Coupled Effects of Using Magnetic Field, Rotation and Wavy Porous Layer on the Forced Convection of Hybrid Nanoliquid Flow over 3D-Backward Facing Step
Abstract
:1. Introduction
2. Computational Model
2.1. Thermo-Fluid System and Governing Equations
2.2. Solution Method
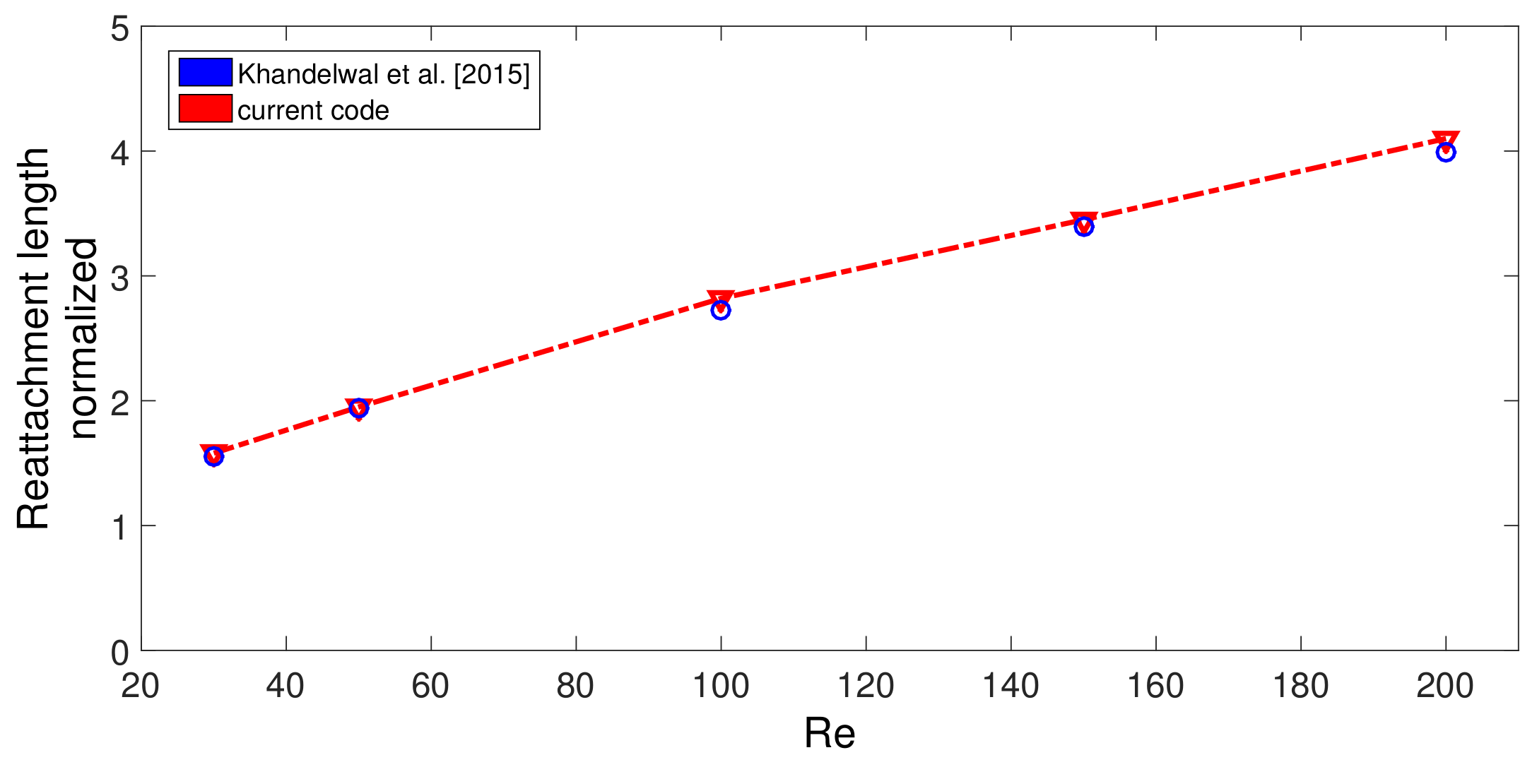
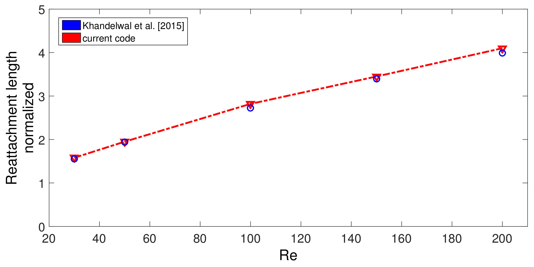
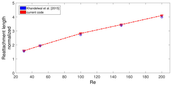
2.3. Grid Independence and Code Validation
3. Results and Discussion
4. Conclusions
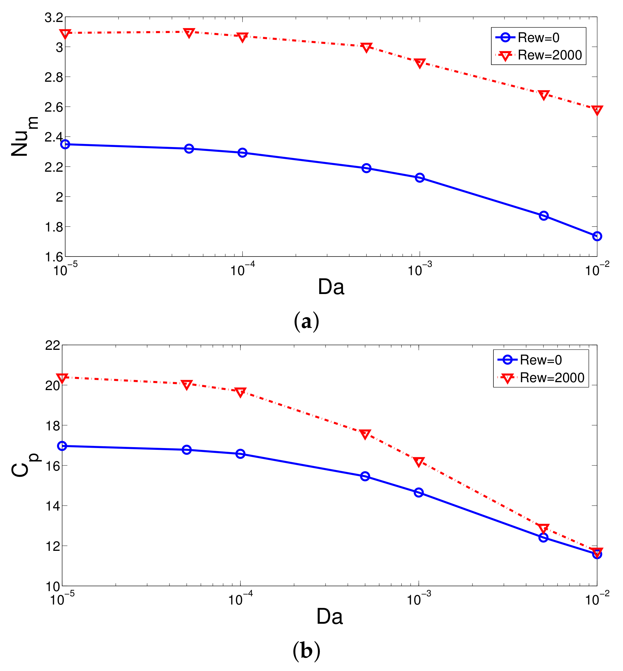
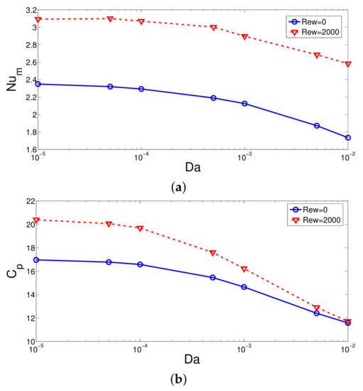
- The average Nu increases as the value of Re and Rew increase, while the HT values are higher for the case when the PL with lower permeability is installed. The Nu values are 13% higher at Re = 100, while they are 25% higher at Re = 500 when the cases between the lowest and highest PL permeability are compared.
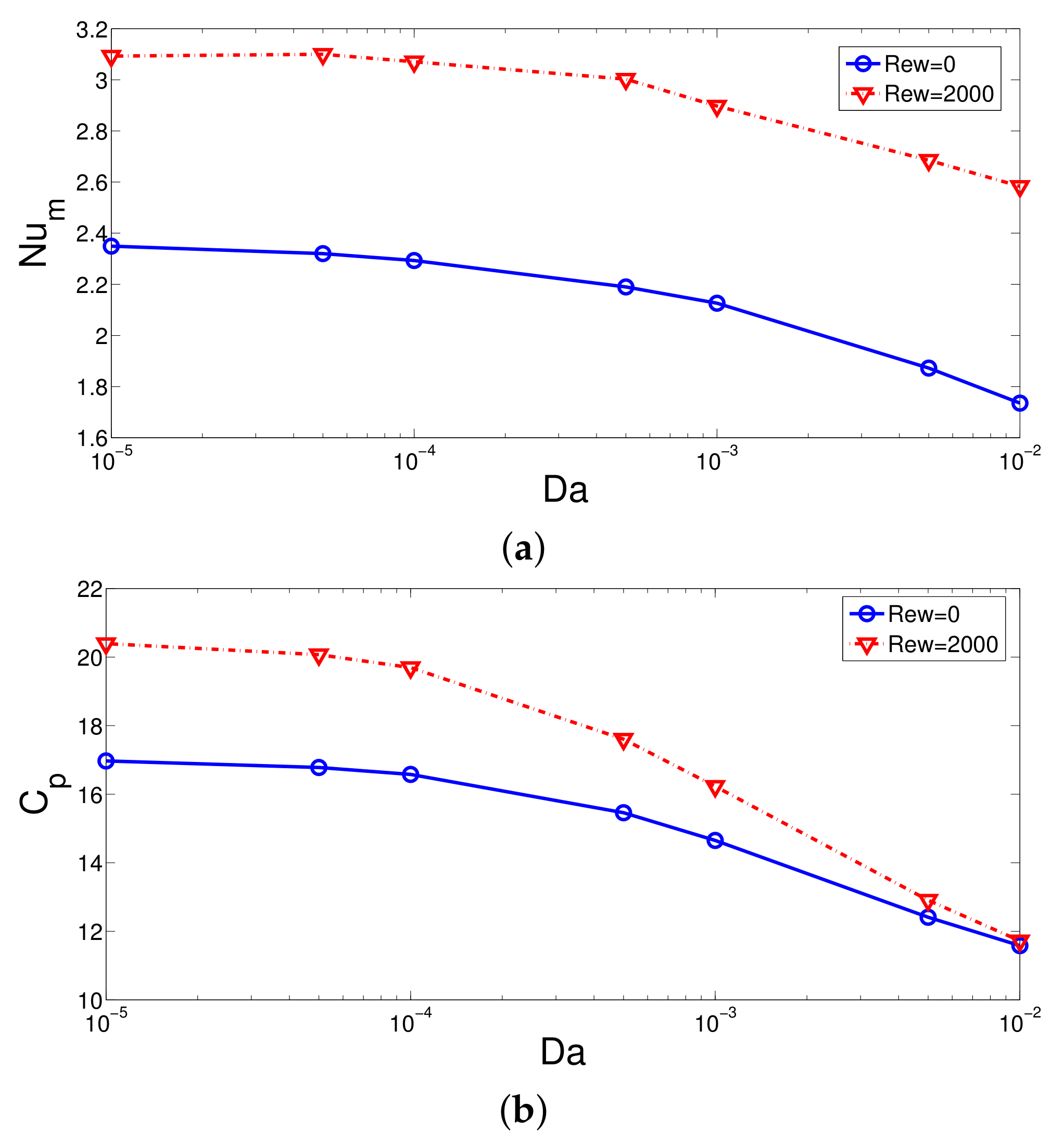
- The average Nu increment up to 47.6% is obtained when the rotation of the surface is activated at Rew = 2000. The suppression of the vortex behind the step with rotation is profound for the PL with higher permeability, while the pressure coefficient rises by about 13%
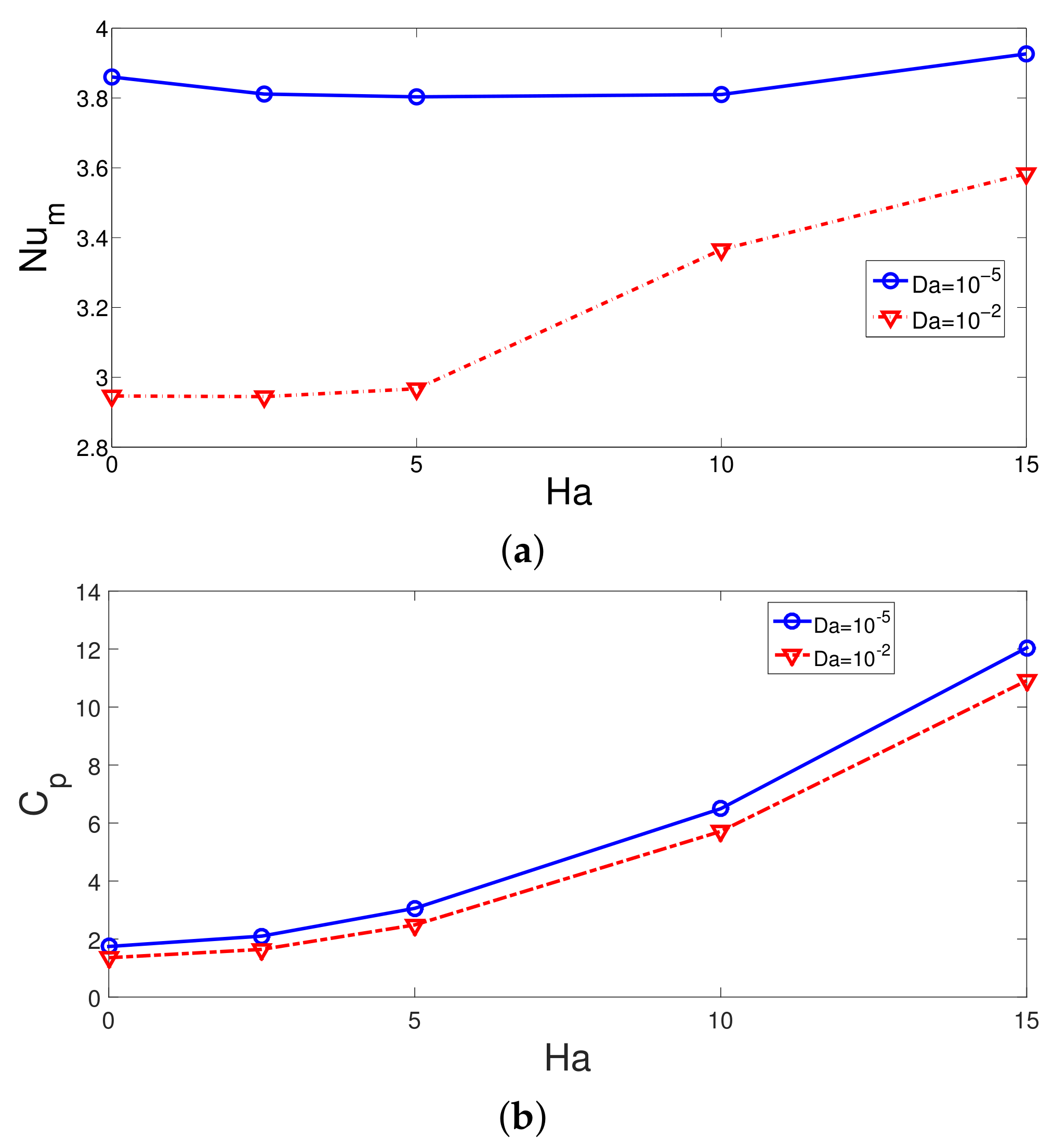
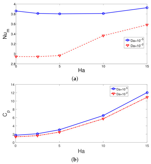
- When MaF is imposed, significant impact on the vortex suppression is seen for the case with higher permeability of the PL. The average Nu rises by about 21.8% at the highest MaF strength at Da = , while it is less than 2% at Da = .
- In the absence and presence of MaF effects, by using the PL with the lowest and highest permeability, the difference between the pressure coefficient becomes 28% and 11%.
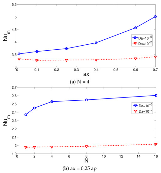
- By using wavy PL and varying its parameters, convective HT control can be achieved while highest effects on the thermal performance improvements are achieved.
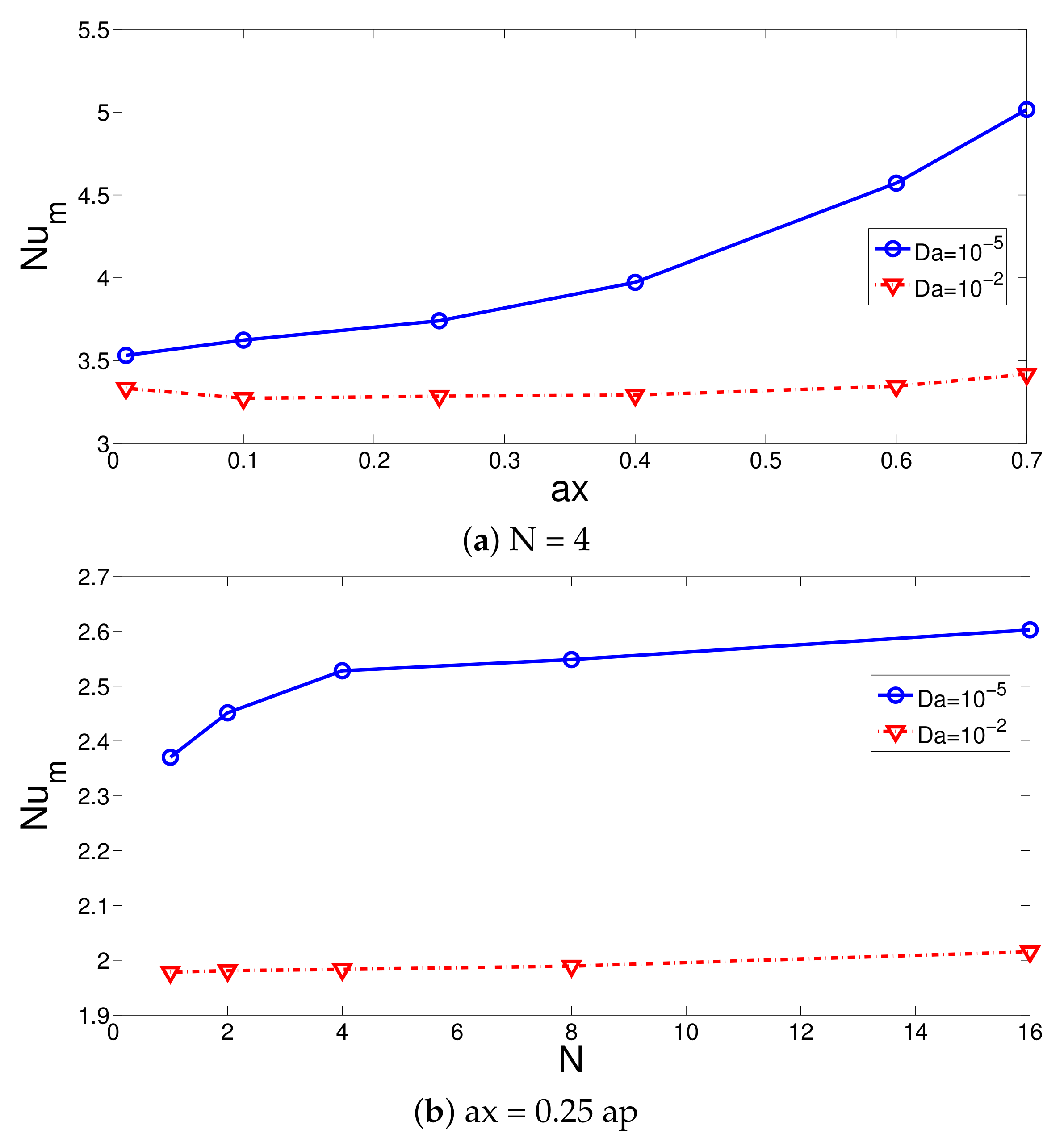
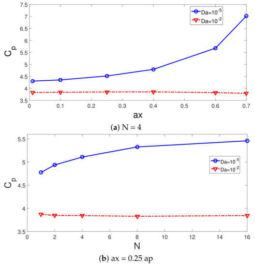
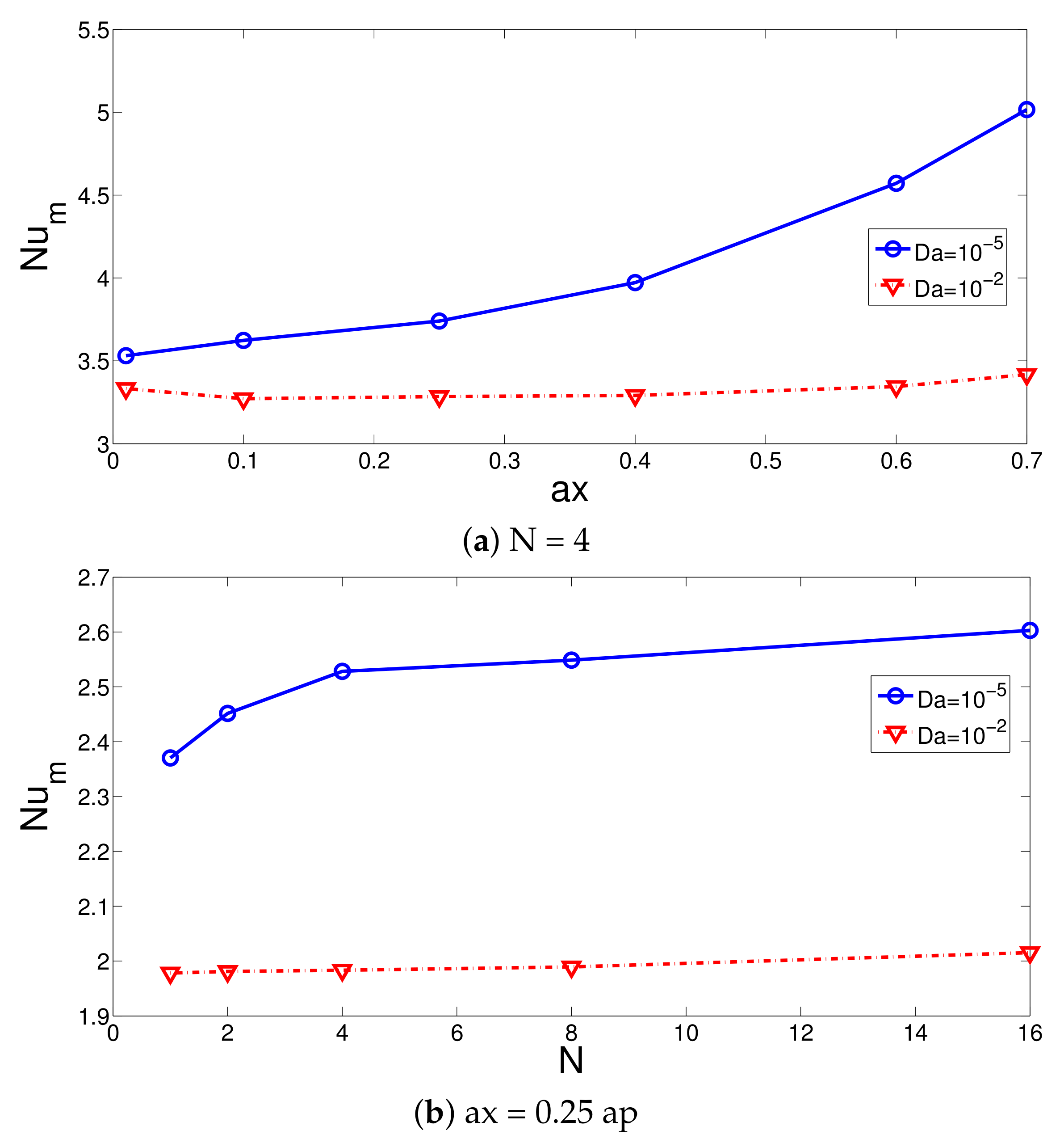
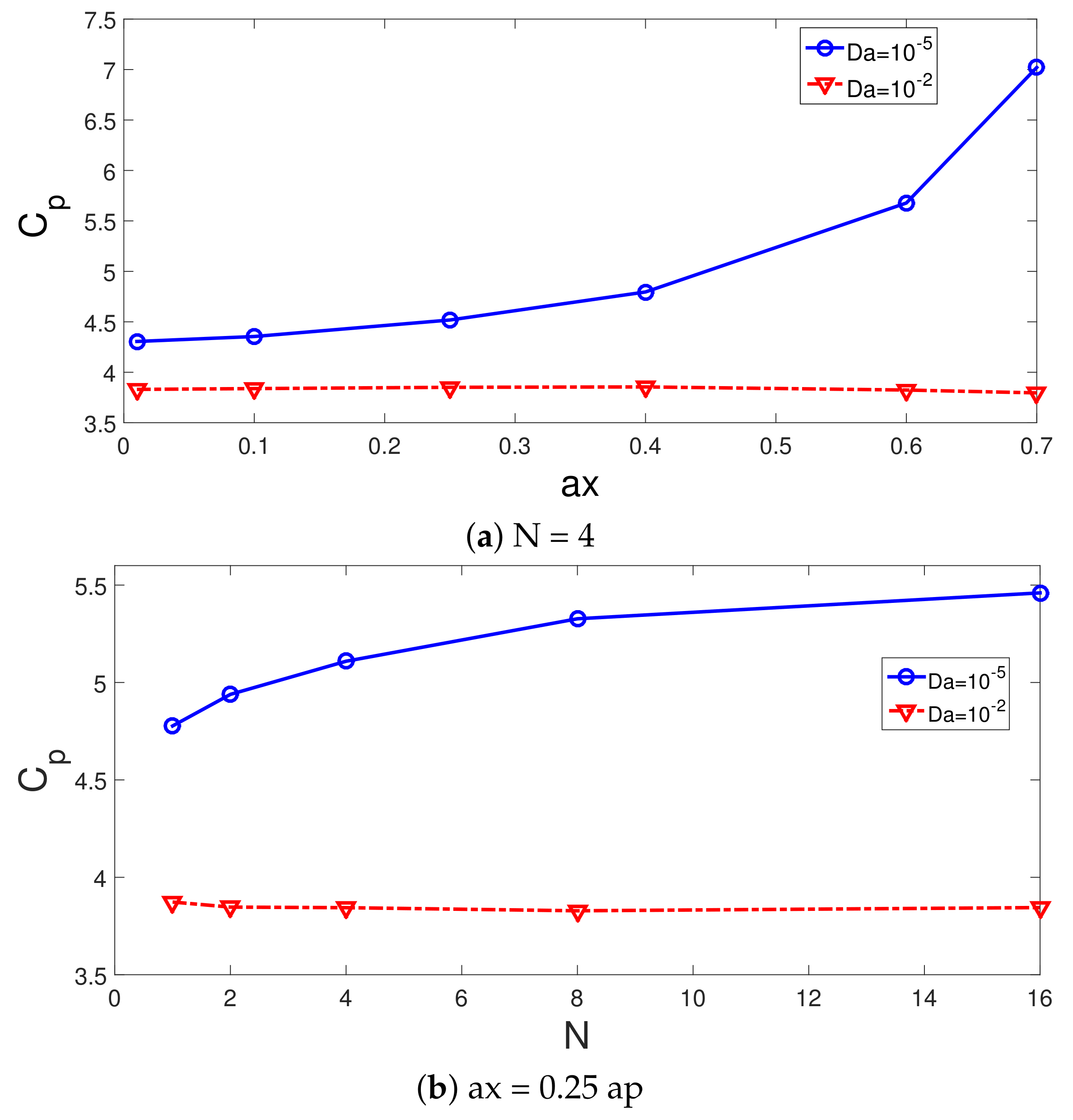
- Wave amplitude is more influential on the thermal performance improvement as compared to wave number of the corrugation. When wave corrugation amplitude rises, the increments in the average Nu and Cp become 42% and 62.8%. However, when the wave number is increased from 1 to 16, they increase by about 9.7% and 14.46%.
- Thermal performance estimations are made by using 25 neurons in the hidden layer. The ANN model with four inputs (Re, Ew, Da, Ha) and two outputs (average Nu, pressure coefficient) is considered. Fast and accurate thermal predictions are made with neural modeling of convective flow over 3D BFS considering the coupled effects of MaF, surface rotation and installation of a wavy porous layer.
Author Contributions
Funding
Institutional Review Board Statement
Informed Consent Statement
Data Availability Statement
Conflicts of Interest
Abbreviations
| a | wave amplitude |
| Da | Darcy number |
| G | nodal value |
| H | step height |
| Ha | Hartmann number |
| k | thermal conductivity |
| L | length |
| n | unit normal vector |
| N | wave number |
| Nu | Nusselt number |
| p | pressure |
| Pr | Prandtl number |
| Re | Reynolds number |
| Rew | rotational Reynolds number |
| T | temperature |
| u, v, w | velocity components |
| r, z | cylindrical coordinates |
| Greek Characters | |
| kinematic viscosity | |
| density of the fluid | |
| solid volume fraction | |
| rotational speed | |
| porosity | |
| permeability | |
| shape function | |
| Subscripts | |
| c | cold |
| h | hot |
| m | average |
| nf | nanofluid |
| p | solid particle |
| Abbreviations | |
| ANN | artificial neural net |
| BFS | backward facing step |
| CFD | computational fluid dynamics |
| FP | flow pattern |
| HT | heat transfer |
| MaF | magnetic field |
| MSE | mean squared error |
| PL | porous layer |
References
- Armaly, B.F.; Durst, F.; Pereira, J.; Schönung, B. Experimental and theoretical investigation of backward-facing step flow. J. Fluid Mech. 1983, 127, 473–496. [Google Scholar] [CrossRef]
- Chen, L.; Asai, K.; Nonomura, T.; Xi, G.; Liu, T. A review of Backward-Facing Step (BFS) flow mechanisms, heat transfer and control. Therm. Sci. Eng. Prog. 2018, 6, 194–216. [Google Scholar] [CrossRef]
- Li, Z.; Guo, S.; Bai, H.; Gao, N. Combined flow and heat transfer measurements of backward facing step flows under periodic perturbation. Int. J. Heat Mass Transf. 2019, 130, 240–251. [Google Scholar] [CrossRef]
- Kherbeet, A.S.; Safaei, M.R.; Mohammed, H.; Salman, B.; Ahmed, H.E.; Alawi, O.A.; Al-Asadi, M. Heat transfer and fluid flow over microscale backward and forward facing step: A review. Int. Commun. Heat Mass Transf. 2016, 76, 237–244. [Google Scholar] [CrossRef]
- Xie, W.; Xi, G. Fluid flow and heat transfer characteristics of separation and reattachment flow over a backward-facing step. Int. J. Refrig. 2017, 74, 177–189. [Google Scholar] [CrossRef]
- Hilo, A.K.; Iborra, A.A.; Sultan, M.T.H.; Hamid, M.F.A. Effect of corrugated wall combined with backward-facing step channel on fluid flow and heat transfer. Energy 2020, 190, 116294. [Google Scholar] [CrossRef]
- Xu, J.; Zou, S.; Inaoka, K.; Xi, G. Effect of Reynolds number on flow and heat transfer in incompressible forced convection over a 3D backward-facing step. Int. J. Refrig. 2017, 79, 164–175. [Google Scholar] [CrossRef]
- Saldana, J.B.; Anand, N.; Sarin, V. Numerical simulation of mixed convective flow over a three-dimensional horizontal backward facing step. J. Heat Transf. 2005, 127, 1027–1036. [Google Scholar] [CrossRef] [Green Version]
- Williams, P.; Baker, A. Numerical simulations of laminar flow over a 3D backward-facing step. Int. J. Numer. Methods Fluids 1997, 24, 1159–1183. [Google Scholar] [CrossRef]
- Lan, H.; Armaly, B.; Drallmeier, J. Three-dimensional simulation of turbulent forced convection in a duct with backward-facing step. Int. J. Heat Mass Transf. 2009, 52, 1690–1700. [Google Scholar] [CrossRef]
- Danane, F.; Boudiaf, A.; Mahfoud, O.; Ouyahia, S.E.; Labsi, N.; Benkahla, Y.K. Effect of backward facing step shape on 3D mixed convection of Bingham fluid. Int. J. Therm. Sci. 2020, 147, 106116. [Google Scholar] [CrossRef]
- Dol, S.S.; Salek, M.M.; Martinuzzi, R.J. Energy redistribution between the mean and pulsating flow field in a separated flow region. J. Fluids Eng. 2014, 136, 111105. [Google Scholar] [CrossRef]
- Selimefendigil, F.; Öztop, H.F. Forced convection and thermal predictions of pulsating nanofluid flow over a backward facing step with a corrugated bottom wall. Int. J. Heat Mass Transf. 2017, 110, 231–247. [Google Scholar] [CrossRef]
- Velazquez, A.; Arias, J.; Mendez, B. Laminar heat transfer enhancement downstream of a backward facing step by using a pulsating flow. Int. J. Heat Mass Transf. 2008, 51, 2075–2089. [Google Scholar] [CrossRef] [Green Version]
- Heshmati, A.; Mohammed, H.A.; Darus, A. Mixed convection heat transfer of nanofluids over backward facing step having a slotted baffle. Appl. Math. Comput. 2014, 240, 368–386. [Google Scholar] [CrossRef]
- Mohammed, H.; Alawi, O.A.; Wahid, M. Mixed convective nanofluid flow in a channel having backward-facing step with a baffle. Powder Technol. 2015, 275, 329–343. [Google Scholar] [CrossRef]
- Boruah, M.P.; Pati, S.; Randive, P.R. Implication of fluid rheology on the hydrothermal and entropy generation characteristics for mixed convective flow in a backward facing step channel with baffle. Int. J. Heat Mass Transf. 2019, 137, 138–160. [Google Scholar] [CrossRef]
- Selimefendigil, F.; Öztop, H.F. Numerical investigation and reduced order model of mixed convection at a backward facing step with a rotating cylinder subjected to nanofluid. Comput. Fluids 2015, 109, 27–37. [Google Scholar] [CrossRef]
- Kumar, A.; Dhiman, A.K. Effect of a circular cylinder on separated forced convection at a backward-facing step. Int. J. Therm. Sci. 2012, 52, 176–185. [Google Scholar] [CrossRef]
- Chatterjee, D.; Sengupta, A.; Debnath, N.; De, S. Influence of an adiabatic square cylinder on hydrodynamic and thermal characteristics in a two-dimensional backward-facing step channel. Heat Transf. Res. 2015, 46, 63–89. [Google Scholar] [CrossRef]
- Abu-Nada, E. Application of nanofluids for heat transfer enhancement of separated flows encountered in a backward facing step. Int. J. Heat Fluid Flow 2008, 29, 242–249. [Google Scholar] [CrossRef]
- Mohammed, H.A.; Fathinia, F.; Vuthaluru, H.B.; Liu, S. CFD based investigations on the effects of blockage shapes on transient mixed convective nanofluid flow over a backward facing step. Powder Technol. 2019, 346, 441–451. [Google Scholar] [CrossRef]
- Rostami, A.; Hosseinzadeh, K.; Ganji, D. Hydrothermal analysis of ethylene glycol nanofluid in a porous enclosure with complex snowflake shaped inner wall. Waves Random Complex Media 2022, 32, 1–18. [Google Scholar] [CrossRef]
- Waqas, H.; Farooq, U.; Alqarni, M.; Muhammad, T.; Khan, M.A. Bioconvection transport of magnetized micropolar nanofluid by a Riga plate with non-uniform heat sink/source. Waves Random Complex Media 2021, 1–20. [Google Scholar] [CrossRef]
- Hilo, A.K.; Iborra, A.A.; Sultan, M.T.H.; Hamid, M.F.A. Experimental study of nanofluids flow and heat transfer over a backward-facing step channel. Powder Technol. 2020, 372, 497–505. [Google Scholar] [CrossRef]
- Manzoor, U.; Imran, M.; Muhammad, T.; Waqas, H.; Alghamdi, M. Heat transfer improvement in hybrid nanofluid flow over a moving sheet with magnetic dipole. Waves Random Complex Media 2021, 1–15. [Google Scholar] [CrossRef]
- Alsabery, A.I.; Abosinnee, A.S.; Ismael, M.A.; Chamkha, A.J.; Hashim, I. Natural convection inside nanofluid superposed wavy porous layers using LTNE model. Waves Random Complex Media 2021, 1–29. [Google Scholar] [CrossRef]
- Kakaç, S.; Pramuanjaroenkij, A. Review of convective heat transfer enhancement with nanofluids. Int. J. Heat Mass Transf. 2009, 52, 3187–3196. [Google Scholar] [CrossRef]
- Kasaeian, A.; Daneshazarian, R.; Mahian, O.; Kolsi, L.; Chamkha, A.J.; Wongwises, S.; Pop, I. Nanofluid flow and heat transfer in porous media: A review of the latest developments. Int. J. Heat Mass Transf. 2017, 107, 778–791. [Google Scholar] [CrossRef]
- Ali, B.; Hussain, S.; Shafique, M.; Habib, D.; Rasool, G. Analyzing the interaction of hybrid base liquid C2H6O2–H2O with hybrid nano-material Ag–MoS2 for unsteady rotational flow referred to an elongated surface using modified Buongiorno’s model: FEM simulation. Math. Comput. Simul. 2021, 190, 57–74. [Google Scholar] [CrossRef]
- Shah, T.R.; Ali, H.M. Applications of hybrid nanofluids in solar energy, practical limitations and challenges: A critical review. Sol. Energy 2019, 183, 173–203. [Google Scholar] [CrossRef]
- Selimefendigil, F.; Öztop, H.F. Performance of TEG integrated channel with area expansion by using advanced passive techniques. Int. J. Mech. Sci. 2021, 194, 106210. [Google Scholar] [CrossRef]
- Rasool, G.; Shafiq, A.; Durur, H. Darcy-Forchheimer relation in Magnetohydrodynamic Jeffrey nanofluid flow over stretching surface. Discret. Contin. Dyn. Syst. 2021, 14, 2497. [Google Scholar] [CrossRef]
- Selimefendigil, F.; Öztop, H.F. Impacts of using an elastic fin on the phase change process under magnetic field during hybrid nanoliquid convection through a PCM-packed bed system. Int. J. Mech. Sci. 2022, 216, 106958. [Google Scholar] [CrossRef]
- Salman, S.; Talib, A.A.; Saadon, S.; Sultan, M.H. Hybrid nanofluid flow and heat transfer over backward and forward steps: A review. Powder Technol. 2020, 363, 448–472. [Google Scholar] [CrossRef]
- Mohammed, H.; Al-Aswadi, A.; Shuaib, N.; Saidur, R. Convective heat transfer and fluid flow study over a step using nanofluids: A review. Renew. Sustain. Energy Rev. 2011, 15, 2921–2939. [Google Scholar] [CrossRef]
- Atashafrooz, M. Effects of Ag-water nanofluid on hydrodynamics and thermal behaviors of three-dimensional separated step flow. Alex. Eng. J. 2018, 57, 4277–4285. [Google Scholar] [CrossRef]
- Nath, R.; Krishnan, M. Optimization of double diffusive mixed convection in a BFS channel filled with Alumina nanoparticle using Taguchi method and utility concept. Sci. Rep. 2019, 9, 19536. [Google Scholar] [CrossRef]
- Kherbeet, A.S.; Mohammed, H.; Ahmed, H.E.; Salman, B.; Alawi, O.A.; Safaei, M.R.; Khazaal, M. Mixed convection nanofluid flow over microscale forward-facing step—Effect of inclination and step heights. Int. Commun. Heat Mass Transf. 2016, 78, 145–154. [Google Scholar] [CrossRef]
- Nath, R.; Krishnan, M. Numerical study of double diffusive mixed convection in a backward facing step channel filled with Cu-water nanofluid. Int. J. Mech. Sci. 2019, 153, 48–63. [Google Scholar] [CrossRef]
- Selimefendigil, F.; Öztop, H.F. Effects of local curvature and magnetic field on forced convection in a layered partly porous channel with area expansion. Int. J. Mech. Sci. 2020, 179, 105696. [Google Scholar] [CrossRef]
- Costa, V.; Raimundo, A. Steady mixed convection in a differentially heated square enclosure with an active rotating circular cylinder. Int. J. Heat Mass Transf. 2010, 53, 1208–1219. [Google Scholar] [CrossRef]
- Khanafer, K.; Aithal, S.M.; Vafai, K. Mixed convection heat transfer in a differentially heated cavity with two rotating cylinders. Int. J. Therm. Sci. 2019, 135, 117–132. [Google Scholar] [CrossRef]
- Roslan, R.; Saleh, H.; Hashim, I. Effect of rotating cylinder on heat transfer in a square enclosure filled with nanofluids. Int. J. Heat Mass Transf. 2012, 55, 7247–7256. [Google Scholar] [CrossRef]
- Abdulrazzaq, T.; Togun, H.; Goodarzi, M.; Kazi, S.; Ariffin, M.; Adam, N.; Hooman, K. Turbulent heat transfer and nanofluid flow in an annular cylinder with sudden reduction. J. Therm. Anal. Calorim. 2020, 141, 373–385. [Google Scholar] [CrossRef]
- Alawi, O.; Sidik, N.C.; Kazi, S.; Abdolbaqi, M.K. Comparative study on heat transfer enhancement and nanofluids flow over backward and forward facing steps. J. Adv. Res. Fluid Mech. Therm. Sci. 2016, 23, 25–49. [Google Scholar]
- Geridönmez, B.P.; Öztop, H.F. Effects of inlet velocity profiles of hybrid nanofluid flow on mixed convection through a backward facing step channel under partial magnetic field. Chem. Phys. 2021, 540, 111010. [Google Scholar] [CrossRef]
- Moayedi, H. Numerical investigation of the effect of oscillating injection nanofluid flow on forced convection heat transfer enhancement over a backward-facing step. Eur. Phys. J. Plus 2020, 135, 924. [Google Scholar] [CrossRef]
- Abedalh, A.S.; Shaalan, Z.A.; Yassien, H.N.S. Mixed convective of hybrid nanofluids flow in a backward-facing step. Case Stud. Therm. Eng. 2021, 25, 100868. [Google Scholar] [CrossRef]
- Mohammed, H.; Hussein, O.A. Assisting and opposing combined convective heat transfer and nanofluids flows over a vertical forward facing step. J. Nanotechnol. Eng. Med. 2014, 5, 010903. [Google Scholar] [CrossRef]
- Gautam, A.K.; Verma, A.K.; Bhattacharyya, K.; Mukhopadhyay, S.; Chamkha, A.J. Impacts of activation energy and binary chemical reaction on MHD flow of Williamson nanofluid in Darcy–Forchheimer porous medium: A case of expanding sheet of variable thickness. Waves Random Complex Media 2021, 1–22. [Google Scholar] [CrossRef]
- Kabeel, A.; El-Said, E.M.; Dafea, S. A review of magnetic field effects on flow and heat transfer in liquids: Present status and future potential for studies and applications. Renew. Sustain. Energy Rev. 2015, 45, 830–837. [Google Scholar] [CrossRef]
- Abbassi, H.; Nassrallah, S.B. MHD flow and heat transfer in a backward-facing step. Int. Commun. Heat Mass Transf. 2007, 34, 231–237. [Google Scholar] [CrossRef]
- Hussain, S.; Ahmed, S.E. Unsteady MHD forced convection over a backward facing step including a rotating cylinder utilizing Fe3O4-water ferrofluid. J. Magn. Magn. Mater. 2019, 484, 356–366. [Google Scholar] [CrossRef]
- Selimefendigil, F.; Öztop, H.F. Influence of inclination angle of magnetic field on mixed convection of nanofluid flow over a backward facing step and entropy generation. Adv. Powder Technol. 2015, 26, 1663–1675. [Google Scholar] [CrossRef]
- Sheikholeslami, M.; Mahian, O. Enhancement of PCM solidification using inorganic nanoparticles and an external magnetic field with application in energy storage systems. J. Clean. Prod. 2019, 215, 963–977. [Google Scholar] [CrossRef]
- Kolsi, L.; Alrashed, A.A.A.A.; Al-Salem, K.; Oztop, H.F.; Borjini, M.N. Control of natural convection via inclined plate of CNT-water nanofluid in an open sided cubical enclosure under magnetic field. Int. J. Heat Mass Transf. 2017, 111, 1007–1018. [Google Scholar] [CrossRef]
- Shafiq, A.; Rasool, G.; Alotaibi, H.; Aljohani, H.M.; Wakif, A.; Khan, I.; Akram, S. Thermally enhanced Darcy-Forchheimer Casson-water/glycerine rotating nanofluid flow with uniform magnetic field. Micromachines 2021, 12, 605. [Google Scholar] [CrossRef]
- Sheremet, M.A.; Oztop, H.; Pop, I.; Al-Salem, K. MHD free convection in a wavy open porous tall cavity filled with nanofluids under an effect of corner heater. Int. J. Heat Mass Transf. 2016, 103, 955–964. [Google Scholar] [CrossRef]
- Selimefendigil, F.; Oztop, H.F. Corrugated conductive partition effects on MHD free convection of CNT-water nanofluid in a cavity. Int. J. Heat Mass Transf. 2019, 129, 265–277. [Google Scholar] [CrossRef]
- Rasool, G.; Shafiq, A.; Hussain, S.; Zaydan, M.; Wakif, A.; Chamkha, A.J.; Bhutta, M.S. Significance of Rosseland’s radiative process on reactive Maxwell nanofluid flows over an isothermally heated stretching sheet in the presence of Darcy-Forchheimer and Lorentz forces: Towards a new perspective on Buongiorno’s model. Micromachines 2022, 13, 368. [Google Scholar] [CrossRef] [PubMed]
- M’hamed, B.; Sidik, N.A.C.; Yazid, M.N.A.W.M.; Mamat, R.; Najafi, G.; Kefayati, G. A review on why researchers apply external magnetic field on nanofluids. Int. Commun. Heat Mass Transf. 2016, 78, 60–67. [Google Scholar] [CrossRef] [Green Version]
- Sheikholeslami, M.; Rokni, H.B. Simulation of nanofluid heat transfer in presence of magnetic field: A review. Int. J. Heat Mass Transf. 2017, 115, 1203–1233. [Google Scholar] [CrossRef]
- Atashafrooz, M.; Sheikholeslami, M.; Sajjadi, H.; Delouei, A.A. Interaction effects of an inclined magnetic field and nanofluid on forced convection heat transfer and flow irreversibility in a duct with an abrupt contraction. J. Magn. Magn. Mater. 2019, 478, 216–226. [Google Scholar] [CrossRef]
- Selimefendigil, F.; Öztop, H.F. Hydro-thermal performance of CNT nanofluid in double backward facing step with rotating tube bundle under magnetic field. Int. J. Mech. Sci. 2020, 185, 105876. [Google Scholar] [CrossRef]
- Besanjideh, M.; Hajabdollahi, M.; Nassab, S.G. CFD based analysis of laminar forced convection of nanofluid separated flow under the presence of magnetic field. J. Mech. 2016, 32, 777–785. [Google Scholar] [CrossRef]
- Aguilar-Madera, C.G.; Valdés-Parada, F.J.; Goyeau, B.; Ochoa-Tapia, J.A. Convective heat transfer in a channel partially filled with a porous medium. Int. J. Therm. Sci. 2011, 50, 1355–1368. [Google Scholar] [CrossRef]
- Poulikakos, D.; Kazmierczak, M. Forced convection in a duct partially filled with a porous material. J. Heat Transf. 1987, 109, 653–662. [Google Scholar] [CrossRef]
- Kuznetsov, A. Fluid mechanics and heat transfer in the interface region between a porous medium and a fluid layer: A boundary layer solution. J. Porous Media 1999, 2, 309–321. [Google Scholar]
- Vafai, K.; Kim, S. Fluid mechanics of the interface region between a porous medium and a fluid layer-an exact solution. Int. J. Heat Fluid Flow 1990, 11, 254–256. [Google Scholar] [CrossRef]
- Gibanov, N.S.; Sheremet, M.A.; Oztop, H.F.; Abu-Hamdeh, N. Effect of uniform inclined magnetic field on mixed convection in a lid-driven cavity having a horizontal porous layer saturated with a ferrofluid. Int. J. Heat Mass Transf. 2017, 114, 1086–1097. [Google Scholar] [CrossRef]
- Wang, Q.; Zeng, M.; Huang, Z.; Wang, G.; Ozoe, H. Numerical investigation of natural convection in an inclined enclosure filled with porous medium under magnetic field. Int. J. Heat Mass Transf. 2007, 50, 3684–3689. [Google Scholar] [CrossRef]
- Revnic, C.; Grosan, T.; Pop, I.; Ingham, D. Magnetic field effect on the unsteady free convection flow in a square cavity filled with a porous medium with a constant heat generation. Int. J. Heat Mass Transf. 2011, 54, 1734–1742. [Google Scholar] [CrossRef]
- Gibanov, N.S.; Sheremet, M.A.; Oztop, H.F.; Al-Salem, K. Effect of uniform inclined magnetic field on natural convection and entropy generation in an open cavity having a horizontal porous layer saturated with a ferrofluid. Numer. Heat Transf. Part A Appl. 2017, 72, 479–494. [Google Scholar] [CrossRef]
- Jaiswal, S.; Yadav, P.K. A micropolar-Newtonian blood flow model through a porous layered artery in the presence of a magnetic field. Phys. Fluids 2019, 31, 071901. [Google Scholar] [CrossRef]
- Sreenadh, S.; Prasad, K.; Vaidya, H.; Sudhakara, E.; Krishna, G.G.; Krishnamurthy, M. MHD Couette flow of a Jeffrey fluid over a deformable porous layer. Int. J. Appl. Comput. Math. 2017, 3, 2125–2138. [Google Scholar] [CrossRef]
- Aly, E.H.; Ebaid, A. Exact analysis for the effect of heat transfer on MHD and radiation Marangoni boundary layer nanofluid flow past a surface embedded in a porous medium. J. Mol. Liq. 2016, 215, 625–639. [Google Scholar] [CrossRef]
- Selimefendigil, F.; Öztop, H.F. Magnetohydrodynamics forced convection of nanofluid in multi-layered U-shaped vented cavity with a porous region considering wall corrugation effects. Int. Commun. Heat Mass Transf. 2020, 113, 104551. [Google Scholar] [CrossRef]
- Ashorynejad, H.R.; Zarghami, A. Magnetohydrodynamics flow and heat transfer of Cu-water nanofluid through a partially porous wavy channel. Int. J. Heat Mass Transf. 2018, 119, 247–258. [Google Scholar] [CrossRef]
- Shehzad, S.; Sheikholeslami, M.; Ambreen, T.; Shafee, A. Convective MHD flow of hybrid-nanofluid within an elliptic porous enclosure. Phys. Lett. A 2020, 384, 126727. [Google Scholar] [CrossRef]
- Rashidi, M.; Abelman, S.; Mehr, N.F. Entropy generation in steady MHD flow due to a rotating porous disk in a nanofluid. Int. J. Heat Mass Transf. 2013, 62, 515–525. [Google Scholar] [CrossRef]
- Kandasamy, R.; Dharmalingam, R.; Prabhu, K.S. Thermal and solutal stratification on MHD nanofluid flow over a porous vertical plate. Alex. Eng. J. 2018, 57, 121–130. [Google Scholar] [CrossRef]
- Esfe, M.H.; Arani, A.A.A.; Rezaie, M.; Yan, W.M.; Karimipour, A. Experimental determination of thermal conductivity and dynamic viscosity of Ag-MgO/water hybrid nanofluid. Int. Commun. Heat Mass Transf. 2015, 66, 189–195. [Google Scholar] [CrossRef]
- Astanina, M.S.; Sheremet, M.A.; Oztop, H.F.; Abu-Hamdeh, N. MHD natural convection and entropy generation of ferrofluid in an open trapezoidal cavity partially filled with a porous medium. Int. J. Mech. Sci. 2018, 136, 493–502. [Google Scholar] [CrossRef]
- Yousofvand, R.; Derakhshan, S.; Ghasemi, K.; Siavashi, M. MHD transverse mixed convection and entropy generation study of electromagnetic pump including a nanofluid using 3D LBM simulation. Int. J. Mech. Sci. 2017, 133, 73–90. [Google Scholar] [CrossRef]
- Sankar, M.; Venkatachalappa, M.; Shivakumara, I. Effect of magnetic field on natural convection in a vertical cylindrical annulus. Int. J. Eng. Sci. 2006, 44, 1556–1570. [Google Scholar] [CrossRef]
- Lewis, R.W.; Nithiarasu, P.; Seetharamu, K.N. Fundamentals of the Finite Element Method for Heat and Fluid Flow; John Wiley & Sons: West Sussex, UK, 2004. [Google Scholar]
- Heinrich, J.C.; Pepper, D.W. Intermediate Finite Element Method: Fluid Flow and Heat Transfer Applications; Routledge: New York, NY, USA, 2017. [Google Scholar]
- Reddy, J.N.; Gartling, D.K. The Finite Element Method in Heat Transfer and Fluid Dynamics; CRC Press: Boca Raton, FL, USA, 2010. [Google Scholar]
- Khanafer, K.; Al-Azmi, B.; Al-Shammari, A.; Pop, I. Mixed convection analysis of laminar pulsating flow and heat transfer over a backward-facing step. Int. J. Heat Mass Transf. 2008, 51, 5785–5793. [Google Scholar] [CrossRef]
- Carrington, D.B.; Pepper, D.W. Convective heat transfer downstream of a 3-D backward-facing step. Numer. Heat Transf. Part A Appl. 2002, 41, 555–578. [Google Scholar] [CrossRef]
- Selimefendigil, F.; Öztop, H.F. Laminar convective nanofluid flow over a backward-facing step with an elastic bottom wall. J. Therm. Sci. Eng. Appl. 2018, 10, 041003. [Google Scholar] [CrossRef]
- Zhang, T.; Che, D. Double MRT thermal lattice Boltzmann simulation for MHD natural convection of nanofluids in an inclined cavity with four square heat sources. Int. J. Heat Mass Transf. 2016, 94, 87–100. [Google Scholar] [CrossRef]
- Baytaş, A. Entropy generation for natural convection in an inclined porous cavity. Int. J. Heat Mass Transf. 2000, 43, 2089–2099. [Google Scholar] [CrossRef]
- Saeid, N.H.; Pop, I. Transient free convection in a square cavity filled with a porous medium. Int. J. Heat Mass Transf. 2004, 47, 1917–1924. [Google Scholar] [CrossRef]
- Khandelwal, V.; Dhiman, A.; Baranyi, L. Laminar flow of non-Newtonian shear-thinning fluids in a T-channel. Comput. Fluids 2015, 108, 79–91. [Google Scholar] [CrossRef]
- Aggarwal, C.C. Neural networks and deep learning. Springer 2018, 10, 978–983. [Google Scholar]
- Nunes, I.; Da Silva, H.S. Artificial Neural Networks: A Practical Course; Springer: Berlin/Heidelberg, Germany, 2018. [Google Scholar]
- Jain, L.C. Recurrent Neural Networks: Design and Applications; CRC Press: Boca Raton, FL, USA, 1999. [Google Scholar]
- Hagan, M.T.; Menhaj, M.B. Training feedforward networks with the Marquardt algorithm. IEEE Trans. Neural Netw. 1994, 5, 989–993. [Google Scholar] [CrossRef]
- Kalogirou, S. Applications of artificial neural networks in energy systems A review. Energy Convers. Manag. 1999, 40, 1073–1087. [Google Scholar] [CrossRef]


















| Parameter Name | Range | Number of Values |
|---|---|---|
| Reynolds number (Re) | 100–500 | 7 |
| rotational Reynolds number (Rew) | 0–2000 | 7 |
| permeability of porous layer (Da) | – | 7 |
| magnetic field strength (Ha) | 0–15 | 7 |
| Property | Name-Value |
|---|---|
| data division | dandom |
| training algorithm | Levenberg-Marquardt |
| performance metric | mean squared error (MSE) |
| number of inputs | 4 |
| number of outputs | 2 |
| number of hidden-layer | 1 |
| activation function | tansig |
| training samples | 1681 |
| validation samples | 360 |
| testing samples | 360 |
| Data Set | Samples | MSE | R2 |
|---|---|---|---|
| Training | 1681 | 0.00835 | 0.99998 |
| Validation | 360 | 0.0207 | 0.99997 |
| Testing | 360 | 0.0259 | 0.99997 |
Publisher’s Note: MDPI stays neutral with regard to jurisdictional claims in published maps and institutional affiliations. |
© 2022 by the authors. Licensee MDPI, Basel, Switzerland. This article is an open access article distributed under the terms and conditions of the Creative Commons Attribution (CC BY) license (https://creativecommons.org/licenses/by/4.0/).
Share and Cite
Ghachem, K.; Selimefendigil, F.; Alshammari, B.M.; Maatki, C.; Kolsi, L. Coupled Effects of Using Magnetic Field, Rotation and Wavy Porous Layer on the Forced Convection of Hybrid Nanoliquid Flow over 3D-Backward Facing Step. Nanomaterials 2022, 12, 2466. https://doi.org/10.3390/nano12142466
Ghachem K, Selimefendigil F, Alshammari BM, Maatki C, Kolsi L. Coupled Effects of Using Magnetic Field, Rotation and Wavy Porous Layer on the Forced Convection of Hybrid Nanoliquid Flow over 3D-Backward Facing Step. Nanomaterials. 2022; 12(14):2466. https://doi.org/10.3390/nano12142466
Chicago/Turabian StyleGhachem, Kaouther, Fatih Selimefendigil, Badr M. Alshammari, Chemseddine Maatki, and Lioua Kolsi. 2022. "Coupled Effects of Using Magnetic Field, Rotation and Wavy Porous Layer on the Forced Convection of Hybrid Nanoliquid Flow over 3D-Backward Facing Step" Nanomaterials 12, no. 14: 2466. https://doi.org/10.3390/nano12142466
APA StyleGhachem, K., Selimefendigil, F., Alshammari, B. M., Maatki, C., & Kolsi, L. (2022). Coupled Effects of Using Magnetic Field, Rotation and Wavy Porous Layer on the Forced Convection of Hybrid Nanoliquid Flow over 3D-Backward Facing Step. Nanomaterials, 12(14), 2466. https://doi.org/10.3390/nano12142466

