Enhanced Thermoelectric Performances of CNTs-Reinforced Cement Composites with Bi0.5Sb1.5Te3 for Pavement Energy Harvesting
Abstract
1. Introduction
2. Materials and Methods
2.1. Raw Materials
2.2. Preparation of Bi0.5Sb1.5Te3/CNTs Cement Composites
2.3. Characterization and Measurement
3. Results
3.1. Composition and Structure Characterization
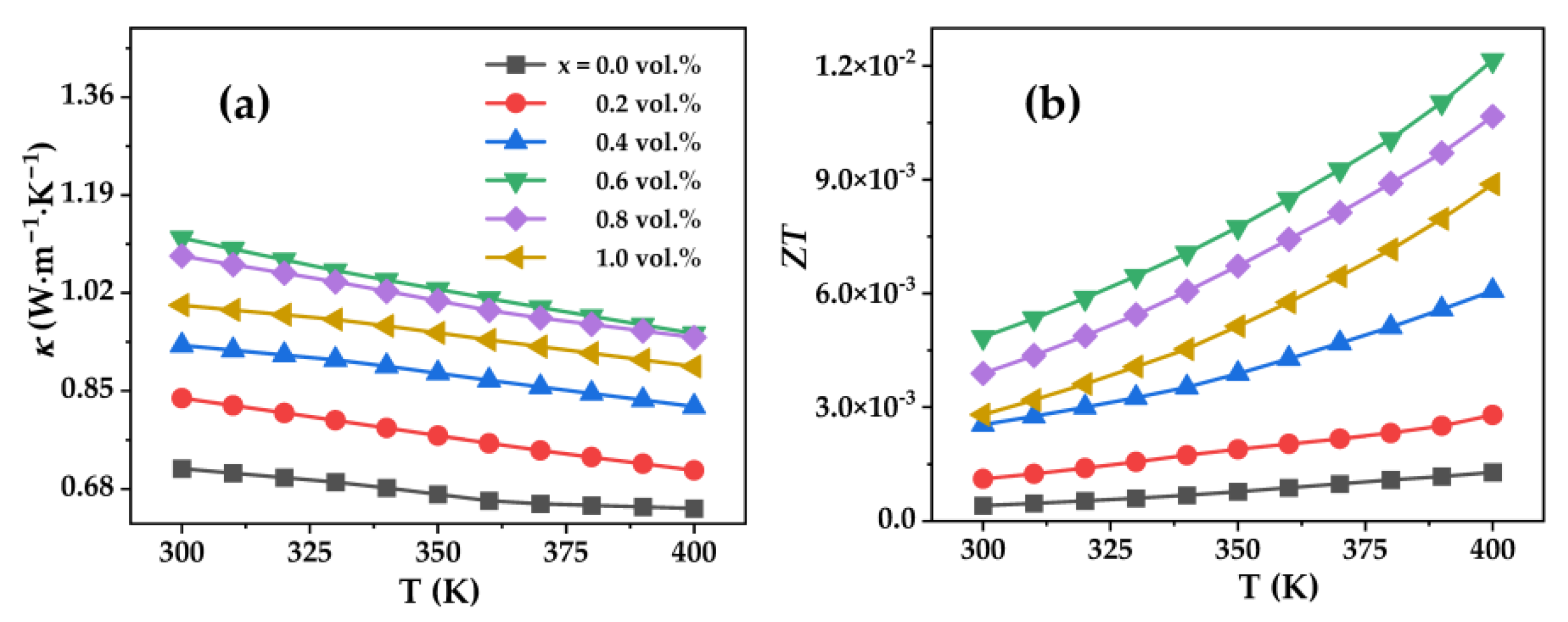
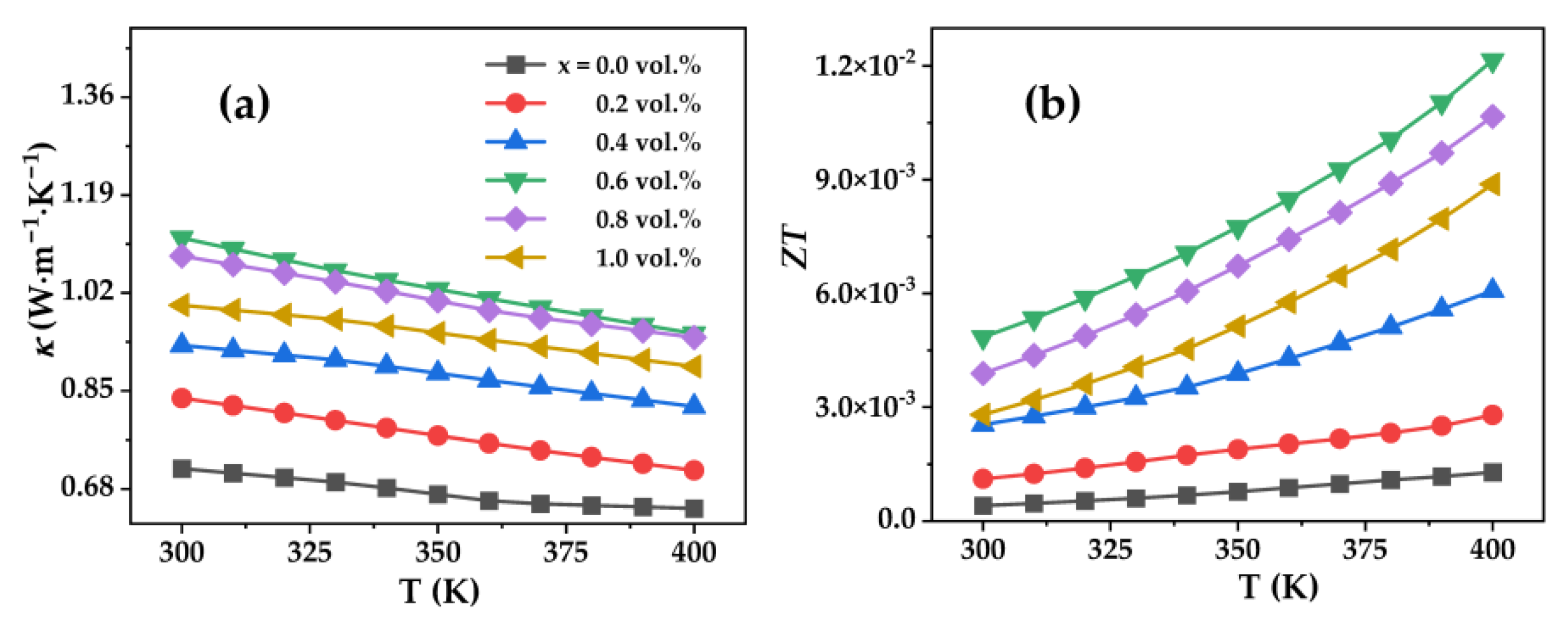
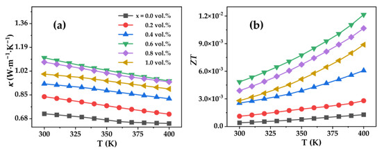
3.2. TE Properties of Bi0.5Sb1.5Te3/CNTs Cement Composites
3.3. Evaluation of Bi0.5Sb1.5Te3/CNTs Cement Composites in Energy Harvesting from the Pavement
4. Discussions
4.1. Conducting Behavior of Bi0.5Sb1.5Te3/CNTs Co-Reinforced Cement Composites
4.2. Multi-Scale Bi0.5Sb1.5Te3 Particles and Its Effects
4.3. Mechanism of the Enhancement in TE Performance of Bi0.5Sb1.5Te3/CNTs Co-Reinforced Cement Composites
5. Conclusions
Author Contributions
Funding
Institutional Review Board Statement
Informed Consent Statement
Data Availability Statement
Acknowledgments
Conflicts of Interest
References
- Brito, J.D.; Kurda, R. The past and future of sustainable concrete: A critical review and new strategies on cement-based materials. J. Clean. Prod. 2021, 281, 123558. [Google Scholar] [CrossRef]
- Sharma, M.; Bishnoi, S.; Martirena, F.; Scrivener, K. Limestone calcined clay cement and concrete: A state-of-the-art review. Cem. Concr. Res. 2021, 149, 106564. [Google Scholar] [CrossRef]
- Biernacki, J.J.; Bullard, J.W.; Sant, G.; Brown, K.; Glasser, F.P.; Jones, S.; Ley, T.; Livingston, R.; Nicoleau, L.; Olek, J.; et al. Cements in the 21(st) century: Challenges, perspectives, and opportunities. J. Am. Ceram. Soc. 2017, 100, 2746–2773. [Google Scholar] [CrossRef] [PubMed]
- Anupam, B.R.; Sahoo, U.C.; Chandrappa, A.K.; Rath, P. Emerging technologies in cool pavements: A review. Constr. Build. Mater. 2021, 299, 123892. [Google Scholar] [CrossRef]
- Qin, Y.H. A review on the development of cool pavements to mitigate urban heat island effect. Renew. Sust. Energy Rev. 2015, 52, 445–459. [Google Scholar] [CrossRef]
- Wang, A.; Zhang, Z.; Lei, X.; Xia, Y.; Sun, L. All-weather thermal simulation methods for concrete maglev bridge based on structural and meteorological monitoring data. Sensors 2021, 21, 5789. [Google Scholar] [CrossRef]
- Vujovic, S.; Haddad, B.; Karaky, H.; Sebaibi, N.; Boutouil, M. Urban heat island: Causes, consequences, and mitigation measures with emphasis on reflective and permeable pavements. Civ. Eng. 2021, 2, 459–484. [Google Scholar] [CrossRef]
- Hwang, R.L.; Lin, T.P.; Lin, F.Y. Evaluation and mapping of building overheating risk and air conditioning use due to the urban heat island effect. J. Build. Eng. 2020, 32, 101726. [Google Scholar] [CrossRef]
- Delgado-Alvarado, E.; Elvira-Hernández, E.A.; Hernández-Hernández, J.; Huerta-Chua, J.; Vázquez-Leal, H.; Martínez-Castillo, J.; García-Ramírez, P.J.; Herrera-May, A.L. Recent progress of nanogenerators for green energy harvesting: Performance, applications, and challenges. Nanomaterials 2022, 12, 2549. [Google Scholar] [CrossRef]
- Singh, V.P.; Kumar, M.; Srivastava, R.S.; Vaish, R. Thermoelectric energy harvesting using cement-based composites: A review. Mater. Today Energy 2021, 21, 100714. [Google Scholar] [CrossRef]
- Al Musleh, M.; Topriska, E.V.; Jenkins, D.; Owens, E. Thermoelectric generator characterization at extra-low-temperature difference for building applications in extreme hot climates: Experimental and numerical study. Energy Build. 2020, 225, 110285. [Google Scholar] [CrossRef]
- Gholikhani, M.; Roshani, H.; Dessouky, S.; Papagiannakisa, A.T. A critical review of roadway energy harvesting technologies. Appl. Energy 2020, 261, 114388. [Google Scholar] [CrossRef]
- Ma, Z.; Wei, J.T.; Song, P.S.; Zhang, M.L.; Yang, L.L.; Ma, J.; Liu, W.; Yang, F.H.; Wang, X.D. Review of experimental approaches for improving zT of thermoelectric materials. Mater. Sci. Semicon. Proc. 2021, 121, 105303. [Google Scholar] [CrossRef]
- Sun, M.; Li, Z.; Mao, Q.; Shen, D. Thermoelectric percolation phenomena in carbon fiber-reinforced concrete. Cem. Concr. Res. 1998, 28, 1707–1712. [Google Scholar] [CrossRef]
- Vareli, I.; Tzounis, L.; Tsirka, K.; Kavvadias, I.E.; Tsongas, K.; Liebscher, M.; Elenas, A.; Gergidis, L.N.; Barkoulaa, N.; Paipetis, A.S. High-performance cement/SWCNT thermoelectric nanocomposites and a structural thermoelectric generator device towards large-scale thermal energy harvesting. J. Mater. Chem. C 2021, 9, 14421–14438. [Google Scholar] [CrossRef]
- Wang, X.Y.; Dong, S.F.; Ashour, A.; Han, B.G. Energy-harvesting concrete for smart and sustainable infrastructures. J. Mater. Sci. 2021, 56, 16243–16277. [Google Scholar] [CrossRef]
- Ji, T.; Zhang, X.; Li, W.H. Enhanced thermoelectric effect of cement composite by addition of metallic oxide nanopowders for energy harvesting in buildings. Constr. Build. Mater. 2016, 115, 576–581. [Google Scholar] [CrossRef]
- Ghosh, S.; Harish, S.; Rocky, K.A.; Ohtaki, M.; Saha, B.B. Graphene enhanced thermoelectric properties of cement based composites for building energy harvesting. Energy Build. 2019, 202, 109419. [Google Scholar] [CrossRef]
- Ji, T.; Zhang, X.Y.; Zhang, X.; Zhang, Y.J. Effect of manganese dioxide nanorods on the thermoelectric properties of cement composites. J. Mater. Civ. Eng. 2018, 30, 04018224. [Google Scholar] [CrossRef]
- Wen, S.H.; Chung, D.D.L. Enhancing the Seebeck effect in carbon fiber-reinforced cement by using intercalated carbon fibers. Cem. Concr. Res. 2000, 30, 1295–1298. [Google Scholar] [CrossRef]
- Bahar, D.; Salih, Y. Thermoelectric behavior of carbon fiber reinforced lightweight concrete with mineral admixtures. New Carbon Mater. 2008, 23, 21–24. [Google Scholar] [CrossRef]
- Davoodabadi, M.; Vareli, I.; Liebscher, M.; Tzounis, L.; Sgarzi, M.; Paipetis, A.S.; Yang, J.; Cuniberti, G.; Mechtcherine, V. Thermoelectric energy harvesting from single-walled carbon nanotube alkali-activated nanocomposites produced from industrial waste materials. Nanomaterials 2021, 11, 1095. [Google Scholar] [CrossRef] [PubMed]
- Shi, T.; Li, Z.X.; Guo, J.; Gong, H.; Gu, C.P. Research progress on CNTs/CNFs-modified cement-based composites—A review. Constr. Build. Mater. 2019, 202, 290–307. [Google Scholar] [CrossRef]
- García-Macías, E.; D’Alessandro, A.; Castro-Triguero, R.; Pérez-Mira, D.; Ubertini, F. Micromechanics modeling of the electrical conductivity of carbon nanotube cement-matrix composites. Compos. Part B Eng. 2017, 108, 451–469. [Google Scholar] [CrossRef]
- Zuo, J.Q.; Yao, W.; Wu, K.R. Seebeck effect and mechanical properties of carbon nanotube-carbon fiber/cement nanocomposites. Fuller. Nanotub. Carbon Nanostructures 2014, 23, 383–391. [Google Scholar] [CrossRef]
- Wei, J.; Li, X.T.; Wang, Y.; Chen, B.; Qiao, S.S.; Zhang, Q.; Xue, F. Record high thermoelectric performance of expanded graphite/carbon fiber cement composites enhanced by ionic liquid 1-butyl-3-methylimidazolium bromide for building energy harvesting. J. Mater. Chem. C 2021, 9, 3682–3691. [Google Scholar] [CrossRef]
- Wei, J.; Zhang, Q.; Zhao, L.L.; Hao, L.; Yang, C.L. Enhanced thermoelectric properties of carbon fiber reinforced cement composites. Ceram. Int. 2016, 42, 11568–11573. [Google Scholar] [CrossRef]
- Wei, J.; Wang, Y.; Li, X.T.; Jia, Z.Y.; Qiao, S.S.; Jiang, Y.C.; Zhou, Y.Q.; Miao, Z.; Gao, D.M.; Zhang, H. Dramatically improved thermoelectric properties by defect engineering in cement-based composites. ACS Appl. Mater. Interfaces 2021, 13, 3919–3929. [Google Scholar] [CrossRef]
- Wei, J.; Hao, L.; He, G.P.; Yang, C.L. Enhanced thermoelectric effect of carbon fiber reinforced cement composites by metallic oxide/cement interface. Ceram. Int. 2014, 40, 8261–8263. [Google Scholar] [CrossRef]
- Liu, X.Y.; Liao, G.; Zuo, J.Q. Enhanced thermoelectric properties of carbon fiber-reinforced cement composites (CFRCs) utilizing Bi2Te3 with three doping methods. Fuller. Nanotub. Carbon Nanostructures 2021, 29, 295–303. [Google Scholar] [CrossRef]
- Ghosh, S.; Harish, S.; Ohtaki, M.; Saha, B.B. Thermoelectric figure of merit enhancement in cement composites with graphene and transition metal oxides. Mater. Today Energy 2020, 18, 100492. [Google Scholar] [CrossRef]
- Qiu, W.B.; He, H.; Wang, Z.S.; Hu, Q.J.; Cui, X.D.; Wang, Z.G.; Zhang, Y.; Gu, L.; Yang, Y.X.; Zhao, L.W.; et al. Enhancing the figure of merit of n-type PbTe materials through multi-scale graphene induced interfacial engineering. Nano Today 2021, 39, 101176. [Google Scholar] [CrossRef]
- Zhang, C.C.; Zhao, Y.; Gu, P.; Peng, L.M. Thermoelectric performance in pseudo-ternary (PbTe)0.95-x(Sb2Se3)x(PbS)0.05 system with ultra-low thermal conductivity via multi-scale phonon scattering. Curr. Appl. Phys. 2020, 20, 1008–1012. [Google Scholar] [CrossRef]
- Hori, T.; Shiomi, J. Tuning phonon transport spectrum for better thermoelectric materials. Sci. Technol. Adv. Mater. 2019, 20, 10–25. [Google Scholar] [CrossRef]
- Pei, J.; Cai, B.W.; Zhuang, H.L.; Li, J.F. Bi2Te3-based applied thermoelectric materials: Research advances and new challenges. Natl. Sci. Rev. 2020, 7, 1856–1858. [Google Scholar] [CrossRef]
- Hao, F.; Qiu, P.F.; Tang, Y.S.; Bai, S.Q.; Xing, T.; Chu, H.; Zhang, Q.H.; Lu, P.; Zhang, T.S.; Ren, D.D.; et al. High efficiency Bi2Te3-based materials and devices for thermoelectric power generation between 100 and 300 °C. Energy Environ. Sci. 2016, 9, 3120–3127. [Google Scholar] [CrossRef]
- Baneviien, V.; Malaikien, J. The synergistic effect of secondary raw materials and nano additive on the properties of cement matrix. IOP Conf. Ser. Mater. Sci. Eng. 2020, 960, 022038. [Google Scholar] [CrossRef]
- Hu, L.P.; Wu, H.J.; Zhu, T.J.; Fu, C.G.; He, J.Q.; Ying, P.J.; Zhao, X.B. Tuning multiscale microstructures to enhance thermoelectric performance of n-type bismuth-telluride-based solid solutions. Adv. Energy Mater. 2015, 5, 1500411. [Google Scholar] [CrossRef]
- Wang, L.N.; Aslani, F. A review on material design, performance, and practical application of electrically conductive cementitious composites. Constr. Build. Mater. 2019, 229, 116892. [Google Scholar] [CrossRef]











| Bi0.5Sb1.5Te3 | CNTs (g) | Water (g) | Active Agent (g) | Water Reducer (g) | Dispersant (g) | Defoamer (g) | Cement (g) | ||
|---|---|---|---|---|---|---|---|---|---|
| Volume Fractions (vol.%) | Weight (g) | ||||||||
| B1 | 0.0 | 0.0 | 0.01 | 5 | 0.5 | 0.05 | 0.06 | 0.005 | 10 |
| B2 | 0.2 | 0.043 | 0.01 | 5 | 0.5 | 0.05 | 0.06 | 0.005 | 10 |
| B3 | 0.4 | 0.086 | 0.01 | 5 | 0.5 | 0.05 | 0.06 | 0.005 | 10 |
| B4 | 0.6 | 0.129 | 0.01 | 5 | 0.5 | 0.05 | 0.06 | 0.005 | 10 |
| B5 | 0.8 | 0.173 | 0.01 | 5 | 0.5 | 0.05 | 0.06 | 0.005 | 10 |
| B6 | 1.0 | 0.216 | 0.01 | 5 | 0.5 | 0.05 | 0.06 | 0.005 | 10 |
Publisher’s Note: MDPI stays neutral with regard to jurisdictional claims in published maps and institutional affiliations. |
© 2022 by the authors. Licensee MDPI, Basel, Switzerland. This article is an open access article distributed under the terms and conditions of the Creative Commons Attribution (CC BY) license (https://creativecommons.org/licenses/by/4.0/).
Share and Cite
Zhou, H.; Liu, H.; Qian, G.; Xu, P.; Yu, H.; Cai, J.; Zheng, J. Enhanced Thermoelectric Performances of CNTs-Reinforced Cement Composites with Bi0.5Sb1.5Te3 for Pavement Energy Harvesting. Nanomaterials 2022, 12, 3883. https://doi.org/10.3390/nano12213883
Zhou H, Liu H, Qian G, Xu P, Yu H, Cai J, Zheng J. Enhanced Thermoelectric Performances of CNTs-Reinforced Cement Composites with Bi0.5Sb1.5Te3 for Pavement Energy Harvesting. Nanomaterials. 2022; 12(21):3883. https://doi.org/10.3390/nano12213883
Chicago/Turabian StyleZhou, Hongyu, Huang Liu, Guoping Qian, Peng Xu, Huanan Yu, Jun Cai, and Jianlong Zheng. 2022. "Enhanced Thermoelectric Performances of CNTs-Reinforced Cement Composites with Bi0.5Sb1.5Te3 for Pavement Energy Harvesting" Nanomaterials 12, no. 21: 3883. https://doi.org/10.3390/nano12213883
APA StyleZhou, H., Liu, H., Qian, G., Xu, P., Yu, H., Cai, J., & Zheng, J. (2022). Enhanced Thermoelectric Performances of CNTs-Reinforced Cement Composites with Bi0.5Sb1.5Te3 for Pavement Energy Harvesting. Nanomaterials, 12(21), 3883. https://doi.org/10.3390/nano12213883

