 | 0.084 | 0.795 | 4.373 | 0.226 | 0.985 |
| 302 | 136.057 | 0.184 | 0.095 | 0.890 | 8.259 | 0.435 | 0.984 |
Publisher’s Note: MDPI stays neutral with regard to jurisdictional claims in published maps and institutional affiliations. |
© 2022 by the authors. Licensee MDPI, Basel, Switzerland. This article is an open access article distributed under the terms and conditions of the Creative Commons Attribution (CC BY) license (https://creativecommons.org/licenses/by/4.0/).
Share and Cite
Sun, W.; Ou, H.; Chen, Z. Study on Preparation of Chitosan/Polyvinyl Alcohol Aerogel with Graphene−Intercalated Attapulgite(GO−ATP@CS−PVA) and Adsorption Properties of Crystal Violet Dye. Nanomaterials 2022, 12, 3931. https://doi.org/10.3390/nano12223931
Sun W, Ou H, Chen Z. Study on Preparation of Chitosan/Polyvinyl Alcohol Aerogel with Graphene−Intercalated Attapulgite(GO−ATP@CS−PVA) and Adsorption Properties of Crystal Violet Dye. Nanomaterials. 2022; 12(22):3931. https://doi.org/10.3390/nano12223931
Chicago/Turabian StyleSun, Weikai, Hongxiang Ou, and Ziwei Chen. 2022. "Study on Preparation of Chitosan/Polyvinyl Alcohol Aerogel with Graphene−Intercalated Attapulgite(GO−ATP@CS−PVA) and Adsorption Properties of Crystal Violet Dye" Nanomaterials 12, no. 22: 3931. https://doi.org/10.3390/nano12223931
APA StyleSun, W., Ou, H., & Chen, Z. (2022). Study on Preparation of Chitosan/Polyvinyl Alcohol Aerogel with Graphene−Intercalated Attapulgite(GO−ATP@CS−PVA) and Adsorption Properties of Crystal Violet Dye. Nanomaterials, 12(22), 3931. https://doi.org/10.3390/nano12223931

