Influence of Additive N2 on O2 Plasma Ashing Process in Inductively Coupled Plasma
Abstract
1. Introduction
2. Experiment
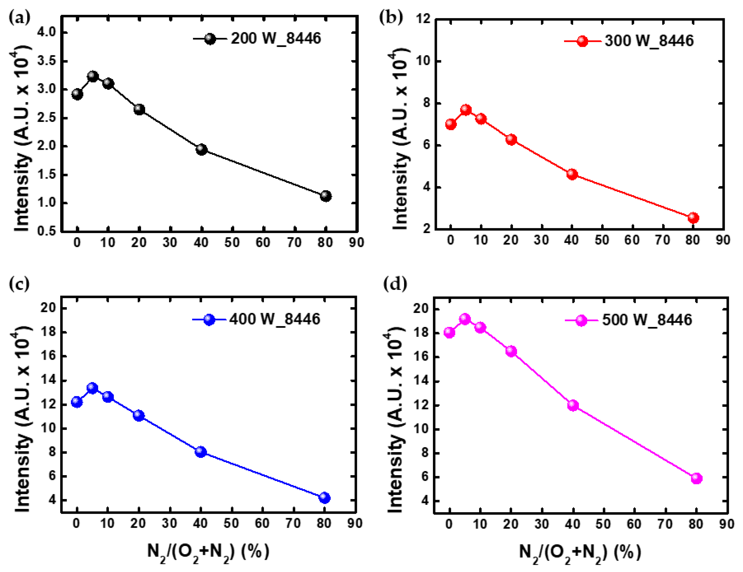
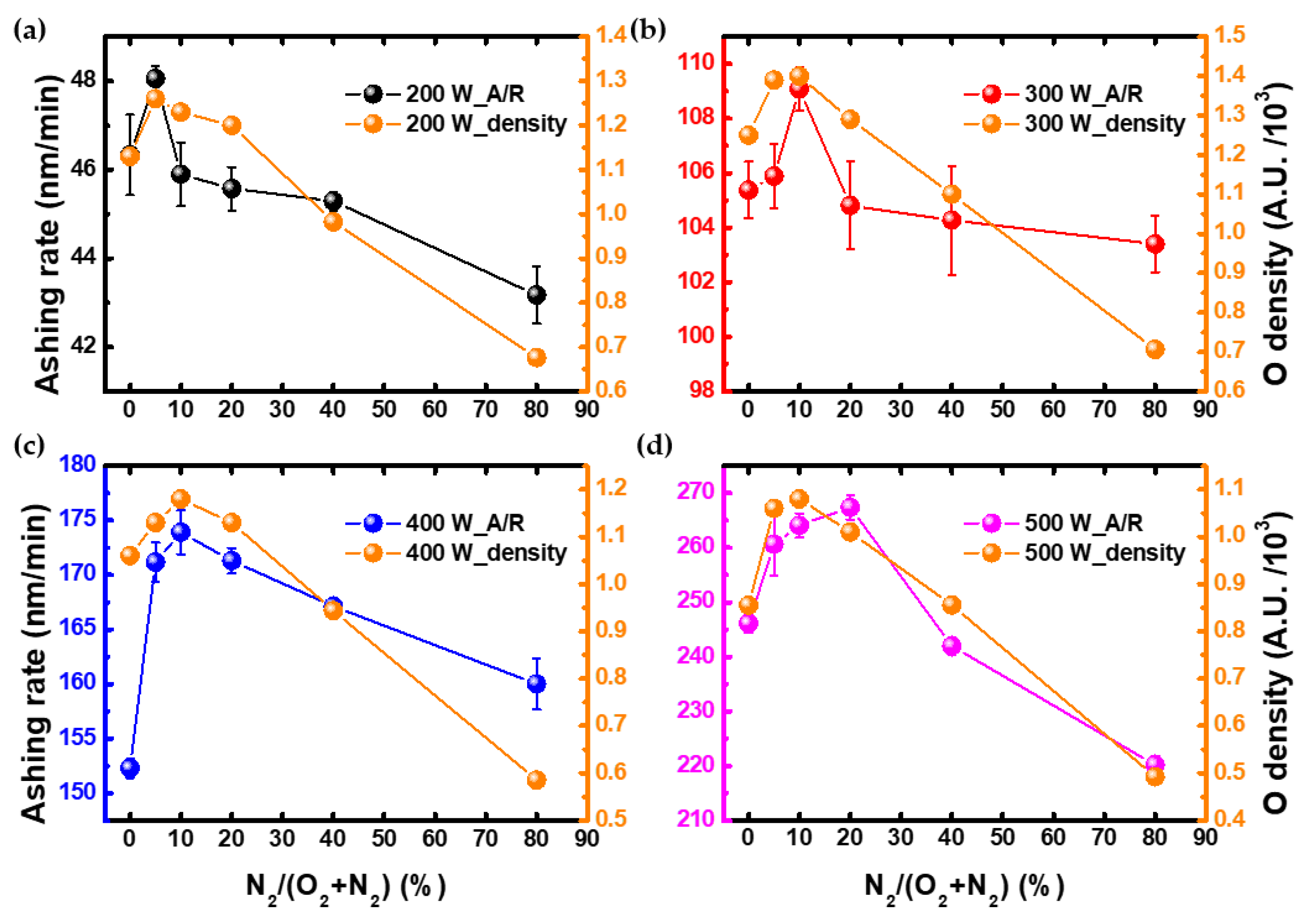
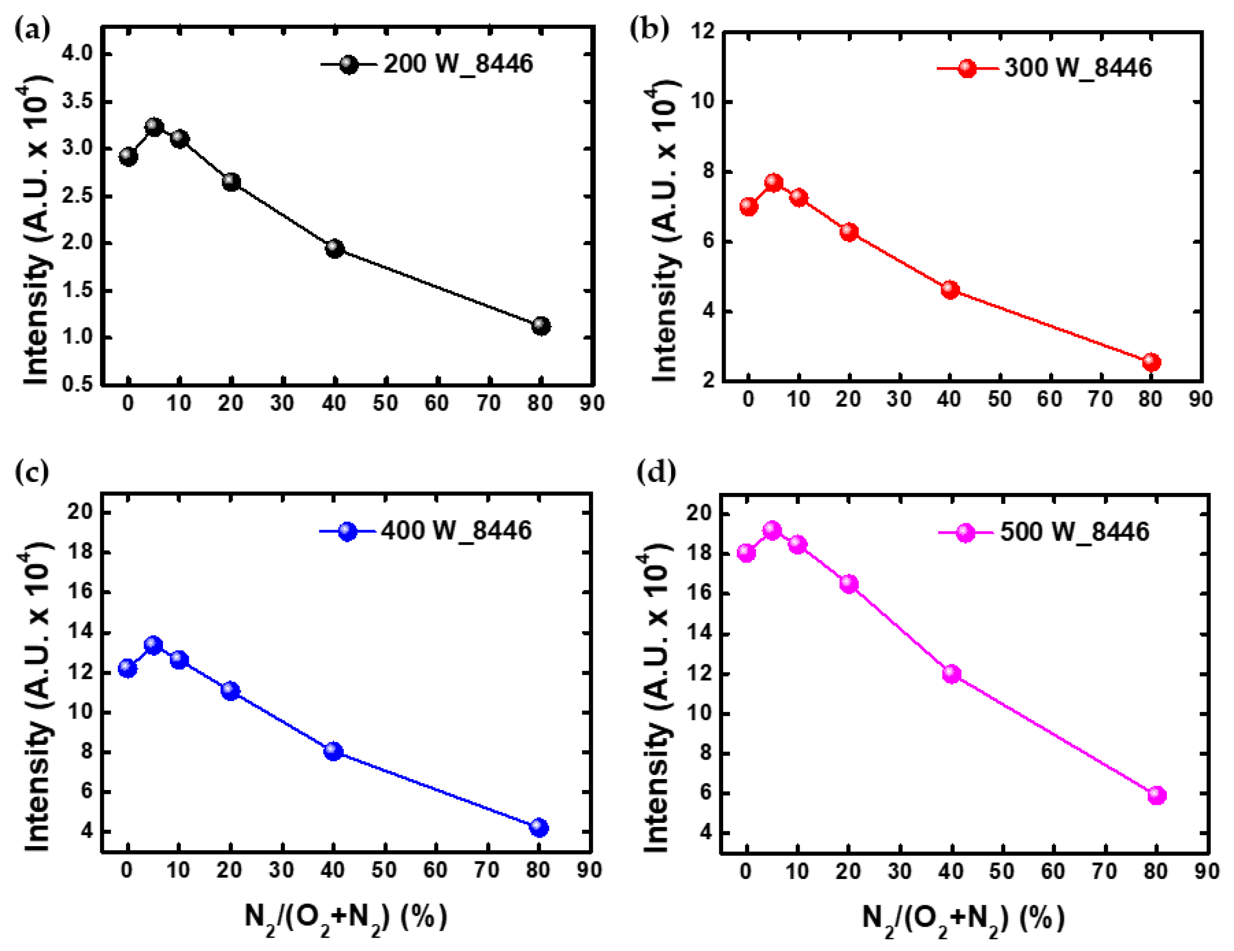
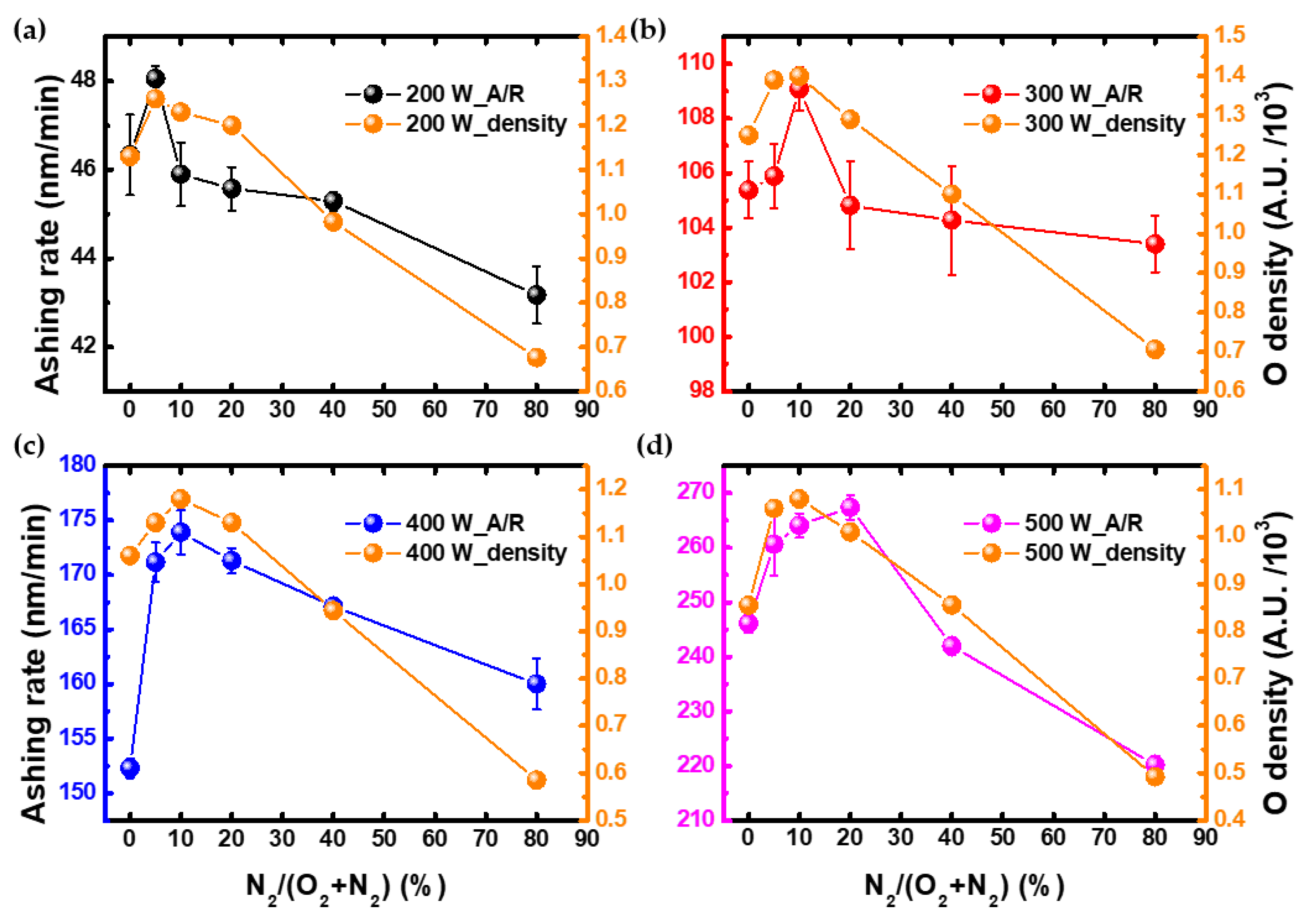
3. Results and Discussions
4. Conclusions
Author Contributions
Funding
Data Availability Statement
Conflicts of Interest
References
- Kim, M.; Moon, J.; Choi, J.; Park, S.; Lee, B.; Cho, M. Multiscale Simulation Approach on Sub-10 nm Extreme Ultraviolet Photoresist Patterning: Insights from Nanoscale Heterogeneity of Polymer. Macromolecules 2018, 51, 6922–6935. [Google Scholar] [CrossRef]
- Wachulak, P.W.; Capeluto, M.G.; Marconi, M.C.; Patel, D.; Menoni, C.S.; Rocca, J.J. Nanoscale Patterning in High Resolution HSQ Photoresist by Interferometric Lithography with Tabletop Extreme Ultraviolet Lasers. J. Vac. Sci. Technol. B Microelectron. Nanom. Struct. 2007, 25, 2094. [Google Scholar] [CrossRef]
- Fourkas, J.T. RAPID Lithography: New Photoresists Achieve Nanoscale Resolution. Opt. Photonics News 2011, 22, 24. [Google Scholar] [CrossRef]
- Stocker, M.P.; Li, L.; Gattass, R.R.; Fourkas, J.T. Multiphoton Photoresists Giving Nanoscale Resolution That Is Inversely Dependent on Exposure Time. Nat. Chem. 2011, 3, 223–227. [Google Scholar] [CrossRef]
- Claes, M.; Le, Q.; Kesters, E.; Lux, M.; Urionabarrenetxea, A.; Vereecke, G.; Mertens, P.; Carleer, R.; Adriaensens, P. All-Wet Strip Approaches for Post-Etch Photoresist Layers After Low-K Patterning. ECS Trans. 2007, 11, 177–187. [Google Scholar] [CrossRef]
- Wada, M.; Sano, K.; Snow, J.; Vos, R.; Leunissen, L.H.A.; Mertens, P.W.; Eitoku, A. All Wet Photoresist Strip by Solvent Aerosol Spray. Solid State Phenom. 2009, 145–146, 285–288. [Google Scholar] [CrossRef]
- Christenson, K.K.; Butterbaugh, J.W.; Wagener, T.J.; Lee, N.P.; Schwab, B.; Fussy, M.; Diedrick, J. All Wet Stripping of Implanted Photoresist. Solid State Phenom. 2008, 134, 109–112. [Google Scholar] [CrossRef]
- Dzioba, S.; Este, G.; Naguib, H.M. Decapsulation and Photoresist Stripping in Oxygen Microwave Plasmas. J. Electrochem. Soc. 1982, 129, 2537. [Google Scholar] [CrossRef]
- West, A.; Van Der Schans, M.; Xu, C.; Cooke, M.; Wagenaars, E. Fast, Downstream Removal of Photoresist Using Reactive Oxygen Species from the Effluent of an Atmospheric Pressure Plasma Jet. Plasma Sources Sci. Technol. 2016, 25, 02LT01. [Google Scholar] [CrossRef]
- Kikuchi, M.; Bersin, R. A Dry Process for Stripping As+ Ion-Implanted Photoresist. Jpn. J. Appl. Phys. 1992, 31, 2035–2040. [Google Scholar] [CrossRef]
- Wang, S.; Xu, X.; Zhao, L.; Ye, T. Photoresist Etching by Atmospheric Pressure Uniform-Glow Plasma. Jpn. J. Appl. Phys. Part 1 Regul. Pap. Short Notes Rev. Pap. 2007, 46, 5294–5296. [Google Scholar] [CrossRef]
- Hartney, M.A.; Hess, D.W.; Soane, D.S. Oxygen Plasma Etching for Resist Stripping and Multilayer Lithography Critical Review Oxygen Plasma Etching for Resist Stripping and Multilayer Lithography. J. Vac. Sci. Technol. B Microelectron. Process. Phenom. 1989, 7, 1–13. [Google Scholar] [CrossRef]
- Shim, K.H.; Yang, H.Y.; Kil, Y.H.; Yang, H.D.; Yang, J.H.; Hong, W.K.; Kang, S.; Jeong, T.S.; Kim, T.S. Nanoscale Dry Etching of Germanium by Using Inductively Coupled CF 4 Plasma. Electron. Mater. Lett. 2012, 8, 423–428. [Google Scholar] [CrossRef]
- Ishikawa, K.; Karahashi, K.; Ishijima, T.; Cho, S.I.; Elliott, S.; Hausmann, D.; Mocuta, D.; Wilson, A.; Kinoshita, K. Progress in Nanoscale Dry Processes for Fabrication of High-Aspect-Ratio Features: How Can We Control Critical Dimension Uniformity at the Bottom? Jpn. J. Appl. Phys. 2018, 57, 06JA01. [Google Scholar] [CrossRef]
- Huang, C.K.; Chen, Y.H.; Liang, Y.C.; Wu, T.B.; Chen, H.L.; Chao, W.C. Fabrication of Nanoscale PtOx/PZT/PtOx Capacitors by e-Beam Lithography and Plasma Etching with Photoresist Mask. Electrochem. Solid-State Lett. 2006, 9, 51–54. [Google Scholar] [CrossRef]
- Hua, X.; Engelmann, S.; Oehrlein, G.S.; Jiang, P.; Lazzeri, P.; Iacob, E.; Anderle, M. Studies of Plasma Surface Interactions during Short Time Plasma Etching of 193 and 248 Nm Photoresist Materials. J. Vac. Sci. Technol. B Microelectron. Nanom. Struct. 2006, 24, 1850. [Google Scholar] [CrossRef]
- Ponoth, S.; Agarwal, N.; Persans, P.; Plawsky, J. Silicon CMOS BEOL Compatible Optical Waveguide Micro-Mirrors. MRS Online Proc. Libr. 2002, 744, 475–480. [Google Scholar] [CrossRef]
- Susa, Y.; Ohtake, H.; Jianping, Z.; Chen, L.; Nozawa, T. Characterization of CO2 Plasma Ashing for Less Low-Dielectric-Constant Film Damage. J. Vac. Sci. Technol. A Vac. Surf. Film. 2015, 33, 061307. [Google Scholar] [CrossRef]
- Kuo, M.-S.; Pal, A.R.; Oehrlein, G.S.; Hua, X. Mechanistic Study of Ultralow K-Compatible Carbon Dioxide in Situ Photoresist Ashing Processes. II. Interaction with Preceding Fluorocarbon Plasma Ultralow k Etching Processes. J. Vac. Sci. Technol. B Nanotechnol. Microelectron. Mater. Process. Meas. Phenom. 2010, 28, 961–967. [Google Scholar] [CrossRef]
- Thedjoisworo, B.; Cheung, D.; Crist, V. Comparison of the Effects of Downstream H2- and O2-Based Plasmas on the Removal of Photoresist, Silicon, and Silicon Nitride. J. Vac. Sci. Technol. B Nanotechnol. Microelectron. Mater. Process. Meas. Phenom. 2013, 31, 021206. [Google Scholar] [CrossRef]
- Fujimura, S.; Shinagawa, K.; Nakamura, M.; Yano, H. Additive Nitrogen Effects on Oxygen Plasma Downstream Ashing. Jpn. J. Appl. Phys. 1990, 29, 2165–2170. [Google Scholar] [CrossRef]
- Brussaard, G.J.H.; Letourneur, K.G.Y.; Schaepkens, M.; van de Sanden, M.C.M.; Schram, D.C. Stripping of Photoresist Using a Remote Thermal Ar/O2 and Ar/N2/O2 Plasma. J. Vac. Sci. Technol. B Microelectron. Nanom. Struct. 2003, 21, 61. [Google Scholar] [CrossRef]
- Guerra, V.; Sá, P.A.; Loureiro, J. Role Played by the N2(A 3Σu+) Metastable in Stationary N2 and N2-O2 Discharges. J. Phys. D Appl. Phys. 2001, 34, 1745–1755. [Google Scholar] [CrossRef]
- Merlino, R.L. Understanding Langmuir Probe Current-Voltage Characteristics. Am. J. Phys. 2007, 75, 1078–1085. [Google Scholar] [CrossRef]
- Chen, F.F. Langmuir Probe Analysis for High Density Plasmas. Phys. Plasmas 2001, 8, 3029–3041. [Google Scholar] [CrossRef]
- Sudit, I.D.; Woods, R.C. A Study of the Accuracy of Various Langmuir Probe Theories. J. Appl. Phys. 1994, 76, 4488–4498. [Google Scholar] [CrossRef]
- Gottscho, R.A.; Donnelly, V.M. Optical Emission Actinometry and Spectral Line Shapes in Rf Glow Discharges. J. Appl. Phys. 1984, 56, 245–250. [Google Scholar] [CrossRef]
- Katsch, H.M.; Tewes, A.; Quandt, E.; Goehlich, A.; Kawetzki, T.; Döbele, H.F. Detection of Atomic Oxygen: Improvement of Actinometry and Comparison with Laser Spectroscopy. J. Appl. Phys. 2000, 88, 6232–6238. [Google Scholar] [CrossRef]
- Zhu, X.M.; Pu, Y.K. Optical Emission Spectroscopy in Low-Temperature Plasmas Containing Argon and Nitrogen: Determination of the Electron Temperature and Density by the Line-Ratio Method. J. Phys. D Appl. Phys. 2010, 43, 403001. [Google Scholar] [CrossRef]
- Devia, D.M.; Rodriguez-Restrepo, L.V.; Restrepo-Parra, E. Methods Employed in Optical Emission Spectroscopy Analysis: A Review. Ing. Y Cienc. 2015, 11, 239–267. [Google Scholar] [CrossRef]
- Chung, T.H.; Ra Kang, H.; Bae, M.K. Optical Emission Diagnostics with Electric Probe Measurements of Inductively Coupled Ar/O2/Ar-O2 Plasmas. Phys. Plasmas 2012, 19, 113502. [Google Scholar] [CrossRef]
- Woo, J.-C.; Ha, T.-K.; Kim, C.-I. The Dry Etching Characteristics of HfAlO3 Thin Films in CF4/Cl2/Ar Inductively Coupled Plasma. J. Electrochem. Soc. 2011, 159, D26–D30. [Google Scholar] [CrossRef]
- Karakas, E.; Donnelly, V.M.; Economou, D.J. Optical Emission Spectroscopy and Langmuir Probe Diagnostics of CH3F/O2 Inductively Coupled Plasmas. J. Appl. Phys. 2013, 113, 213301. [Google Scholar] [CrossRef]
- Li, H.; Zhou, Y.; Donnelly, V.M. Optical and Mass Spectrometric Measurements of Dissociation in Low Frequency, High Density, Remote Source O2/Ar and NF3/Ar Plasmas. J. Vac. Sci. Technol. A 2020, 38, 023011. [Google Scholar] [CrossRef]
- Cullen, P.J. Spectroscopic Characterization of a Radio-Frequency Argon Plasma Jet Discharge in Ambient Air. Prog. Theor. Exp. Phys. 2015, 2015, 1–17. [Google Scholar] [CrossRef]
- Lock, E.H.; Fernsler, R.F.; Slinker, S.; Walton, S.G. Experimental and Theoretical Estimation of Excited Species Generation in Pulsed Electron Beam—Generated Plasmas Produced in Pure Argon, Nitrogen, Oxygen, and Their Mixtures; Naval Research Laboratory: Washington, DC, USA, 2011. [Google Scholar]
- Conde, L. An Introduction to Langmuir Probe Diagnostics of Plasmas; ETSI Aeronáut Ngenieros Aeronáuticos Universidad Politécnica de Madrid: Madrid, Spain, 2011. [Google Scholar]
- Park, H.; You, S.J.; Choe, W. Correlation between Excitation Temperature and Electron Temperature with Two Groups of Electron Energy Distributions. Phys. Plasmas 2010, 17, 11–15. [Google Scholar] [CrossRef]
- Fuller, N.C.M.; Malyshev, M.V.; Donnelly, V.M.; Herman, I.P. Characterization of Transformer Coupled Oxygen Plasmas by Trace Rare Gases-Optical Emission Spectroscopy and Langmuir Probe Analysis. Plasma Sources Sci. Technol. 2000, 9, 116–127. [Google Scholar] [CrossRef]
- Lee, J.K.; Lee, H.C.; Chung, C.W. E-H Mode Transition in Inductively Coupled Plasma Using Ar, O2, N2, and Mixture Gas. Curr. Appl. Phys. 2011, 11, S149–S153. [Google Scholar] [CrossRef]
- Lee, H.C.; Lee, J.K.; Chung, C.W. Evolution of the Electron Energy Distribution and E-H Mode Transition in Inductively Coupled Nitrogen Plasma. Phys. Plasmas 2010, 17, 033506. [Google Scholar] [CrossRef]
- Phys, J.A. Floating Harmonics Method for Measuring Electron Temperature in Non-Maxwellian Plasmas. J. Appl. Phys. 2010, 107, 103312. [Google Scholar] [CrossRef]
- Germany, G.A.; Anderson, R.J.; Salamo, G.J. Electron Impact Excitation of the 3p(5P) State of Atomic Oxygen. J. Chem. Phys. 1988, 89, 1999–2002. [Google Scholar] [CrossRef]
- Bilik, N.; Anthony, R.; Merritt, B.A.; Aydil, E.S.; Kortshagen, U.R. Langmuir Probe Measurements of Electron Energy Probability Functions in Dusty Plasmas. J. Phys. D Appl. Phys. 2015, 48, 105204. [Google Scholar] [CrossRef]







Publisher’s Note: MDPI stays neutral with regard to jurisdictional claims in published maps and institutional affiliations. |
© 2022 by the authors. Licensee MDPI, Basel, Switzerland. This article is an open access article distributed under the terms and conditions of the Creative Commons Attribution (CC BY) license (https://creativecommons.org/licenses/by/4.0/).
Share and Cite
You, Y.-B.; Lee, Y.-S.; Kim, S.-J.; Cho, C.-H.; Seong, I.-H.; Jeong, W.-N.; Choi, M.-S.; You, S.-J. Influence of Additive N2 on O2 Plasma Ashing Process in Inductively Coupled Plasma. Nanomaterials 2022, 12, 3798. https://doi.org/10.3390/nano12213798
You Y-B, Lee Y-S, Kim S-J, Cho C-H, Seong I-H, Jeong W-N, Choi M-S, You S-J. Influence of Additive N2 on O2 Plasma Ashing Process in Inductively Coupled Plasma. Nanomaterials. 2022; 12(21):3798. https://doi.org/10.3390/nano12213798
Chicago/Turabian StyleYou, Ye-Bin, Young-Seok Lee, Si-Jun Kim, Chul-Hee Cho, In-Ho Seong, Won-Nyoung Jeong, Min-Su Choi, and Shin-Jae You. 2022. "Influence of Additive N2 on O2 Plasma Ashing Process in Inductively Coupled Plasma" Nanomaterials 12, no. 21: 3798. https://doi.org/10.3390/nano12213798
APA StyleYou, Y.-B., Lee, Y.-S., Kim, S.-J., Cho, C.-H., Seong, I.-H., Jeong, W.-N., Choi, M.-S., & You, S.-J. (2022). Influence of Additive N2 on O2 Plasma Ashing Process in Inductively Coupled Plasma. Nanomaterials, 12(21), 3798. https://doi.org/10.3390/nano12213798

