Different Stages of Phase Transformation in the Synthesis of Nanocrystalline Sr-Hexaferrite Powder Prepared by a Gaseous Heat Treatment and Re-Calcination Method
Abstract
1. Introduction
2. Experimental
2.1. Materials and Instrumentation
2.2. Processing and Re-Forming the SrFe12O19 Powder
2.3. Calculating the Molar Percent of Components
3. Results and Discussion
3.1. Decomposition of SrFe12O19
3.1.1. The Effect of Different Parameters on SrFe12O19 Decomposition with CH4 Gaseous Heat Treatment
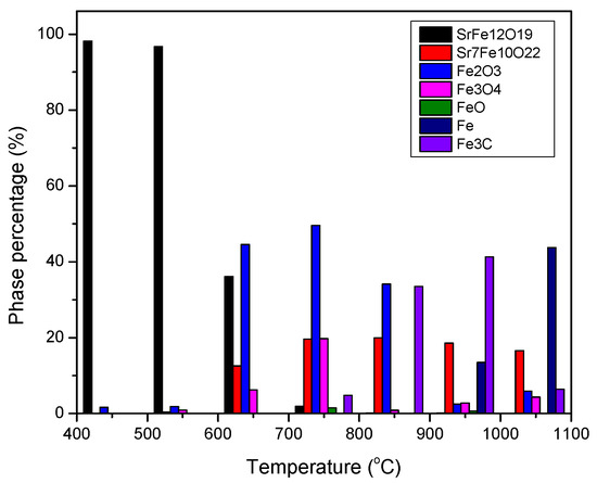
3.1.2. Investigation of Molar Percent Changes of Components during the SrFe12O19 Decomposition Process
3.1.3. Phase Transformation Map of SrFe12O19 Decomposition
3.2. Re-Formation of SrFe12O19 with Re-Calcination Process
3.2.1. The Effect of Different Calcination Parameters on SrFe12O19 Re-Formation
3.2.2. Phase Transformation Map of SrFe12O19 Re-Formation
3.3. Phase Transformation Map of the GTR Process
- Decomposition of strontium hexaferrite
- Reduction of iron oxides
- Re-oxidation of iron
- Re-formation of strontium hexaferrite
4. Conclusions
Supplementary Materials
Author Contributions
Funding
Institutional Review Board Statement
Informed Consent Statement
Conflicts of Interest
References
- Fu, Y.-P.; Lin, C.-H.; Pan, K.-Y. Strontium hexaferrite powders prepared by a microwave-induced combustion process and some of their properties. J. Alloys Compd. 2003, 349, 228–231. [Google Scholar] [CrossRef]
- Jean, M.; Nachbaur, V.; Bran, J.; Le Breton, J.-M. Synthesis and characterization of SrFe12O19 powder obtained by hydrothermal process. J. Alloys Compd. 2010, 496, 306–312. [Google Scholar] [CrossRef]
- Hessien, M.; Rashad, M.; Hassan, M.; El-Barawy, K. Synthesis and magnetic properties of strontium hexaferrite from celestite ore. J. Alloys Compd. 2009, 476, 373–378. [Google Scholar] [CrossRef]
- Ketov, S.; Yagodkin, Y.; Lebed, A.; Chernopyatova, Y.; Khlopkov, K. Structure and magnetic properties of nanocrystalline SrFe12O19 alloy produced by high-energy ball milling and annealing. J. Magn. Magn. Mater. 2005, 300, e479–e481. [Google Scholar] [CrossRef]
- İçïn, K.; Öztürk, S.; Çakil, D.D.; Sünbül, S.E. Effect of the stoichiometric ratio on phase evolution and magnetic properties of SrFe12O19 produced with mechanochemical process using mill scale. Ceram. Int. 2020, 46, 14150–14160. [Google Scholar] [CrossRef]
- Shamsutov, I.; Merkulov, O.; Patrakeev, M. SrFe12O19 as an impurity in perovskite-type ferrites. Mater. Lett. 2020, 283, 128753. [Google Scholar] [CrossRef]
- Bavarsiha, F.; Montazeri-Pour, M.; Rajabi, M. Effect of Non-aqueous Media on Nano-crystalline SrFe12O19 Particles Produced by Co-precipitation with Metal Chlorides and Evaluation of Their Magnetic and Photocatalytic Properties. J. Inorg. Organomet. Polym. Mater. 2020, 30, 2386–2396. [Google Scholar] [CrossRef]
- Stingaciu, M.; Mishra, D.; de Julián Fernández, C.; Cabassi, R.; Eikeland, A.Z.; Christensen, M.; Deledda, S. High magnetic coercive field in Ca-Al-Cr substituted strontium hexaferrite. J. Alloys Compd. 2021, 883, 160768. [Google Scholar] [CrossRef]
- Lalegani, Z.; Nemati, A. Effects of Ce–Co substitution on structural, magnetic and dielectric properties of M-type barium hexaferrite nanoparticles synthetized by sol–gel auto-combustion route. J. Mater. Sci. Mater. Electron. 2015, 26, 2134–2144. [Google Scholar] [CrossRef]
- Lalegani, Z.; Nemati, A. Influence of synthesis variables on the properties of barium hexaferrite nanoparticles. J. Mater. Sci. Mater. Electron. 2017, 28, 4606–4612. [Google Scholar] [CrossRef]
- Fargali, A.A.; Zayed, M.K.; Khedr, M.H.; Moustafa, A.F. Phase and conductivity dynamics of strontium hexaferrite nanocrystals in a hydrogen gas flow. Int. J. Phys. Sci. 2008, 3, 131–139. [Google Scholar]
- Koohdar, H.R.; Seyyed Ebrahimi, S.A.; Yourdkhani, A.; Dehghan, R.; Zajkaniha, F. Optimization of hydrogen dynamic heat treatment and re-calcination for preparation of strontium hexaferrite nanocrystalline powder. J. Alloys Compd. 2009, 479, 638–641. [Google Scholar] [CrossRef]
- Bilovol, V.; Martínez-García, R. Phase transformation of strontium hexagonal ferrite. J. Phys. Chem. Solids 2015, 86, 131–137. [Google Scholar] [CrossRef]
- Schmidt, W. Marek Phase Formation and Structural Transformation of Strontium Ferrite SrFeOx. Ph.D. Thesis, Australian National University, Canberra, Australia, 2001. [Google Scholar]
- Dehghan, R.; Seyyed Ebrahimi, S.A. Optimized nanocrystalline strontium hexaferrite prepared by applying a methane GTR process on a conventionally synthesized powder. J. Magn. Magn. Mater. 2014, 368, 234–239. [Google Scholar] [CrossRef]
- Ebrahimi, S.; Dehghan, R.; Koohdar, H.; Yourdkhani, A. Conversion of Conventionally Synthesized Strontium Hexaferrite Powder Into a Nano Size Powder With Enhanced Coercivity Using GTMR Method. IEEE Trans. Magn. 2009, 45, 2601–2604. [Google Scholar] [CrossRef]
- Dehghan, R.; Seyyed Ebrahimi, S.A.; Koohdar, H.R. Optimization of Dynamic CH4 Gas Heat Treatment of Nanocrystalline Strontium Hexaferrite. Int. J. Mod. Phys. Conf. Ser. 2012, 5, 752–759. [Google Scholar] [CrossRef]
- Fossdal, A.; Einarsrud, M.-A.; Grande, T. Phase equilibria in the pseudo-binary system SrO–Fe2O3. J. Solid State Chem. 2004, 177, 2933–2942. [Google Scholar] [CrossRef]
- Takeda, Y.; Kanno, K.; Takada, T.; Yamamoto, O.; Takano, M.; Nakayama, N.; Bando, Y. Phase relation in the oxygen nonstoichiometric system, SrFeOx (2.5 ≤ x ≤ 3.0). J. Solid State Chem. 1986, 63, 237–249. [Google Scholar] [CrossRef]
- Hodges, J.P.; Short, S.; Jorgensen, J.D.; Xiong, X.; Dabrowski, B.; Mini, S.M.; Kimball, C.W. Evolution of oxygen-vacancy ordered crystal structures in the perovskite series SrnFenO3n−1 (n = 2, 4, 8, and ∞), and the relationship to electronic and magnetic properties. J. Solid State Chem. 2000, 151, 190–209. [Google Scholar] [CrossRef]
- Lucchini, E.; Minichelli, D.; Sloccari, G. X-Ray Characterization of 7SrO · 5Fe2O3. J. Am. Ceram. Soc. 1974, 57, 42–43. [Google Scholar] [CrossRef]
- Dom, R.; Borse, P.H.; Cho, C.R.; Lee, J.S.; Yu, S.M.; Yoon, J.H.; Hong, T.E.; Jeong, E.D.; Kim, H.G. Synthesis of SrFe12O19 and Sr7Fe10O22 systems for visible light photocatalytic studies. J. Ceram. Process. Res. 2012, 13, 451–456. [Google Scholar]
- Asti, G.; Carbucicchio, M.; Deriu, A.; Lucchini, E.; Sloccari, G. Magnetic properties and spin order of Sr7Fe10O22. J. Magn. Magn. Mater. 1978, 8, 65–70. [Google Scholar] [CrossRef]
- Surig, C.; Hempel, K.; Bonnenberg, D. Hexaferrite particles prepared by sol-gel technique. IEEE Trans. Magn. 1994, 30, 4092–4094. [Google Scholar] [CrossRef]













| Observed Phases | Time (h) | Gas Flow (cc/min) | Temperature (°C) |
|---|---|---|---|
| SrFe12O19 | 1 | 30 | 450 |
| SrFe12O19 | 1 | 30 | 550 |
| SrFe12O19, Sr7Fe10O22, Fe2O3, Fe3O4 | 1 | 30 | 650 |
| Sr7Fe10O22, Fe2O3, Fe3O4, FeO | 1 | 30 | 750 |
| Sr7Fe10O22, Fe2O3, Fe3O4, Fe3C, Fe | 1 | 30 | 850 |
| Sr7Fe10O22, SrCO3, Fe2O3, Fe3O4, FeO, Fe3C, Fe, C | 1 | 30 | 950 |
| Sr(OH)2.(H2O), Fe2O3, Fe3O4, Fe, C | 1 | 30 | 1050 |
| Sr7Fe10O22, SrCO3, Fe2O3, Fe3O4, FeO, Fe3C, Fe | 1 | 45 | 950 |
| Sr7Fe10O22, SrCO3, Fe2O3, Fe3O4, Fe3C, Fe, C | 1 | 15 | 950 |
| Sr7Fe10O22, Fe3O4, FeO, Fe | 0.5 | 15 | 950 |
| Sr7Fe10O22, Fe2O3, Fe3O4, FeO, Fe | 0 | 15 | 950 |
| Sr7Fe10O22, Fe3O4, FeO, Fe | 0.5 | 15 | 950 |
| Observed Phases | Time (h) | Calcination Temperature (°C) |
|---|---|---|
| Sr7Fe10O22, Fe2O3, Fe3O4, Fe | 1 | 200 |
| Sr7Fe10O22, Fe2O3, Fe3O4, FeO, Fe | 1 | 300 |
| Sr7Fe10O22, Fe2O3, Fe3O4, Fe | 1 | 400 |
| Sr7Fe10O22, Fe2O3, Fe3O4, Fe | 1 | 500 |
| Sr7Fe10O22, Fe2O3 | 1 | 600 |
| SrFe12O19, Sr7Fe10O22, Fe2O3 | 1 | 700 |
| SrFe12O19, Sr7Fe10O22, Fe2O3 | 1 | 800 |
| SrFe12O19, Sr7Fe10O22, Fe2O3 | 1 | 900 |
| SrFe12O19, Sr7Fe10O22, Fe2O3 | 1 | 1000 |
| SrFe12O19 | 1 | 1100 |
| SrFe12O19 | 1 | 1200 |
| SrFe12O19 | 0.5 | 1100 |
| SrFe12O19 | 0.5 | 1100 |
Publisher’s Note: MDPI stays neutral with regard to jurisdictional claims in published maps and institutional affiliations. |
© 2022 by the authors. Licensee MDPI, Basel, Switzerland. This article is an open access article distributed under the terms and conditions of the Creative Commons Attribution (CC BY) license (https://creativecommons.org/licenses/by/4.0/).
Share and Cite
Dehghan, R.; Seyyed Ebrahimi, S.A.; Lalegani, Z.; Hamawandi, B. Different Stages of Phase Transformation in the Synthesis of Nanocrystalline Sr-Hexaferrite Powder Prepared by a Gaseous Heat Treatment and Re-Calcination Method. Nanomaterials 2022, 12, 3714. https://doi.org/10.3390/nano12213714
Dehghan R, Seyyed Ebrahimi SA, Lalegani Z, Hamawandi B. Different Stages of Phase Transformation in the Synthesis of Nanocrystalline Sr-Hexaferrite Powder Prepared by a Gaseous Heat Treatment and Re-Calcination Method. Nanomaterials. 2022; 12(21):3714. https://doi.org/10.3390/nano12213714
Chicago/Turabian StyleDehghan, Ramin, Seyyed Ali Seyyed Ebrahimi, Zahra Lalegani, and Bejan Hamawandi. 2022. "Different Stages of Phase Transformation in the Synthesis of Nanocrystalline Sr-Hexaferrite Powder Prepared by a Gaseous Heat Treatment and Re-Calcination Method" Nanomaterials 12, no. 21: 3714. https://doi.org/10.3390/nano12213714
APA StyleDehghan, R., Seyyed Ebrahimi, S. A., Lalegani, Z., & Hamawandi, B. (2022). Different Stages of Phase Transformation in the Synthesis of Nanocrystalline Sr-Hexaferrite Powder Prepared by a Gaseous Heat Treatment and Re-Calcination Method. Nanomaterials, 12(21), 3714. https://doi.org/10.3390/nano12213714

