Decrease of Greenhouse Gases during an In Vitro Ruminal Digestibility Test of Forage (Festuca arundinacea) Conditioned with Selenium Nanoparticles
Abstract
1. Introduction
2. Materials and Methods
2.1. Sample Collection and Preparation
2.1.1. Production of Festuca arundinacea Schreb. Grass with Selenium
2.1.2. Nanomaterials
2.1.3. Sample Conditioning
2.2. Obtaining the Ruminal Fluid
2.3. In Vitro Incubation
2.4. Total Gas and Methane Estimation
2.5. Determination of Volatile Fatty Acids by Gas Chromatography
2.6. In Vitro Dry Matter Digestibility
2.7. Determination of Bioactive Compounds after In Vitro Digestion
2.7.1. Determination of Total Phenols
2.7.2. Total Flavonoids
2.7.3. Total Tannins
2.7.4. Selenium Determination in Ruminal Fluid by Atomic Absorption Spectrophotometer
2.8. Statistical Analysis
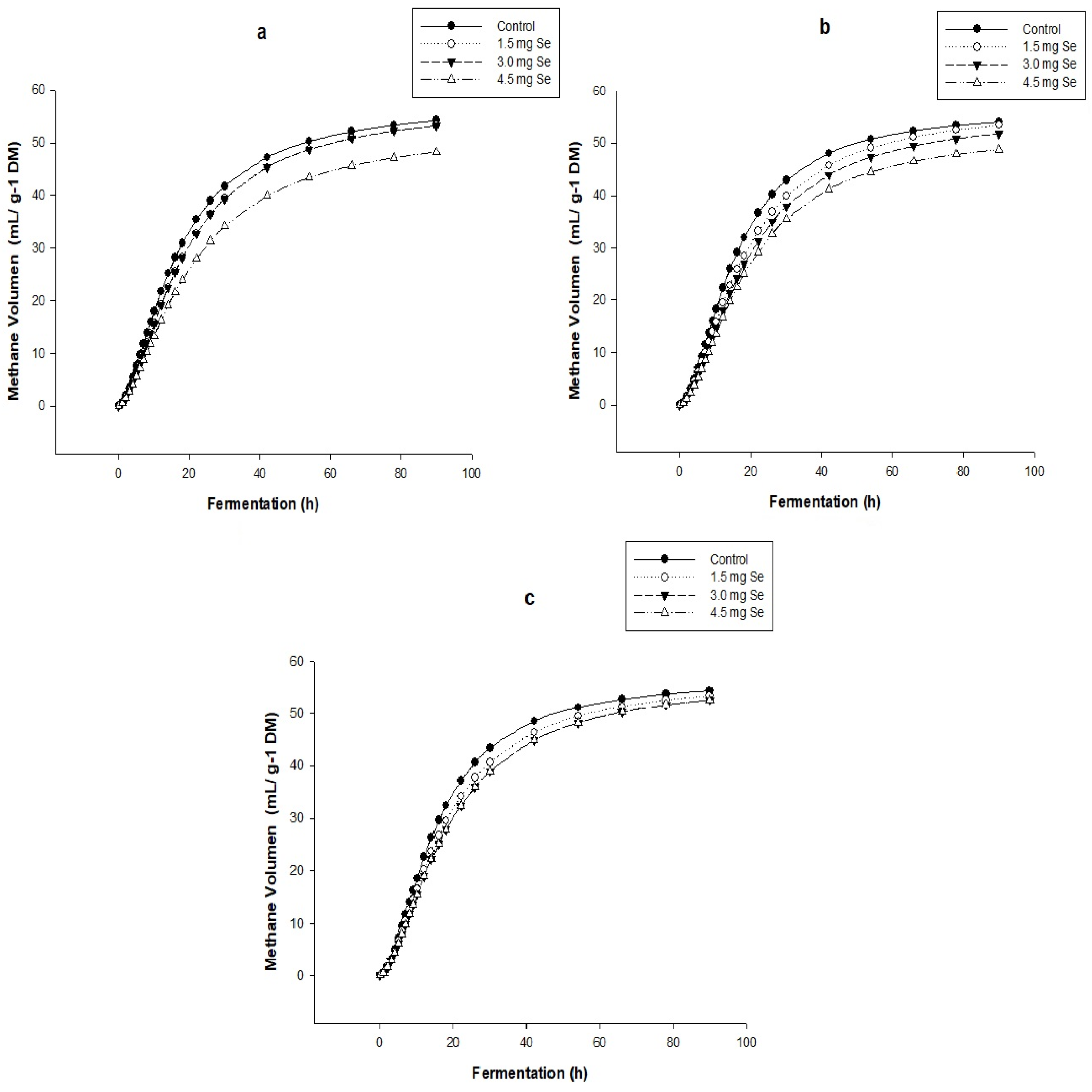
3. Results
3.1. Digestibility Parameters
3.2. In Vitro Gas and Methane Production
3.3. Determination of Bioactive Compounds in the Ruminal Fluid after Digestion
3.4. Quantification of Volatile Fatty Acids (VFA)
4. Discussion
5. Conclusions
Author Contributions
Funding
Data Availability Statement
Acknowledgments
Conflicts of Interest
References
- Espino-García, J.J.; Campos-Montiel, R.G.; González-Lemus, U.; Torres-Cardona, M.G.; Sánchez-Santillán, P. In vitro fermentation of maize stover mixed with xoconostle (Opuntia matudae Sheinvar) and the effect on gas production. Livest. Res. Rural. Dev. 2020, 32. [Google Scholar]
- Møller, H.B.; Sørensen, P.; Olesen, J.E.; Petersen, S.O.; Nyord, T.; Sommer, S.G. Agricultural biogas production—climate and environmental impacts. Sustainability 2022, 14, 1849. [Google Scholar] [CrossRef]
- Duin, E.C.; Wagner, T.; Shima, S.; Prakash, D.; Cronin, B.; Yáñez-Ruiz, D.R.; Kindermann, M. Mode of action uncovered for the specific reduction of methane emissions from ruminants by the small molecule 3-nitrooxypropanol. Proc. Natl. Acad. Sci. USA 2016, 113, 6172–6177. [Google Scholar] [CrossRef] [PubMed]
- Kumari, S.; Fagodiya, R.K.; Hiloidhari, M.; Dahiya, R.P.; Kumar, A. Methane production and estimation from livestock husbandry: A mechanistic understanding and emerging mitigation options. Sci. Total Environ. 2020, 709, 136135. [Google Scholar] [CrossRef] [PubMed]
- Alemu, A.; Ominski, K.H.; Kebreab, E. Estimation of enteric methane emissions trends (1990–2008) from Manitoba beef cattle using empirical and mechanistic models. Can. J. Anim. Sci. 2011, 91, 305–321. [Google Scholar] [CrossRef]
- Bonilla-Cárdenas, J.A.; Lemus-Flores, C. Enteric methane emission by ruminants and its contribution to global climate change. Rev. Mex. Cienc. Pecu. 2012, 3, 215–246. [Google Scholar]
- Li, X.; Norman, H.C.; Kinley, R.D.; Laurence, M.; Wilmot, M.; Bender, H.; de Nys, R.; Tomkins, N. Asparagopsis taxiformis decreases enteric methane production from sheep. Anim. Prod. Sci. 2016, 58, 681–688. [Google Scholar] [CrossRef]
- Hristov, A.N.; Oh, J.; Giallongo, F.; Frederick, T.W.; Harper, M.T.; Weeks, H.L.; Duval, S. An inhibitor persistently decreased enteric methane emission from dairy cows with no negative effect on milk production. Proc. Natl. Acad. Sci. USA 2015, 112, 10663–10668. [Google Scholar]
- Van Wyngaard, J.D.V.; Meeske, R.; Erasmus, L.J. Effect of dietary nitrate on enteric methane emissions, production performance and rumen fermentation of dairy cows grazing kikuyu-dominant pasture during summer. Anim. Feed Sci. Technol. 2018, 244, 76–87. [Google Scholar] [CrossRef]
- de Abreu Faria, L.; Karp, F.H.S.; Righeto, P.P.; Filho, A.L.A.; Lucas, R.C.; Machado, M.C.; Natael, S.A.; Graciano, T.C.; Abdalla, A.L. Nutritional quality and organic matter degradability of Brachiaria spp. agronomically biofortified with selenium. J. Anim. Physiol. Anim. Nutr. 2018, 102, 1464–1471. [Google Scholar] [CrossRef]
- Almaraz-Buendia, I.; Razo-Rodríguez, O.; Salinas-Martínez, J.A.; Campos-Montiel, R.; Ramirez-Bribiesca, E. Inhibitory effect of selenium concentrations on microbial activity during oat hay in vitro rumen fermentation. Agrociencia 2018, 52, 511–521. [Google Scholar]
- Garza-García, J.J.; Hernández-Díaz, J.A.; Zamudio-Ojeda, A.; León-Morales, J.M.; Guerrero-Guzmán, A.; Sánchez-Chiprés, D.R.; López-Velazquez, J.C.; García-Morales, S. The role of selenium nanoparticles in agriculture and food technology. Biol. Trace Elem. Res. 2021, 200, 2528–2548. [Google Scholar] [CrossRef] [PubMed]
- Malyugina, S.; Skalickova, S.; Skladanka, J.; Slama, P.; Horky, P. Biogenic Selenium Nanoparticles in Animal Nutrition: A Review. Agriculture 2021, 11, 1244. [Google Scholar] [CrossRef]
- González-Lemus, U.; Medina-Pérez, G.; Espino-García, J.J.; Fernández-Luqueño, F.; Campos-Montiel, R.; Almaraz-Buendía, I.; Reyes-Munguía, A.; Urrutia-Hernández, T. Nutritional Parameters, Biomass Production, and Antioxi-dant Activity of Festuca arundinacea Schreb. Conditioned with Selenium Nanoparticles. Plants 2022, 11, 2326. [Google Scholar] [CrossRef]
- Nedelkov, K.; Chen, X.J.; Martins, C.M.M.R.; Melgar, A.; Harper, M.T.; Räisänen, S.; Oh, J.; Feliz, T.L.; Wall, E.; Hristov, A.N. Alternative selenium supplement for sheep. Anim. Feed Sci. Technol. 2020, 261, 114390. [Google Scholar] [CrossRef]
- Naziroglu, M.; Aksakal, M.; Cay, M.; Celik, S. Effects of vitamin E and selenium on some rumen parameters in lambs. Acta Vet. Hung. 1997, 45, 447–456. [Google Scholar] [PubMed]
- Hendawy, A.O.; Sugimura, S.; Sato, K.; Mansour, M.M.; El-Aziz, A.; Ayman, H.; Samir, H.; Bostami, A.B.M.R.; Mandour, A.S.; Elfadadny, A.; et al. Effects of Selenium Supplementation on Rumen Microbiota, Rumen Fermentation and Apparent Nutrient Digestibility of Ruminant Animals: A Review. Fermentation 2022, 8, 4. [Google Scholar] [CrossRef]
- Shi, L.; Xun, W.; Yue, W.; Zhang, C.; Ren, Y.; Liu, Q.; Wang, Q.; Shi, L. Effect of elemental nano-selenium on feed digestibility, rumen fermentation, and purine derivatives in sheep. Anim. Feed. Sci. Technol. 2011, 163, 136–142. [Google Scholar] [CrossRef]
- Boschini-Figueroa, C.; Vargas-Rodríguez, F.; Pineda-Cordero, L. Evaluación de equipos para la siembra al voleo de semillas de alpiste y linaza. Agron. Mesoam. 2015, 26, 172–180. [Google Scholar] [CrossRef][Green Version]
- López-Vargas, E.R.; Ortega-Ortíz, H.; Cadenas-Pliego, G.; de Alba Romenus, K.; Cabrera de la Fuente, M.; Benavides-Mendoza, A.; Juárez-Maldonado, A. Foliar application of copper nanoparticles increases the fruit quality and the content of bioactive compounds in tomatoes. Appl. Sci. 2018, 8, 1020. [Google Scholar] [CrossRef]
- De Aluja, A.S. Animales de laboratorio y la Norma Oficial Mexicana (NOM-062- ZOO-1999). Gac. Med. Mex. 2002, 138, 295–298. [Google Scholar] [PubMed]
- Mexicana, N.O. Trato Humanitario en la Movilización de Animales: NOM-051-ZOO-1995. Diario Oficial Federacion 1998, 42–67. [Google Scholar]
- Theodorou, M.K.; Williams, B.A.; Dhanoa, M.S.; McAllan, A.B.; France, J. A simple gas production method using a pressure transducer to determine the fermentation kinetics of ruminant feeds. Anim. Feed Sci. Technol. 1994, 48, 185–197. [Google Scholar] [CrossRef]
- Sánchez-Santillán, P.; Meneses-Mayo, M.; Miranda-Romero, L.; Santellano-Estrada, E.; Alarcón-Zúñiga, B. Fribrinolytic activity and gas production by Pleurotus ostreatus-IE8 and Fomes fomentarius-EUM1 in bagasse cane. Rev. MVZ Córdoba 2015, 20, 4907–4916. [Google Scholar] [CrossRef][Green Version]
- Torres-Salado, N.; Sánchez-Santillán, P.; Rojas-García, A.R.; Herrera-Pérez, J.; Hernández-Morales, J. Producción de gases efecto invernadero in vitro de leguminosas arbóreas del trópico seco mexicano. Arch. Zoot. 2018, 67, 55–59. [Google Scholar] [CrossRef]
- Prada-Matiz, A.; Cortés-Castillo, C.E. Experiences in the capture of combustion gases of rice husk with alkaline solutions. ORINOQUIA 2011, 15, 16–30. [Google Scholar]
- Singh, R.K.; Dey, A.; Paul, S.S.; Singh, M.; Dahiya, S.S.; Punia, B.S. Associative effects of plant secondary metabolites in modulating in vitro methanogenesis, volatile fatty acids production and fermentation of feed in buffalo (Bubalus bubalis). Agrofor. Syst. 2020, 94, 1555–1566. [Google Scholar] [CrossRef]
- Albores-Moreno, S.; Alayón-Gamboa, J.A.; Miranda-Romero, L.A.; Alarcón-Zúñiga, B.; Jiménez-Ferrer, G.; Ku-Vera, J.C.; Piñeiro-Vázquez, A.T. Effect of tree foliage supplementation of tropical grass diet on in vitro digestibility and fermentation, microbial biomass synthesis and enteric methane production in ruminants. Trop. Anim. Health Prod. 2019, 51, 893–904. [Google Scholar] [CrossRef]
- Groot, J.; Cone, J.; Williams, B.A.; Debersaques, F.; Lantinga, E. Multiphasic analysis of gas production kinetics for in vitro fermentation of ruminant feeds. Anim. Feed. Sci. Tech. 1996, 64, 77–89. [Google Scholar] [CrossRef]
- Pham, H.N.T.; Tang-Nguyen, V.; Van-Vuong, Q.; Bowyer, M.C.; Scarlett, C.J. Bioactive compound yield and antioxidant capacity of Helicteres hirsuta Lour. stem as affected by various solvents and drying methods. J. Food Processing Preserv. 2017, 41, e12879. [Google Scholar] [CrossRef]
- Kuppusamy, P.; Lee, K.D.; Song, C.E.; Ilavenil, S.; Srigopalram, S.; Arasu, M.V.; Choi, K.C. Quantification of major phenolic and flavonoid markers in forage crop Lolium multiflorum using HPLC-DAD. Rev. Bras. Farm. 2018, 28, 282–288. [Google Scholar] [CrossRef]
- Price, M.L.; Butler, L.G. Rapid visual estimation and spectrophotometric determination of tannin content of sorghum grain. J. Agric. Food Chem. 1997, 25, 1268–1273. [Google Scholar] [CrossRef]
- Smrkolj, P.; Pograjc, L.; Hlastan-Ribič, C.; Stibilj, V. Selenium content in selected Slovenian foodstuffs and estimated daily intakes of selenium. Food Chem. 2005, 90, 691–697. [Google Scholar] [CrossRef]
- Xu, M.; Rinker, M.; McLeod, K.R.; Harmon, D.L. Yucca schidigera extract decreases in vitro methane production in a variety of forages and diets. Anim. Feed Sci. Technol. 2010, 159, 18–26. [Google Scholar] [CrossRef]
- Camacho-Escobar, M.A.; Galicia-Jiménez, M.M.; Sánchez-Bernal, E.I.; Ávila-Serrano, N.Y.; López-Garrido, S.J. Producción de metano y bióxido de carbono in vitro de pastos tropicales de la costa de Oaxaca, México. Terra Latinoam. 2020, 38, 425–434. [Google Scholar] [CrossRef]
- Mourino, F.; Akkarawongsa, R.; Weimer, P.J. Initial pH as a determinant of cellulose digestion rate by mixed ruminal microorganisms in vitro. J. Dairy Sci. 2001, 84, 848–859. [Google Scholar] [CrossRef]
- Xun, W.; Shi, L.; Yue, W.; Zhang, C.; Ren, Y.; Liu, Q. Effect of high-dose nano-selenium and selenium–yeast on feed digestibility, rumen fermentation, and purine derivatives in sheep. Biol. Trace Elem. Res. 2012, 150, 130–136. [Google Scholar] [CrossRef]
- Ventura-Ríos, J.; Reyes-Vazquez, I.; García Salas, A.; Muñoz-García, C.; Muro-Reyes, A.; Maldonado-Peralta, M.D.L.Á.; Cruz Hernández, A. Rendimiento, perfiles nutrimental y de fermentación ruminal in vitro de pasto maralfalfa (Cenchrus purpureus Schumach.) Morrone a diferentes frecuencias de corte en clima cálido. Acta Univ. 2019, 29. [Google Scholar] [CrossRef]
- Cajarville, C.; Britos, A.; Errandonea, N.; Gutierrez, L.; Cozzolino, D.; Repetto, J.L. Diurnal changes in water-soluble carbohydrate concentration in lucerne and tall fescue in autumn and the effects on in vitro fermentation. New Zealand J. Agric. Res. 2015, 58, 281–291. [Google Scholar] [CrossRef]
- Singh, S.; Hundal, J.S.; Patra, A.K.; Sethi, R.S.; Sharma, A. A composite polyphenol-rich extract improved growth performance, ruminal fermentation and immunity, while decreasing methanogenesis and excretion of nitrogen and phosphorus in growing buffaloes. Environ. Sci. Pollut. Res. 2021, 29, 24757–24773. [Google Scholar] [CrossRef]
- Lee, S.J.; Kim, H.S.; Eom, J.S.; Choi, Y.Y.; Jo, S.U.; Chu, G.M.; Lee, Y.; Seo, J.; Kim, K.H.; Lee, S.S. Effects of Olive (Olea europaea L.) Leaves with Antioxidant and Antimicrobial Activities on In Vitro Ruminal Fermentation and Methane Emission. Animals 2021, 11, 2008. [Google Scholar] [CrossRef] [PubMed]
- García-Márquez, V.; Morelos-Moreno, Á.; Benavides-Mendoza, A.; Medrano Macías, J. Ionic selenium and nanoselenium as biofortifiers and stimulators of plant metabolism. Agronomy 2020, 10, 1399. [Google Scholar] [CrossRef]
- Sharma, S.; Goyal, R.; Sadana, U.S. Selenium accumulation and antioxidant status of rice plants grown on seleniferous soil from Northwestern India. Rice Sci. 2014, 21, 327–334. [Google Scholar] [CrossRef]
- Li, D.; An, Q.; Wu, Y.; Li, J.Q.; Pan, C. Foliar application of selenium nanoparticles on celery stimulates several nutrient component levels by regulating the α-linolenic acid pathway. ACS Sustain. Chem. Eng. 2020, 8, 10502–10510. [Google Scholar] [CrossRef]
- Cui, X.; Wang, Z.; Tan, Y.; Chang, S.; Zheng, H.; Wang, H.; Yan, T.; Guru, T.; Hou, F. Selenium yeast dietary supplement affects rumen bacterial population dynamics and fermentation parameters of tibetan sheep (Ovis aries) in alpine meadow. Front. Microbiol. 2021, 12, 663945. [Google Scholar] [CrossRef]
- Zhang, Z.D.; Wang, C.; Du, H.S.; Liu, Q.; Guo, G.; Huo, W.J.; Zhang, J.; Pei, C.X.; Zhang, S.L. Effects of sodium selenite and coated sodium selenite on lactation performance, total tract nutrient digestion and rumen fermentation in Holstein dairy cows. Animal 2020, 14, 2091–2099. [Google Scholar] [CrossRef]


| Attribute | SeNPs | 
|---|---|
| Chemical formula | Se | 
| Color | Gray | 
| Density (g/cm−3) | 4.81 | 
| Molecular weight | 78.96 | 
| Melting point | 960.8 °C | 
| Boiling point | 222.12 °C | 
| Magnetic properties | Weakly ferromagnetic | 
| Particle size Morphology | Less than 100 nm Spherical  | 
| Selenium (ppm) | First Haverst | Second Haverst | Third Haverst | 
|---|---|---|---|
| IVDMD (%) | |||
| 0 | 52.31 ± 1.35 cA | 50.54 ± 1.45 cA | 51.11 ± 1.15 cA | 
| 1.5 | 55.83 ± 1.25 bA | 55.42 ± 1.38 bA | 55.02 ± 1.18 bA | 
| 3.0 | 55.57 ± 1.12 bA | 55.77 ± 1.99 bA | 56.24 ± 1.11 bA | 
| 4.5 | 60.46 ± 2.08 aA | 59.24 ± 1.75 aA | 59.42 ± 1.25 aA | 
| pH | |||
| 0 | 6.55 ± 0.55 aA | 6.52 ± 0.54 aA | 6.52 ± 0.78 aA | 
| 1.5 | 6.52 ± 0.45 aA | 6.57 ± 0.63 aA | 6.66 ± 0.65 aA | 
| 3.0 | 6.51 ± 0.44 aA | 6.65 ± 0.43 aA | 6.51 ± 0.54 aA | 
| 4.5 | 6.54 ± 0.24 aA | 6.63 ± 0.45 aA | 6.64 ± 0.65 aA | 
| b (−) | |||
| 0 | 1.0922 ± 0.005 bA | 1.1089 ± 0.004 cA | 1.1073 ± 0.002 cA | 
| 1.5 | 1.0458 ± 0.009 aA | 1.0834 ± 0.001 bA | 1.0973 ± 0.001 bA | 
| 3 | 1.0557 ± 0.009 aA | 1.0793 ± 0.001 bA | 1.1071 ± 0.002 cB | 
| 4.5 | 1.0562 ± 0.008 aA | 1.0503 ± 0.003 aA | 1.0716 ± 0.002 aB | 
| to (h) | |||
| 0 | 14.9089 ± 0.15 bC | 16.4926 ± 0.15 bB | 15.9474 ± 0.11 cB | 
| 1.5 | 14.9428 ± 0.16 bB | 16.3713 ± 0.19 bA | 14.9305 ± 0.18 bB | 
| 3 | 14.3876 ± 0.13 aB | 16.5697 ± 0.22 bA | 13.6736 ± 0.11 aC | 
| 4.5 | 14.4339 ± 0.09 aB | 15.4877 ± 0.11 aA | 14.1273 ± 0.09 abB | 
| S (h−1) | |||
| 0 | 0.0505 ± 0.001 bA | 0.0444 ± 0.001 cB | 0.0461 ± 0.002 dB | 
| 1.5 | 0.0559 ± 0.001 aA | 0.0468 ± 0.001 bC | 0.0500 ± 0.001 cB | 
| 3 | 0.0566 ± 0.001 aA | 0.0465 ± 0.002 bC | 0.0537 ± 0.001 bB | 
| 4.5 | 0.0564 ± 0.002 aA | 0.0533 ± 0.002 aB | 0.0555 ± 0.002 aA | 
| tSmax (h) | |||
| 0 | 1.5547 ± 0.01 bC | 2.2329 ± 0.09 cA | 2.1243 ± 0.11 cB | 
| 1.5 | 1.1708 ± 0.09 aB | 1.7821 ± 0.10 bA | 1.7861 ± 0.12 bA | 
| 3 | 1.2230 ± 0.09 aC | 1.5829 ± 0.11 bB | 1.8177 ± 0.09 bA | 
| 4.5 | 1.2094 ± 0.07 aA | 1.1954 ± 0.12 aB | 1.2063 ± 0.09 aA | 
| L (h) | |||
| 0 | 0.8551 ± 0.009 cC | 1.1393 ± 0.01 cA | 1.0836 ± 0.09 cB | 
| 1.5 | 0.6950 ± 0.007 bC | 0.8395 ± 0.05 bB | 0.9094 ± 0.08 bA | 
| 3 | 0.4715 ± 0.007 aC | 0.8033 ± 0.009 aB | 0.9271 ± 0.09 bA | 
| 4.5 | 0.4777 ± 0.008 aB | 0.4537 ± 0.01 aB | 0.6113 ± 0.09 aA | 
| Se (ppm) | Ruminal Fluid before Digestion | Digestion First Harvest | Digestion Second Harvest | Digestion Third Harvest | 
|---|---|---|---|---|
| Total phenols (mg/100 mL) | ||||
| 0 | 4.95 ± 7.51 aB | 80.73 ± 1.26 dA | 81.91 ± 2.35 aA | 82.55 ± 2.91 aA | 
| 1.5 | 4.93 ± 5.06 aB | 86.21 ± 2.52 cA | 85.41 ± 1.99 bA | 86.09 ± 1.75 bA | 
| 3.0 | 4.98 ± 8.63 aC | 94.58 ± 1.72 bA | 91.99 ± 1.44 cB | 92.28 ± 2.12 cB | 
| 4.5 | 4.96 ± 7.89 aB | 98.77 ± 1 43 aA | 99.31 ± 2.91 dA | 99.08 ± 1.66 dA | 
| Total flavonoids (mg/100 mL) | ||||
| 0 | 1.37 ± 0.082 aB | 25.18 ± 0.70 dA | 23.99 ± 0.55 dA | 25.18 ± 0.47 dA | 
| 1.5 | 1.41 ± 0.023 aB | 26.71 ± 0.23 cA | 25.19 ± 0.36 cB | 26.71 ± 0.94 cA | 
| 3.0 | 1.38 ± 0.063 aB | 29.09 ± 0.63 bA | 28.18 ± 0.95 bA | 29.02 ± 0.86 bA | 
| 4.5 | 1.39 ± 0.028 aB | 34.96 ± 0.74 aA | 35.44 ± 0.81 aA | 34.96 ± 0.48 aA | 
| Total tannins (mg/ 100 mL) | ||||
| 0 | 1.96 ± 0.038 aB | 19.16 ± 1.55 cA | 17.16 ± 1.45 dA | 18.16 ± 1.38 cA | 
| 1.5 | 1.98 ± 0.012 aB | 21.68 ± 1.23 cA | 21.44 ± 1.13 cA | 21.09 ± 1.37 cA | 
| 3.0 | 1.97 ± 0.018 aB | 25.97 ± 0.94 bA | 25.24 ± 1.14 bA | 25.15 ± 0.64 bA | 
| 4.5 | 1.96 ± 0.068 aB | 27.22 ± 1.05 aA | 27.35 ± 0.51 aA | 27.99 ± 0.45 aA | 
| Selenium (ppm) | ||||
| 0 | 0.0008 ± 0.0005 aA | 0.0018 ± 0.0003 aA | 0.0013 ± 0.0004 aA | 0.0017 ± 0.0002 aA | 
| 1.5 | 0.0005 ± 0.0002 bA | 0.0285 ± 0.0022 bA | 0.0254 ± 0.0014 bA | 0.0294 ± 0.0010 bA | 
| 3.0 | 0.0004 ± 0.0005 cA | 0.0644 ± 0.0011 cA | 0.0611 ± 0.0016 cA | 0.0673 ± 0.0016 cA | 
| 4.5 | 0.0006 ± 0.0002 dA | 0.0811 ± 0.0012 dA | 0.0814 ± 0.0018 dA | 0.0812 ± 0.0011 dA | 
| Selenium (ppm) | First Harvest | Second Harvest | Third Harvest | 
|---|---|---|---|
| Acetic acid (mmol L−1) | |||
| 0 | 21.85 ± 0.35 bA | 21.97 ± 0.31 bA | 21.95 ± 0.15 bA | 
| 1.5 | 21.71 ± 0.15 bA | 21.93 ± 0.28 bA | 21.96 ± 0.18 bA | 
| 3.0 | 21.49 ± 0.12 bA | 21.54 ± 0.09 bA | 21.67 ± 0.11 bA | 
| 4.5 | 20.69 ± 0.08 aA | 20.68 ± 0.11 aA | 20.85 ± 0.15 aA | 
| Propionic acid (mmol L−1) | |||
| 0 | 5.45 ± 0.25 cA | 5.49 ± 0.24 cA | 5.42 ± 0.28 cA | 
| 1.5 | 6.02 ± 0.35 cA | 5.77 ± 0.23 cA | 5.86 ± 0.25 cA | 
| 3.0 | 7.11 ± 0.24 bA | 7.15 ± 0.13 bA | 7.51 ± 0.14 bB | 
| 4.5 | 8.34 ± 0.14 aA | 8.63 ± 0.25 aA | 8.44 ± 0.15 aA | 
| Butyric acid (mmolL−1) | |||
| 0 | 1.54 ± 0.23 cA | 1.55 ± 0.12 cA | 1.51 ± 0.11 cA | 
| 1.5 | 1.58 ± 0.19 cA | 1.56 ± 0.15 cA | 1.58 ± 0.03 cA | 
| 3.0 | 1.66 ± 0.11 bA | 1.72 ± 0.13 bA | 1.69 ± 0.11 bA | 
| 4.5 | 1.98 ± 0.12 aA | 1.95 ± 0.09 aA | 1.95 ± 0.09 aA | 
| Total VFA (mmol L−1) | |||
| 0 | 28.84 ± 0.52 cA | 29.01 ± 0.21 cA | 28.88 ± 0.55 cA | 
| 1.5 | 29.31 ± 0.25 cA | 29.26 ± 0.15 cA | 29.40 ± 0.54 cA | 
| 3.0 | 30.26 ± 0.18 bA | 30.41 ± 0.25 bA | 30.56 ± 0.21 bA | 
| 4.5 | 31.01 ± 0.29 aA | 31.26 ± 0.15 aA | 31.24 ± 0.22 aA | 
| Publisher’s Note: MDPI stays neutral with regard to jurisdictional claims in published maps and institutional affiliations. | 
© 2022 by the authors. Licensee MDPI, Basel, Switzerland. This article is an open access article distributed under the terms and conditions of the Creative Commons Attribution (CC BY) license (https://creativecommons.org/licenses/by/4.0/).
Share and Cite
González-Lemus, U.; Medina-Pérez, G.; Peláez-Acero, A.; Campos-Montiel, R.G. Decrease of Greenhouse Gases during an In Vitro Ruminal Digestibility Test of Forage (Festuca arundinacea) Conditioned with Selenium Nanoparticles. Nanomaterials 2022, 12, 3823. https://doi.org/10.3390/nano12213823
González-Lemus U, Medina-Pérez G, Peláez-Acero A, Campos-Montiel RG. Decrease of Greenhouse Gases during an In Vitro Ruminal Digestibility Test of Forage (Festuca arundinacea) Conditioned with Selenium Nanoparticles. Nanomaterials. 2022; 12(21):3823. https://doi.org/10.3390/nano12213823
Chicago/Turabian StyleGonzález-Lemus, Uriel, Gabriela Medina-Pérez, Armando Peláez-Acero, and Rafael Germán Campos-Montiel. 2022. "Decrease of Greenhouse Gases during an In Vitro Ruminal Digestibility Test of Forage (Festuca arundinacea) Conditioned with Selenium Nanoparticles" Nanomaterials 12, no. 21: 3823. https://doi.org/10.3390/nano12213823
APA StyleGonzález-Lemus, U., Medina-Pérez, G., Peláez-Acero, A., & Campos-Montiel, R. G. (2022). Decrease of Greenhouse Gases during an In Vitro Ruminal Digestibility Test of Forage (Festuca arundinacea) Conditioned with Selenium Nanoparticles. Nanomaterials, 12(21), 3823. https://doi.org/10.3390/nano12213823
 
        



 
       