Charge Transport Mechanisms of Black Diamond at Cryogenic Temperatures
Abstract
:1. Introduction
- (i)
- outgassing of molecules absorbed at the surface in a relatively short time (a few hours);
- (ii)
- stress relaxation of the nanostructured BD lattice, which takes up to several days as revealed by Raman spectroscopy measurements.
2. Materials and Methods
3. Results
3.1. FEG SEM Characterization
3.2. Surface Chemical Characterization
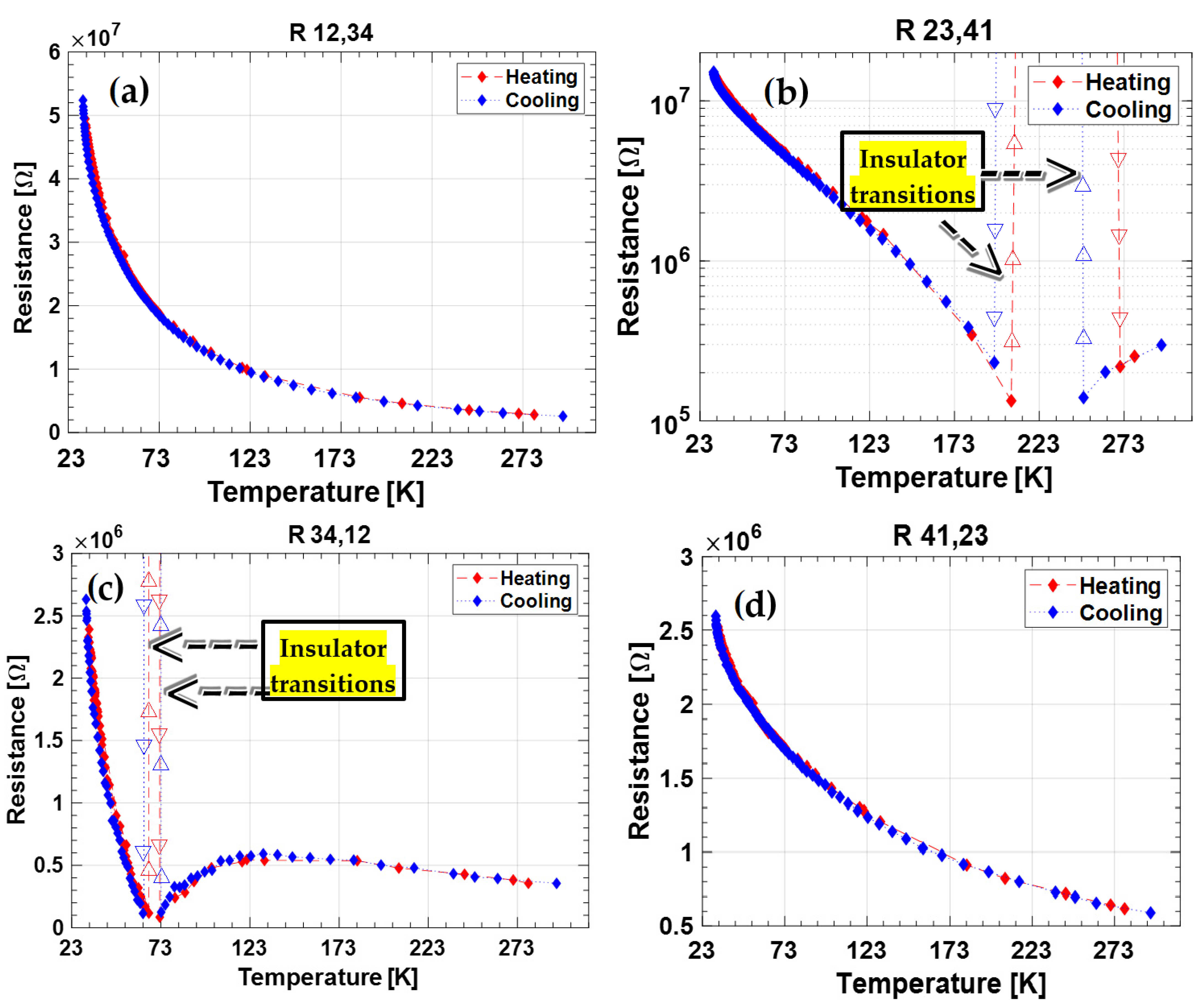
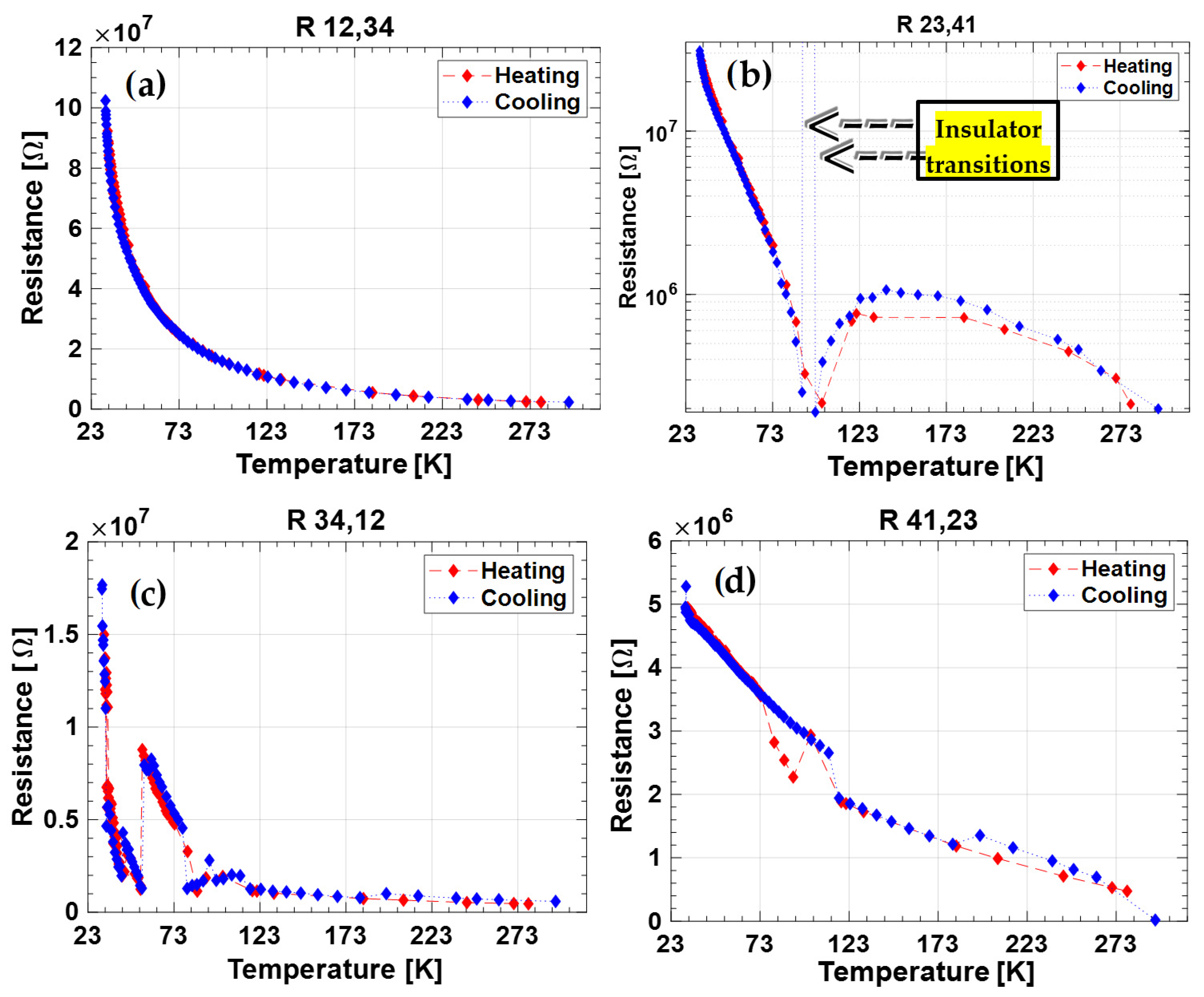
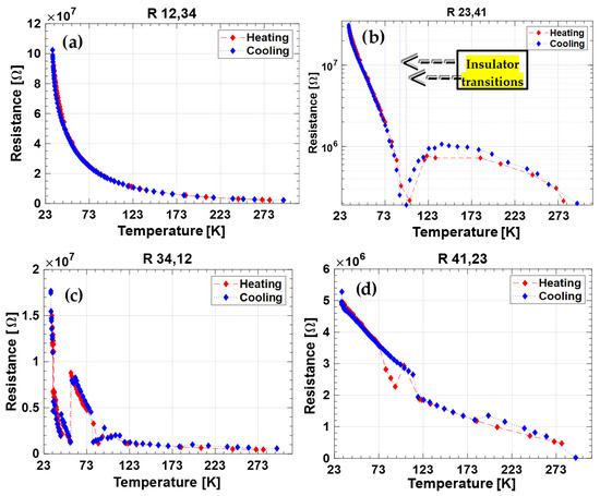
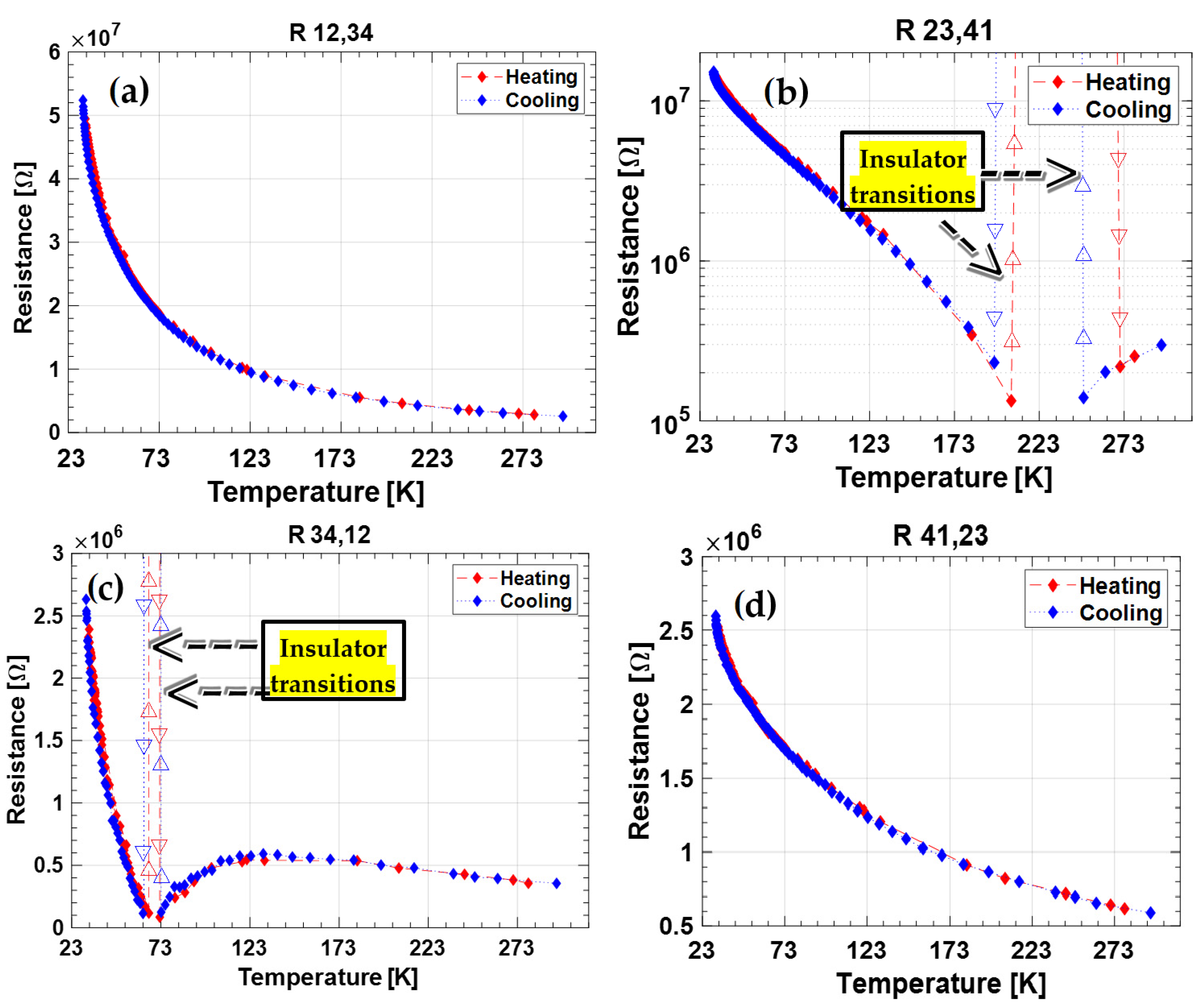
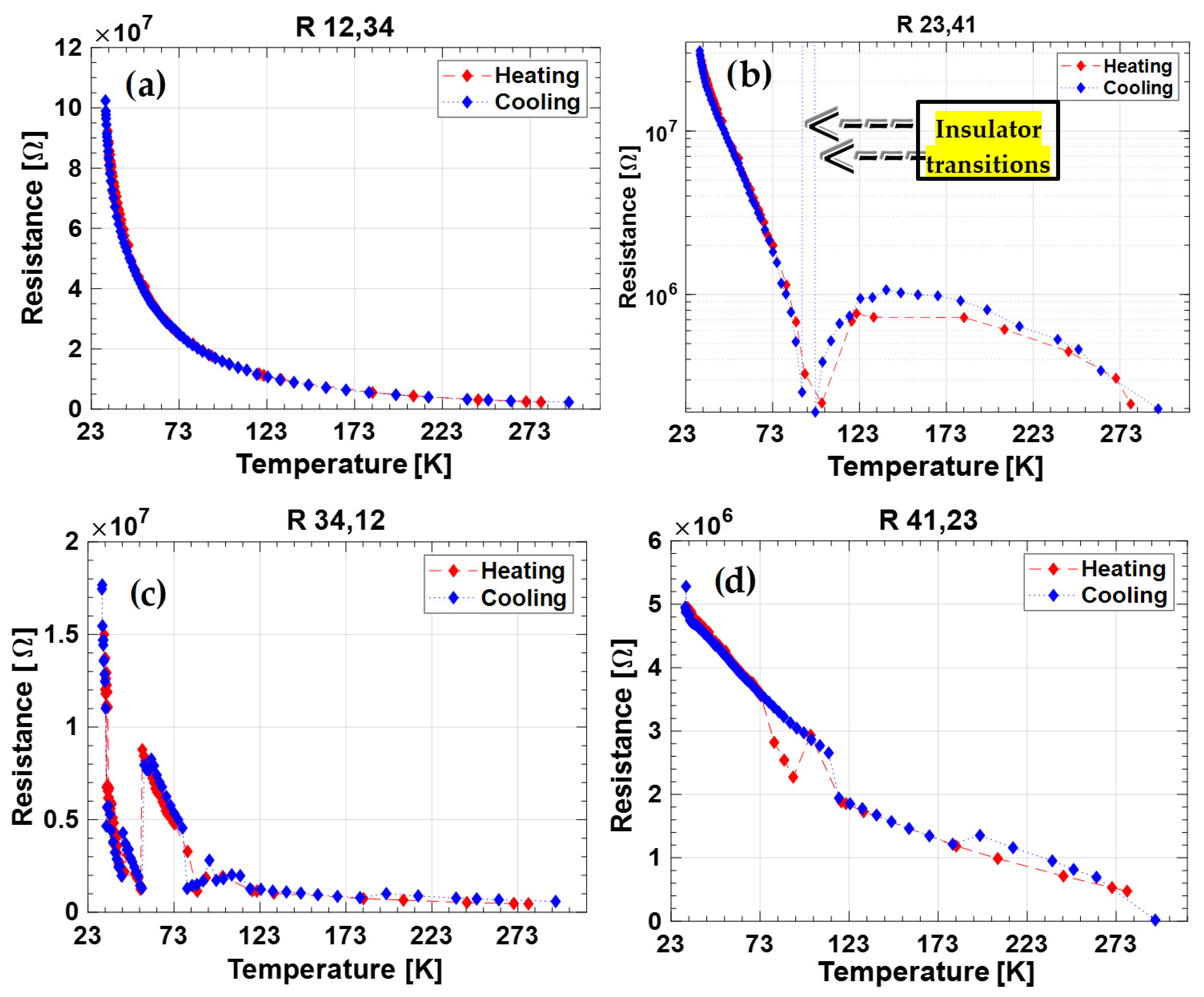
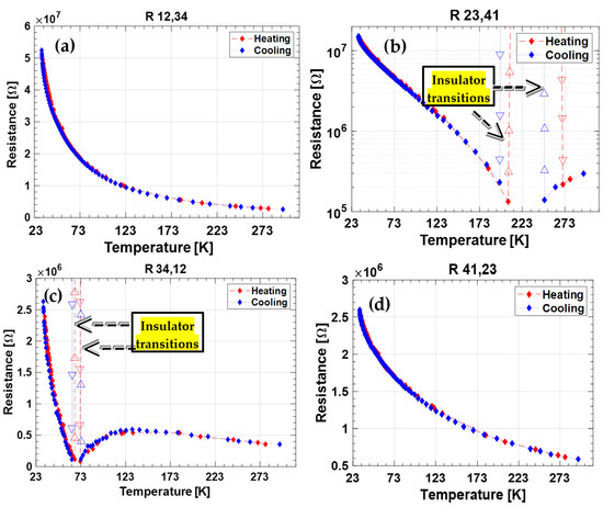
3.3. Cryogenic Measurements
4. Discussion
5. Conclusions
Author Contributions
Funding
Data Availability Statement
Acknowledgments
Conflicts of Interest
Appendix A


| MEASUREMENT | Stage | Curie Temperature |
|---|---|---|
| 2T-9010 | 2 | About RT |
| 2T-9010 | 3 | About 130 K |
| 2T-8020 | 2 | About 140 K |
| 2T-8020 | 3 | About 110 K |
References
- Ekimov, E.A.; Sidorov, V.A.; Bauer, E.D.; Mel’nik, N.N.; Curro, N.J.; Thompson, J.D.; Stishov, S.M. Superconductivity in diamond. Nature 2004, 428, 542–545. [Google Scholar] [CrossRef] [Green Version]
- Conte, G.; Giovine, E.; Girolami, M.; Salvatori, S.; Bolshakov, A.; Ralchenko, V.; Konov, V. Polycrystalline diamond UV-triggered MESFET receivers. Nanotechnology 2012, 23, 075202. [Google Scholar] [CrossRef]
- Mazzeo, G.; Salvatori, S.; Conte, G.; Ralchenko, V.; Konov, V. Electronic performance of 2D-UV detectors. Diam. Relat. Mater. 2007, 16, 1053–1057. [Google Scholar] [CrossRef]
- Almaviva, S.; Ciancaglioni, I.; Consorti, R.; De Notaristefani, F.; Manfredotti, C.; Marinelli, M.; Milani, E.; Petrucci, A.; Prestopino, G.; Verona, C. Synthetic single crystal diamond dosimeters for Intensity Modulated Radiation Therapy applications. Nucl. Instrum. Methods Phys. Res. Sect. A Accel. Spectrom. Detect. Assoc. Equip. 2009, 608, 191–194. [Google Scholar] [CrossRef]
- Schneider, H.; Sanchez, J.-L.; Achard, J. The diamond for power electronic devices. In Proceedings of the 2005 European Conference on Power Electronics and Applications, Dresden, Germany, 11–14 September 2005. [Google Scholar]
- Shikata, S. Single crystal diamond wafers for high power electronics. Diam. Relat. Mater. 2016, 65, 168–175. [Google Scholar] [CrossRef] [Green Version]
- Donato, N.; Rouger, N.; Pernot, J.; Longobardi, G.; Udrea, F. Diamond power devices: State of the art, modelling, figures of merit and future perspective. J. Phys. D Appl. Phys. 2019, 53, 93001. [Google Scholar] [CrossRef] [Green Version]
- Salvatori, S.; Mazzeo, G.; Conte, G. Voltage Division Position Sensitive Detectors Based on Photoconductive Materials— Part I: Principle of Operation. IEEE Sens. J. 2008, 8, 188–193. [Google Scholar] [CrossRef]
- Girolami, M.; Conte, G.; Salvatori, S.; Allegrini, P.; Bellucci, A.; Trucchi, D.M.; Ralchenko, V.G. Optimization of X-ray beam profilers based on CVD diamond detectors. J. Instrum. 2012, 7, C11005. [Google Scholar] [CrossRef]
- Trucchi, D.M.; Bellucci, A.; Girolami, M.; Calvani, P.; Cappelli, E.; Orlando, S.; Polini, R.; Silvestroni, L.; Sciti, D.; Kribus, A. Solar Thermionic-Thermoelectric Generator (ST2G): Concept, Materials Engineering, and Prototype Demonstration. Adv. Energy Mater. 2018, 8, 1802310. [Google Scholar] [CrossRef]
- Segev, G.; Rosenwaks, Y.; Kribus, A. Limit of efficiency for photon-enhanced thermionic emission vs. photovoltaic and thermal conversion. Sol. Energy Mater. Sol. Cells 2015, 140, 464–476. [Google Scholar] [CrossRef] [Green Version]
- Koeck, F.A.M.; Nemanich, R.J. Emission characterization from nitrogen-doped diamond with respect to energy conversion. Diam. Relat. Mater. 2006, 15, 217–220. [Google Scholar] [CrossRef]
- Vermeeren, V.; Wenmackers, S.; Wagner, P.; Michiels, L. DNA Sensors with Diamond as a Promising Alternative Transducer. Materials 2009, 9, 5600–5636. [Google Scholar] [CrossRef] [Green Version]
- Mastellone, M.; Bellucci, A.; Girolami, M.; Serpente, V.; Polini, R.; Orlando, S.; Santagata, A.; Sani, E.; Hitzel, F.; Trucchi, D.M. Deep-Subwavelength 2D Periodic Surface Nanostructures on Diamond by Double-Pulse Femtosecond Laser Irradiation. Nano Lett. 2021, 21, 4477–4483. [Google Scholar] [CrossRef]
- Trucchi, D.; Bellucci, A.; Girolami, M.; Mastellone, M.; Orlando, S. Surface Texturing of CVD Diamond Assisted by Ultrashort Laser Pulses. Coatings 2017, 7, 185. [Google Scholar] [CrossRef] [Green Version]
- Mastellone, M.; Pace, M.L.; Curcio, M.; Caggiano, N.; De Bonis, A.; Teghil, R.; Dolce, P.; Mollica, D.; Orlando, S.; Santagata, A.; et al. LIPSS Applied to Wide Bandgap Semiconductors and Dielectrics: Assessment and Future Perspectives. Materials 2022, 15, 1378. [Google Scholar] [CrossRef]
- Bellucci, A.; Calvani, P.; Girolami, M.; Orlando, S.; Polini, R.; Trucchi, D.M. Optimization of black diamond films for solar energy conversion. Appl. Surf. Sci. 2016, 380, 8–11. [Google Scholar] [CrossRef]
- Girolami, M.; Bellucci, A.; Mastellone, M.; Orlando, S.; Orsini, A.; Salvatori, S.; Trucchi, D.M. Transport properties of photogenerated charge carriers in black diamond films. Ceram. Int. 2019, 45, 9544–9547. [Google Scholar] [CrossRef]
- Salvatori, S.; Rossi, M.C.; Conte, G.; Kononenko, T.; Komlenok, M.; Khomich, A.; Ralchenko, V.; Konov, V.; Provatas, G.; Jaksic, M. Diamond Detector With Laser-Formed Buried Graphitic Electrodes: Micron-Scale Mapping of Stress and Charge Collection Efficiency. IEEE Sens. J. 2019, 19, 11908–11917. [Google Scholar] [CrossRef] [Green Version]
- Khomich, A.A.; Ashikkalieva, K.K.; Bolshakov, A.P.; Kononenko, T.V.; Ralchenko, V.G.; Konov, V.I.; Oliva, P.; Conte, G.; Salvatori, S. Very long laser-induced graphitic pillars buried in single-crystal CVD-diamond for 3D detectors realization. Diam. Relat. Mater. 2018, 90, 84–92. [Google Scholar] [CrossRef]
- Ashikkalieva, K.K.; Kononenko, T.; Obraztsova, E.A.; Zavedeev, E.V.; Ashkinazi, E.E.; Mikhutkin, A.A.; Khomich, A.A.; Konov, V. Nanostructured interior of laser-induced wires in diamond. Diam. Relat. Mater. 2019, 91, 183–189. [Google Scholar] [CrossRef]
- Girolami, M.; Bellucci, A.; Mastellone, M.; Orlando, S.; Valentini, V.; Montereali, R.M.; Vincenti, M.A.; Polini, R.; Trucchi, D.M. Optical characterization of double-nanotextured black diamond films. Carbon N. Y. 2018, 138, 384–389. [Google Scholar] [CrossRef]
- Orsini, A.; Bellucci, A.; Girolami, M.; Mastellone, M.; Orlando, S.; Prestopino, G.; Valentini, V.; Salvatori, S.; Trucchi, D.M. Electrical conductivity of double textured black diamond films from RT to 800 K. Diam. Relat. Mater. 2019, 93, 1–7. [Google Scholar] [CrossRef]
- Bolli, E.; Kaciulis, S.; Mezzi, A. ESCA as a Tool for Exploration of Metals’ Surface. Coatings 2020, 10, 1182. [Google Scholar] [CrossRef]
- Calvani, P.; Bellucci, A.; Girolami, M.; Orlando, S.; Valentini, V.; Polini, R.; Trucchi, D.M. Black diamond for solar energy conversion. Carbon N. Y. 2016, 105, 401–407. [Google Scholar] [CrossRef] [Green Version]
- Rehman, Z.U.; Janulewicz, K.A. Structural transformation of monocrystalline diamond driven by ultrashort laser pulses. Diam. Relat. Mater. 2016, 70, 194–200. [Google Scholar] [CrossRef]
- Mezzi, A.; Kaciulis, S. Surface investigation of carbon films: From diamond to graphite. Surf. Interface Anal. 2010, 42, 1082. [Google Scholar] [CrossRef]
- Van der Pauw, L.J. A Method of Measuring the Resistivity and Hall Coefficient on Lamellae of Arbitrary Shape. Philips Tech. Rev. 1958, 20, 220–224. [Google Scholar]
- MOTT, N.F. Metal-Insulator Transition. Rev. Mod. Phys. 1968, 40, 677–683. [Google Scholar] [CrossRef]
- Banaszak-Piechowska, A.; Fabisiak, K.; Staryga, E.; Paprocki, K. Electrical properties and Mott parameters of polycrystalline diamond films synthesized by HF CVD method from hydrogen/methanol gas mixture. Mater. Sci. Pol. 2017, 35, 830–837. [Google Scholar] [CrossRef] [Green Version]
- Łoś, S.; Fabisiak, K.; Paprocki, K.; Szybowicz, M.; Dychalska, A. The undoped polycrystalline diamond film—electrical transport properties. Sensors 2021, 21, 6113. [Google Scholar] [CrossRef]
- Bhattacharyya, S.; Auciello, O.; Birrell, J.; Carlisle, J.A.; Curtiss, L.A.; Goyette, A.N.; Gruen, D.M.; Krauss, A.R.; Schlueter, J.; Sumant, A.; et al. Synthesis and characterization of highly-conducting nitrogen-doped ultrananocrystalline diamond films. Appl. Phys. Lett. 2001, 79, 1441–1443. [Google Scholar] [CrossRef]
- Barzola-Quiquia, J.; Stiller, M.; Esquinazi, P.D.; Molle, A.; Wunderlich, R.; Pezzagna, S.; Meijer, J.; Kossack, W.; Buga, S. Unconventional Magnetization below 25 K in Nitrogen-doped Diamond provides hints for the existence of Superconductivity and Superparamagnetism. Sci. Rep. 2019, 9, 8743. [Google Scholar] [CrossRef] [PubMed]
- Remes, Z.; Sun, S.-J.; Varga, M.; Chou, H.; Hsu, H.-S.; Kromka, A.; Horak, P. Ferromagnetism appears in nitrogen implanted nanocrystalline diamond films. J. Magn. Magn. Mater. 2015, 394, 477–480. [Google Scholar] [CrossRef]
- Zhang, G.; Samuely, T.; Xu, Z.; Jochum, J.K.; Volodin, A.; Zhou, S.; May, P.W.; Onufriienko, O.; Kačmarčík, J.; Steele, J.A.; et al. Superconducting Ferromagnetic Nanodiamond. ACS Nano 2017, 11, 5358–5366. [Google Scholar] [CrossRef]
- Tebano, A.; Orsini, A.; Medaglia, P.G.; Di Castro, D.; Balestrino, G.; Freelon, B.; Bostwick, A.; Chang, Y.J.; Gaines, G.; Rotenberg, E.; et al. Preferential occupation of interface bands in La2/3Sr1/3MnO3 films as seen via angle-resolved photoemission. Phys. Rev. B 2010, 82, 214407. [Google Scholar] [CrossRef]
- Tebano, A.; Orsini, A.; Medaglia, P.G.; Balestrino, G. Disentangling strain effects in manganite heterostructures. Appl. Phys. Lett. 2009, 94, 242503. [Google Scholar] [CrossRef]
- Dagotto, E.; Hotta, T.; Moreo, A. Colossal magnetoresistant materials: The key role of phase separation. Phys. Rep. 2001, 344, 1–153. [Google Scholar] [CrossRef] [Green Version]
- Lagoin, C.; Suffit, S.; Baldwin, K.; Pfeiffer, L.; Dubin, F. Mott insulator of strongly interacting two-dimensional semiconductor excitons. Nat. Phys. 2022, 18, 149–153. [Google Scholar] [CrossRef]
- Zabrodskii, A.G.; Zinov’eva, K.N. Low-Temperature Conductivity and Metal-Insulator Transition in Compensate n-Ge. Sov. Phys. JETP 1984, 59, 425–433. [Google Scholar]
- Boschker, H.; Verbeeck, J.; Egoavil, R.; Bals, S.; van Tendeloo, G.; Huijben, M.; Houwman, E.P.; Koster, G.; Blank, D.H.A.; Rijnders, G. Preventing the Reconstruction of the Polar Discontinuity at Oxide Heterointerfaces. Adv. Funct. Mater. 2012, 22, 2235–2240. [Google Scholar] [CrossRef]
- Chuang, Y.D.; Gromko, A.D.; Dessau, D.S.; Kimura, T.; Tokura, Y. Fermi Surface Nesting and Nanoscale Fluctuating Charge/Orbital Ordering in Colossal Magnetoresistive Oxides. Science 2001, 292, 1509–1513. [Google Scholar] [CrossRef] [PubMed] [Green Version]







| Stage | Injection Points | 8020 @ 30 K | 8020 @ RT | 9010 @ 30 K | 9010 @ RT |
|---|---|---|---|---|---|
| 1 | I → 1–2 | 102 MΩ | 2.3 MΩ | 53 MΩ | 2.5 MΩ |
| 2 | I → 2–3 | 31 MΩ | 210 kΩ1 | 15.2 MΩ | 300 kΩ |
| 3 | I → 3–4 | 18 MΩ | 450 kΩ1 | 2.65 MΩ | 350 kΩ |
| 4 | I → 4–1 | 5.3 MΩ | 480 kΩ1 | 2.6 MΩ | 580 kΩ |
| MEASUREMENT | Stage | Temperature (K) | Resistance (kΩ) |
|---|---|---|---|
| 2T-9010 Cooling | 3 | 74 → 63 | 125–115 |
| 2T-9010 Heating | 3 | 64 → 81 | 168–241 |
| 2T-9010 Cooling | 2 | 248 → 196 | 140–232 |
| 2T-9010 Heating | 2 | 206 → 276 | 134–219 |
| 2T-8020 Cooling | 2 | 98 → 90 | 190–252 |
| MEASUREMENT | 30–50 K | 50K–RT |
|---|---|---|
| 2T-9010 | Ea1 = 4 meV; GPreF1 = 85.1 nS | Ea2 = 31.4 meV; GPreF2 = 0.94 µS |
| 2T-8020 | Ea1 = 5.6 meV; GPreF1 = 80.9 nS | Ea2 = 35.3 meV; GPreF2 = 1.4 µS |
Publisher’s Note: MDPI stays neutral with regard to jurisdictional claims in published maps and institutional affiliations. |
© 2022 by the authors. Licensee MDPI, Basel, Switzerland. This article is an open access article distributed under the terms and conditions of the Creative Commons Attribution (CC BY) license (https://creativecommons.org/licenses/by/4.0/).
Share and Cite
Orsini, A.; Barettin, D.; Ercoli, F.; Rossi, M.C.; Pettinato, S.; Salvatori, S.; Mezzi, A.; Polini, R.; Bellucci, A.; Mastellone, M.; et al. Charge Transport Mechanisms of Black Diamond at Cryogenic Temperatures. Nanomaterials 2022, 12, 2253. https://doi.org/10.3390/nano12132253
Orsini A, Barettin D, Ercoli F, Rossi MC, Pettinato S, Salvatori S, Mezzi A, Polini R, Bellucci A, Mastellone M, et al. Charge Transport Mechanisms of Black Diamond at Cryogenic Temperatures. Nanomaterials. 2022; 12(13):2253. https://doi.org/10.3390/nano12132253
Chicago/Turabian StyleOrsini, Andrea, Daniele Barettin, Federica Ercoli, Maria Cristina Rossi, Sara Pettinato, Stefano Salvatori, Alessio Mezzi, Riccardo Polini, Alessandro Bellucci, Matteo Mastellone, and et al. 2022. "Charge Transport Mechanisms of Black Diamond at Cryogenic Temperatures" Nanomaterials 12, no. 13: 2253. https://doi.org/10.3390/nano12132253
APA StyleOrsini, A., Barettin, D., Ercoli, F., Rossi, M. C., Pettinato, S., Salvatori, S., Mezzi, A., Polini, R., Bellucci, A., Mastellone, M., Girolami, M., Valentini, V., Orlando, S., & Trucchi, D. M. (2022). Charge Transport Mechanisms of Black Diamond at Cryogenic Temperatures. Nanomaterials, 12(13), 2253. https://doi.org/10.3390/nano12132253

