Potassium Iodide-Modified Lead-Free Cs3Bi2I9 Perovskites for Enhanced High-Efficiency Solar Cells
Abstract
1. Introduction
2. Materials and Methods
2.1. Materials
2.2. Preparation of Electron Transport Layer
2.3. Perovskite Solution Preparation and Device Fabrication
2.4. Film and Device Characterizations
3. Result and Discussion
3.1. Device Composition Analysis
3.2. Morphological Structure
3.3. Perovskite-Film Optical Properties
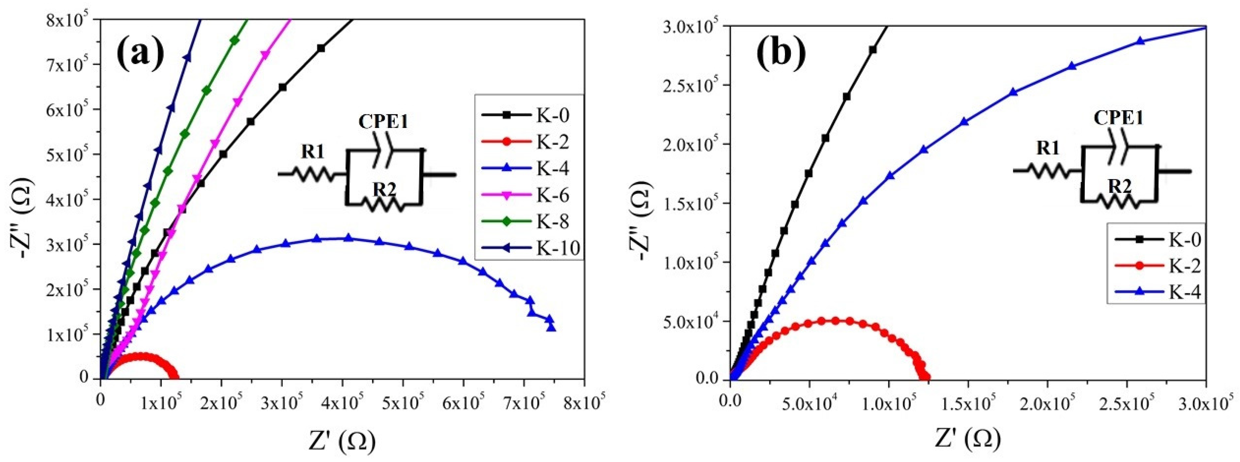
3.4. Electrochemical Impedance Spectroscopy (EIS) Characterization
3.5. Photovoltaic Properties and Perovskite-Film Device’s Stability
4. Conclusions
5. Future Prospects
- The introduction of novel device architectures may enhance the performance of PSCs.
- Bi-based PSCs may perform better if a new charge extraction/electron transport layer is developed.
- Bi-based perovskite structures can be made into high-quality thin films using several novel techniques, substantially enhancing their photovoltaic properties.
- The performance of PSCs may potentially be enhanced through solvent engineering and the doping of Bi-based perovskite structures.
Author Contributions
Funding
Institutional Review Board Statement
Informed Consent Statement
Data Availability Statement
Acknowledgments
Conflicts of Interest
References
- Park, J.-G.; Hong, K.-H. Dual-Site Compositional Engineering of Bismuth-Based Halide Perovskites for Stable and Efficient Lead-Free Solar Cells. J. Phys. Chem. C 2021, 125, 13138–13145. [Google Scholar] [CrossRef]
- Arjmand, F.; Golshani, Z.; Fatemi, S.J.; Maghsoudi, S.; Naeimi, A.; Hosseini, S.M.A. The Lead-Free Perovskite Solar Cells with the Green Synthesized BiI3 and AgI Nanoparticles Using Vitex Agnus-Castus Plant Extract for HTM-Free and Carbon-Based Solar Cells. J. Mater. Res. Technol. 2022, 18, 1922–1933. [Google Scholar] [CrossRef]
- Ghosh, S.; Shankar, H.; Kar, P. Recent Developments of Lead-Free Halide Double Perovskites: A New Superstar in the Optoelectronic Field. Mater. Adv. 2022, 3, 3742–3765. [Google Scholar] [CrossRef]
- Hamukwaya, S.L.; Hao, H.; Zhao, Z.; Dong, J.; Zhong, T.; Xing, J.; Hao, L.; Mashingaidze, M.M. A Review of Recent Developments in Preparation Methods for Large-Area Perovskite Solar Cells. Coatings 2022, 12, 252. [Google Scholar] [CrossRef]
- Nair, S.; Gohel, J.V. Impact of Stress Testing and Passivation Strategies on Low-Cost Carbon-Based Perovskite Solar Cell under Ambient Conditions. Opt. Mater. (Amst). 2021, 117, 144008598. [Google Scholar] [CrossRef]
- Chu, L. Pseudohalide Anion Engineering for Highly Efficient and Stable Perovskite Solar Cells. Matter 2021, 4, 1762–1764. [Google Scholar] [CrossRef]
- Min, H.; Lee, D.Y.; Kim, J.; Kim, G.; Lee, K.S.; Kim, J.; Paik, M.J.; Kim, Y.K.; Kim, K.S.; Kim, M.G.; et al. Perovskite Solar Cells with Atomically Coherent Interlayers on SnO2 Electrodes. Nature 2021, 598, 444–450. [Google Scholar] [CrossRef] [PubMed]
- Roy, P.; Raoui, Y.; Khare, A. Design and Simulation of Efficient Tin Based Perovskite Solar Cells through Optimization of Selective Layers: Theoretical Insights. Opt. Mater. (Amst). 2022, 125, 112057. [Google Scholar] [CrossRef]
- Hao, J.; Xiao, X. Recent Development of Optoelectronic Application Based on Metal Halide Perovskite Nanocrystals. Front. Chem. 2022, 9, 822106. [Google Scholar] [CrossRef] [PubMed]
- Lekesi, L.P.; Koao, L.F.; Motloung, S.V.; Motaung, T.E.; Malevu, T. Developments on Perovskite Solar Cells (PSCs): A Critical Review. Appl. Sci. 2022, 12, 672. [Google Scholar] [CrossRef]
- Liu, G.N.; Zhao, R.Y.; Xu, B.; Sun, Y.; Jiang, X.M.; Hu, X.; Li, C. Design, Synthesis, and Photocatalytic Application of Moisture-Stable Hybrid Lead-Free Perovskite. ACS Appl. Mater. Interfaces 2020, 12, 54694–54702. [Google Scholar] [CrossRef] [PubMed]
- Liang, L.; Gao, P. Lead-Free Hybrid Perovskite Absorbers for Viable Application: Can We Eat the Cake and Have It Too? Adv. Sci. 2018, 5, 1700331. [Google Scholar] [CrossRef] [PubMed]
- Zheng, F.; Chen, W.; Bu, T.; Ghiggino, K.P.; Huang, F.; Cheng, Y.; Tapping, P.; Kee, T.W.; Jia, B.; Wen, X. Triggering the Passivation Effect of Potassium Doping in Mixed-Cation Mixed-Halide Perovskite by Light Illumination. Adv. Energy Mater. 2019, 9, 1901016. [Google Scholar] [CrossRef]
- Zhong, T.; Shi, L.; Hao, H.; Dong, J.; Tang, K.; Xu, X.; Hamukwaya, S.L.; Liu, H.; Xing, J. Simple Method of Dual Passivation with Efficiency beyond 20% for Fabricating Perovskite Solar Cells in the Full Ambient Air. ACS Sustain. Chem. Eng. 2021, 9, 13010–13020. [Google Scholar] [CrossRef]
- Lyu, M.; Yun, J.H.; Cai, M.; Jiao, Y.; Bernhardt, P.V.; Zhang, M.; Wang, Q.; Du, A.; Wang, H.; Liu, G.; et al. Organic–Inorganic Bismuth (III)-Based Material: A Lead-Free, Air-Stable and Solution-Processable Light-Absorber beyond Organolead Perovskites. Nano Res. 2016, 9, 692–702. [Google Scholar] [CrossRef]
- Li, J.; Duan, J.; Du, J.; Yang, X.; Wang, Y.; Yang, P.; Duan, Y.; Tang, Q. Alkali Metal Ion-Regulated Lead-Free, All-Inorganic Double Perovskites for HTM-Free, Carbon-Based Solar Cells. ACS Appl. Mater. Interfaces 2020, 12, 47408–47415. [Google Scholar] [CrossRef]
- Hu, W.; He, X.; Fang, Z.; Lian, W.; Shang, Y.; Li, X.; Zhou, W.; Zhang, M.; Chen, T.; Lu, Y.; et al. Bulk Heterojunction Gifts Bismuth-Based Lead-Free Perovskite Solar Cells with Record Efficiency. Nano Energy 2020, 68, 104362. [Google Scholar] [CrossRef]
- Umebayashi, T.; Asai, K.; Umebayashi, T.; Asai, K.; Kondo, T.; Kondo, T.; Nakao, A. Electronic Structures of Lead Iodide Based Low-Dimensional Crystals. Phys. Rev. B Condens. Matter Mater. Phys. 2003, 67, 155405. [Google Scholar] [CrossRef]
- Byeon, C.C. Synthesis and Characterization of Rb 3 Sb 2 Br 9 Perovskite Quantum Dots. New Phys. Sae Mulli 2019, 69, 149–153. [Google Scholar] [CrossRef]
- Miodyńska, M.; Mikolajczyk, A.; Mazierski, P.; Klimczuk, T.; Lisowski, W.; Trykowski, G.; Zaleska-Medynska, A. Lead-Free Bismuth-Based Perovskites Coupled with g–C3N4: A Machine Learning Based Novel Approach for Visible Light Induced Degradation of Pollutants. Appl. Surf. Sci. 2022, 588, 152921. [Google Scholar] [CrossRef]
- Alanazi, T.I.; Game, O.S.; Smith, J.A.; Kilbride, R.C.; Greenland, C.; Jayaprakash, R.; Georgiou, K.; Terrill, N.J.; Lidzey, D.G. Potassium Iodide Reduces the Stability of Triple-Cation Perovskite Solar Cells. RSC Adv. 2020, 10, 40341–40350. [Google Scholar] [CrossRef]
- Tailor, N.K.; Abdi-Jalebi, M.; Gupta, V.; Hu, H.; Dar, M.I.; Li, G.; Satapathi, S. Recent Progress in Morphology Optimization in Perovskite Solar Cell. J. Mater. Chem. A 2020, 8, 21356–21386. [Google Scholar] [CrossRef]
- Jain, S.M.; Edvinsson, T.; Durrant, J.R. Green Fabrication of Stable Lead-Free Bismuth Based Perovskite Solar Cells Using a Non-Toxic Solvent. Commun. Chem. 2019, 2, 91. [Google Scholar] [CrossRef]
- Waykar, R.; Bhorde, A.; Nair, S.; Pandharkar, S.; Gabhale, B.; Aher, R.; Rondiya, S.; Waghmare, A.; Doiphode, V.; Punde, A.; et al. Environmentally Stable Lead-Free Cesium Bismuth Iodide (Cs3Bi2I9) Perovskite: Synthesis to Solar Cell Application. J. Phys. Chem. Solids 2020, 146, 109608. [Google Scholar] [CrossRef]
- Park, B.W.; Philippe, B.; Zhang, X.; Rensmo, H.; Boschloo, G.; Johansson, E.M.J. Bismuth Based Hybrid Perovskites A3Bi2I9 (A: Methylammonium or Cesium) for Solar Cell Application. Adv. Mater. 2015, 27, 6806–6813. [Google Scholar] [CrossRef]
- Bai, F.; Hu, Y.; Hu, Y.; Qiu, T.; Miao, X.; Zhang, S. Lead-Free, Air-Stable Ultrathin Cs3Bi2I9 Perovskite Nanosheets for Solar Cells. Sol. Energy Mater. Sol. Cells 2018, 184, 15–21. [Google Scholar] [CrossRef]
- Zheng, D.; Zhu, T.; Yan, Y.; Pauporté, T. Controlling the Formation Process of Methylammonium-Free Halide Perovskite Films for a Homogeneous Incorporation of Alkali Metal Cations Beneficial to Solar Cell Performance. Adv. Energy Mater. 2022, 12, 2103618. [Google Scholar] [CrossRef]
- Tabassum, M.; Zia, Q.; Zhou, Y.; Reece, M.J.; Su, L. A Review on Advances in Doping with Alkali Metals in Halide Perovskite Materials. SN Appl. Sci. 2021, 3, 888. [Google Scholar] [CrossRef]
- Tang, Z.; Bessho, T.; Awai, F.; Kinoshita, T.; Maitani, M.M.; Jono, R.; Murakami, T.N.; Wang, H.; Kubo, T.; Uchida, S.; et al. Hysteresis-Free Perovskite Solar Cells Made of Potassium-Doped Organometal Halide Perovskite. Sci. Rep. 2017, 7, 12183. [Google Scholar] [CrossRef]
- Bu, T.; Liu, X.; Zhou, Y.; Yi, J.; Huang, X.; Luo, L.; Xiao, J.; Ku, Z.; Peng, Y.; Huang, F.; et al. A Novel Quadruple-Cation Absorber for Universal Hysteresis Elimination for High Efficiency and Stable Perovskite Solar Cells. Energy Environ. Sci. 2017, 10, 2509–2515. [Google Scholar] [CrossRef]
- Saliba, M.; Matsui, T.; Domanski, K.; Seo, J.Y.; Ummadisingu, A.; Zakeeruddin, S.M.; Correa-Baena, J.P.; Tress, W.R.; Abate, A.; Hagfeldt, A.; et al. Incorporation of Rubidium Cations into Perovskite Solar Cells Improves Photovoltaic Performance. Science 2016, 354, 206–209. [Google Scholar] [CrossRef]
- Kubicki, D.J.; Prochowicz, D.; Hofstetter, A.; Zakeeruddin, S.M.; Grätzel, M.; Emsley, L. Phase Segregation in Cs-, Rb- and K-Doped Mixed-Cation (MA)x(FA)1-XPbI3 Hybrid Perovskites from Solid-State NMR. J. Am. Chem. Soc. 2017, 139, 14173–14180. [Google Scholar] [CrossRef]
- Abdi-Jalebi, M.; Andaji-Garmaroudi, Z.; Cacovich, S.; Stavrakas, C.; Philippe, B.; Richter, J.M.; Alsari, M.; Booker, E.P.; Hutter, E.M.; Pearson, A.J.; et al. Maximizing and Stabilizing Luminescence from Halide Perovskites with Potassium Passivation. Nature 2018, 555, 497–501. [Google Scholar] [CrossRef]
- Yang, Y.; Wu, L.; Hao, X.; Tang, Z.; Lai, H.; Zhang, J.; Wang, W.; Feng, L. Beneficial Effects of Potassium Iodide Incorporation on Grain Boundaries and Interfaces of Perovskite Solar Cells. RSC Adv. 2019, 9, 28561–28568. [Google Scholar] [CrossRef] [PubMed]
- Bartel, C.J. Review of Computational Approaches to Predict the Thermodynamic Stability of Inorganic Solids. J. Mater. Sci. 2022, 57, 10475–10498. [Google Scholar] [CrossRef]
- Morgan, E.E.; Mao, L.; Teicher, S.M.L.; Wu, G.; Seshadri, R. Tunable Perovskite-Derived Bismuth Halides: Cs3Bi2(Cl1- XIx)9. Inorg. Chem. 2020, 59, 3387–3393. [Google Scholar] [CrossRef] [PubMed]
- Masawa, S.M.; Li, J.; Zhao, C.; Liu, X.; Yao, J. 0D/2D Mixed Dimensional Lead-Free Caesium Bismuth Iodide Perovskite for Solar Cell Application. Materials 2022, 15, 2180. [Google Scholar] [CrossRef] [PubMed]
- Ghosh, B.; Wu, B.; Kumar Mulmudi, H.; Guet, C.; Weber, K.; Chien Sum, T.; Mhaisalkar, S.; Mathews, N. Limitations of Cs3Bi2I9 as Lead-Free Photovoltaic Absorber Materials. ACS Appl. Mater. Interfaces 2018, 10, 35000–35007. [Google Scholar] [CrossRef]
- Singh, T.; Öz, S.; Sasinska, A.; Frohnhoven, R.; Mathur, S.; Miyasaka, T. Sulfate-Assisted Interfacial Engineering for High Yield and Efficiency of Triple Cation Perovskite Solar Cells with Alkali-Doped TiO2 Electron-Transporting Layers. Adv. Funct. Mater. 2018, 28, 1706287. [Google Scholar] [CrossRef]
- Ma, Z.; Peng, S.; Wu, Y.; Fang, X.; Chen, X.; Jia, X.; Zhang, K.; Yuan, N.; Ding, J.; Dai, N. Air-Stable Layered Bismuth-Based Perovskite-like Materials: Structures and Semiconductor Properties. Phys. B Condens. Matter. 2017, 526, 136–142. [Google Scholar] [CrossRef]
- Ghasemi, M.; Hao, M.; Xiao, M.; Chen, P.; He, D.; Zhang, Y.; Chen, W.; Fan, J.; Yun, J.H.; Jia, B.; et al. Lead-Free Metal-Halide Double Perovskites: From Optoelectronic Properties to Applications. Nanophotonics 2021, 10, 20200548. [Google Scholar] [CrossRef]
- Hu, Y.; Zhang, S.; Miao, X.; Su, L.; Bai, F.; Qiu, T.; Liu, J.; Yuan, G. Ultrathin Cs3Bi2I9 Nanosheets as an Electronic Memory Material for Flexible Memristors. Adv. Mater. Interfaces 2017, 4, 1700131. [Google Scholar] [CrossRef]
- Zhong, J.X.; Liao, J.F.; Jiang, Y.; Wang, L.; Kuang, D.B.; Wu, W.Q. Synchronous Surface and Bulk Composition Management for Red-Shifted Light Absorption and Suppressed Interfacial Recombination in Perovskite Solar Cells. J. Mater. Chem. A 2020, 8, 9743–9752. [Google Scholar] [CrossRef]
- Park, N.G. Research Direction toward Scalable, Stable, and High Efficiency Perovskite Solar Cells. Adv. Energy Mater. 2020, 10, 1903106. [Google Scholar] [CrossRef]
- Hamdeh, U.H. Solution-Processed All-Inorganic Bismuth-Triiodide Thin-Films for Photovoltaic Application. Doctoral dissertation, Iowa State University, Ames, IA, USA, 2017. [Google Scholar]
- Jia, Q.; Li, C.; Tian, W.; Johansson, M.B.; Johansson, E.M.J.; Yang, R. Large-Grained All-Inorganic Bismuth-Based Perovskites with Narrow Band Gap via Lewis Acid–Base Adduct Approach. ACS Appl. Mater. Interfaces 2020, 12, 43876–43884. [Google Scholar] [CrossRef] [PubMed]
- Tiwari, D.; Alibhai, D.; J Fermin, D. Above 600 MV Open-Circuit Voltage BiI3 Solar Cells. ACS Energy Lett. 2018, 3, 1882–1886. [Google Scholar] [CrossRef]
- Adhyaksa, G.W.P.; Baek, S.W.; Lee, G.I.; Lee, D.K.; Lee, J.Y.; Kang, J.K. Coupled Near- and Far-Field Scattering in Silver Nanoparticles for High-Efficiency, Stable, and Thin Plasmonic Dye-Sensitized Solar Cells. ChemSusChem 2014, 7, 2461–2468. [Google Scholar] [CrossRef]
- MacHulin, V.F.; Motsnyi, F.V.; Smolanka, O.M.; Svechnikov, G.S.; Peresh, E.Y. Effect of Temperature Variation on Shift and Broadening of the Exciton Band in Cs3Bi2I9 Layered Crystals. Low Temp. Phys. 2004, 30, 964–967. [Google Scholar] [CrossRef]
- Lehner, A.J.; Fabini, D.H.; Evans, H.A.; Hébert, C.-A.; Smock, S.R.; Hu, J.; Wang, H.; Zwanziger, J.W.; Chabinyc, M.L.; Seshadri, R. Crystal and Electronic Structures of Complex Bismuth Iodides A3Bi2I9 (A = K, Rb, Cs) Related to Perovskite: Aiding the Rational Design of Photovoltaics. Chem. Mater. 2015, 27, 7137–7148. [Google Scholar] [CrossRef]
- Ghosh, B.; Chakraborty, S.; Wei, H.; Guet, C.; Li, S.; Mhaisalkar, S.; Mathews, N. Poor Photovoltaic Performance of Cs3Bi2I9: An Insight through First-Principles Calculations. J. Phys. Chem. C 2017, 121, 17062–17067. [Google Scholar] [CrossRef]
- Öz, S.; Hebig, J.C.; Jung, E.; Singh, T.; Lepcha, A.; Olthof, S.; Jan, F.; Gao, Y.; German, R.; van Loosdrecht, P.H.M.; et al. Zero-Dimensional (CH3NH3)3Bi2I9 Perovskite for Optoelectronic Applications. Sol. Energy Mater. Sol. Cells 2016, 158, 195–201. [Google Scholar] [CrossRef]
- Phuyal, D.; Jain, S.M.; Philippe, B.; Johansson, M.B.; Pazoki, M.; Kullgren, J.; Kvashnina, K.O.; Klintenberg, M.; Johansson, E.M.J.; Butorin, S.M.; et al. The Electronic Structure and Band Interface of Cesium Bismuth Iodide on a Titania Heterostructure Using Hard X-Ray Spectroscopy. J. Mater. Chem. A 2018, 6, 9498–9505. [Google Scholar] [CrossRef]
- Ji, F.; Gao, F.; Ning, W.; Wang, F. Bandgap Engineering of Lead-Free Halide Double Perovskites. In Proceedings of the 13th Conference on Hybrid and Organic Photovoltaics (HOPV21), Online, Spain, 24–28 May 2021. [Google Scholar]
- Zhu, H.; Erbing, A.; Wu, H.; Man, G.J.; Mukherjee, S.; Kamal, C.; Johansson, M.B.; Rensmo, H.; Odelius, M.; Johansson, E.M.J. Tuning the Bandgap in Silver Bismuth Iodide Materials by Partly Substituting Bismuth with Antimony for Improved Solar Cell Performance. ACS Appl. Energy Mater. 2020, 3, 7372–7382. [Google Scholar] [CrossRef]
- Lu, H.; Liu, Y.; Ahlawat, P.; Mishra, A.; Tress, W.R.; Eickemeyer, F.T.; Yang, Y.; Fu, F.; Wang, Z.; Avalos, C.E.; et al. Vapor-Assisted Deposition of Highly Efficient, Stable Black-Phase FAPbI3 Perovskite Solar Cells. Science 2020, 370, eabb8985. [Google Scholar] [CrossRef]
- Zhao, Y.; Chua, K.T.E.; Gan, C.K.; Zhang, J.; Peng, B.; Peng, Z.; Xiong, Q. Phonons in Bi2S3 Nanostructures: Raman Scattering and First-Principles Studies. Phys. Rev. B Condens. Matter Mater. Phys. 2011, 84, 205330. [Google Scholar] [CrossRef]
- Adams, K.; Mallows, J.; Li, T.; Kampouris, D.; Thijssen, J.H.J.; Robertson, N. Cs3Bi2I9 as High-Performance Electrode Material Achieving High Capacitance and Stability in an Economical Supercapacitor. J. Phys. Energy 2019, 1, 034001. [Google Scholar] [CrossRef]
- Kong, M.; Hu, H.; Wan, L.; Chen, M.; Gan, Y.; Wang, J.; Chen, F.; Dong, B.; Eder, D.; Wang, S. Nontoxic (CH3NH3)3Bi2I9 Perovskite Solar Cells Free of Hole Conductors with an Alternative Architectural Design and a Solution-Processable Approach. RSC Adv. 2017, 7, 35549–35557. [Google Scholar] [CrossRef]
- Bi, C.; Wang, Q.; Shao, Y.; Yuan, Y.; Xiao, Z.; Huang, J. Non-Wetting Surface-Driven High-Aspect-Ratio Crystalline Grain Growth for Efficient Hybrid Perovskite Solar Cells. Nat. Commun. 2015, 6, 7747. [Google Scholar] [CrossRef]
- Xu, X.; Ma, C.; Cheng, Y.; Xie, Y.M.; Yi, X.; Gautam, B.; Chen, S.; Li, H.W.; Lee, C.S.; So, F.; et al. Ultraviolet-Ozone Surface Modification for Non-Wetting Hole Transport Materials Based Inverted Planar Perovskite Solar Cells with Efficiency Exceeding 18%. J. Power Sources 2017, 360, 157–165. [Google Scholar] [CrossRef]
- Johansson, M.B.; Zhu, H.; Johansson, E.M.J. Extended Photo-Conversion Spectrum in Low-Toxic Bismuth Halide Perovskite Solar Cells. J. Phys. Chem. Lett. 2016, 7, 3467–3471. [Google Scholar] [CrossRef]
- Shin, J.; Kim, M.; Jung, S.; Kim, C.S.; Park, J.; Song, A.; Chung, K.B.; Jin, S.H.; Lee, J.H.; Song, M. Enhanced Efficiency in Lead-Free Bismuth Iodide with Post Treatment Based on a Hole-Conductor-Free Perovskite Solar Cell. Nano Res. 2018, 11, 6283–6293. [Google Scholar] [CrossRef]
- Yu, B.B.; Liao, M.; Yang, J.; Chen, W.; Zhu, Y.; Zhang, X.; Duan, T.; Yao, W.; Wei, S.H.; He, Z. Alloy-Induced Phase Transition and Enhanced Photovoltaic Performance: The Case of Cs3Bi2I9-XBrx Perovskite Solar Cells. J. Mater. Chem. A 2019, 7, 8818–8825. [Google Scholar] [CrossRef]
- Khadka, D.B.; Shirai, Y.; Yanagida, M.; Miyano, K. Tailoring the Film Morphology and Interface Band Offset of Caesium Bismuth Iodide-Based Pb-Free Perovskite Solar Cells. J. Mater. Chem. C 2019, 7, 8335–8343. [Google Scholar] [CrossRef]
- Tang, S.; Bing, J.; Zheng, J.; Tang, J.; Li, Y.; Mayyas, M.; Cho, Y.; Jones, T.W.; Yang, T.C.J.; Yuan, L.; et al. Complementary Bulk and Surface Passivations for Highly Efficient Perovskite Solar Cells by Gas Quenching. Cell Rep. Phys. Sci. 2021, 2, 100511. [Google Scholar] [CrossRef]
- Zhang, M.; Bing, J.; Cho, Y.; Li, Y.; Zheng, J.; Lau, C.F.J.; Green, M.A.; Huang, S.; Ho-Baillie, A.W.Y. Synergistic Effect of Potassium and Iodine from Potassium Triiodide Complex Additive on Gas-Quenched Perovskite Solar Cells. Nano Energy 2019, 63, 103853. [Google Scholar] [CrossRef]
- Ünlü, F.; Kulkarni, A.; Lê, K.; Bohr, C.; Bliesener, A.; Öz, S.D.; Jena, A.K.; Ando, Y.; Miyasaka, T.; Kirchartz, T.; et al. Single- or Double A-Site Cations in A3Bi2I9 Bismuth Perovskites: What Is the Suitable Choice? J. Mater. Res. 2021, 36, 1794–1804. [Google Scholar] [CrossRef]









| Materials Id | Formula | Space Group | Crystal System | Formation Energy (eV) | E above Hull (eV) | Bandgap (eV) | Volume | Sites | Density (g/cc) |
|---|---|---|---|---|---|---|---|---|---|
| mp-624214 | Cs3Bi2I9 | P63/mmc | Hexagonal | −0.97 | 0.001 | 2.345 | 1418.960 | 28 | 4.585 |
| mp-669458 | Cs3Bi2I9 | C2/c | Monoclinic | −0.971 | 0 | 2.363 | 1427.997 | 28 | 4.556 |
| mp-1113055 | Cs2KBiI6 | Fm-3m | Cubic | −1.092 | 0.041 | 2.682 | 541.588 | 10 | 3.910 |
| Cs₃Bi₂I₉ PSCs Device Structure | Voc (V) | Jsc (mAcm−2) | FF [%] | PCE (%) | Ref. |
|---|---|---|---|---|---|
| FTO/c-TiO₂/M-TiO₂/Cs₃Bi₂I₉/C | 1.01 | 3.60 | 77 | 2.81 | This work |
| FTO/c-TiO₂/M-TiO₂/photoactive film/PDBD-T/Au | 0.60 | 7.65 | 78 | 3.59 | [17] |
| AZO/c-TiO₂/Cs₃Bi₂I₉/CuSCN/graphite | 0.37 | 1.43 | 32 | 0.17 | [24] |
| FTO/c-TiO2/m-TiO₂/Cs₃Bi₂I₉/SpiroOMeTAD/Ag | 0.85 | 2.15 | 60 | 1.09 | [25] |
| FTO/c-TiO₂/Cs₃Bi₂I₉/Spiro-OMeTAD/Au | 0.79 | 4.45 | 50 | 1.77 | [26] |
| FTO/c-TiO₂/Cs₃Bi₂I₉/PTAA/Au | 0.83 | 4.82 | 57 | 2.3 | [26] |
| FTO/c-TiO₂/Cs₃Bi₂I₉/CuI/Au | 0.86 | 5.78 | 64 | 3.2 | [26] |
| FTO/TiO₂/mp-TiO₂/Cs₃Bi₂I₉/spiro-OMeTAD/Au | 0.64 | 0.67 | 49 | 0.21 | [38] |
| FTO/c-TiO₂/m-TiO₂/Cs₃Bi₂I₉/P3HT/Ag | 0.26 | 0.18 | 37 | 0.02 | [62] |
| FTO/c-TiO₂/m-TiO₂/m-ZrO₂/Cs₃Bi₂I₉/C | 0.46 | 4.75 | 69 | 1.51 | [63] |
| ITO/NiOx/Cs₃Bi₂I₉/PCBM/C60/BCB/Ag | 0.75 | 0.51 | 59 | 0.23 | [64] |
| ITO/PTAA/Cs₃Bi₂I₉/PCBM/AZO/Ag | 0.47 | 1.76 | 45 | 0.37 | [65] |
| ITO/PEDOT:PSS/Cs₃Bi₂I₉/PCBM/AZO/Ag | 0.38 | 0.54 | 35 | 0.073 | [65] |
| ITO/NiOx/Cs₃Bi₂I₉/PCBM/AZO/Ag | 0.74 | 3.42 | 51 | 1.26 | [65] |
Publisher’s Note: MDPI stays neutral with regard to jurisdictional claims in published maps and institutional affiliations. |
© 2022 by the authors. Licensee MDPI, Basel, Switzerland. This article is an open access article distributed under the terms and conditions of the Creative Commons Attribution (CC BY) license (https://creativecommons.org/licenses/by/4.0/).
Share and Cite
Hamukwaya, S.L.; Hao, H.; Mashingaidze, M.M.; Zhong, T.; Tang, S.; Dong, J.; Xing, J.; Liu, H. Potassium Iodide-Modified Lead-Free Cs3Bi2I9 Perovskites for Enhanced High-Efficiency Solar Cells. Nanomaterials 2022, 12, 3751. https://doi.org/10.3390/nano12213751
Hamukwaya SL, Hao H, Mashingaidze MM, Zhong T, Tang S, Dong J, Xing J, Liu H. Potassium Iodide-Modified Lead-Free Cs3Bi2I9 Perovskites for Enhanced High-Efficiency Solar Cells. Nanomaterials. 2022; 12(21):3751. https://doi.org/10.3390/nano12213751
Chicago/Turabian StyleHamukwaya, Shindume Lomboleni, Huiying Hao, Melvin Mununuri Mashingaidze, Tingting Zhong, Shu Tang, Jingjing Dong, Jie Xing, and Hao Liu. 2022. "Potassium Iodide-Modified Lead-Free Cs3Bi2I9 Perovskites for Enhanced High-Efficiency Solar Cells" Nanomaterials 12, no. 21: 3751. https://doi.org/10.3390/nano12213751
APA StyleHamukwaya, S. L., Hao, H., Mashingaidze, M. M., Zhong, T., Tang, S., Dong, J., Xing, J., & Liu, H. (2022). Potassium Iodide-Modified Lead-Free Cs3Bi2I9 Perovskites for Enhanced High-Efficiency Solar Cells. Nanomaterials, 12(21), 3751. https://doi.org/10.3390/nano12213751

