Sign in to use this feature.

Years

Between: -

Subjects

remove_circle_outline
remove_circle_outline
remove_circle_outline
remove_circle_outline
remove_circle_outline
remove_circle_outline
remove_circle_outline
remove_circle_outline
remove_circle_outline

Journals

Article Types

Countries / Regions

Search Results (151)

Search Parameters:
Keywords = attapulgite

Order results
Result details
Results per page
Select all
Export citation of selected articles as:
15 pages, 5781 KB  
Article
Facile Fabrication of Attapulgite-Modified Chitosan Composite Aerogels with Enhanced Mechanical Strength and Flame Retardancy for Thermal Insulation
by Siyuan Cheng, Yuwen Shao, Meisi Chen, Chenfei Wang, Xinbao Zhu, Xiongfei Zhang and Bo Fu
Polymers 2026, 18(1), 98; https://doi.org/10.3390/polym18010098 - 29 Dec 2025
Viewed by 247
Abstract
Aerogels are recognized as exceptional thermal insulation materials, but poor mechanical strength and flammability problems hinder their application in high-temperature environments. Thermal management materials that combine high mechanical strength with superior flame retardancy are, therefore, critically important for thermal insulation. Herein, ultra-lightweight aerogels [...] Read more.
Aerogels are recognized as exceptional thermal insulation materials, but poor mechanical strength and flammability problems hinder their application in high-temperature environments. Thermal management materials that combine high mechanical strength with superior flame retardancy are, therefore, critically important for thermal insulation. Herein, ultra-lightweight aerogels were facilely fabricated using chitosan (CS) and acidified attapulgite (SATP) as the primary components. The optimal composite, CS-SATP30%, exhibited a compressive strength of 633.15 kPa at 80% strain, demonstrating significant improvement in mechanical properties. Structural analysis revealed that the hydroxyl groups and amino groups of CS molecules formed hydrogen bonds with SATP, ensuring excellent interfacial affinity among the constituents. Compared to pure CS aerogel, the total heat release (THR) and peak heat release rate (PHRR) of CS-SATP30% were substantially reduced to 3.83 MJ/m2 and 37.00 kW/m2, respectively. Furthermore, the limiting oxygen index (LOI) of CS-SATP30% increased to 34% and passed the vertical burning test (UL-94). This study provides a feasible way to construct advanced chitosan-based thermal insulation aerogels. Full article
(This article belongs to the Section Biobased and Biodegradable Polymers)
Show Figures

Figure 1

18 pages, 3487 KB  
Article
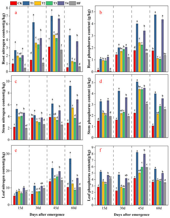
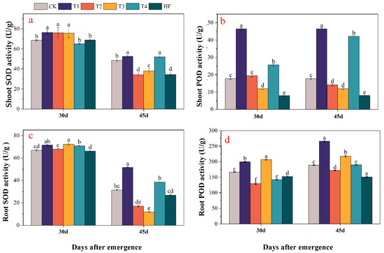
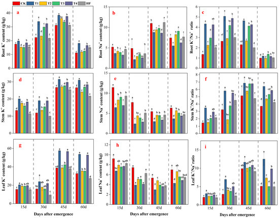
Multi-Stress Alleviation and Rapeseed Yield Enhancement by Combined Application of Organic–Inorganic Fertilizers with Super Absorbent Polymer in Arid Sandy Soils
by Hai Wang, Minchao Li, Hua Fan and Kaiyong Wang
Agronomy 2025, 15(12), 2872; https://doi.org/10.3390/agronomy15122872 - 14 Dec 2025
Viewed by 398
Abstract
To achieve sustainable agriculture development in arid regions, it is imperative to improve the soil quality of arid sandy soils. This study explored the effects of the combined application of organic–inorganic fertilizers with soil conditioners on the physiological characteristics, yield, and quality of [...] Read more.
To achieve sustainable agriculture development in arid regions, it is imperative to improve the soil quality of arid sandy soils. This study explored the effects of the combined application of organic–inorganic fertilizers with soil conditioners on the physiological characteristics, yield, and quality of rapeseed in arid sandy lands. The aim was to provide a technical reference for improving sandy soil and increasing rapeseed yield in arid regions. This field study designed six treatments (control group: organic fertilizer + chemical fertilizer (CK); T1: organic fertilizer + chemical fertilizer + super absorbent polymer (SAP); T2: organic fertilizer + chemical fertilizer + humic acid (PI); T3: organic fertilizer + chemical fertilizer + attapulgite (PII); T4: organic fertilizer + chemical fertilizer + PI + PII; HF: chemical fertilizer) to evaluate their effects on the nutrient absorption, physiological characteristics, yield, and quality of rapeseed. The results showed that the combination of organic–inorganic fertilizers with SAP, PI, PII, or PI + PII could significantly reduce the salinity of sandy soil while increasing the nutrient content in various parts of rapeseed. Among the combinations, the SAP treatment (T1) had the most significant effect, with the following specific impacts: (1) Alleviation of salt stress: The SAP treatment increased the root potassium ion content by 63.09% and reduced sodium ion content by 60.16% compared with CK, significantly increasing the potassium/sodium ratio. (2) Physiological improvement: The SAP treatment increased the total chlorophyll content (TCC), superoxide dismutase/catalase activity, and dry matter accumulation by 86.85%, 161.58%, and 376.8%, respectively, compared with CK. (3) Yield and quality enhancement: The SAP treatment increased rapeseed yield and the crude protein content in stems and leaves by 148.32% and 86.05%, respectively, but decreased crude fiber content by 43.59% compared with CK. (4) Economic benefits: The net revenue (NR) of the SAP treatment reached 197.62 USD per hectare, which was significantly higher than that of other treatments. A comprehensive evaluation showed that the combined application of organic–inorganic fertilizers with SAP enhanced plant antioxidant enzyme activity and photosynthetic efficiency, synergistically enhancing the yield and quality of rapeseed in sandy areas. This study provides an economically efficient solution for sustainable agricultural development in arid regions. Full article
Show Figures

Figure 1

21 pages, 8339 KB  
Article
Effects and Mechanisms of Attapulgite Clay-g-(AA-co-AAm) Hydrogel (ACH) in Alleviating Saline Stress in Spinach
by Yinhua Wang, Bingqin Teng, Haodong Zhang, Zhengqian Zhou, Yangbin Xin, Liqun Cai and Jun Wu
Plants 2025, 14(21), 3330; https://doi.org/10.3390/plants14213330 - 31 Oct 2025
Viewed by 438
Abstract
Soil salinization restricts the sustainable development of global agriculture, expanding at an annual rate of approximately 1 million hectares. In China, the total area of saline–alkali land reaches 170 million hectares, of which the arable land area exceeds 50 million hectares. The arid [...] Read more.
Soil salinization restricts the sustainable development of global agriculture, expanding at an annual rate of approximately 1 million hectares. In China, the total area of saline–alkali land reaches 170 million hectares, of which the arable land area exceeds 50 million hectares. The arid northwest region witnesses worsening soil salinization due to arid climate and improper irrigation practices, which seriously affects the yield of crops such as spinach (Spinacia oleracea L.). As a leafy vegetable with high nutritional value and economic significance, spinach exhibits growth inhibition, leaf yellowing, and disrupted physiological metabolism under saline–alkali stress. Therefore, this study investigates the alleviating effects and mechanisms of Attapulgite Clay-g-(AA-co-AAm) Hydrogel (ACH) on spinach under salt stress (NaCl) and alkaline stress (NaHCO3). The results show that ACH has a loose, porous structure. As the addition of Attapulgite Clay increases, the surface roughness and porosity improve while retaining organic functional groups (amide groups, carboxyl groups) and inorganic Si-O bonds, providing a structural foundation for stress mitigation. In terms of yield enhancement, ACH effectively alleviates salt–alkali stress: under severe salt stress (SS2), 0.2% ACH increased leaf area by 91% and leaf weight by 95.69%; under mild alkaline stress (AS1), 0.2% ACH increased leaf area by 46.3% and leaf weight by 46.21%; and under severe mixed salt–alkali stress (MS2), 0.4% ACH increased root weight by 49.83%. Physiologically, ACH reduced proline content (51.25% reduction under severe mixed stress) and malondialdehyde (MDA) content (68.98% reduction under severe alkaline stress) while increasing soluble sugar content (63.54% increase under mixed stress) and antioxidant enzyme activity (SOD, POD, CAT). In terms of ion regulation, ACH reduced Na+ accumulation in roots and leaves (61.12% reduction in roots and 36.4% reduction in leaves under severe salt stress) and maintained potassium–sodium balance. To conclude, ACH mitigates the adverse effects of salt–alkali stress by coordinately modulating spinach’s growth, physiological metabolic processes, and ion balance. This synergistic regulatory effect ultimately contributes to sustaining high yields of spinach. Full article
(This article belongs to the Section Plant Response to Abiotic Stress and Climate Change)
Show Figures

Figure 1

38 pages, 7365 KB  
Review
Advancing 3D Printable Concrete with Nanoclays: Rheological and Mechanical Insights for Construction Applications
by Wen Si, Liam Carr, Asad Zia, Mehran Khan and Ciaran McNally
J. Compos. Sci. 2025, 9(8), 449; https://doi.org/10.3390/jcs9080449 - 19 Aug 2025
Cited by 5 | Viewed by 2395
Abstract
Three-dimensional concrete printing (3DCP) is an emerging technology that improves design flexibility and material efficiency in construction. However, widespread adoption of 3DCP requires overcoming key material challenges. These include controlling rheology for pumpability and buildability and achieving sufficient mechanical strength. This paper provides [...] Read more.
Three-dimensional concrete printing (3DCP) is an emerging technology that improves design flexibility and material efficiency in construction. However, widespread adoption of 3DCP requires overcoming key material challenges. These include controlling rheology for pumpability and buildability and achieving sufficient mechanical strength. This paper provides a comprehensive review of the application of nanoclays (NCs) as a key admixture to address these challenges. The effects of three primary NCs (attapulgite (ATT), bentonite (BEN), and sepiolite (SEP)) on the fresh- and hardened-state properties of printable mortars are systematically analyzed. This review summarize findings on how NCs enhanced thixotropy, yield stress, and cohesion, which are critical for shape retention and the successful printing of multilayered structures. Quantitative analysis reveals that optimized dosages of NCs can increase compressive strength by up to 34% and flexural strength by up to 20%. For enhancing rheology and printability, a dosage of approximately 0.5% by binder weight is often suggested for ATT and SEP. In contrast, BEN can be used at higher replacement levels (up to 20%) to also function as a supplementary cementitious material (SCM), though this significantly impacts workability. This review consolidates the current knowledge to provide a clear framework for selecting appropriate NCs and dosages to develop high-performance, reliable, and sustainable materials for 3DCP applications. Full article
(This article belongs to the Special Issue Mechanical Properties of Composite Materials and Joints)
Show Figures

Figure 1

17 pages, 1909 KB  
Article
Pd/Attapulgite Core–Shell Structured Catalytic Combustion Gas Sensor for Highly Sensitive Real-Time Methane Detection
by Shuo Cao, Shuang Pang, Zishuai Zhang, Lulu Feng, Chong Zhang, Jiahao Lin, Zhiyu Liu, Yifei Sun, Shiyu Wang and Zhenning Lou
Sensors 2025, 25(16), 4950; https://doi.org/10.3390/s25164950 - 10 Aug 2025
Cited by 1 | Viewed by 3913
Abstract
Catalytic combustion gas sensors are critical for safety and environmental monitoring, yet face persistent challenges in sensitivity and detection limits amid expanding market demands. This study innovatively employs attapulgite as a support material functionalized with noble metal catalyst Pd to fabricate a low-cost, [...] Read more.
Catalytic combustion gas sensors are critical for safety and environmental monitoring, yet face persistent challenges in sensitivity and detection limits amid expanding market demands. This study innovatively employs attapulgite as a support material functionalized with noble metal catalyst Pd to fabricate a low-cost, high-sensitivity sensor. Characterization (SEM/EDS) confirms a unique Pd/attapulgite core–shell structure with engineered Pd gradient distribution (7.5–75.8 wt% from core to surface). The sensor achieves methane catalytic combustion below 300 °C, delivering 0.7 µV/ppm sensitivity and ~36 ppm detection limit. Reaction kinetics follow the Eley–Rideal mechanism, with voltage difference (ΔU) versus methane concentration (C) conforming to the Langmuir equation (ΔU=UmaxKC1+KC, R2 > 0.99, Umax = 41.80 mV). Cost-effective fabrication and exceptional performance underscore its potential for practical deployment in industrial, residential, and environmental safety monitoring. Full article
Show Figures

Figure 1

14 pages, 4979 KB  
Article
Oxygen Vacancy-Engineered Ni:Co3O4/Attapulgite Photothermal Catalyst from Recycled Spent Lithium-Ion Batteries for Efficient CO2 Reduction
by Jian Shi, Yao Xiao, Menghan Yu and Xiazhang Li
Catalysts 2025, 15(8), 732; https://doi.org/10.3390/catal15080732 - 1 Aug 2025
Cited by 1 | Viewed by 835
Abstract
Accelerated industrialization and surging energy demands have led to continuously rising atmospheric CO2 concentrations. Developing sustainable methods to reduce atmospheric CO2 levels is crucial for achieving carbon neutrality. Concurrently, the rapid development of new energy vehicles has driven a significant increase [...] Read more.
Accelerated industrialization and surging energy demands have led to continuously rising atmospheric CO2 concentrations. Developing sustainable methods to reduce atmospheric CO2 levels is crucial for achieving carbon neutrality. Concurrently, the rapid development of new energy vehicles has driven a significant increase in demand for lithium-ion batteries (LIBs), which are now approaching an end-of-life peak. Efficient recycling of valuable metals from spent LIBs represents a critical challenge. This study employs conventional hydrometallurgical processing to recover valuable metals from spent LIBs. Subsequently, Ni-doped Co3O4 (Ni:Co3O4) supported on the natural mineral attapulgite (ATP) was synthesized via a sol–gel method. The incorporation of a small amount of Ni into the Co3O4 lattice generates oxygen vacancies, inducing a localized surface plasmon resonance (LSPR) effect, which significantly enhances charge carrier transport and separation efficiency. During the photocatalytic reduction of CO2, the primary product CO generated by the Ni:Co3O4/ATP composite achieved a high production rate of 30.1 μmol·g−1·h−1. Furthermore, the composite maintains robust catalytic activity even after five consecutive reaction cycles. Full article
(This article belongs to the Special Issue Heterogeneous Catalysis in Air Pollution Control)
Show Figures

Figure 1

16 pages, 3327 KB  
Article
Development and Evaluation of Selenium-Enriched Compound Fertilizers for Remediation of Mercury-Contaminated Agricultural Soil
by Yuxin Li, Guangpeng Pei, Yanda Zhang, Shuyun Guan, Yingzhong Lv, Zhuo Li and Hua Li
Agronomy 2025, 15(8), 1842; https://doi.org/10.3390/agronomy15081842 - 30 Jul 2025
Viewed by 1303
Abstract
Agricultural soil contaminated with mercury (Hg) poses a serious threat to ecosystems and human health. Although adding an appropriate amount of selenium (Se) can reduce the toxicity and mobility of Hg in soil, Se alone is prone to leaching into groundwater through soil [...] Read more.
Agricultural soil contaminated with mercury (Hg) poses a serious threat to ecosystems and human health. Although adding an appropriate amount of selenium (Se) can reduce the toxicity and mobility of Hg in soil, Se alone is prone to leaching into groundwater through soil runoff. Therefore, Se-enriched compound fertilizers were developed, and their remediation effect on Hg-contaminated agricultural soil was determined. The Se-enriched compound fertilizers were prepared by combining an organic fertilizer (vinegar residue, biochar, and potassium humate), inorganic fertilizer (urea, KH2PO4, ZnSO4, and Na2SeO3), and a binder (attapulgite and bentonite). A material proportioning experiment showed that the optimal granulation rate, organic matter content, and compressive strength were achieved when using 15% attapulgite (Formulation 1) and 10% bentonite (Formulation 2). An analysis of Se-enriched compound fertilizer particles showed that the two Se-enriched compound fertilizers complied with the standard for organic–inorganic compound fertilizers (China GB 18877-2002). Compared with the control, Formulation 1 and Formulation 2 significantly reduced the Hg content in bulk and rhizosphere soil following diethylenetriaminepentaacetic acid (DTPA) extraction by 40.1–47.3% and 53.8–56.0%, respectively. They also significantly reduced the Hg content in maize seedling roots and shoots by 26.4–29.0% and 57.3–58.7%, respectively, effectively limiting Hg uptake, transport, and enrichment. Under the Formulation 1 and Formulation 2 treatments, the total and DTPA-extractable Se contents in soil and maize seedlings were significantly increased. This study demonstrated that Se-enriched compound fertilizer effectively remediates Hg-contaminated agricultural soil and can promote the uptake of Se by maize. The results of this study are expected to positively contribute to the sustainable development of the agro-ecological environment. Full article
(This article belongs to the Section Innovative Cropping Systems)
Show Figures

Figure 1

20 pages, 14936 KB  
Article
Viscosity, Morphology, and Thermomechanical Performance of Attapulgite-Reinforced Bio-Based Polyurethane Asphalt Composites
by Haocheng Yang, Suzhou Cao, Xinpeng Cui, Zhonghua Xi, Jun Cai, Zuanru Yuan, Junsheng Zhang and Hongfeng Xie
Polymers 2025, 17(15), 2045; https://doi.org/10.3390/polym17152045 - 26 Jul 2025
Cited by 2 | Viewed by 995
Abstract
Bio-based polyurethane asphalt binder (PUAB) derived from castor oil (CO) is environmentally friendly and exhibits extended allowable construction time. However, CO imparts inherently poor mechanical performance to bio-based PUAB. To address this limitation, attapulgite (ATT) with fibrous nanostructures was incorporated. The effects of [...] Read more.
Bio-based polyurethane asphalt binder (PUAB) derived from castor oil (CO) is environmentally friendly and exhibits extended allowable construction time. However, CO imparts inherently poor mechanical performance to bio-based PUAB. To address this limitation, attapulgite (ATT) with fibrous nanostructures was incorporated. The effects of ATT on bio-based PUAB were systematically investigated, including cure kinetics, rotational viscosity (RV) evolution, phase-separation microstructures, dynamic mechanical properties, thermal stability, and mechanical performance. Experimental characterization employed Fourier transform infrared spectroscopy, Brookfield viscometry, laser scanning confocal microscopy, dynamic mechanical analysis, thermogravimetry, and tensile testing. ATT incorporation accelerated the polyaddition reaction conversion between isocyanate groups in polyurethane (PU) and hydroxyl groups in ATT. Paradoxically, it reduced RV during curing, prolonging allowable construction time proportionally with clay content. Additionally, ATT’s compatibilizing effect decreased bitumen particle size in PUAB, with scaling proportionally with clay loading. While enhancing thermal stability, ATT lowered the glass transition temperature and damping properties. Crucially, 1 wt% ATT increased tensile strength by 71% and toughness by 62%, while maintaining high elongation at break (>400%). The cost-effectiveness and significant reinforcement capability of ATT make it a promising candidate for producing high-performance bio-based PUAB composites. Full article
Show Figures

Figure 1

16 pages, 1501 KB  
Article
Effects of Modified Attapulgite on Daily Weight Gain, Serum Indexes and Serum Metabolites in Fattening Beef Cattle
by Jiajie Wang, Hanfang Zeng, Hantong Weng, Haomiao Chang, Yunfei Zhai, Zhihui Huang, Chenchen Chu, Haihui Wang and Zhaoyu Han
Animals 2025, 15(15), 2167; https://doi.org/10.3390/ani15152167 - 23 Jul 2025
Viewed by 930
Abstract
In this study, we investigated the effects of dietary supplementation with thermally modified attapulgite on the daily weight gain, serum biochemical indices, and serum metabolites of Simmental fattening cattle. A total of 30 healthy Simmental fattening beef calves of similar age (8 to [...] Read more.
In this study, we investigated the effects of dietary supplementation with thermally modified attapulgite on the daily weight gain, serum biochemical indices, and serum metabolites of Simmental fattening cattle. A total of 30 healthy Simmental fattening beef calves of similar age (8 to 9 months old) and body weight (370 ± 10 kg) were randomly divided into two groups, each containing 15 animals. A control group was fed the basal diet, and a treatment group was fed the same basal diet with the addition of 4 g/kg of thermally modified attapulgite. After 75 days of formal experiment, the calves in the two groups were weighed, and blood samples were collected by tail vein blood sampling for determinations of the serum biochemical indices and serum metabolites using liquid chromatography–mass spectrometry (LC-MS) analysis. The results indicated that the addition of thermally modified attapulgite to the diet had no significant effects on the daily weight gain of fattening beef cattle. After feeding with modified attapulgite, the glutathione peroxidase and superoxide dismutase activities in the serum of the experimental group were 55.02% (257.26 U·mL−1 to 165.95 U·mL−1, p < 0.05) and 13.11% (18.98 U·mL−1 to 16.78 U·mL−1, p < 0.05) higher than that in the control group. Compared with the control group, the tumor necrosis factor-alpha content was reduced by 14.50% (31.27 pg·mL−1 to 36.57 pg·mL−1, p < 0.01), and the concentration of interleukin-6 and lipopolysaccharide decreased by 17.00% (34.33 pg·mL−1 to 41.36 pg·mL−1, p < 0.001) and 23.05% (51.34 EU·L−1 to 66.72 EU·L−1, p < 0.001) in the serum of the experimental group. Contrastingly, the thermally modified attapulgite had no significant effects on the levels of serum total protein, albumin, or globulin in Simmental fattening cattle (p > 0.05). Furthermore, the results of serum metabolomic analyses revealed that there were a total of 98 differential metabolites, which were mainly enriched with respect to glycerophospholipid metabolism, Th1 and Th2 cell differentiation, autophagy-other, retrograde endogenous cannabinoid signaling, and the NF-κB signaling pathway. Overall, thermally modified attapulgite was found to effectively increase the activity of antioxidant enzymes, reduce serum inflammatory mediators, may suppress oxidative damage, enhance immunity, and have a positive influence on the health of Simmental fattening beef calves. Full article
(This article belongs to the Section Cattle)
Show Figures

Figure 1

23 pages, 2648 KB  
Article
Efficacy Evaluation of Different Mineral Clay Particles on Olive Production Traits and Olive Oil Quality of ‘Koroneiki’ Olive Cultivar Under Rainfed and Irrigated Conditions in Southern Greece
by Petros Anargyrou Roussos, Asimina-Georgia Karyda, Panagiotis Kapasouris, Panagiota G. Kosmadaki, Chrysa Kotsi and Maria Zoti
Horticulturae 2025, 11(6), 579; https://doi.org/10.3390/horticulturae11060579 - 24 May 2025
Cited by 2 | Viewed by 1605
Abstract
Climate crisis in the Mediterranean region has severely affected olive tree cultivation, especially due to the long, dry summers, when temperature often rises above 40 °C. In order to overcome such climate challenges in the olive sector, the particle film technology (PFT) was [...] Read more.
Climate crisis in the Mediterranean region has severely affected olive tree cultivation, especially due to the long, dry summers, when temperature often rises above 40 °C. In order to overcome such climate challenges in the olive sector, the particle film technology (PFT) was used, as an environmentally friendly alleviation technique, due mainly to the reflecting properties of clay materials. Three clay materials—attapulgite, talc, and kaolin—were applied foliarly to olive trees (both rainfed and irrigated) in July and August. At harvest, yield and oil production per tree were assessed, alongside olive oil quality and functional properties. Under irrigated conditions, trees treated with kaolin or talc in July exhibited the highest yields, whereas under rainfed conditions, trees treated with attapulgite in August, followed by those treated with talc in August, showed the greatest yields. Oil production exceeded that of controls in rainfed trees across nearly all clay treatments. Oils from irrigated trees treated with talc in August and rainfed trees treated with talc in July exhibited high phenolic content, though antioxidant capacity peaked in oils from trees treated with talc in August. These oils, along with those from trees treated with attapulgite in August, contained the highest concentrations of hydroxytyrosol and oleacein. In rainfed trees, most clay treatments resulted in oils with elevated oleic acid (C18:1) and reduced linoleic acid levels, yielding a high monounsaturated-to-polyunsaturated fatty acid ratio. In irrigated groves, August applications produced oils with distinct differences from controls, whereas in rainfed conditions, these differences were evident regardless of application timing. Clay materials offer a promising approach for mitigating abiotic stress under Mediterranean summer conditions; however, further research is needed to elucidate their mechanisms of action. This study represents the first report of foliar attapulgite application in plants and talc application in olive trees. Full article
(This article belongs to the Section Fruit Production Systems)
Show Figures

Figure 1

22 pages, 5584 KB  
Article
Recovery of Lysosomal Acidification and Autophagy Flux by Attapulgite Nanorods: Therapeutic Potential for Lysosomal Disorders
by Yuanjing Hao, Xinru Fan, Xiaodan Huang, Zhaoying Li, Zhiyuan Jing, Guilong Zhang, Yuxue Xu, Na Zhang and Pengfei Wei
Biomolecules 2025, 15(5), 728; https://doi.org/10.3390/biom15050728 - 16 May 2025
Cited by 3 | Viewed by 2056
Abstract
Dysfunction of the lysosome and autophagy–lysosome pathway is closely associated with various diseases, such as neurodegenerative diseases, non-alcoholic fatty liver disease (NAFLD), etc. Additionally, chloroquine is a clinically widely used drug for treating malaria and autoimmune diseases, but long-term or high-dose administration may [...] Read more.
Dysfunction of the lysosome and autophagy–lysosome pathway is closely associated with various diseases, such as neurodegenerative diseases, non-alcoholic fatty liver disease (NAFLD), etc. Additionally, chloroquine is a clinically widely used drug for treating malaria and autoimmune diseases, but long-term or high-dose administration may lead to significant toxic side effects. Attapulgite (ATT), a natural nanomaterial with excellent adsorption capacity and biocompatibility, herein demonstrated a novel biological function in regulating the lysosomal and autophagy–lysosome pathway. ATT could be effectively internalized into lysosome-related acidic compartments. Further study revealed that ATT could restore lysosomal pH, activate cathepsin D, alleviate autophagy blockage in chloroquine-treated cells, and reduce chloroquine-elicited cell death. In a cell model related to Huntington’s disease, treatment with ATT reinforced the degradation of the mutant huntingtin proteins by increasing cathepsin D maturation and autophagy flux. ATT could also promote lipid droplet clearance in hepatocytes with palmitic acid-induced steatosis, reduce hepatic lipid accumulation, and improve fasting blood glucose in high-fat-diet-induced NAFLD mice. These findings establish ATT as a lysosomal modulator, providing a foundation for its therapeutic potential in mitigating the adverse effects associated with long-term chloroquine use, especially improving neurodegenerative and metabolic disorders. Full article
(This article belongs to the Special Issue Nanomaterials and Their Applications in Biomedicine)
Show Figures

Figure 1

16 pages, 6203 KB  
Article
Application of Clay-Based Catalysts in Co-Conversion and Co-Pyrolysis of Chlorella and Oil Shale
by Xianglong Meng, Ranran Song and Junjie Bian
Catalysts 2025, 15(4), 322; https://doi.org/10.3390/catal15040322 - 27 Mar 2025
Cited by 2 | Viewed by 904
Abstract
In this study, natural clay-like silicate minerals were used as precursors to prepare highly acid-catalytic hydrophobic catalysts. A series of sulfonic acid-functionalized attapulgite catalysts, SO3H-APG, were fabricated by the ball-milling–oxidation method. The catalytic performance in the co-liquefaction and co-pyrolysis of Chlorella [...] Read more.
In this study, natural clay-like silicate minerals were used as precursors to prepare highly acid-catalytic hydrophobic catalysts. A series of sulfonic acid-functionalized attapulgite catalysts, SO3H-APG, were fabricated by the ball-milling–oxidation method. The catalytic performance in the co-liquefaction and co-pyrolysis of Chlorella and oil shale was investigated. The catalysts were analyzed using hydrophobicity evaluation, TEM, BET, FTIR, and other characterization methods. The SO3H-APG catalysts exhibited good hydrophobicity and dispensability. Sulfonation grafting improved their excellent hydrocarbon conversion activity. According to the GC–MS results, the addition of the SO3H-APG catalysts shifted the co-liquefaction products of microalgae and oil shale towards lower carbon numbers, with the majority of the products concentrated between C5 and C12, and a content of 84.9% in the range of C5–C11, while the content of products in the range of C12–C20 was only 15.1%. In the co-pyrolysis experiments, the addition of the catalysts promoted the thermal decomposition reaction. The synergistic effect between oil shale and microalgae facilitated the production of more hydrocarbon compounds with a higher H/C atomic ratio. The development of this type of catalyst provides an economically favorable approach for the co-conversion of algae and oil shale. The oil shale pyrolysis kinetic diagram shows that adding the APG clay-based catalyst significantly reduces the time for achieving the same conversion rate, especially below 300 °C, where the in situ catalytic effect is most pronounced. Full article
(This article belongs to the Special Issue Biomass Catalytic Conversion to Value-Added Chemicals)
Show Figures

Graphical abstract

21 pages, 4386 KB  
Article
The Effects of Different Mineral Clay Particles on Olive Yield and Olive Oil Quality of Two Cultivars Under Rainfed or Irrigated Conditions
by Petros Anargyrou Roussos, Asimina-Georgia Karyda, Georgios-Ioannis Mavromanolakis, Dimitrios Gkliatis and Maria Zoti
Horticulturae 2025, 11(4), 341; https://doi.org/10.3390/horticulturae11040341 - 21 Mar 2025
Cited by 1 | Viewed by 1653
Abstract
The olive tree is the emblematic tree of the Mediterranean basin, enduring intense irradiance and heat stress during prolonged dry summers. Particle film technology is a relatively new tool for mitigating both biotic and abiotic stress factors. In the present trial, two Greek [...] Read more.
The olive tree is the emblematic tree of the Mediterranean basin, enduring intense irradiance and heat stress during prolonged dry summers. Particle film technology is a relatively new tool for mitigating both biotic and abiotic stress factors. In the present trial, two Greek olive cultivars, i.e., rainfed ‘Megaron’ and irrigated ‘Koroneiki’, were used to test the efficacy of kaolin, talc, and, for the first time, attapulgite clay particles as single and double foliar applications on the quantitative and qualitative traits of production. Clay particle treatments generally increased yield, resulting in higher olive oil production per tree. Oil quality parameters remained within the standards for extra virgin olive oil across all treatments. Talc differed from the other clay minerals, particularly in its effect on the free acid composition of the oil. Attapulgite application enhanced yield and oil production in ‘Koroneiki’, especially when compared to double kaolin application. Conversely, kaolin double application resulted in the highest yield and oil production in the ‘Megaron’ cultivar. These findings indicate that the efficacy of particle film treatments varies depending on multiple factors, yet they remain a valuable tool for mitigating the adverse effects of climate change on olive production. As this is the first study to test talc and attapulgite on olive trees, further research is required to fully elucidate the potential of particle film technology. Full article
(This article belongs to the Special Issue Orchard Management Under Climate Change: 2nd Edition)
Show Figures

Figure 1

30 pages, 5838 KB  
Review
Natural Mineral Materials for Enhanced Performance in Aqueous Zinc-Ion Batteries
by Peilin Chen, Qinwen Zheng, Ke Wang and Yingmo Hu
Minerals 2025, 15(4), 328; https://doi.org/10.3390/min15040328 - 21 Mar 2025
Cited by 1 | Viewed by 1827
Abstract
Aqueous zinc-ion batteries (AZIBs) have emerged as promising candidates for large-scale energy storage due to their inherent safety, cost-effectiveness, and environmental compatibility. However, challenges such as zinc -dendrite growth, hydrogen evolution reactions, and cathode dissolution hinder their practical application. To tackle these issues, [...] Read more.
Aqueous zinc-ion batteries (AZIBs) have emerged as promising candidates for large-scale energy storage due to their inherent safety, cost-effectiveness, and environmental compatibility. However, challenges such as zinc -dendrite growth, hydrogen evolution reactions, and cathode dissolution hinder their practical application. To tackle these issues, a wide range of investigative approaches have been conducted to improve the performance of AZIBs. Recently, much attention has been paid to the application of natural mineral materials in AZIBs, since these low-cost minerals align well with the high sensitivity of battery costs in large-scale energy storage. This review systematically explores the application of natural mineral materials to address these issues across battery components, including protective layers on anodes and cathodes, functional films of separators, additives in electrolytes, etc. A multitude of minerals, such as halloysite, montmorillonite, attapulgite, diatomite, and dickite, are highlighted for their unique structural and physicochemical properties, including hierarchical porosity, ion-selective channels, and surface charge regulation. Finally, prospects for future research are discussed to construct AZIBs with a combination of excellent performance and cost efficiency and to bridge laboratory innovations with commercial viability. Full article
(This article belongs to the Section Clays and Engineered Mineral Materials)
Show Figures

Figure 1

12 pages, 2909 KB  
Article
Ultrasound-Induced Construction of CuxCo3−xO4/Attapulgite for Catalytic Degradation of Toluene
by Haitao Zhang, Jian Shi, Chaoya Han, Zhizhao Song, Yao Xiao and Xiazhang Li
Catalysts 2025, 15(3), 252; https://doi.org/10.3390/catal15030252 - 6 Mar 2025
Cited by 1 | Viewed by 1105
Abstract
With the increasing demand for air pollution control, the development of efficient and stable catalysts to degrade hazardous VOCs such as toluene has become particularly important. Herein, various copper-doped attapulgite-supported cobalt oxide spinel composites (CuxCo3−xO4/ATP) were synthesized [...] Read more.
With the increasing demand for air pollution control, the development of efficient and stable catalysts to degrade hazardous VOCs such as toluene has become particularly important. Herein, various copper-doped attapulgite-supported cobalt oxide spinel composites (CuxCo3−xO4/ATP) were synthesized using an ultrasonic-assisted precipitation method. The results showed that the abundant Si-OH groups on the surface of ATP played a crucial role in anchoring Co, and the instantaneous high-energy input of ultrasonication facilitated the formation of Si-O-Co bonds in Co3O4/ATP. The doping of Cu ions induced the expansion of the Co3O4 lattice, resulting in a significant number of oxygen vacancies. The ultrasound-induced synthesized Cu0.1Co2.9O4/ATP catalyst exhibited the best catalytic oxidation performance, achieving a 99% toluene degradation rate at 300 °C under a weight hourly space velocity (WHSV) of 10,000 mL·g−1 h−1 and initial toluene concentration of 1000 ppm, along with high stability during 12 h of continuous running. This work presents a new strategy for the cost-effective catalytic elimination of VOCs. Full article
Show Figures

Figure 1

Back to TopTop