Effects of Electrodes Layout and Filler Scale on Percolation Threshold and Piezoresistivity Performances of a Cementitious-Based Geocomposite
Abstract
:1. Introduction
2. Materials and Methods
2.1. Materials
2.2. Samples Preparation
2.3. Electrical Resistivity Measurement
2.4. Piezoresistivity Investigations
2.5. Mechanical Properties
3. Results
3.1. Effects of Length Changes
3.2. Effects of Cross-Section Changes
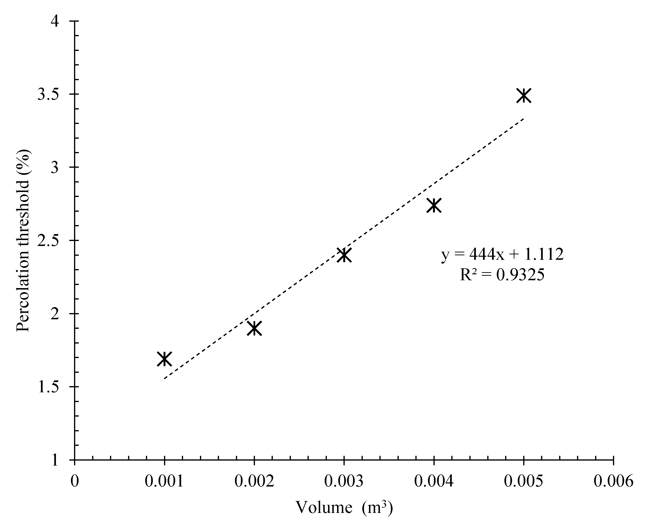
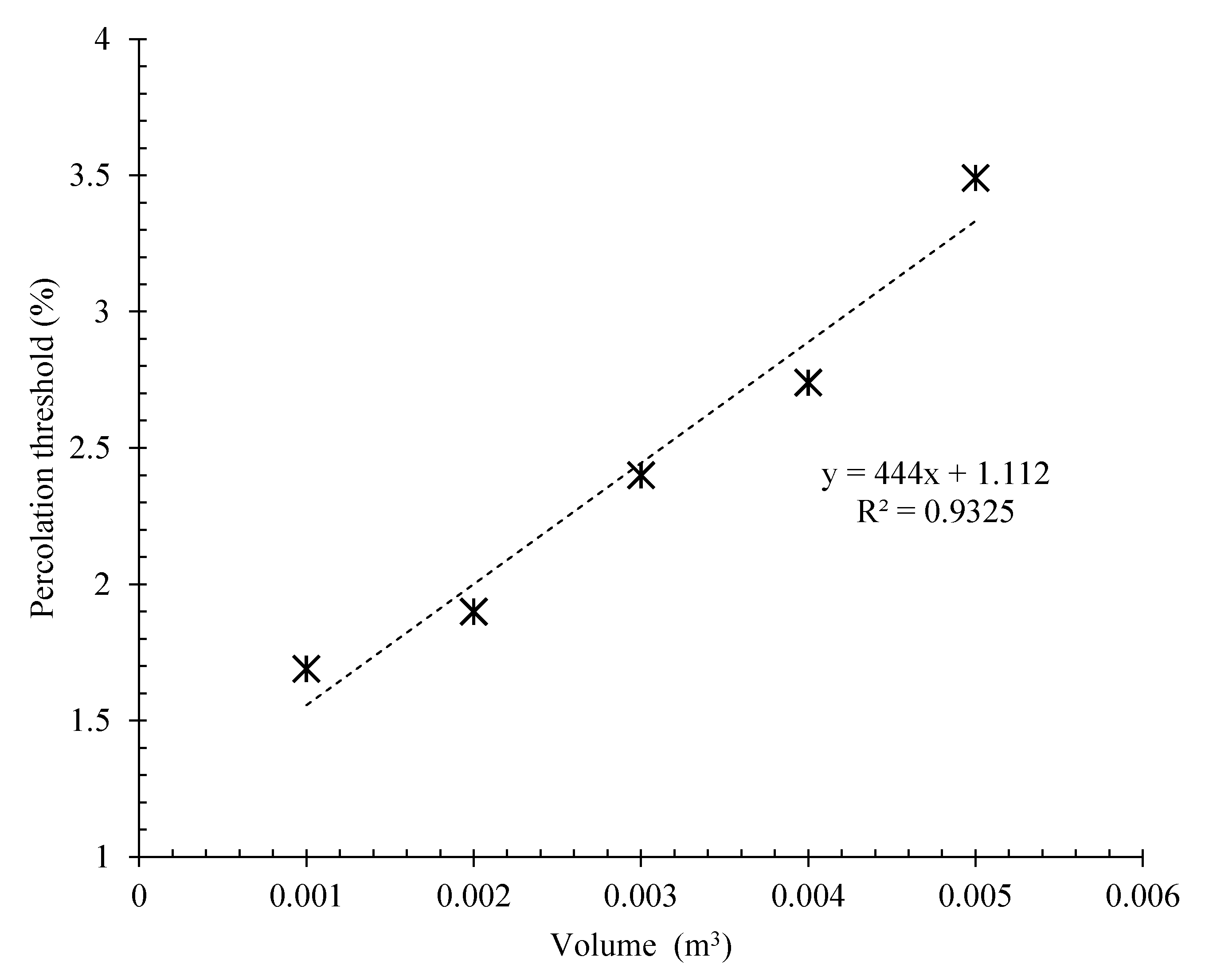
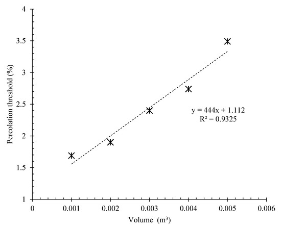
3.3. Effects of Volume Changes
3.4. Effects of Fillers’ Aspect Ratio
3.5. Piezoresistivity Investigations
3.5.1. Flexural Loading
3.5.2. Compression Loading
3.6. Mechanical Investigations
3.6.1. Mechanical Properties of the Beam
3.6.2. Mechanical Properties of the Cubic Specimen
4. Conclusions
- The volumetric electrical resistance of conductive specimens with different dimensions showed that the changes in the length, width, and thickness of the matrix surrounded between electrodes had a significant effect on the changes in the electrical percolation threshold of the composite. Generally, increasing the volume of the surrounded matrix caused an increase in the percolation threshold.
- The investigations showed that the effects of length changes in the surrounded matrix in the percolation threshold were greater than the effects of its width and thickness changes, in such a way that increasing the length, width, and thickness of the surrounded matrix from 10 cm to 50 cm caused an increase in electrical resistivity by approximately 124%, 101%, and 53%, respectively.
- Generally, increasing the aspect ratio of the conductive fillers causes a reduction in the electrical percolation threshold of the cementitious composite.
- In this study, the prioritisation of conductive fillers in terms of their performance in reducing the electrical percolation threshold of cementitious geocomposites from most to least effective was as follows: CNT (40–50), CNT/GNP, CF (20), CNT (10–30), CF (10), CNT (5–10), and CF (5).
- The 10 × 10 × 85 cm3 beam and 15 cm cubic specimens with hybrid CNT/GNP content of 3.47 and 2.74%, respectively (obtained by the numerical relation presented in this study), showed a proper piezoresistive response under flexural and compression loading, respectively.
- Incorporation of 3.47% CNT/GNP into the specimens (beam) did not cause a considerable change in the flexural and compression strengths of the specimen. However, it increased the flexural and compression elasticity modules by approximately 25% and 50%, respectively.
- Reinforcing the cubic specimen with 2.4% CNT/GNP improved the compression strength by approximately 38%. The compressive elasticity modulus of this specimen was three orders of magnitude greater than the plain composite.
Author Contributions
Funding
Institutional Review Board Statement
Informed Consent Statement
Data Availability Statement
Conflicts of Interest
References
- Ou, J.; Li, H. Structural health monitoring in mainland china: Review and future trends. Struct. Health Monit. 2010, 9, 219–231. [Google Scholar]
- Han, B.; Ding, S.; Yu, X. Intrinsic self-sensing concrete and structures: A review. Measurement 2015, 59, 110–128. [Google Scholar] [CrossRef]
- Abedi, M.; Fangueiro, R.; Correia, A.G. Development of a Novel Multifunctional Cementitious-Based Geocomposite by the Contribution of CNT and GNP. Nanomaterials 2021, 11, 961. [Google Scholar] [CrossRef]
- Arjomand, M.; Abedi, M.; Gharib, M.; Damghani, M. An Experimental Study on Geogrid with Geotextile Effects Aimed to Improve Clayey Soil. Int. J. Eng. 2019, 32, 685–692. [Google Scholar]
- Han, J.; Pan, J.; Cai, J.; Li, X. A review on carbon-based self-sensing cementitious composites. Constr. Build. Mater. 2020, 265, 120764. [Google Scholar] [CrossRef]
- Abedi, M.; Fangueiro, R.; Gomes Correia, A. Ultra-Sensitive Affordable Cementitious Composite with High Mechanical and Microstructural Performances by Hybrid CNT/GNP. Materials 2020, 13, 3484. [Google Scholar] [CrossRef]
- Mu, S.; Yue, J.; Wang, Y.; Feng, C. Electrical, Piezoresistive and Electromagnetic Properties of Graphene Reinforced Cement Composites: A Review. Nanomaterials 2021, 11, 3220. [Google Scholar] [CrossRef]
- Saqib, M.; Ali Khan, S.; Mutee Ur Rehman, H.M.; Yang, Y.; Kim, S.; Rehman, M.M.; Young Kim, W. High-Performance Humidity Sensor Based on the Graphene Flower/Zinc Oxide Composite. Nanomaterials 2021, 11, 242. [Google Scholar] [CrossRef]
- Dinesh, A.; Sudharsan, S.; Haribala, S. Self-sensing cement-based sensor with carbon nanotube: Fabrication and properties–A review. Mater. Today Proc. 2021, 46, 5801–5807. [Google Scholar] [CrossRef]
- Reddy, P.N.; Kavyateja, B.V.; Jindal, B.B. Structural health monitoring methods, dispersion of fibers, micro and macro structural properties, sensing, and mechanical properties of self-sensing concrete—A review. Struct. Concr. 2021, 22, 793–805. [Google Scholar] [CrossRef]
- Vlachakis, C.; Perry, M.; Biondi, L. Self-sensing alkali-activated materials: A review. Minerals 2020, 10, 885. [Google Scholar] [CrossRef]
- Li, J.-L.; Feng, Z.-Q.; Wu, J.-J.; Wei, S.-S.; Ge, Z. Effects of Environment and Fatigue on the Piezoresistivity of Carbon Nanotube-Cement Composite. J. Highw. Transp. Res. Dev. (Engl. Ed.) 2018, 12, 16–21. [Google Scholar] [CrossRef]
- Han, B.; Zhang, K.; Yu, X.; Kwon, E.; Ou, J. Electrical characteristics and pressure-sensitive response measurements of carboxyl MWNT/cement composites. Cem. Concr. Compos. 2012, 34, 794–800. [Google Scholar] [CrossRef]
- Chen, P.-W.; Chung, D.D.L. Concrete as a new strain/stress sensor. Compos. Part B Eng. 1996, 27, 11–23. [Google Scholar] [CrossRef]
- Dong, W.; Li, W.; Tao, Z.; Wang, K. Piezoresistive properties of cement-based sensors: Review and perspective. Constr. Build. Mater. 2019, 203, 146–163. [Google Scholar] [CrossRef]
- Guo, R.; Suo, Y.; Xia, H.; Yang, Y.; Ma, Q.; Yan, F. Study of Piezoresistive Behavior of Smart Cement Filled with Graphene Oxide. Nanomaterials 2021, 11, 206. [Google Scholar] [CrossRef]
- Polley, M.H.; Boonstra, B.B.S.T. Carbon Blacks for Highly Conductive Rubber. Rubber Chem. Technol. 1957, 30, 170–179. [Google Scholar] [CrossRef]
- Dong, S.; Han, B.; Ou, J.; Li, Z.; Han, L.; Yu, X. Electrically conductive behaviors and mechanisms of short-cut super-fine stainless wire reinforced reactive powder concrete. Cem. Concr. Compos. 2016, 72, 48–65. [Google Scholar] [CrossRef] [Green Version]
- Chu, H.-Y.; Chen, J.-K. The experimental study on the correlation of resistivity and damage for conductive concrete. Cem. Concr. Compos. 2016, 67, 12–19. [Google Scholar] [CrossRef]
- Park, J.-M.; Kwon, D.-J.; Wang, Z.-J.; DeVries, K.L. Review of self-sensing of damage and interfacial evaluation using electrical resistance measurements in nano/micro carbon materials-reinforced composites. Adv. Compos. Mater. 2015, 24, 197–219. [Google Scholar] [CrossRef]
- Abedi, M.; Fangueiro, R.; Correia, A.G. Effects of multiscale carbon-based conductive fillers on the performances of a self-sensing cementitious geocomposite. J. Build. Eng. 2021, 43, 103171. [Google Scholar] [CrossRef]
- Al-Dahawi, A.; Sarwary, M.H.; Öztürk, O.; Yıldırım, G.; Akın, A.; Şahmaran, M.; Lachemi, M. Electrical percolation threshold of cementitious composites possessing self-sensing functionality incorporating different carbon-based materials. Smart Mater. Struct. 2016, 25, 105005. [Google Scholar] [CrossRef]
- Wen, S.; Chung, D.D.L. Double percolation in the electrical conduction in carbon fiber reinforced cement-based materials. Carbon 2007, 45, 263–267. [Google Scholar] [CrossRef]
- Xie, P.; Gu, P.; Beaudoin, J.J. Electrical percolation phenomena in cement composites containing conductive fibres. J. Mater. Sci. 1996, 31, 4093–4097. [Google Scholar] [CrossRef]
- Gong, H.; Zhang, Y.; Quan, J.; Che, S. Preparation and properties of cement based piezoelectric composites modified by CNTs. Curr. Appl. Phys. 2011, 11, 653–656. [Google Scholar] [CrossRef]
- Rao, R.; Sindu, B.S.; Sasmal, S. Synthesis, design and piezo-resistive characteristics of cementitious smart nanocomposites with different types of functionalized MWCNTs under long cyclic loading. Cem. Concr. Compos. 2020, 108, 103517. [Google Scholar] [CrossRef]
- Chacko, R.M.; Banthia, N.; Mufti, A.A. Carbon-fiber-reinforced cement-based sensors. Can. J. Civ. Eng. 2007, 34, 284–290. [Google Scholar] [CrossRef] [Green Version]
- Banthia, N.; Djeridane, S.; Pigeon, M. Electrical resistivity of carbon and steel micro-fiber reinforced cements. Cem. Concr. Res. 1992, 22, 804–814. [Google Scholar] [CrossRef]
- Abedi, M.; Fangueiro, R.; Correia, A.G. An Effective Method for Hybrid CNT/GNP Dispersion and Its Effects on the Mechanical, Microstructural, Thermal, and Electrical Properties of Multifunctional Cementitious Composites. J. Nanomater. 2020, 2020, 6749150. [Google Scholar] [CrossRef]
- Abedi, M.; Fangueiro, R.; Camões, A.; Gomes Correia, A. Evaluation of CNT/GNP’s synergic effects on the Mechanical, Microstructural, and durability properties of a cementitious composite by the novel dispersion method. Constr. Build. Mater. 2020, 260, 120486. [Google Scholar] [CrossRef]
- Al-Saleh, M.H. Electrical and mechanical properties of graphene/carbon nanotube hybrid nanocomposites. Synth. Met. 2015, 209, 41–46. [Google Scholar] [CrossRef]
- Gbaguidi, A.; Namilae, S.; Kim, D. Synergy effect in hybrid nanocomposites based on carbon nanotubes and graphene nanoplatelets. Nanotechnology 2020, 31, 255704. [Google Scholar] [CrossRef] [PubMed]
- Xiao, Y.-J.; Wang, W.-Y.; Chen, X.-J.; Lin, T.; Zhang, Y.-T.; Yang, J.-H.; Wang, Y.; Zhou, Z.-W. Hybrid network structure and thermal conductive properties in poly(vinylidene fluoride) composites based on carbon nanotubes and graphene nanoplatelets. Compos. Part A Appl. Sci. Manuf. 2016, 90, 614–625. [Google Scholar] [CrossRef]
- Kumar, A.; Sharma, K.; Dixit, A.R. A review on the mechanical properties of polymer composites reinforced by carbon nanotubes and graphene. Carbon Lett. 2021, 31, 149–165. [Google Scholar] [CrossRef]
- Birgin, H.B.; D’Alessandro, A.; Laflamme, S.; Ubertini, F. Hybrid Carbon Microfibers-Graphite Fillers for Piezoresistive Cementitious Composites. Sensors 2021, 21, 518. [Google Scholar] [CrossRef]
- Lee, S.-J.; You, I.; Zi, G.; Yoo, D.-Y. Experimental investigation of the piezoresistive properties of cement composites with hybrid carbon fibers and nanotubes. Sensors 2017, 17, 2516. [Google Scholar] [CrossRef] [Green Version]
- Ding, S.; Ruan, Y.; Yu, X.; Han, B.; Ni, Y.-Q. Self-monitoring of smart concrete column incorporating CNT/NCB composite fillers modified cementitious sensors. Constr. Build. Mater. 2019, 201, 127–137. [Google Scholar] [CrossRef]
- Wei, X.; Ku, T. New design chart for geotechnical ground improvement: Characterizing cement-stabilized sand. Acta Geotech. 2020, 15, 999–1011. [Google Scholar] [CrossRef]
- Vinoth, G.; Moon, S.-W.; Moon, J.; Ku, T. Early strength development in cement-treated sand using low-carbon rapid-hardening cements. Soils Found. 2018, 58, 1200–1211. [Google Scholar] [CrossRef]
- Abedi, M.; Fangueiro, R.; Correia, A.G. Innovative self-sensing fiber-reinforced cemented sand with hybrid CNT/GNP. Smart Mater. Struct. 2021, 30, 105034. [Google Scholar] [CrossRef]
- Downey, A.; D’Alessandro, A.; Ubertini, F.; Laflamme, S.; Geiger, R. Biphasic DC measurement approach for enhanced measurement stability and multi-channel sampling of self-sensing multi-functional structural materials doped with carbon-based additives. Smart Mater. Struct. 2017, 26, 065008. [Google Scholar] [CrossRef] [Green Version]
- Nalon, G.H.; Ribeiro, J.C.L.; Araújo, E.N.D.D.; Pedroti, L.G.; Carvalho, J.M.F.D.; Santos, R.F.; Aparecido-Ferreira, A. Effects of different kinds of carbon black nanoparticles on the piezoresistive and mechanical properties of cement-based composites. J. Build. Eng. 2020, 32, 101724. [Google Scholar] [CrossRef]
- Ozbulut, O.E.; Jiang, Z.; Harris, D.K. Exploring scalable fabrication of self-sensing cementitious composites with graphene nanoplatelets. Smart Mater. Struct. 2018, 27, 115029. [Google Scholar] [CrossRef]
- Chen, B.; Wu, K.; Yao, W. Conductivity of carbon fiber reinforced cement-based composites. Cem. Concr. Compos. 2004, 26, 291–297. [Google Scholar] [CrossRef]
- Park, J.-M.; Jang, J.-H.; Wang, Z.-J.; Kwon, D.-J.; DeVries, K.L. Self-sensing of carbon fiber/carbon nanofiber–epoxy composites with two different nanofiber aspect ratios investigated by electrical resistance and wettability measurements. Compos. Part A Appl. Sci. Manuf. 2010, 41, 1702–1711. [Google Scholar] [CrossRef]
- Han, B.; Guan, X.; Ou, J. Electrode design, measuring method and data acquisition system of carbon fiber cement paste piezoresistive sensors. Sens. Actuators A Phys. 2007, 135, 360–369. [Google Scholar] [CrossRef]
- Han, B.-G.; Guan, X.-C.; Ou, J.-P. Experimental research of electrode of carbon fiber reinforced cement sensor. J. Funct. Mater. 2004, 35, 262–264. [Google Scholar]
- Cosoli, G.; Mobili, A.; Tittarelli, F.; Revel, G.M.; Chiariotti, P. Electrical Resistivity and Electrical Impedance Measurement in Mortar and Concrete Elements: A Systematic Review. Appl. Sci. 2020, 10, 9152. [Google Scholar] [CrossRef]
- Nam, I.; Souri, H.; Lee, H.-K. Percolation threshold and piezoresistive response of multi-wall carbon nanotube/cement composites. Smart Struct. Syst. 2016, 18, 217–231. [Google Scholar] [CrossRef]
- Xiao, H.; Li, H.; Ou, J. Modeling of piezoresistivity of carbon black filled cement-based composites under multi-axial strain. Sens. Actuators A Phys. 2010, 160, 87–93. [Google Scholar] [CrossRef]
- Chiarello, M.; Zinno, R. Electrical conductivity of self-monitoring CFRC. Cem. Concr. Compos. 2005, 27, 463–469. [Google Scholar] [CrossRef]
- Baeza, F.J.; Galao, O.; Zornoza, E.; Garcés, P. Effect of aspect ratio on strain sensing capacity of carbon fiber reinforced cement composites. Mater. Des. 2013, 51, 1085–1094. [Google Scholar] [CrossRef]
- Abedi, M.; Fangueiro, R.; Gomes Correia, A. A review of intrinsic self-sensing cementitious composites and prospects for their application in transport infrastructures. Constr. Build. Mater. 2021, 310, 125139. [Google Scholar] [CrossRef]
- Abedi, M.; Gomes Correia, A.; Fangueiro, R. Geotechnical and piezoresistivity properties of sustainable cementitious stabilized sand reinforced with recycled fibres. Transp. Eng. 2021, 6, 100096. [Google Scholar] [CrossRef]
- Chuah, S.; Pan, Z.; Sanjayan, J.G.; Wang, C.M.; Duan, W.H. Nano reinforced cement and concrete composites and new perspective from graphene oxide. Constr. Build. Mater. 2014, 73, 113–124. [Google Scholar] [CrossRef]




















| Characterization | Carbon Content (%) | Length (µm) | Outside Diameter (nm) | Density (g/cm3) | Layers | Form |
|---|---|---|---|---|---|---|
| CNT (5–10) | >98 | 5–10 | 7–15 | 2.21 | - | Black powder |
| CNT (10–30) | >98 | 10–30 | <8 | 2.27 | - | Black powder |
| CNT (40–50) | >95 | 40–50 | 8–15 | 2.34 | - | Black powder |
| GNP | >99.5 | 5–10 | 4–20 | 2.25 | 10 < n < 60 | Grey powder |
| CF (5) | >93 | 5000 | 7000 | 1.87 | - | Black microfibre |
| CF (10) | 10,000 | |||||
| CF (20) | 20,000 |
| Mesh size (mm) | 0.08 | 0.16 | 0.5 | 1 | 1.6 | 2 |
| Cumulative retained (%) | 99 ± 1 | 87 ± 5 | 67 ± 5 | 33 ± 5 | 7 ± 1 | 0 |
| Specific gravity Gs | 2.67 | Cu a | 7.5 | Cc b | 1.8 | |
Publisher’s Note: MDPI stays neutral with regard to jurisdictional claims in published maps and institutional affiliations. |
© 2022 by the authors. Licensee MDPI, Basel, Switzerland. This article is an open access article distributed under the terms and conditions of the Creative Commons Attribution (CC BY) license (https://creativecommons.org/licenses/by/4.0/).
Share and Cite
Abedi, M.; Fangueiro, R.; Correia, A.G. Effects of Electrodes Layout and Filler Scale on Percolation Threshold and Piezoresistivity Performances of a Cementitious-Based Geocomposite. Nanomaterials 2022, 12, 1734. https://doi.org/10.3390/nano12101734
Abedi M, Fangueiro R, Correia AG. Effects of Electrodes Layout and Filler Scale on Percolation Threshold and Piezoresistivity Performances of a Cementitious-Based Geocomposite. Nanomaterials. 2022; 12(10):1734. https://doi.org/10.3390/nano12101734
Chicago/Turabian StyleAbedi, Mohammadmahdi, Raul Fangueiro, and António Gomes Correia. 2022. "Effects of Electrodes Layout and Filler Scale on Percolation Threshold and Piezoresistivity Performances of a Cementitious-Based Geocomposite" Nanomaterials 12, no. 10: 1734. https://doi.org/10.3390/nano12101734
APA StyleAbedi, M., Fangueiro, R., & Correia, A. G. (2022). Effects of Electrodes Layout and Filler Scale on Percolation Threshold and Piezoresistivity Performances of a Cementitious-Based Geocomposite. Nanomaterials, 12(10), 1734. https://doi.org/10.3390/nano12101734
