Influence of Grain Boundary Scattering on the Field-Effect Mobility of Solid-Phase Crystallized Hydrogenated Polycrystalline In2O3 (In2O3:H)
Abstract
:1. Introduction
2. Materials and Methods
2.1. Fabrication of In2O3:H TFTs
2.2. Characterization Methods
3. Results and Discussion
3.1. Electrical Properties of In2O3:H Films
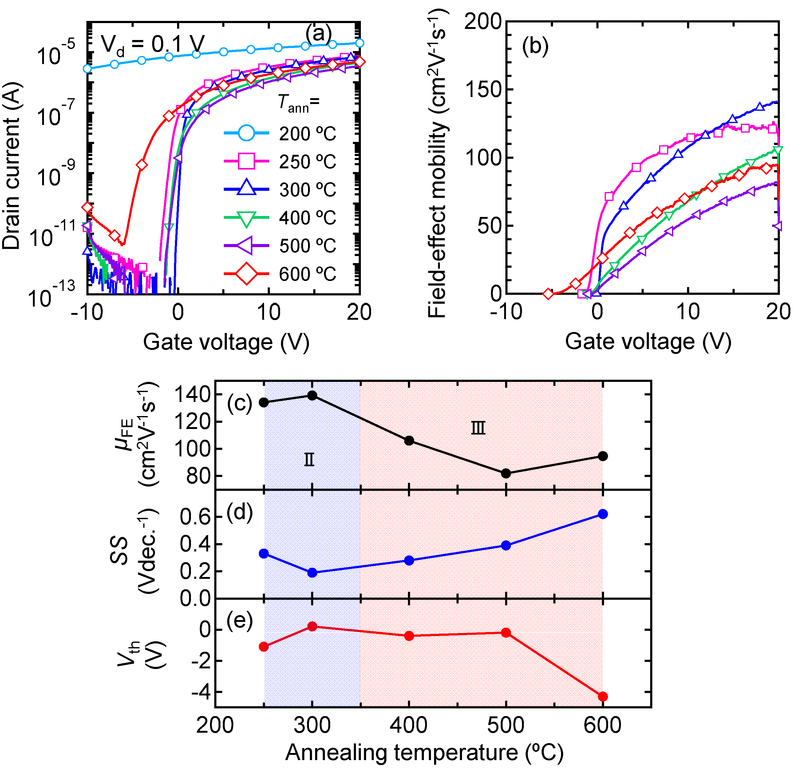
3.2. Electrical Properties of In2O3:H TFTs
3.3. Structural Properties of In2O3:H Films
4. Conclusions
Supplementary Materials
Author Contributions
Funding
Institutional Review Board Statement
Informed Consent Statement
Data Availability Statement
Acknowledgments
Conflicts of Interest
References
- Nomura, K.; Ohta, H.; Takagi, A.; Kamiya, T.; Hirano, M.; Hosono, H. Room-temperature fabrication of transparent flexible thin-film transistors using amorphous oxide semiconductors. Nature 2004, 432, 488–492. [Google Scholar] [CrossRef] [PubMed]
- Kamiya, T.; Hosono, H. Material characteristics and applications of transparent amorphous oxide semiconductors. NPG Asia Mater. 2010, 2, 15–22. [Google Scholar] [CrossRef]
- Takeda, Y.; Aman, M.; Murashige, S.; Ito, K.; Ishida, I.; Matsukizono, H.; Makita, N. Automotive OLED display with high mobility top gate IGZO TFT backplane. ITE Trans. Media Technol. Appl. 2020, 8, 224–229. [Google Scholar] [CrossRef]
- Kamiya, T.; Nomura, K.; Hosono, H. Origins of High Mobility and Low Operation Voltage of Amorphous Oxide TFTs: Electronic Structure, Electron Transport, Defects and Doping*. J. Disp. Technol. 2009, 5, 468–483. [Google Scholar] [CrossRef]
- Kamiya, T.; Nomura, K.; Hosono, H. Present status of amorphous In–Ga–Zn–O thin-film transistors. Sci. Technol. Adv. Mater. 2010, 11, 044305. [Google Scholar] [CrossRef]
- Ide, K.; Nomura, K.; Hosono, H.; Kamiya, T. Electronic Defects in Amorphous Oxide Semiconductors: A Review. Phys. Status Solidi Appl. Mater. Sci. 2019, 216, 1800372. [Google Scholar] [CrossRef]
- Toda, T.; Tatsuoka, G.; Magari, Y.; Furuta, M. High-performance top-gate and self-aligned In–Ga–Zn–O thin-film transistor using coatable organic insulators fabricated at 150 °C. IEEE Electron Device Lett. 2016, 37, 1006–1009. [Google Scholar] [CrossRef]
- Magari, Y.; Makino, H.; Furuta, M. Carrier generation mechanism and origin of subgap states in Ar- and He-plasma-treated In–Ga–Zn–O thin films. ECS J. Solid State Sci. Technol. 2017, 6, Q101–Q107. [Google Scholar] [CrossRef]
- Magari, Y.; Furura, M. Effects of water and hydrogen introduction during In–Ga–Zn–O sputtering on the performance of low-temperature processed thin-film transistors. Jpn. J. Appl. Phys. 2021, 60, SBBM04. [Google Scholar] [CrossRef]
- Magari, Y.; Aman, S.G.M.; Koretomo, D.; Masuda, K.; Shimpo, K.; Furura, M. Low-Temperature (150 °C) processed metal-semiconductor field-effect transistor with a hydrogenated In–Ga–Zn–O stacked channel. Jpn. J. Appl. Phys. 2020, 59, 2–7. [Google Scholar] [CrossRef]
- Furuta, M.; Koretomo, D.; Magari, Y.; Aman, S.G.M.; Higashi, R.; Hamada, S. Heterojunction channel engineering to enhance performance and reliability of amorphous In–Ga–Zn–O thin-film transistors. Jpn. J. Appl. Phys. 2019, 58, 090604. [Google Scholar] [CrossRef]
- Aman, S.G.M.; Koretomo, D.; Magari, Y.; Furuta, M. Influence of Deposition Temperature and Source Gas in PE-CVD for SiO2 Passivation on Performance and Reliability of In–Ga–Zn–O Thin-Film Transistors. IEEE Trans. Electron Devices 2018, 65, 3257–3263. [Google Scholar] [CrossRef]
- Ohshima, H. Value of LTPS: Present and future. SID Symp. Dig. Tech. Pap. 2014, 45, 75–78. [Google Scholar] [CrossRef]
- Nomura, K.; Ohta, H.; Ueda, K.; Kamiya, T.; Hirano, M.; Hosono, H. Thin-film transistor fabricated in single-crystalline transparent oxide semiconductor. Science 2003, 300, 1269–1272. [Google Scholar] [CrossRef] [PubMed]
- Aikawa, S.; Nabatame, T.; Tsukagoshi, K. Effects of dopants in InOx-based amorphous oxide semiconductors for thin-film transistor applications. Appl. Phys. Lett. 2013, 103, 172105. [Google Scholar] [CrossRef]
- Nakata, M.; Zhao, C.; Kanicki, J. DC Sputtered Amorphous In–Sn–Zn–O Thin-Film Transistors Electricalproperties and Stability. Solid-State Electron. 2016, 116, 22–29. [Google Scholar] [CrossRef]
- Shiah, Y.S.; Sim, K.; Ueda, S.; Kim, J.; Hosono, H. Unintended Carbon-related Impurity and Negative Bias Instability in High-Mobility Oxide TFTs. IEEE Electron Device Lett. 2021, 42, 1319–1322. [Google Scholar] [CrossRef]
- Koretomo, D.; Hashimoto, Y.; Hamada, S.; Miyanaga, M.; Furuta, M. Influence of a SiO2 passivation on electrical properties and reliability of In–W–Zn–O thin-film transistor. Jpn. J. Appl. Phys. 2019, 58, 018003. [Google Scholar] [CrossRef]
- Takahashi, T.; Fujii, M.N.; Miyanaga, R.; Miyanaga, M.; Ishikawa, Y.; Uraoka, Y. Unique degradation under AC stress in high-mobility amorphous In–W–Zn–O thin-film transistors. Appl. Phys. Express 2020, 13, 054003. [Google Scholar] [CrossRef]
- Yang, J.H.; Choi, J.H.; Cho, S.H.; Pi, J.E.; Kim, H.O.; Hwang, C.S.; Park, K.; Yoo, S. Highly Stable AlInZnSnO and InZnO Double-Layer Oxide Thin-Film Transistors with Mobility over 50 cm2/Vs for High-Speed Operation. IEEE Electron Device Lett. 2018, 39, 508–511. [Google Scholar] [CrossRef]
- Choi, I.M.; Kim, M.J.; On, N.; Song, A.; Chung, K.B.; Jeong, H.; Park, J.K.; Jeong, J.K. Achieving High Mobility and Excellent Stability in Amorphous In–Ga–Zn–Sn–O Thin-Film Transistors. IEEE Trans. Electron Devices 2020, 67, 1014–1020. [Google Scholar] [CrossRef]
- Lee, S.Y. Comprehensive Review on Amorphous Oxide Semiconductor Thin Film Transistor. Trans. Electr. Electron. Mater. 2020, 21, 235–248. [Google Scholar] [CrossRef]
- Dhananjay; Chu, C.W. Realization of In2O3 thin film transistors through reactive evaporation process. Appl. Phys. Lett. 2007, 91, 132111. [Google Scholar] [CrossRef]
- Hirao, T.; Furuta, M.; Furuta, H.; Matsuda, T.; Hiramatsu, T.; Hokari, H.; Yoshida, M.; Ishii, H.; Kakegawa, M. Novel top-gate zinc oxide thin-film transistors (ZnO TFTs) for AMLCDs. J. Soc. Inf. Disp. 2007, 15, 17–22. [Google Scholar] [CrossRef]
- Presley, R.E.; Munsee, C.L.; Park, C.H.; Hong, D.; Wager, J.F.; Keszler, D.A. Tin oxide transparent thin-film transistors. J. Phys. D Appl. Phys. 2004, 37, 2810–2813. [Google Scholar] [CrossRef]
- Higashi, S.; Ozaki, K.; Sakamoto, K.; Kano, Y.; Sameshima, T. Electrical properties of excimer-laser-crystallized lightly doped polycrystalline silicon films. Jpn. J. Appl. Phys. Part 2 Lett. 1999, 38, L857. [Google Scholar] [CrossRef]
- Higashi, S.; Sugakawa, K.; Kaku, H.; Okada, T.; Miyazaki, S. Characterization of microcrystalline silicon thin film transistors fabricated by thermal plasma jet crystallization technique. Jpn. J. Appl. Phys. 2010, 49, 8–11. [Google Scholar] [CrossRef]
- Koida, T.; Fujiwara, H.; Kondo, M. Hydrogen-doped In2o3 as high-mobility transparent conductive oxide. Jpn. J. Appl. Phys. Part 2 Lett. 2007, 46, 26–29. [Google Scholar] [CrossRef]
- Magari, Y.; Kataoka, T.; Yeh, W.; Furura, M. High-Mobility Hydrogenated Polycrystalline In2O3 (In2O3:H) Thin-Film Transistors. Nat. Commun. 2022, 13, 1078. [Google Scholar] [CrossRef]
- Weiher, R.L. Electrical properties of single crystals of indium oxide. J. Appl. Phys. 1962, 33, 2834–2839. [Google Scholar] [CrossRef]
- Ravel, B.; Newville, M. Athena, Artemis, Hephaestus: Data analysis for X-ray absorption spectroscopy using IFEFFIT. J. Synchrotron Radiat. 2005, 12, 537–541. [Google Scholar] [CrossRef] [PubMed]
- Fujiwara, H.; Kondo, M. Effects of carrier concentration on the dielectric function of ZnO:Ga and In2O3:Sn studied by spectroscopic ellipsometry: Analysis of free-carrier and band-edge absorption. Phys. Rev. B Condens. Matter Mater. Phys. 2005, 71, 075109. [Google Scholar] [CrossRef]
- Koida, T.; Kondo, M.; Tsutsumi, K.; Sakaguchi, A.; Suzuki, M.; Fujiwara, H. Hydrogen-doped In2O3 transparent conducting oxide films prepared by solid-phase crystallization method. J. Appl. Phys. 2010, 107, 033514. [Google Scholar] [CrossRef]
- Kataoka, T.; Magari, Y.; Makino, H.; Furuta, M. Nondegenerate Polycrystalline Hydrogen-Doped Indium Oxide (InOX: H) Thin Films Formed by Low-Temperature Solid-Phase Crystallization for Thin Film Transistors. Materials 2022, 15, 187. [Google Scholar] [CrossRef]
- Furuta, M.; Shimpo, K.; Kataoka, T.; Tanaka, D.; Matsumura, T.; Magari, Y.; Velichko, R.; Sasaki, D.; Kawashima, E.; Tsuruma, Y. High Mobility Hydrogenated Polycrystalline In–Ga–O (IGO:H) Thin-Film. J. Soc. Inf. Disp. 2021, 52, 69–72. [Google Scholar] [CrossRef]
- Ellmer, K.; Vollweiler, G. Electrical transport parameters of heavily-doped zinc oxide and zinc magnesium oxide single and multilayer films heteroepitaxially grown on oxide single crystals. Thin Solid Film. 2006, 496, 104–111. [Google Scholar] [CrossRef]
- Heald, S.; Alshammari, M.S.; Alfehaid, S.; Alotaibi, M.; Feng, Q.; Hakimi, A.M.H.R. XAFS study of metal-doped In2O3. J. Phys. Conf. Ser. 2013, 430, 8–12. [Google Scholar] [CrossRef]
- Aliano, A.; Catellani, A.; Cicero, G. Characterization of amorphous In2O3: An ab initio molecular dynamics study. Appl. Phys. Lett. 2011, 99, 211913. [Google Scholar] [CrossRef]
- Buchholz, D.B.; Ma, Q.; Alducin, D.; Ponce, A.; Jose-Yacaman, M.; Khanal, R.; Medvedeva, J.E.; Chang, R.P.H. The structure and properties of amorphous indium oxide. Chem. Mater. 2014, 26, 5401–5411. [Google Scholar] [CrossRef]
- Magari, Y.; Aman, S.G.M.; Koretomo, D.; Masuda, K.; Shimpo, K.; Makino, H.; Kimura, M.; Furuta, M. Record-High-Performance Hydrogenated In-Ga-Zn-O Flexible Schottky Diodes. ACS Appl. Mater. Interfaces 2020, 12, 47739–47746. [Google Scholar] [CrossRef]
- Aman, S.G.M.; Magari, Y.; Shimpo, K.; Hirota, Y.; Makino, H.; Koretomo, D.; Furuta, M. Low-Temperature (150 °C) Activation of Ar+O2+H2-Sputtered In–Ga–Zn–O for Thin-Film Transistors. Appl. Phys. Express 2018, 11, 081101. [Google Scholar] [CrossRef]
- Koretomo, D.; Hamada, S.; Mori, M.; Magari, Y.; Furuta, M.; Furuta, M.; Furuta, M. Marked improvement in reliability of 150 °C processed IGZO thin-film transistors by applying hydrogenated IGZO as a channel material. Appl. Phys. Express 2020, 13, 076501. [Google Scholar] [CrossRef]
- Magari, Y.; Aman, S.G.M.; Sasaki, D.; Furuta, M. Activation of igzo devices at 150 °C via reduction process using hydrogen gas during sputtering. SID Symp. Dig. Tech. Pap. 2021, 52, 1096–1099. [Google Scholar] [CrossRef]
- Velichko, R.; Magari, Y. Defect Passivation and Carrier Reduction Mechanisms in Hydrogen-Doped In–Ga–Zn–O (IGZO:H) Films upon Low-Temperature Annealing for Flexible Device Applications. Materials 2022, 15, 334. [Google Scholar] [CrossRef] [PubMed]





| 1st Shell (In–O) | 2nd Shell (In–In) | 3rd Shell (In–In*) | |||||
|---|---|---|---|---|---|---|---|
| Tann (°C) | RIn–O (Å) | σ2In–O (Å2) | RIn–In (Å) | σ2In–In (Å2) | RIn–In* (Å) | σ2In–In* (Å2) | |
| In2O3 | as-depo. | 2.16 | 0.0090 | 3.35 | 0.0065 | 3.82 | 0.0066 |
| In2O3 | 300 | 2.16 | 0.0073 | 3.36 | 0.0062 | 3.83 | 0.0063 |
| In2O3:H | as-depo. | 2.13 | 0.0112 | - | - | - | - |
| In2O3:H | 200 | 2.16 | 0.0072 | 3.36 | 0.0059 | 3.83 | 0.0051 |
| In2O3:H | 300 | 2.17 | 0.0072 | 3.36 | 0.0056 | 3.84 | 0.0049 |
| In2O3:H | 600 | 2.17 | 0.0072 | 3.37 | 0.0051 | 3.84 | 0.0046 |
Publisher’s Note: MDPI stays neutral with regard to jurisdictional claims in published maps and institutional affiliations. |
© 2022 by the authors. Licensee MDPI, Basel, Switzerland. This article is an open access article distributed under the terms and conditions of the Creative Commons Attribution (CC BY) license (https://creativecommons.org/licenses/by/4.0/).
Share and Cite
Magari, Y.; Yeh, W.; Ina, T.; Furuta, M. Influence of Grain Boundary Scattering on the Field-Effect Mobility of Solid-Phase Crystallized Hydrogenated Polycrystalline In2O3 (In2O3:H). Nanomaterials 2022, 12, 2958. https://doi.org/10.3390/nano12172958
Magari Y, Yeh W, Ina T, Furuta M. Influence of Grain Boundary Scattering on the Field-Effect Mobility of Solid-Phase Crystallized Hydrogenated Polycrystalline In2O3 (In2O3:H). Nanomaterials. 2022; 12(17):2958. https://doi.org/10.3390/nano12172958
Chicago/Turabian StyleMagari, Yusaku, Wenchang Yeh, Toshiaki Ina, and Mamoru Furuta. 2022. "Influence of Grain Boundary Scattering on the Field-Effect Mobility of Solid-Phase Crystallized Hydrogenated Polycrystalline In2O3 (In2O3:H)" Nanomaterials 12, no. 17: 2958. https://doi.org/10.3390/nano12172958
APA StyleMagari, Y., Yeh, W., Ina, T., & Furuta, M. (2022). Influence of Grain Boundary Scattering on the Field-Effect Mobility of Solid-Phase Crystallized Hydrogenated Polycrystalline In2O3 (In2O3:H). Nanomaterials, 12(17), 2958. https://doi.org/10.3390/nano12172958

