Ultracompact Polarization Splitter–Rotator Based on Shallowly Etched Subwavelength Gratings and Anisotropic Metasurfaces
Abstract
1. Introduction
2. Device Structure and Principle
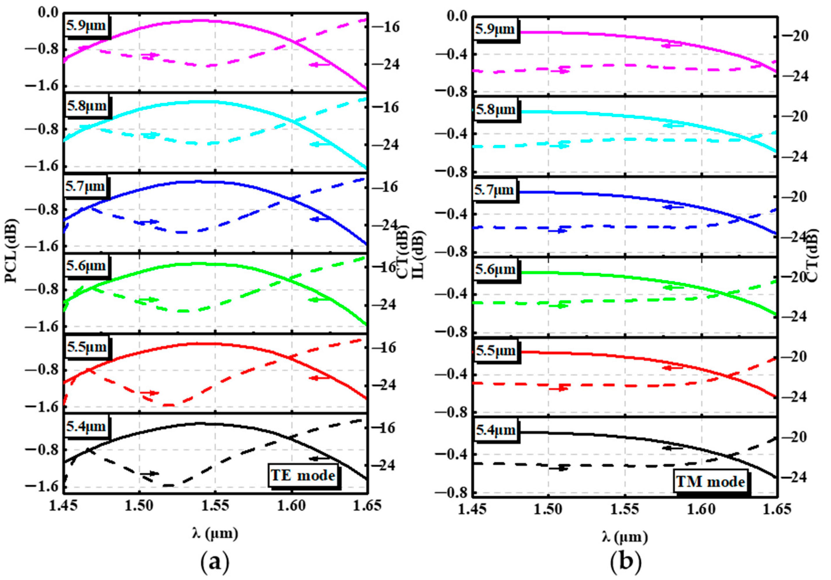
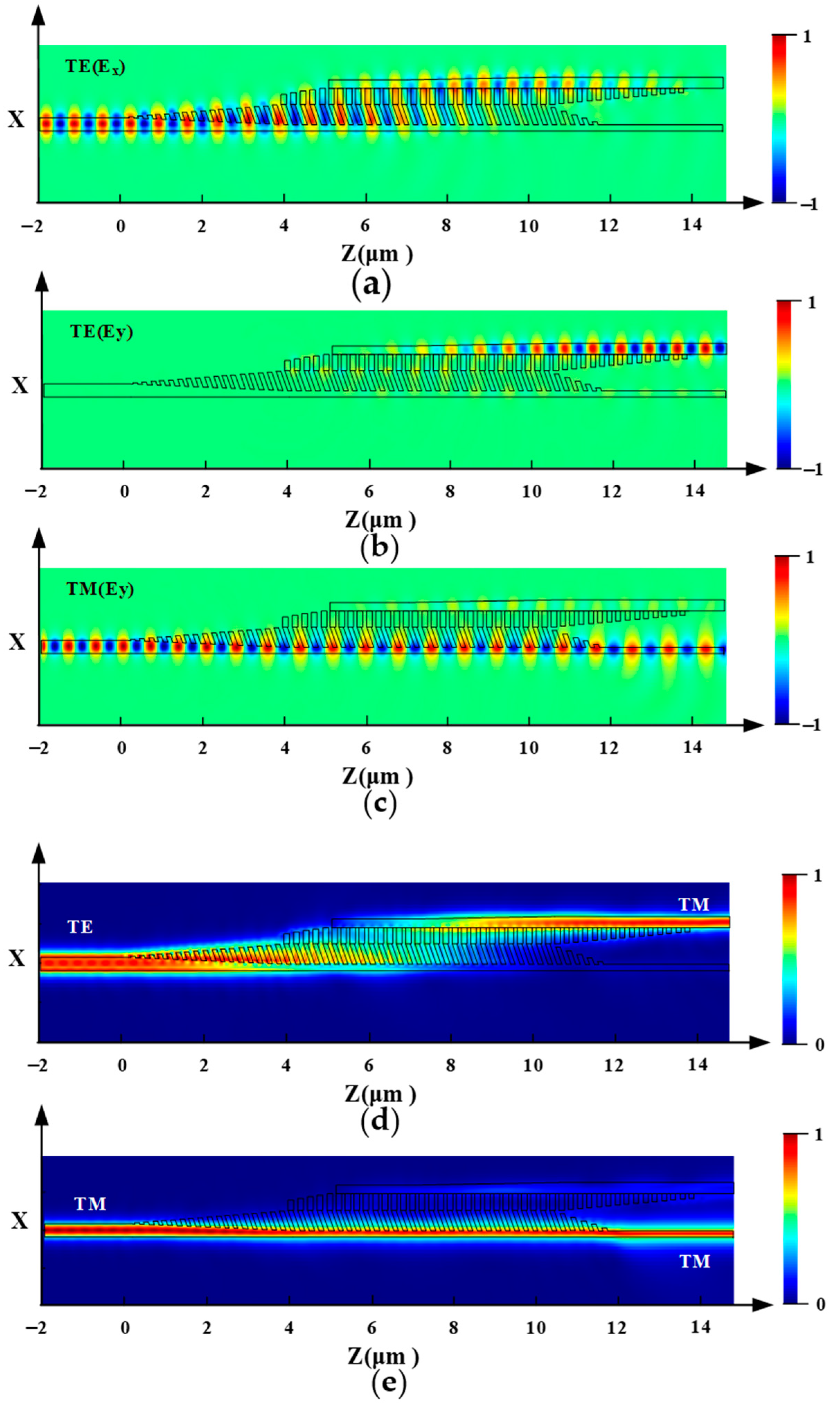
3. Simulations and Discussion
4. Device Performance and Fabrication Tolerance Analysis
5. Conclusions
Author Contributions
Funding
Institutional Review Board Statement
Informed Consent Statement
Data Availability Statement
Conflicts of Interest
References
- Haurylau, M.; Chen, G.Q.; Chen, H.; Zhang, J.D.; Nelson, N.A.; Albonesi, D.H.; Friedman, E.G.; Fauchet, P.M. On-chip optical interconnect roadmap: Challenges and critical directions. IEEE J. Sel. Top. Quant. 2006, 12, 1699–1705. [Google Scholar] [CrossRef]
- Luo, L.W.; Ophir, N.; Chen, C.P.; Gabrielli, L.H.; Poitras, C.B.; Bergmen, K.; Lipson, M. WDM-compatible mode-division multiplexing on a silicon chip. Nat. Commun. 2014, 5, 3069. [Google Scholar] [CrossRef] [PubMed]
- Dai, D.X.; Wang, J.; Chen, S.T.; Wang, S.P.; He, S.L. Monolithically integrated 64-channel silicon hybrid demultiplexer enabling simultaneous wavelength- and mode-division-multiplexing. Laser Photonics Rev. 2015, 9, 339–344. [Google Scholar] [CrossRef]
- Nitiss, E.; Hu, J.Q.; Stroganov, A.; Bres, C.S. Optically reconfigurable quasi-phase-matching in silicon nitride microresonators. Nat. Photonics 2022, 16, 134–141. [Google Scholar] [CrossRef]
- Feldmann, J.; Youngblood, N.; Karpov, M.; Gehring, H.; Li, X.; Stappers, M.; Le Gallo, M.; Fu, X.; Lukashchuk, A.; Raja, A.S.; et al. Parallel convolutional processing using an integrated photonic tensor core. Nature 2021, 589, 52–58. [Google Scholar] [CrossRef] [PubMed]
- Shen, Y.C.; Harris, N.C.; Skirlo, S.; Prabhu, M.; Baehr-Jones, T.; Hochberg, M.; Sun, X.; Zhao, S.J.; Larochelle, H.; Englund, D.; et al. Deep learning with coherent nanophotonic circuits. Nat. Photonics 2017, 11, 441–446. [Google Scholar] [CrossRef]
- Xu, X.Y.; Ren, G.H.; Feleppa, T.; Liu, X.M.; Boes, A.; Mitchell, A.; Lowery, A.J. Self-calibrating programmable photonic integrated circuits. Nat. Photonics 2022, 16, 595–602. [Google Scholar] [CrossRef]
- Jalali, B.; Fathpour, S. Silicon photonics. J. Lightwave Technol. 2006, 24, 4600–4615. [Google Scholar] [CrossRef]
- Kopp, C.; Bernabe, S.; Ben Bakir, B.; Fedeli, J.M.; Orobtchouk, R.; Schrank, F.; Porte, H.; Zimmermann, L.; Tekin, T. Silicon Photonic Circuits: On-CMOS Integration, Fiber Optical Coupling, and Packaging. IEEE J. Sel. Top. Quant. 2011, 17, 498–509. [Google Scholar] [CrossRef]
- Soref, R. The past, present, and future of silicon photonics. IEEE J. Sel. Top. Quant. 2006, 12, 1678–1687. [Google Scholar] [CrossRef]
- Yu, Z.J.; Xu, H.N.; Liu, D.J.; Li, H.; Shi, Y.C.; Dai, D.X. Subwavelength-Structure-Assisted Ultracompact Polarization-Handling Components on Silicon. J. Lightwave Technol. 2022, 40, 1784–1801. [Google Scholar] [CrossRef]
- Barwicz, T.; Watts, M.R.; Popovic, M.A.; Rakich, P.T.; Socci, L.; Kartner, F.X.; Ippen, E.P.; Smith, H.I. Polarization-transparent microphotonic devices in the strong confinement limit. Nat. Photonics 2007, 1, 57–60. [Google Scholar] [CrossRef]
- Chen, J.Y.; Gao, D. Ultra-compact polarization rotator based on mode coupling in a groove-like waveguide, assisted by subwavelength grating. Appl. Opt. 2020, 59, 5368–5376. [Google Scholar] [CrossRef]
- Kim, S.; Qi, M.H. Mode-evolution-based polarization rotation and coupling between silicon and hybrid plasmonic waveguides. Sci. Rep. 2015, 5, 18378. [Google Scholar] [CrossRef] [PubMed]
- Shani, Y.; Alferness, R.; Koch, T.; Koren, U.; Oron, M.; Miller, B.I.; Young, M.G. Polarization Rotation in Asymmetric Periodic Loaded Rib Wave-Guides. Appl. Phys. Lett. 1991, 59, 1278–1280. [Google Scholar] [CrossRef]
- Beggs, D.M.; Midrio, M.; Krauss, T.F. Compact polarization rotators for integrated polarization diversity in InP-based waveguides. Opt. Lett. 2007, 32, 2176–2178. [Google Scholar] [CrossRef]
- Goi, K.; Oka, A.; Kusaka, H.; Ogawa, K.; Liow, T.Y.; Tu, X.G.; Lo, G.Q.; Kwong, D.L. Low-loss partial rib polarization rotator consisting only of silicon core and silica cladding. Opt. Lett. 2015, 40, 1410–1413. [Google Scholar] [CrossRef]
- Wang, Z.C.; Dai, D.X. Ultrasmall Si-nanowire-based polarization rotator. J. Opt. Soc. Am. B Opt. Phys. 2008, 25, 747–753. [Google Scholar] [CrossRef]
- Xiong, Y.L.; Xu, D.X.; Schmid, J.H.; Cheben, P.; Janz, S.; Ye, W.N. Fabrication tolerant and broadband polarization splitter and rotator based on a taper-etched directional coupler. Opt. Express 2014, 22, 17458–17465. [Google Scholar] [CrossRef]
- Dai, D.X.; Bowers, J.E. Novel concept for ultracompact polarization splitter-rotator based on silicon nanowires. Opt. Express 2011, 19, 10940–10949. [Google Scholar] [CrossRef]
- Li, Z.Y.; Kim, M.H.; Wang, C.; Han, Z.H.; Shrestha, S.; Overvig, A.C.; Lu, M.; Stein, A.; Agarwal, A.M.; Loncar, M.; et al. Controlling propagation and coupling of waveguide modes using phase-gradient metasurfaces. Nat. Nanotechnol. 2017, 12, 675–683. [Google Scholar] [CrossRef] [PubMed]
- Kildishev, A.V.; Boltasseva, A.; Shalaev, V.M. Planar Photonics with Metasurfaces. Science 2013, 339, 6125. [Google Scholar] [CrossRef] [PubMed]
- Yu, N.F.; Capasso, F. Flat optics with designer metasurfaces. Nat. Mater. 2014, 13, 139–150. [Google Scholar] [CrossRef] [PubMed]
- Huang, X.J.; Ma, X.; Li, X.W.; Fan, J.D.; Guo, L.; Yang, H.L. Simultaneous realization of polarization conversion for reflected and transmitted waves with bi-functional metasurface. Sci. Rep. 2022, 12, 2368. [Google Scholar] [CrossRef]
- Hao, L.J.; Zhao, Y.; Wu, Y.T.; He, Z.Q.; Shi, Y.; Xiao, R.L.; Dai, P.; Fang, T.; Han, Z.H.; Chen, X.F. Experimental Demonstration of Compact Mode Converter Based on Conformal Dielectric Metasurface. IEEE Photonics Technol. Lett. 2020, 32, 1143–1146. [Google Scholar] [CrossRef]
- Wang, H.W.; Zhang, Y.; He, Y.; Zhu, Q.M.; Sun, L.; Su, Y.K. Compact Silicon Waveguide Mode Converter Employing Dielectric Metasurface Structure. Adv. Opt. Mater. 2019, 7, 1801191. [Google Scholar] [CrossRef]
- Dai, S.J.; Xiao, J.B.A. Compact and broadband silicon-based polarization beam splitter using asymmetric directional couplers embedded with subwavelength gratings and slots. Appl. Optics 2022, 61, 126–134. [Google Scholar] [CrossRef]
- Chang, R.J.; Huang, C.C. Simulation of a High-Performance Polarization Beam Splitter Assisted by Two-Dimensional Metamaterials. Nanomaterials 2022, 12, 1852. [Google Scholar] [CrossRef]
- He, Q.; Shen, Z. Polarization-Insensitive Beam Splitter with Variable Split Angles and Ratios Based on Phase Gradient Metasurfaces. Nanomaterials 2022, 12, 113. [Google Scholar] [CrossRef]
- Wang, B.; Dong, F.L.; Feng, H.; Yang, D.; Song, Z.W.; Xu, L.H.; Chu, W.G.; Gong, Q.H.; Li, Y. Rochon-Prism-Like Planar Circularly Polarized Beam Splitters Based on Dielectric Metasurfaces. ACS Photonics 2018, 5, 1660–1664. [Google Scholar] [CrossRef]
- Wang, H.; Zhang, B.F.; Han, C.; Ding, J.P. Polarization-multiplexed wavefront-engineering by all-dielectric metasurface with asymmetric polarization-decoupled meta-atoms. Opt. Express 2021, 29, 32377–32387. [Google Scholar] [CrossRef] [PubMed]
- Luque-Gonzalez, J.M.; Herrero-Bermello, A.; Ortega-Monux, A.; Molina-Fernandez, I.; Velasco, A.V.; Cheben, P.; Schmid, J.H.; Wang, S.R.; Halir, R. Tilted subwavelength gratings: Controlling anisotropy in metamaterial nanophotonic waveguides. Opt. Lett. 2018, 43, 4691–4694. [Google Scholar] [CrossRef]
- Liu, H.P.; Feng, J.J.; Ge, J.M.; Zhuang, S.Q.; Yuan, S.; Chen, Y.S.; Li, X.J.; Tan, Q.G.; Yu, Q.H.; Zeng, H.P. Tilted Nano-Grating Based Ultra-Compact Broadband Polarizing Beam Splitter for Silicon Photonics. Nanomaterials 2021, 11, 2645. [Google Scholar] [CrossRef] [PubMed]
- Barh, A.; Rahman, B.M.A.; Varshney, R.K.; Pal, B.P. Design and Performance Study of a Compact SOI Polarization Rotator at 1.55 mu m. J. Lightwave Technol. 2013, 31, 3687–3693. [Google Scholar] [CrossRef]
- Sullivan, D.; Liu, J.; Kuzyk, M. Three-dimensional optical pulse simulation using the FDTD method. IEEE Trans. Microw. Theory Tech. 2000, 48, 1127–1133. [Google Scholar] [CrossRef]
- Halir, R.; Bock, P.J.; Cheben, P.; Ortega-Monux, A.; Alonso-Ramos, C.; Schmid, J.H.; Lapointe, J.; Xu, D.X.; Wanguemert-Perez, J.G.; Molina-Fernandez, I.; et al. Waveguide sub-wavelength structures: A review of principles and applications. Laser Photonics Rev. 2015, 9, 25–49. [Google Scholar] [CrossRef]
- Yang, J.Y.; Dong, Y.; Xu, Y.; Zhang, B.; Ni, Y. Broadband and high-extinction-ratio polarization beam splitter on tilted subwavelength gratings waveguides. Appl. Optics 2020, 59, 7705–7711. [Google Scholar] [CrossRef]
- Selvaraja, S.K.; Bogaerts, W.; Dumon, P.; Van Thourhout, D.; Baets, R. Subnanometer Linewidth Uniformity in Silicon Nanophotonic Waveguide Devices Using CMOS Fabrication Technology. IEEE J. Sel. Top. Quant. 2010, 16, 316–324. [Google Scholar] [CrossRef]
- Xiong, Y.L.; Wanguemert-Perez, J.G.; Xu, D.X.; Schmid, J.H.; Cheben, P.; Ye, W.N. Polarization splitter and rotator with subwavelength grating for enhanced fabrication tolerance. Opt. Lett. 2014, 39, 6931–6934. [Google Scholar] [CrossRef]
- Xie, C.J.; Zou, X.H.; Zou, F.; Zhang, Y. High-performance ultra-compact polarization splitterrotators based on dual-etching and tapered asymmetrical directional coupler. Chin. Opt. Lett. 2021, 19, 1671–7694. [Google Scholar] [CrossRef]
- Jiang, W.F. Fabrication-Tolerant Polarization Splitter and Rotator Based on Slanted Silicon Waveguides. IEEE Photonics Technol. Lett. 2018, 30, 614–617. [Google Scholar] [CrossRef]
- Wang, J.; Niu, B.; Sheng, Z.; Wu, A.M.; Wang, X.; Zou, S.C.; Qi, M.H.; Gan, F.W. Design of a SiO2 top-cladding and compact polarization splitter-rotator based on a rib directional coupler. Opt. Express 2014, 22, 4137–4143. [Google Scholar] [CrossRef]










| Structures | Footprint | PCL | PCR | ER | Bandwidth | Fabrication |
|---|---|---|---|---|---|---|
| PSR based on SWG [39] | 50 μm | −0.13 dB | 97% | 10 dB | 35 nm (PCL > −0.4 dB) | No |
| PSR based on asymmetrical directional coupler [40] | 28 μm | −0.18 dB | 95.9% | 28 dB | 45 nm (PCL > −1 dB) | Yes |
| PSR based on slanted silicon waveguides [41] | 55 μm | / | 19.92 dB | 100 nm (PCL > −0.5 dB) | No | |
| PSR based on rib directional coupler [42] | 24 μm | −0.13 dB | 97% | / | 100 nm (ER < 19 dB) | No |
| This work | ~13.5 μm | −0.15 dB | 96.5% | 20.34 dB | 112 nm (PCL > −0.46 dB) | No |
Publisher’s Note: MDPI stays neutral with regard to jurisdictional claims in published maps and institutional affiliations. |
© 2022 by the authors. Licensee MDPI, Basel, Switzerland. This article is an open access article distributed under the terms and conditions of the Creative Commons Attribution (CC BY) license (https://creativecommons.org/licenses/by/4.0/).
Share and Cite
Dong, C.; Dai, S.; Xia, J.; Tong, G.; Wu, Z.; Zhang, H.; Du, B. Ultracompact Polarization Splitter–Rotator Based on Shallowly Etched Subwavelength Gratings and Anisotropic Metasurfaces. Nanomaterials 2022, 12, 3506. https://doi.org/10.3390/nano12193506
Dong C, Dai S, Xia J, Tong G, Wu Z, Zhang H, Du B. Ultracompact Polarization Splitter–Rotator Based on Shallowly Etched Subwavelength Gratings and Anisotropic Metasurfaces. Nanomaterials. 2022; 12(19):3506. https://doi.org/10.3390/nano12193506
Chicago/Turabian StyleDong, Chengkun, Sijie Dai, Jun Xia, Guodong Tong, Zhihai Wu, Hao Zhang, and Bintao Du. 2022. "Ultracompact Polarization Splitter–Rotator Based on Shallowly Etched Subwavelength Gratings and Anisotropic Metasurfaces" Nanomaterials 12, no. 19: 3506. https://doi.org/10.3390/nano12193506
APA StyleDong, C., Dai, S., Xia, J., Tong, G., Wu, Z., Zhang, H., & Du, B. (2022). Ultracompact Polarization Splitter–Rotator Based on Shallowly Etched Subwavelength Gratings and Anisotropic Metasurfaces. Nanomaterials, 12(19), 3506. https://doi.org/10.3390/nano12193506

