Novel InGaSb/AlP Quantum Dots for Non-Volatile Memories
Abstract
1. Introduction
2. Calculation Procedure
2.1. Critical Sizes Calculation
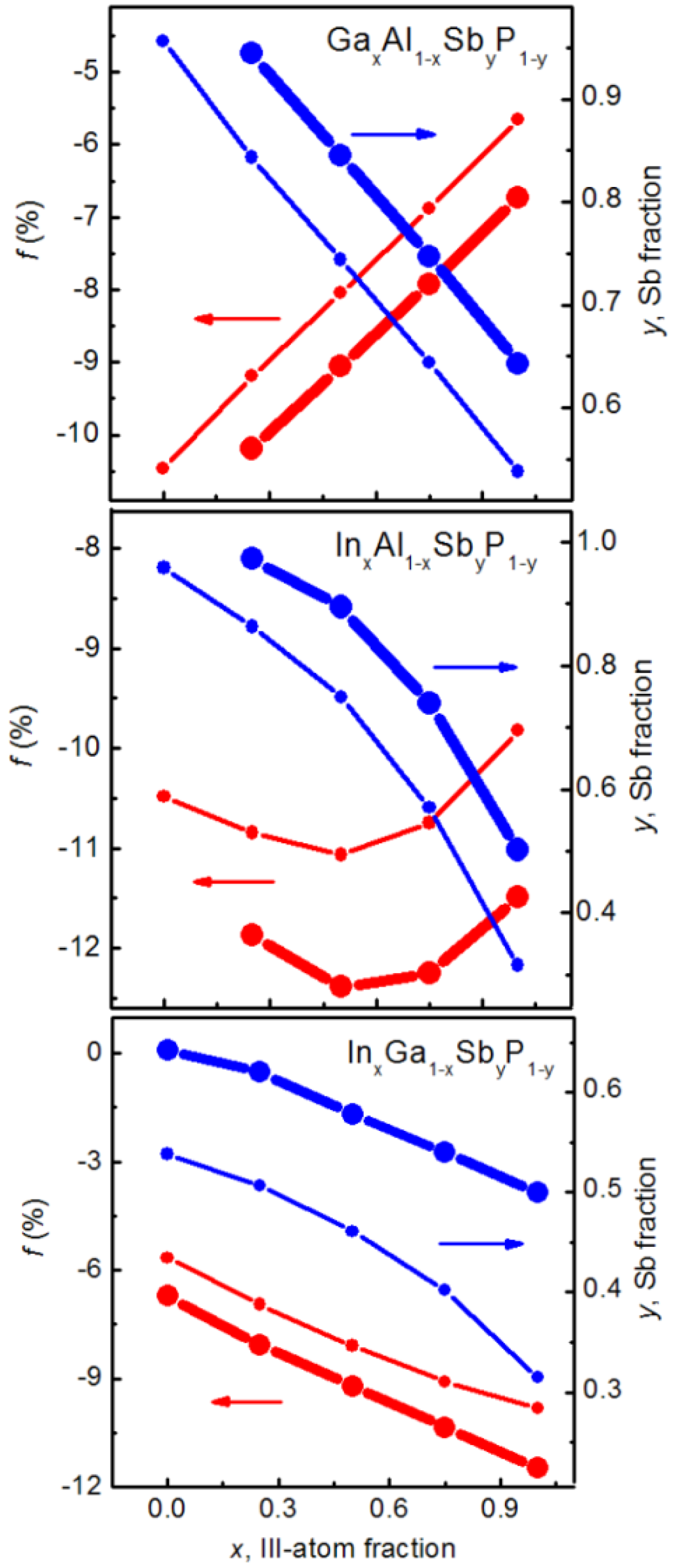
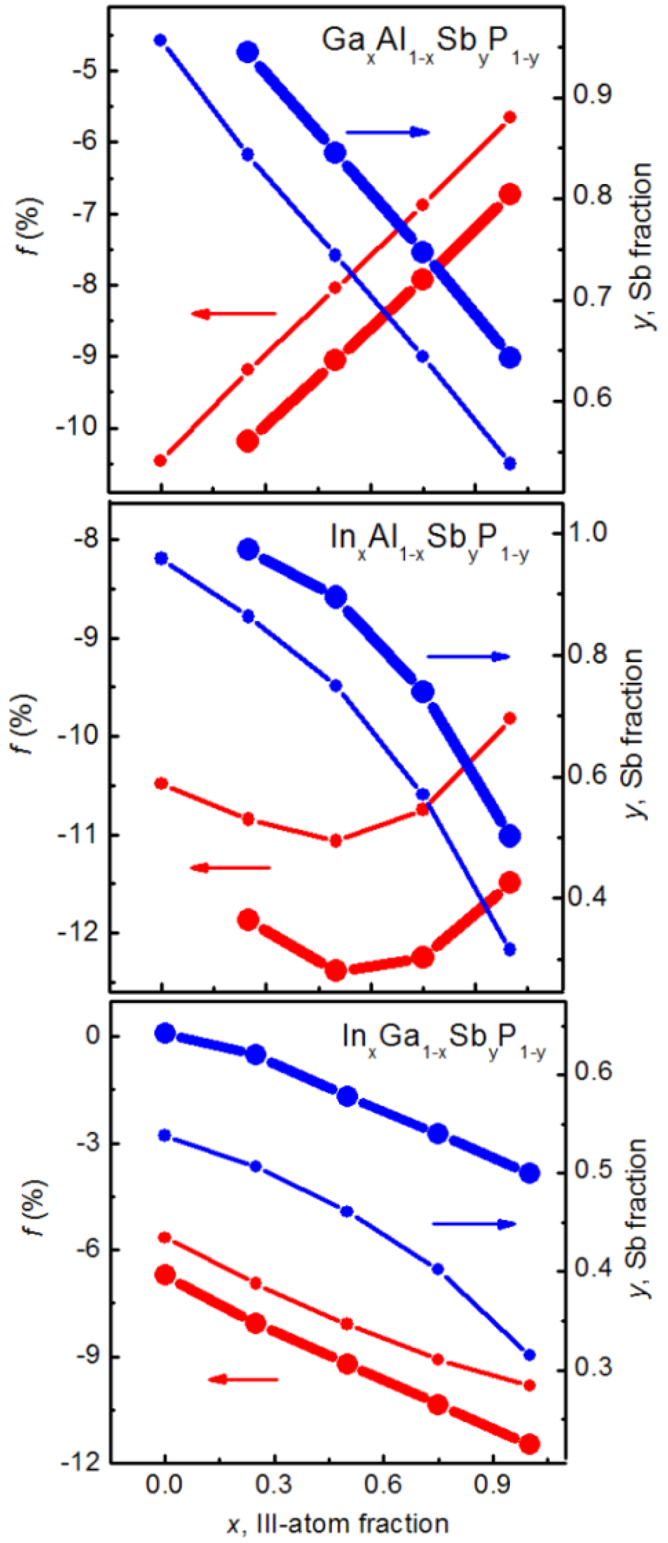
2.2. Effect of Alloy Composition
2.3. Strain Distribution
2.4. Band Alignment Calculation
2.5. Energy Levels
2.6. Material Parameters
3. Results
3.1. Critical SAQD Sizes
3.2. Strain Distribution and Band Alignment
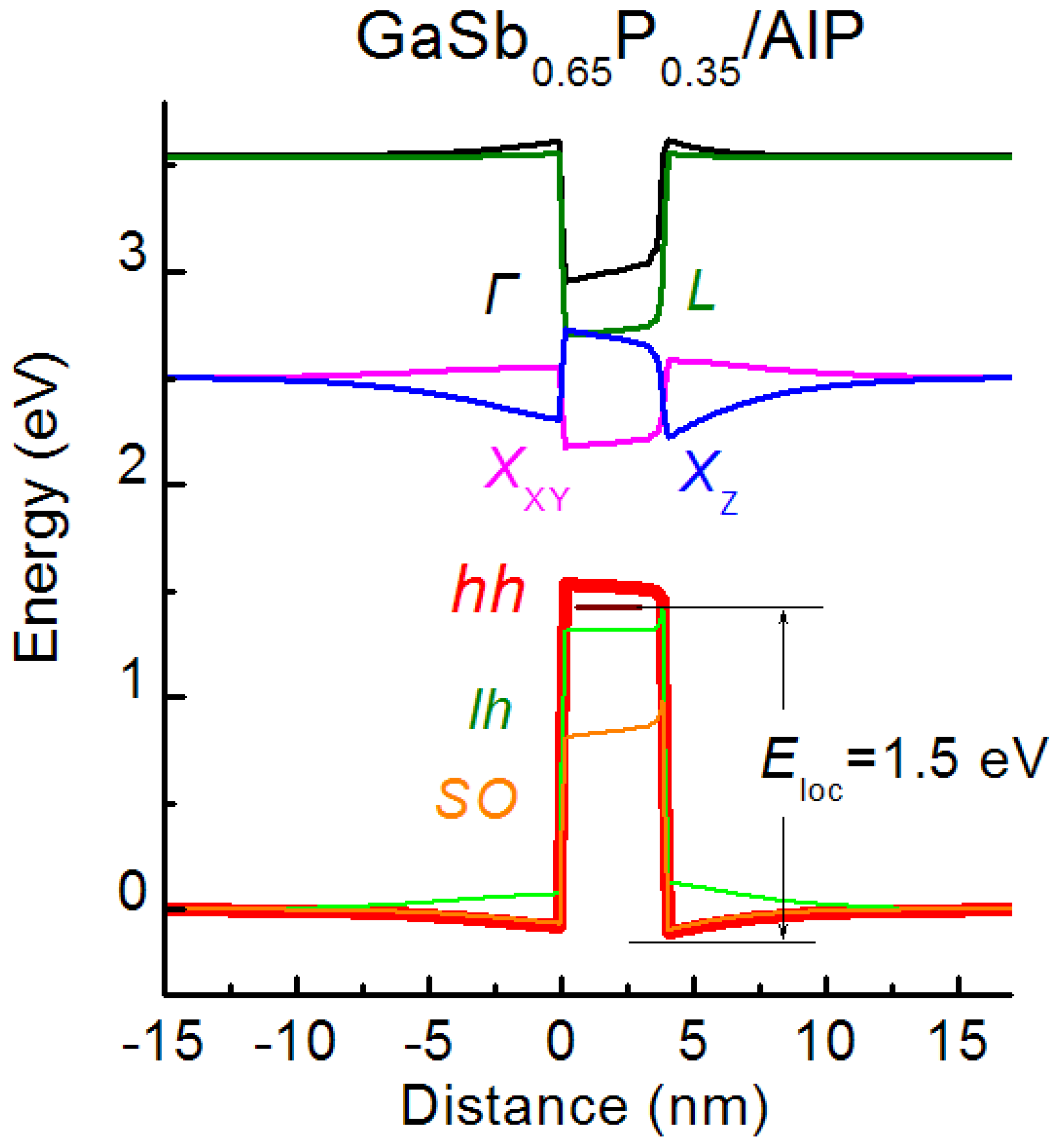
3.3. Band Alignment and Localization Energy
4. Discussion
5. Conclusions
Supplementary Materials
Author Contributions
Funding
Institutional Review Board Statement
Informed Consent Statement
Data Availability Statement
Conflicts of Interest
References
- Sanmartin-Matalobos, J.; Bermejo-Barrera, P.; Aboal-Somoza, M.; Fondo, M.; Garcia-Deibe, A.M.; Corredoira-Vazquez, J.; Alves-Iglesias, Y. Semiconductor Quantum Dots as Target Analytes: Properties, Surface Chemistry and Detection. Nanomaterials 2022, 12, 2501. [Google Scholar] [CrossRef]
- Svit, K.A.; Zarubanov, A.A.; Duda, T.A.; Trubina, S.V.; Zvereva, V.V.; Fedosenko, E.V.; Zhuravlev, K.S. Crystal Structure and Predominant Defects in CdS Quantum Dots Fabricated by the Langmuir−Blodgett Method. Langmuir 2021, 37, 5651. [Google Scholar] [CrossRef]
- Wang, Z.M. Self Assembled Quantum Dots; Springer: New York, NY, USA, 2008. [Google Scholar]
- Wu, J.; Peng, J. Self-assembly of InAs quantum dots on GaAs(001) by molecular beam epitaxy. Front. Phys. 2015, 10, 7–58. [Google Scholar] [CrossRef]
- Yakimov, A.I.; Kirienko, V.V.; Utkin, D.E.; Dvurechenskii, A.V. Light-Trapping-EnhancedPhotodetection in Ge/Si Quantum Dot Photodiodes Containing Microhole Arrays with Different Hole Depths Depths. Nanomaterials 2022, 12, 2993. [Google Scholar] [CrossRef]
- Xu, B.; Wang, G.; Du, Y.; Miao, Y.; Li, B.; Zhao, X.; Lin, H.; Yu, J.; Su, J.; Dong, Y.; et al. Radamson Monolithic Integration of O-Band InAs Quantum Dot Lasers with Engineered GaAs Virtual Substrate Based on Silicon. Nanomaterials 2022, 12, 2704. [Google Scholar] [CrossRef]
- Trevisi, G.; Seravalli, L.; Friger, P. Photoluminescence monitoring of oxide formation and surface state passivation on InAs quantum dots exposed to water vapor. Nano Res. 2016, 9, 3018. [Google Scholar] [CrossRef]
- Tang, T.; Yu, T.; Yang, G.; Sun, J.; Zhan, W.; Xu, B.; Zhao, C.; Wang, Z. Investigation into the InAs/GaAs quantum dot material epitaxially grown on silicon for O band lasers. J. Semicond. 2022, 43, 012301. [Google Scholar] [CrossRef]
- Yu, P.; Wu, J.; Gao, L.; Liu, H.; Wang, Z. InGaAs and GaAs quantum dot solar cells grown by droplet epitaxy. Sol. Energy Mater. Sol. Cells 2017, 161, 377. [Google Scholar] [CrossRef]
- Huang, X.; Su, R.; Yang, J.; Rao, M.; Liu, J.; Yu, Y.; Yu, S. Wafer-Scale Epitaxial Low Density InAs/GaAs Quantum Dot for Single Photon Emitter in Three-Inch Substrate. Nanomaterials 2021, 11, 930. [Google Scholar] [CrossRef]
- Von Helversen, M.; Haisler, A.V.; Daurtsev, M.P.; Dmitriev, D.V.; Toropov, A.I.; Rodt, S.; Haisler, V.A.; Derebezov, I.A.; Reitzenstein, S. Triggered Single-Photon Emission of Resonantly Excited Quantum Dots Grown on (111)B GaAs Substrate. Phys. Status Solidi RRL 2022, 16, 2200133. [Google Scholar] [CrossRef]
- Marent, A.; Nowozin, T.; Gelze, J.; Luckert, F.; Bimberg, D. Hole-based memory operation in an InAs/GaAs quantum dot heterostructure. Appl. Phys. Lett. 2009, 95, 242114. [Google Scholar] [CrossRef]
- Marent, A.; Nowozin, T.; Geller, M.; Bimberg, D. The QD-Flash: A quantum dot-based memory device, Semicond. Sci. Technol. 2011, 26, 014026. [Google Scholar] [CrossRef]
- Nowozin, T.; Narodovitch, M.; Bonato, L.; Bimberg, D.; Ajour, M.N. Khaled Daqrouq and Abdullah Balamash, Room-Temperature Hysteresis in a Hole-Based Quantum Dots Memory Structure. J. Nanotech. 2013, 2013, 797964. [Google Scholar] [CrossRef]
- Arikan, I.F.; Cottet, N.; Nowozin, T.; Bimberg, D. Transparency Engineering in Quantum Dot-Based Memories. Phys. Stat. Solidi A 2018, 215, 1800018. [Google Scholar] [CrossRef]
- Geller, M.; Marent, A.; Stock, E.; Bimberg, D.; Zubkov, V.I.; Shulgunova, I.S.; Solomonov, A.V. Hole capture into self-organized InGaAs quantum dots. Appl. Phys. Lett. 2006, 89, 232105. [Google Scholar] [CrossRef]
- Chau, R.; Datta, S.; Majumdar, A. Opportunities and Challenges of III-V Nanoelectronics for Future High-Speed, Low-Power Logic Applications. In Proceedings of the Technical Digest-IEEE Compound Semiconductor Integrated Circuit Symposium, Palm Springs, CA, USA, 30 October 2005–2 November 2005; p. 4. [Google Scholar] [CrossRef]
- Riel, H.; Wernersson, L.-E.; Hong, M.; del Alamo, J.A. III–V compound semiconductor transistors—From planar to nanowire structures. MRS Bull. 2014, 39, 668. [Google Scholar] [CrossRef]
- Nowozin, T.; Marent, A.; Bonato, L.; Schliwa, A.; Bimberg, D.; Smakman, E.P.; Garleff, J.K.; Koenraad, P.M.; Young, R.J.; Hayne, M. Linking structural and electronic properties of high-purity self-assembled GaSb/GaAs quantum dots. Phys. Rev. B 2012, 86, 035305. [Google Scholar] [CrossRef]
- Hayne, M.; Young, R.J.; Smakman, E.P.; Nowozin, T.; Hodgson, P.; Garleff, J.K.; Rambabu, P.; Koenraad, P.M.; Marent, A.; Bonato, L.; et al. The structural, electronic and optical properties of GaSb/GaAs nanostructures for charge-based memory. J. Phys. D Appl. Phys. 2013, 46, 264001. [Google Scholar] [CrossRef]
- Baik, M.; Kyhm, J.-h.; Kang, H.-K.; Jeong, K.-S.; Kim, J.S.; Cho, M.-H.; Song, J.D. Optical characteristics of type-II hexagonal-shaped GaSb quantum dots on GaAs synthesized using nanowire self-growth mechanism from Ga metal droplet. Sci. Rep. 2021, 11, 7699. [Google Scholar] [CrossRef]
- Nowozin, T.; Bonato, L.; Hogner, A.; Wiengarten, A.; Bimberg, D.; Lin, W.-H.; Lin, S.-Y.; Reyner, C.J.; Liang, B.L.; Huffaker, D.L. 800 meV localization energy in GaSb/GaAs/Al0.3Ga0.7As quantum dots. Appl. Phys. Lett. 2013, 102, 052115. [Google Scholar] [CrossRef]
- Shoji, Y.; Tamaki, R.; Okada, Y. Temperature Dependence of Carrier Extraction Processes in GaSb/AlGaAs Quantum Nanostructure Intermediate-Band Solar Cells. Nanomaterials 2021, 11, 344. [Google Scholar] [CrossRef] [PubMed]
- Shamirzaev, T.S.; Abramkin, D.S.; Gutakovskii, A.K.; Putyato, M.A. Novel Self-Assembled Quantum Dots in the GaSb/AlAs Heterosystem. JETP Lett. 2012, 95, 534–536. [Google Scholar] [CrossRef]
- Abramkin, D.S.; Rumynin, K.M.; Bakarov, A.K.; Kolotovkina, D.A.; Gutakovskii, A.K.; Shamirzaev, T.S. Quantum Dots Formed in InSb/AlAs and AlSb/AlAs Heterostructure. JETP Lett. 2016, 103, 692–698. [Google Scholar] [CrossRef]
- Stracke, G.; Glacki, A.; Nowozin, T.; Bonato, L.; Rodt, S.; Prohl, C.; Lenz, A.; Eisele, H.; Schliwa, A.; Strittmatter, A.; et al. Growth of In0.25Ga0.75As quantum dots on GaP utilizing a GaAs interlayer. Appl. Phys. Lett. 2012, 101, 223110. [Google Scholar] [CrossRef]
- Bonato, L.; Sala, E.M.; Stracke, G.; Nowozin, T.; Strittmatter, A.; Ajour, M.N.; Daqrouq, K.; Bimberg, D. 230 s room-temperature storage time and 1.14eV hole localization energy in In0.5Ga0.5As quantum dots on a GaAs interlayer in GaP with an AlP barrier. Appl. Phys. Lett. 2015, 106, 042102. [Google Scholar] [CrossRef]
- Abramkin, D.S.; Shamirzaev, V.T.; Putyato, M.A.; Gutakovskii, A.K.; Shamirzaev, T.S. Coexistence of type-I and type-II band alignment in Ga(Sb, P)/GaP heterostructures with pseudomorphic self-assembled quantum dots. JETP Lett. 2014, 99, 76–81. [Google Scholar] [CrossRef]
- Bonato, L.; Arikan, I.F.; Desplanque, L.; Coinon, C.; Wallart, X.; Wang, Y.; Ruterana, P.; Bimberg, D. Hole localization energy of 1.18eV in GaSb quantum dots embedded in GaP. Phys. Status Solidi B 2016, 253, 1869. [Google Scholar] [CrossRef][Green Version]
- Sala, E.M.; Stracke, G.; Selve, S.; Niermann, T.; Lehmann, M.; Schlichting, S.; Nippert, F.; Callsen, G.; Strittmatter, A.; Bimberg, D. Growth and structure of In0.5Ga0.5Sb quantum dots on GaP(001). Appl. Phys. Lett. 2016, 109, 102102. [Google Scholar] [CrossRef]
- Sala, E.M.; Arikan, I.F.; Bonato, L.; Bertram, F.; Veit, P.; Christen, J.; Strittmatter, A.; Bimberg, D. MOVPE-Growth of InGaSb/AlP/GaP(001) Quantum Dots for Nanoscale Memory Applications. Phys. Status Solidi B 2018, 225, 1800182. [Google Scholar] [CrossRef]
- Bimberg, D.; Mikolajick, T.; Wallart, X. Novel Quantum Dot Based Memories with Many Days of Storage Time. In Proceedings of the NVMTS 2019-Non-Volatile Memory Technology Symposium, Durham, NC, USA, 28–30 October 2019; p. 8986178. [Google Scholar] [CrossRef]
- Vurgaftman, I.; Meyer, J.R.; Ram-Mohan, L.R. Band parameters for III–V compound semiconductors and their alloys. J. Appl. Phys. 2001, 89, 5815. [Google Scholar] [CrossRef]
- Nowozin, T.; Bimberg, D.; Ajour, M.N.; Awedh, M. Materials for Future Quantum Dot-Based Memories. J. Nanomater. 2013, 2013, 215613. [Google Scholar] [CrossRef]
- Liu, N.; Tersoff, J.; Baklenov, O.; Holmes, A.L., Jr.; Shih, C.K. Nonuniform Composition Profile in In0.5Ga0.5As Alloy Quantum Dots. Phys. Rev. Lett. 2000, 84, 334. [Google Scholar] [CrossRef] [PubMed]
- Bruls, D.M.; Vugs, J.W.A.M.; Koenraad, P.M.; Salemink, H.W.M.; Hopkinson, J.H.W.M.; Skolnick, M.S.; Long, F.; Gill, S.P.A. Determination of the shape and indium distribution of low-growth-rate InAs quantum dots by cross-sectional scanning tunneling microscopy. Appl. Phys. Lett. 2002, 81, 1708. [Google Scholar] [CrossRef]
- Abouzaid, O.; Mehdi, H.; Martin, M.; Moeyaert, J.; Salem, B.; David, S.; Souifi, A.; Chauvin, N.; Hartmann, J.-M.; Ilahi, B.; et al. O-Band Emitting InAs Quantum Dots Grown by MOCVD on a 300mm Ge-Buffered Si(001) Substrate. Nanomaterials 2020, 10, 2450. [Google Scholar] [CrossRef]
- McCaffrey, J.P.; Robertson, M.D.; Poole, P.J.; Riel, B.J.; Fafard, S. Interpretation and modeling of buried InAs quantum dots on GaAs and InP substrates. J. Appl. Phys. 2001, 90, 1784. [Google Scholar] [CrossRef]
- Walther, T.; Cullis, A.G.; Norris, D.J.; Hopkinson, M. Nature of the Stranski-Krastanow Transition during Epitaxy of InGaAs on GaAs. Phys. Rev. Lett. 2001, 86, 2381. [Google Scholar] [CrossRef]
- Eisele, H.; Lenz, A.; Heitz, R.; Timm, R.; Dähne, M.; Temko, Y.; Suzuki, T.; Jacob, K. Change of InAs/GaAs quantum dot shape and composition during capping. J. Appl. Phys. 2008, 104, 124301. [Google Scholar] [CrossRef]
- Desplanque, L.; Coinon, C.; Troadec, D.; Ruterana, P.; Patriarche, G.; Bonato, L.; Bimberg, D.; Wallart, X. Morphology and valence band offset of GaSb quantum dots grown on GaP (001) and their evolution upon capping. Nanotechnology 2017, 28, 225601. [Google Scholar] [CrossRef]
- Van de Walle, C.G. Band lineups and deformation potentials the model-solid theory. Phys. Rev. B 1989, 39, 1871. [Google Scholar] [CrossRef]
- LeGoues, F.K.; Tersoff, J.; Reuter, M.C.; Hammar, M.; Tromp, R. Relaxation mechanism of Ge islands/Si(001) at low temperature. Appl. Phys. Lett. 1995, 67, 2317. [Google Scholar] [CrossRef]
- Knelangen, M.; Consonni, V.; Trampert, A.; Riechert, H. In situ analysis of strain relaxation during catalyst-free nucleation and growth of GaN nanowires. Nanotechnology 2010, 21, 245705. [Google Scholar] [CrossRef] [PubMed]
- Li, W.; Wang, L.; Chai, R.; Wen, L.; Wang, Z.; Guo, W.; Wang, H.; Yang, S. Anisotropic Strain Relaxation in Semipolar (11-22) InGaN/GaN Superlattice Relaxed Templates. Nanomaterials 2022, 12, 3007. [Google Scholar] [CrossRef] [PubMed]
- Du, Y.; Xu, B.; Wang, G.; Miao, Y.; Li, B.; Kong, Z.; Dong, Y.; Wang, W.; Radamson, H.H. Review of Highly Mismatched III-V Heteroepitaxy Growth on (001) Silicon. Nanomaterials 2022, 12, 741. [Google Scholar] [CrossRef] [PubMed]
- Djie, H.S.; Wang, D.-N.; Ooi, B.S.; Hwang, J.C.M.; Fang, X.-M.; Wu, Y.; Fastenau, J.M.; Liu, W.K. Intermixing of InGaAs quantum dots grown by cycled, monolayer deposition. J. Appl. Phys. 2006, 100, 033527. [Google Scholar] [CrossRef]
- Jiang, C.; Sakaki, H. Sb/As intermixing in self-assembled GaSb/GaAs type II quantum dot systems and control of their photoluminescence spectra. Phys. E 2005, 26, 180–184. [Google Scholar] [CrossRef]
- Lever, P.; Fu, L.; Jagadish, C.; Gal, M.; Tan, H.H. Interdiffusion in Semiconductor Quantum Dot Structure. Mat. Res. Soc. Symp. Proc. 2003, 744, 65. [Google Scholar] [CrossRef]
- Walther, T. Measurement of Diffusion and Segregation in Semiconductor Quantum Dots and Quantum Wells by Transmission Electron Microscopy: A Guide. Nanomaterials 2019, 9, 872. [Google Scholar] [CrossRef]
- Muraki, K.; Fukatsu, S.; Shiraki, Y.; Ito, R. Surface segregation of In atoms during molecular beam epitaxy and its influence on the energy levels in InGaAs/GaAs quantum wells. Appl. Phys. Lett. 1992, 61, 557. [Google Scholar] [CrossRef]
- Fukatsu, S.; Fujita, K.; Yaguchi, H.; Shiraki, Y.; Ito, R. Self-limitation in the surface segregation of Ge atoms during Si molecular beam epitaxial growth. Appl. Phys. Lett. 1991, 59, 2103. [Google Scholar] [CrossRef]
- Hong, K.-B.; Kuo, M.-K. Effects of Segregation on the Strain Fields and Electronic Structures of InAs Quantum Dots. In Proceedings of the ASME 2009 International Mechanical Engineering Congress and Exposition, Lake Buena Vista, FL, USA, 13–19 November 2009; Micro and Nano Systems. Volume 12, pp. 57–62. [Google Scholar] [CrossRef]
- Haxha, V.; Drouzas, I.; Ulloa, J.M.; Bozkurt, M.; Koenraad, P.M.; Mowbray, D.J.; Liu, H.Y.; Steer, M.J.; Hopkinson, M.; Migliorato, M.A. Role of segregation in InAs/GaAs quantum dot structures capped with a GaAsSb strain-reduction layer. Phys. Rev. B 2009, 80, 165334. [Google Scholar] [CrossRef]
- Mura, E.E.; Gocalinska, A.; Juska, G.; Moroni, S.T.; Pescaglini, A.; Pelucchi, E. Tuning InP self-assembled quantum structures to telecom wavelength: A versatile original InP(As) nanostructure “workshop”. Appl. Phys. Lett. 2017, 110, 113101. [Google Scholar] [CrossRef]
- Brasil, M.J.S.P.; Nahory, R.E.; Tamargo, M.C.; Schwarz, S.A. Roughness at the interface of thin InP/InAs quantum wells. Appl. Phys. Lett. 1993, 63, 2688. [Google Scholar] [CrossRef]
- Taskinen, M.; Sopanen, M.; Lipsanen, H.; Tulkki, J.; Tuomi, T.; Ahopelto, J. Self-organized InAs islands on (100) InP by metalorganic vapor-phase epitaxy. Surf. Sci. 1997, 376, 60. [Google Scholar] [CrossRef]
- Wang, B.; Zhao, F.; Peng, Y.; Jin, Z.; Li, Y.; Liu, S. Self-organized InAs quantum dots formation by As/P exchange reaction on (001) InP substrate. Appl. Phys. Lett. 1998, 72, 2433. [Google Scholar] [CrossRef]
- Steindl, P.; Sala, E.M.; Alen, B.; Marron, D.F.; Bimberg, D.; Klenovsky, P. Optical response of (InGa)(AsSb)/GaAs quantum dots embedded in a GaP matrix. Phys. Rev. B. 2019, 100, 195407. [Google Scholar] [CrossRef]
- Xie, H.; Prioli, R.; Fischer, A.M.; Ponce, F.A.; Kawabata, R.M.S.; Pinto, L.D.; Jakomin, R.; Pires, M.P.; Souza, P.L. Improved optical properties of InAs quantum dots for intermediate band solar cells by suppression of misfit strain relaxation. J. Appl. Phys. 2016, 120, 034301. [Google Scholar] [CrossRef]
- Fischer, A.; Kuhne, H.; Richter, H. New Approach in Equilibrium Theory for Strained Layer Relaxation. Phys. Rev. Lett. 1994, 73, 2712. [Google Scholar] [CrossRef]
- Roble, A.A.; Patra, S.K.; Massabuau, F.; Frentrup, M.; Leontiadou, M.A.; Dawson, P.; Kappers, M.J.; Oliver, R.A.; Graham, D.M.; Schulz, S. Impact of alloy fluctuations and Coulomb effects on the electronic and optical properties of c-plane GaN/AlGaN quantum wells. Sci. Rep. 2019, 9, 18862. [Google Scholar] [CrossRef]
- Luo, S.; Wang, Y.; Liang, B.; Wang, C.; Wang, S.; Fu, G.; Mazur, Y.I.; Ware, M.E.; Salamo, G.J. Photoluminescence study of exciton localization in InGaAs bulk and InGaAs/InAlAs wide quantum well on InP (001) substrate. J. Lumin. 2022, 246, 118827. [Google Scholar] [CrossRef]
- Singh, J.; Bajaj, K.K. Role of interface roughness and alloy disorder in photoluminescence in quantum-well structures. J. Appl. Phys. 1985, 57, 5433. [Google Scholar] [CrossRef]
- Mooney, P.M.; Theis, T.N.; Calleja, E. Effect of local alloy disorder on the emission kinetics of deep donors (DX centers) in AlxGa1-xAs. J. Electron. Mater. 1991, 20, 23. [Google Scholar] [CrossRef]
- Gajjela, R.S.R.; Hendriks, A.L.; Douglas, J.O.; Sala, E.M.; Steindl, P.; Klenovský, P.; Bagot, P.A.J.; Moody, M.P.; Bimberg, D.; Koenraad, P.M. Structural and compositional analysis of (InGa)(AsSb)/GaAs/GaP Stranski–Krastanov quantum dots. Light Sci. Appl. 2021, 10, 125. [Google Scholar] [CrossRef]
- Liu, X.F.; Luo, Z.J.; Zhou, X.; Wei, J.M.; Wang, Y.; Guo, X.; Lang, Q.Z.; Ding, Z. Theoretical study of stress and strain distribution in coupled pyramidal InAs quantum dots embedded in GaAs by finite element method. Eur. Phys. J. B 2019, 92, 138. [Google Scholar] [CrossRef]
- Kosarev, A.N.; Chaldyshev, V.V.; Cherkashin, N. Experimentally-Verified Modeling of InGaAs Quantum Dots. Nanomaterials 2022, 12, 1967. [Google Scholar] [CrossRef]
- Zhang, L.; Song, Y.; Chen, Q.; Zhu, Z.; Wang, S. InPBi Quantum Dots for Super-Luminescence Diodes. Nanomaterials 2018, 8, 705. [Google Scholar] [CrossRef]
- Grundmann, M.; Stier, O.; Bimberg, D. InAs/GaAs pyramidal quantum dots: Strain distribution, optical phonons, and electronic structure. Phys. Rev. B 1995, 52, 11969. [Google Scholar] [CrossRef]
- Birner, S.; Zibold, T.; Andlauer, T.; Kubis, T.; Sabathil, M.; Trellakis, A.; Vogl, P. nextnano: General Purpose 3-D Simulations. IEEE Trans. Electron. Devices 2007, 54, 2137–2142. [Google Scholar] [CrossRef]
- Stier, O.; Grundmann, M.; Bimberg, D. Electronic and optical properties of strained quantum dots modeled by 8-band k–p theory. Phys. Rev. B 1999, 59, 5688. [Google Scholar] [CrossRef]
- Aleksandrov, I.A.; Gutakovskii, A.K.; Zhuravlev, K.S. Influence of shape of GaN/AlN quantum dots on luminescence decay law. Phys. Status Solidi A 2012, 209, 653–656. [Google Scholar] [CrossRef]
- Llorens, J.M.; Taboada, A.G.; Ripalda, J.M.; Alonso-Alvarez, D.; Alen, B.; Martın-Sanchez, J.; Garcia1, J.M.; Gonzalez, Y.; Sanchez, A.M.; Beltran, A.M.; et al. Theoretical modelling of quaternary GaInAsSb/GaAs self-assembled quantum dots. J. Phys. Conf. Ser. 2010, 245, 012081. [Google Scholar] [CrossRef]
- Joullie, A.; Eddin, A.Z.; Girault, B. Temperature dependence of the Lc6-Гc6 energy gap in gallium antimonide. Phys. Rev. B 1981, 23, 928. [Google Scholar] [CrossRef]
- Ghezzi, C.; Magnanini, R.; Parisini, A.; Rotelli, B.; Tarricone, L.; Bosacchi, A.; Franchi, S. Optical absorption near the fundamental absorption edge in Gasb. Phys. Rev. B 1995, 52, 1463. [Google Scholar] [CrossRef] [PubMed]
- Bellani, V.; di Lemia, S.; Geddo, M.; Guizzetti, G.; Bosacchi, A.; Franchi, S.; Magnanini, R. Thermoreflectance study of the direct energy gap of GaSb. Solid State Commun. 1997, 104, 81. [Google Scholar] [CrossRef]
- Wei, S.-H.; Zunger, A. Calculated natural band offsets of all II–VI and III–V semiconductors: Chemical trends and the role of cation d orbitals. Appl. Phys. Lett. 1998, 72, 2011. [Google Scholar] [CrossRef]
- Muñoz, M.C.; Armelles, G. X-point deformation potentials of III-V semiconductors in a tight-binding approach. Phys. Rev. B 1993, 48, 2839. [Google Scholar] [CrossRef] [PubMed]
- Wei, S.-H.; Zunger, A. Predicted band-gap pressure coefficients of all diamond and zinc-blende semiconductors: Chemical trends. Phys. Rev. B 1999, 60, 5404–5411. [Google Scholar] [CrossRef]
- Madelung, O. (Ed.) Semiconductors-Basic Data, 2nd ed.; Springer: New York, NY, USA, 1996. [Google Scholar]
- Abramkin, D.S.; Gutakovskii, A.K.; Shamirzaev, T.S. Heterostructures with diffused interfaces: Luminescent technique for ascertainment of band alignment type. J. Appl. Phys. 2018, 123, 115701. [Google Scholar] [CrossRef]
- Wang, J.; Xu, F.; Zhang, X.; An, W.; Li, X.; Song, J.; Ge, W.; Tian, G.; Lu, J.; Wang, X.; et al. Evidence of Type-II Band Alignment in III-nitride Semiconductors: Experimental and theoretical investigation for In0.17Al0.83N/GaN heterostructures. Sci. Rep. 2014, 4, 6521. [Google Scholar] [CrossRef]
- Abramkin, D.S.; Putyato, M.A.; Budennyy, S.A.; Gutakovskii, A.K.; Semyagin, B.R.; Preobrazhenskii, V.V.; Kolomys, O.F.; Strelchuk, V.V.; Shamirzaev, T.S. Atomic structure and energy spectrum of Ga(As,P)/GaP heterostructures. J. Appl. Phys. 2012, 112, 083713. [Google Scholar] [CrossRef]
- Abramkin, D.S.; Bakarov, A.K.; Gutakovskii, A.K.; Shamirzaev, T.S. Spinodal Decomposition in InSb/AlAs Heterostructures. Semiconductors 2018, 52, 1392. [Google Scholar] [CrossRef]
- Abramkin, D.S.; Putyato, M.A.; Gutakovskii, A.K.; Semyagin, B.R.; Preobrazhenskii, V.V.; Shamirzaev, T.S. New System of Self Assembled GaSb/GaP Quantum Dots. Semiconductors 2012, 46, 1534. [Google Scholar] [CrossRef]
- Shamirzaev, T.S.; Abramkin, D.S.; Gutakovskii, A.K.; Putyato, M.A. High quality relaxed GaAs quantum dots in GaP matrix. Appl. Phys. Lett. 2010, 97, 023108. [Google Scholar] [CrossRef]
- Stirman, J.N.; Crozier, P.A.; Smith, D.J.; Phillipp, F.; Brill, G.; Sivananthan, S. Atomic-scale imaging of asymmetric Lomer dislocation cores at the Ge/Si (001) heterointerface. Appl. Phys. Lett. 2004, 84, 2530. [Google Scholar] [CrossRef]
- Dunker, D.; Shamirzaev, T.S.; Debus, J.; Yakovlev, D.R.; Zhuravlev, K.S.; Bayer, M. Spin relaxation of negatively charged excitons in (In,Al)As/AlAs quantum dots with indirect band gap and type-I band alignment. Appl. Phys. Lett. 2012, 101, 142108. [Google Scholar] [CrossRef]
- Shamirzaev, T.S.; Rautert, J.; Yakovlev, D.R.; Debus, J.; Gornov, A.Y.; Glazov, M.M.; Ivchenko, E.L.; Bayer, M. Spin dynamics and magnetic field induced polarization of excitons in ultrathin GaAs/AlAs quantum wells with indirect band gap and type-II band alignment. Phys. Rev. B 2017, 96, 035302. [Google Scholar] [CrossRef]
- Shamirzaev, T.S.; Debus, J.; Abramkin, D.S.; Dunker, D.; Yakovlev, D.R.; Dmitriev, D.V.; Gutakovskii, A.K.; Braginsky, L.S.; Zhuravlev, K.S.; Bayer, M. Exciton recombination dynamics in an ensemble of (In,Al)As/AlAs quantum dots with indirect band-gap and type-I band alignment. Phys. Rev. B 2011, 84, 155318. [Google Scholar] [CrossRef]














Publisher’s Note: MDPI stays neutral with regard to jurisdictional claims in published maps and institutional affiliations. |
© 2022 by the authors. Licensee MDPI, Basel, Switzerland. This article is an open access article distributed under the terms and conditions of the Creative Commons Attribution (CC BY) license (https://creativecommons.org/licenses/by/4.0/).
Share and Cite
Abramkin, D.S.; Atuchin, V.V. Novel InGaSb/AlP Quantum Dots for Non-Volatile Memories. Nanomaterials 2022, 12, 3794. https://doi.org/10.3390/nano12213794
Abramkin DS, Atuchin VV. Novel InGaSb/AlP Quantum Dots for Non-Volatile Memories. Nanomaterials. 2022; 12(21):3794. https://doi.org/10.3390/nano12213794
Chicago/Turabian StyleAbramkin, Demid S., and Victor V. Atuchin. 2022. "Novel InGaSb/AlP Quantum Dots for Non-Volatile Memories" Nanomaterials 12, no. 21: 3794. https://doi.org/10.3390/nano12213794
APA StyleAbramkin, D. S., & Atuchin, V. V. (2022). Novel InGaSb/AlP Quantum Dots for Non-Volatile Memories. Nanomaterials, 12(21), 3794. https://doi.org/10.3390/nano12213794

