Nanostructured Molybdenum-Oxide Anodes for Lithium-Ion Batteries: An Outstanding Increase in Capacity
Abstract
:1. Introduction
2. Materials and Methods
3. Results
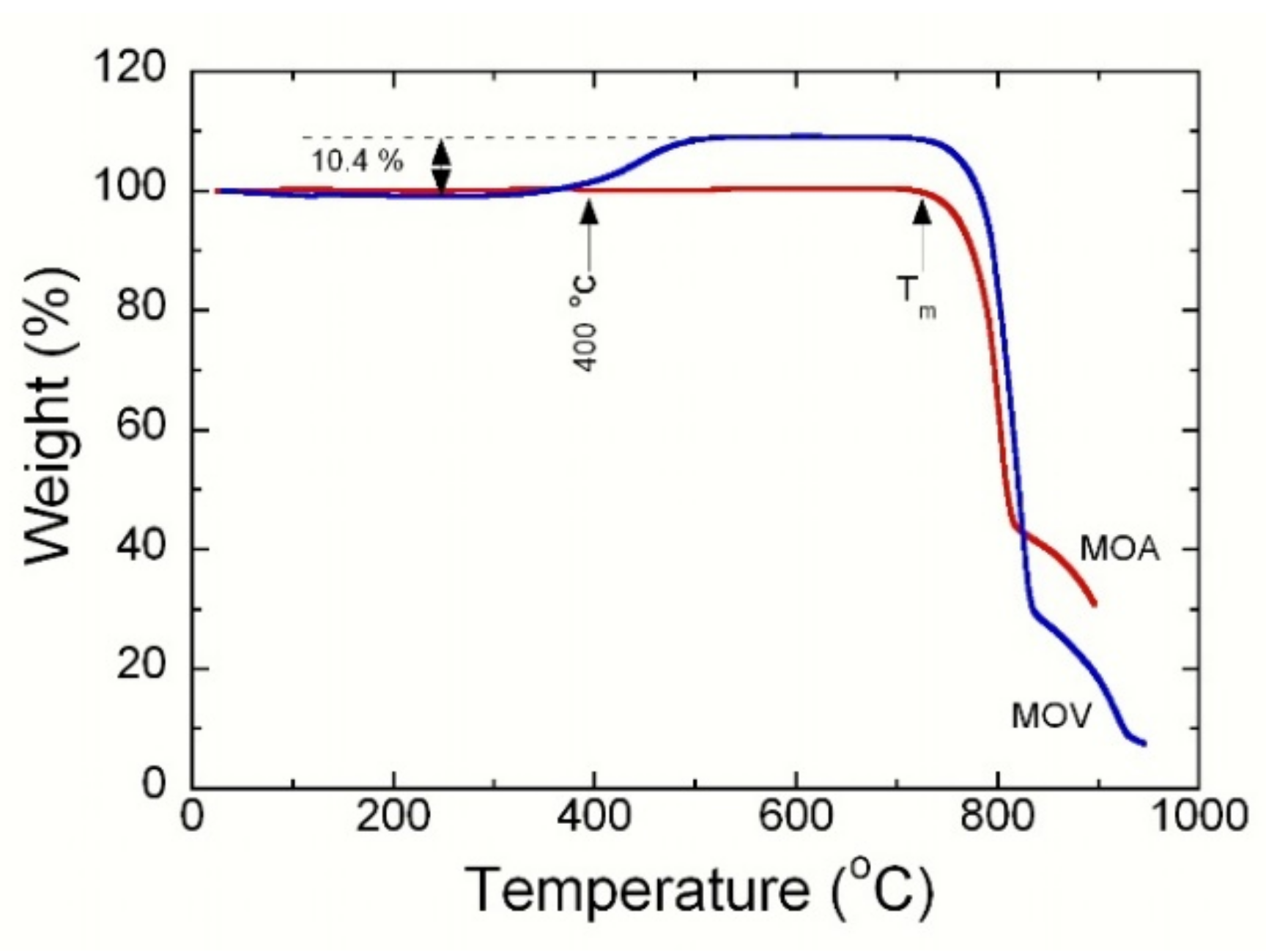
3.1. Structure and Morphology
3.2. Electrochemical Properties
4. Conclusions
Author Contributions
Funding
Institutional Review Board Statement
Informed Consent Statement
Data Availability Statement
Acknowledgments
Conflicts of Interest
References
- Zhao, X.; Jia, W.; Wu, X.; Lv, Y.; Qiu, J.; Guo, J.; Wang, X.; Jia, D.; Yan, J.; Wu, D. Ultrafine MoO3 anchored in coal-based carbon nanofibers as anode for advanced lithium-ion batteries. Carbon 2020, 156, 445–452. [Google Scholar] [CrossRef]
- Jiang, J.; Li, Y.; Liu, J.; Huang, X.; Yuan, C.; Lou, X.W.D. Recent advances in metal oxide-based electrode architecture design for electrochemical energy storage. Adv. Mater. 2012, 24, 5166–5180. [Google Scholar] [CrossRef] [PubMed]
- Cheng, X.; Li, Y.; Sang, L.; Ma, J.; Shi, H.; Liu, X.; Lu, J.; Zhang, Y. Boosting the electrochemical performance of MoO3 anode for long-life lithium ion batteries: Dominated by an ultrathin TiO2 passivation layer. Electrochim. Acta 2018, 269, 241–249. [Google Scholar] [CrossRef]
- Manthiram, A.; Chemelewski, K.; Lee, E.S. A perspective on the high-voltage LiMn1.5Ni0.5O4 spinel cathode for lithium-ion batteries. Energy Environ. Sci. 2014, 7, 1339–1350. [Google Scholar] [CrossRef]
- Sun, Y.; Liu, N.; Cui, Y. Promises and challenges of nanomaterials for lithium based rechargeable batteries. Nat. Energy 2016, 1, 16071. [Google Scholar] [CrossRef]
- Li, H.; Liu, P.; Zhou, N.; Huang, X.; Wang, H. Electrochemical presodiation promoting lithium storage performance of Mo-based anode materials. Ceram. Int. 2017, 43, 11967–11972. [Google Scholar] [CrossRef]
- Goodenough, J.B.; Kim, Y. Challenges for rechargeable batteries. J. Power Sources 2011, 196, 6688–6694. [Google Scholar] [CrossRef]
- Hua, R.; Liu, T.; Chen, B.; Cai, R.; Zhou, J. Computational atomic mechanical properties of structure and diffusion in the MoO3 anode materials during lithiation. Mater. Sci. 2018, 145, 8–13. [Google Scholar]
- Baldoni, M.; Craco, L.; Seifert, G.; Leoni, S. A two-electron mechanism of lithium insertion into layered α-MoO3: A DFT and DFT+U study. J. Mater. Chem. A 2013, 1, 1778–1784. [Google Scholar] [CrossRef]
- Zhao, K.; Pharr, M.; Wan, Q.; Wang, W.L.; Kaxiras, E.; Vlassak, J.J.; Suo, Z. Concurrent reaction and plasticity during initial lithiation of crystalline silicon in lithium-ion batteries. J. Electrochem. Soc. 2012, 159, A238–A243. [Google Scholar] [CrossRef]
- Shang, H.; Zuo, Z.; Li, L.; Wang, F.; Liu, H.; Li, Y. Ultrathin graphdiyne nanosheets grown in situ on copper nanowires and their performance as lithium-ion battery anodes. Angew. Chem. Int. Ed. 2018, 57, 774–778. [Google Scholar] [CrossRef]
- Tabassum, H.; Zou, R.; Mahmood, A.; Liang, Z.; Wang, Q.; Zhang, H.; Gao, S.; Qu, C.; Guo, W.; Guo, S. A universal strategy for hollow metal oxide nanoparticles encapsulated into B/N co-doped graphitic nanotubes as high-performance lithium-ion battery anodes. Adv. Mater. 2018, 30, 1705441. [Google Scholar] [CrossRef]
- Feng, K.; Li, M.; Liu, W.; Kashkooli, A.G.; Xiao, X.; Cai, M.; Chen, Z. Silicon-based anodes for lithium-ion batteries: From fundamentals to practical applications. Small 2018, 14, 1702737. [Google Scholar] [CrossRef]
- Nagaura, T.; Tozawa, K. Lithium ion rechargeable battery. Prog. Batteries Solar Cells 1990, 9, 209–212. [Google Scholar]
- Zhang, W.; Wang, B.; Luo, H.; Jin, F.; Ruan, T.; Wang, D. MoO2 nanobelts modified with an MOF-derived carbon layer for high performance lithium-ion battery anodes. J. Alloys Compd. 2019, 803, 664–670. [Google Scholar] [CrossRef]
- Chen, S.; Zhu, J.; Wu, X.; Han, Q.; Wang, X. Graphene oxide-MnO2 nanocomposites for supercapacitors. ACS Nano 2010, 4, 2822–2830. [Google Scholar] [CrossRef]
- Liu, D.; Wang, X.; Tian, W.; Liu, J.; Zhi, C.; He, D.; Bando, Y.; Golberg, D. Ultrathin nanoporous Fe3O4 carbon nanosheets with enhanced supercapacitor performance. J. Mater. Chem. A 2013, 1, 1952–1955. [Google Scholar] [CrossRef]
- Mondal, A.K.; Su, D.; Chen, S.; Xie, X.; Wang, G. Highly porous NiCo2O4 nanoflakes and nanobelts as anode materials for lithium-ion batteries with excellent rate capability. ACS Appl. Mater. Interfaces 2014, 6, 14827–14835. [Google Scholar] [CrossRef]
- Huo, J.; Xue, Y.; Liu, Y.; Ren, Y.; Yue, G. Polyvinyl alcohol-assisted synthesis of porous MoO2/C microrods as anodes for lithium-ion batteries. J. Electroanal. Chem. 2020, 857, 113751. [Google Scholar] [CrossRef]
- El-Deen, S.S.; Hashem, A.M.; Abdel-Ghany, A.E.; Indris, S.; Ehrenberg, H.; Mauger, A.; Julien, C.M. Anatase TiO2 nanoparticles for lithium-ion batteries. Ionics 2018, 24, 2925–2934. [Google Scholar] [CrossRef]
- Su, Y.; Tong, R.-A.; Zhang, H.; Liang, P.; Wang, C.-A.; Zhong, M. Defocused laser ablation process. A high-efficiency way to fabricate MoO3-Mo integrative anode with excellent electrochemical performance for lithium ion batteries. J. Alloys Compd. 2019, 787, 295–300. [Google Scholar] [CrossRef]
- Ramana, C.V.; Mauger, A.; Julien, C.M. Growth, characterization and performance of bulk and nanoengineered molybdenum oxides for electrochemical energy storage and conversion. Prog. Cryst. Growth Charact. Mater. 2021, 67, 100533. [Google Scholar] [CrossRef]
- Lakshmi-Narayana, A.; Hussain, O.M.; Ramana, C.V.; Camacho-Lopez, M.; Abdel-Ghany, A.; Hashem, A.; Mauger, A.; Julien, C.M. Molybdenum-suboxide thin films as anode layers in planar lithium microbatteries. Electrochem 2020, 1, 160–187. [Google Scholar] [CrossRef]
- Julien, C.M.; Mauger, A.; Vijh, A.; Zaghib, K. Lithium Batteries: Science and Technology; Springer: Cham, Switzerland, 2016; pp. 120–124. [Google Scholar]
- Chen, X.; Huang, Y.; Zhang, K. α-MoO3 nanorods coated with SnS2 nano sheets core-shell composite as high-performance anode materials of lithium ion batteries. Electrochim. Acta 2016, 222, 956–964. [Google Scholar] [CrossRef]
- Tang, W.; Peng, C.X.; Nai, C.T.; Su, J.; Liu, Y.P.; Reddy, M.; Lin, M.; Loh, K.P. Ultrahigh capacity due to multi-electron conversion reaction in reduced graphene oxide-wrapped MoO2 porous nanobelts. Small 2015, 11, 2446–2453. [Google Scholar] [CrossRef]
- Petnikota, S.; Teo, K.W.; Chen, L.; Sim, A.; Marka, S.K.; Reddy, M.V.; Srikanth, V.V.; Adams, S.; Chowdari, B.V. Exfoliated graphene oxide/MoO2 composites as anode materials in lithium-ion batteries: An insight into intercalation of Li and conversion mechanism of MoO2. ACS Appl. Mater. Interfaces 2016, 8, 10884–10896. [Google Scholar] [CrossRef]
- Zhang, W.; Xing, L.; Chen, J.; Zhou, H.; Liang, S.; Huang, W.; Li, W. Improving the cyclic stability of MoO2 anode for sodium ion batteries via film-forming electrolyte additive. J. Alloys Compd. 2020, 822, 153530. [Google Scholar] [CrossRef]
- Ramana, C.V.; Atuchin, V.V. Electrochemical properties of sputter-deposited MoO3 films in lithium microbatteries. J. Vacuum Sci. Technol. A 2012, 30, 04D105. [Google Scholar] [CrossRef]
- Li, Y.; Sun, H.; Cheng, X.; Zhang, Y.; Zhao, K. In-situ TEM experiments and first principles studies on the electrochemical and mechanical behaviors of α-MoO3 in Li-ion batteries. Nano Energy 2016, 27, 95–102. [Google Scholar] [CrossRef] [Green Version]
- Ma, F.; Yuan, A.; Xu, J.; Hu, P. Porous α-MoO3/MWCNT nanocomposite synthesized via a surfactant-assisted solvothermal route as a lithium-ion-battery high-capacity anode material with excellent rate capability and cyclability. ACS Appl. Mater. Interfaces 2015, 7, 15531–15541. [Google Scholar] [CrossRef]
- Xia, W.; Xu, F.; Zhu, C.; Xin, H.L.; Xu, Q.; Sun, P.; Sun, L. Probing microstructure and phase evolution of α-MoO3 nanobelts for sodium-ion batteries by in situ transmission electron microscopy. Nano Energy 2016, 27, 447–456. [Google Scholar] [CrossRef] [Green Version]
- Zheng, C.; Chen, C.R.; Chen, L.; Wei, M.D. A CMK-5-encapsulated MoSe2 composite for rechargeable lithium-ion batteries with improved electrochemical performance. J. Mater. Chem. 2017, 5, 19632. [Google Scholar] [CrossRef]
- Zeng, L.X.; Huang, X.X.; Chen, X.; Zheng, C.; Liu, R.P.; Chen, G.; Qian, Q.R.; Chen, Q.H.; Wei, M.D. Ethanol thermal reduction synthesis of hierarchical MoO2-C hollow spheres with high rate performance for lithium ion batteries. RSC Adv. 2016, 6, 105558. [Google Scholar] [CrossRef]
- Zhao, K.; Tritsaris, G.A.; Pharr, M.; Wang, W.L.; Okeke, O.; Suo, Z.; Vlassak, J.J.; Kaxiras, E. Reactive flow in silicon electrodes assisted by the insertion of lithium. Nano Lett. 2012, 12, 4397–4403. [Google Scholar] [CrossRef]
- Yang, T.; Yu, X.; Liu, C.; Liang, L.; Wang, W. High-performance lithium storage properties based on molybdenum trioxide nanobelts. Solid State Ion. 2018, 326, 1–4. [Google Scholar] [CrossRef]
- Atuchin, V.V.; Gavrilova, T.A.; Grigorieva, T.I.; Kuratieva, N.V.; Okotrub, K.A.; Pervukhina, N.V.; Surovtsev, N.V. Sublimation growth and vibrational microspectrometry of α-MoO3 single crystals. J. Cryst. Growth 2011, 318, 987–990. [Google Scholar] [CrossRef]
- Mai, L.Q.; Hu, B.; Chen, W. Lithiated MoO3 nanobelts with greatly improved performance for lithium batteries. Adv. Mater. 2017, 19, 3712–3716. [Google Scholar] [CrossRef]
- Xia, W.; Zhang, Q.; Xu, F.; Sun, L. New insights into electrochemical lithiation/delithiation mechanism of α-MoO3 nanobelt by in situ transmission electron microscopy. ACS Appl. Mater. Interfaces 2016, 8, 9170–9177. [Google Scholar] [CrossRef]
- Huang, J.; Yan, J.; Li, J.; Cao, L.; Xu, Z.; Wu, J.; Zhou, L.; Luo, Y. Assembled-sheets-like MoO3 anodes with excellent electrochemical performance in Li-ion battery. J. Alloys Compd. 2016, 688, 588–595. [Google Scholar] [CrossRef]
- Zhang, P.; Guo, S.; Liu, J.; Zhou, C.; Li, S.; Yang, Y.; Wu, J.; Yu, D.; Chen, L. Highly uniform nitrogen-doped carbon decorated MoO2 nano popcorns as anode for high-performance lithium/sodium-ion storage. J. Colloid Interface Sci. 2020, 563, 318–327. [Google Scholar] [CrossRef]
- Wang, W.; Shi, G.; Cai, H.; Zhao, C.; Wu, J.; Yu, Y.; Hu, J.; Fang, Z.; Yan, J.; Liu, B. Yolk-shell structured Mo/MoO2 composite microspheres function as high-performance anode materials for lithium-ion batteries. J. Alloys Compd. 2019, 792, 191–202. [Google Scholar] [CrossRef]
- Zhang, L.; Shen, K.; Jiang, Y.; Song, Y.; Liu, Y.; Yuan, X.; Guo, S. Facile construction of flower-like MoO2@N, P co-doped carbon on carbon cloth as self-standing anode for high-performance sodium ion battery. J. Electroanal. Chem. 2019, 852, 113510. [Google Scholar] [CrossRef]
- Ma, J.; Fu, J.; Niu, M.; Quhe, R. MoO2 and graphene heterostructure as promising flexible anodes for lithium-ion batteries. Carbon 2019, 147, 357–363. [Google Scholar] [CrossRef]
- Tang, S.; Shen, C.; Ji, W.; Liu, J.; Fichou, D. Template-free synthesis of hierarchical MoO2 multi-shell architectures with improved lithium storage capability. Mater. Res. Bull. 2017, 91, 85–90. [Google Scholar] [CrossRef]
- Dahn, J.R.; McKinnon, W. Structure and electrochemistry of LixMoO2. Solid State Ion. 1987, 23, 1–7. [Google Scholar] [CrossRef]
- Zhou, L.; Wu, H.B.; Wang, Z.; Lou, X.W. Interconnected MoO2 nanocrystals with carbon nanocoating as high-capacity anode materials for lithium-ion batteries. ACS Appl. Mater. Interfaces 2011, 3, 4853–4857. [Google Scholar] [CrossRef]
- Xia, Q.; Zhao, H.L.; Du, Z.H. Facile synthesis of MoO3/carbon nanobelts as high-performance anode material for lithium ion batteries. Electrochim. Acta 2015, 180, 947–956. [Google Scholar] [CrossRef]
- Chen, L.; Jiang, H.; Jiang, H.; Zhang, H.; Guo, S.; Hu, Y.; Li, C. Mo-Based ultra-small nanoparticles on hierarchical carbon nanosheets for superior lithium ion storage and hydrogen generation catalysis. Adv. Energy Mater. 2017, 7, 1602782. [Google Scholar] [CrossRef]
- Meduri, P.; Clark, E.; Kim, J.H.; Dayalan, E.; Sumanasekera, G.U.; Sunkara, M.K. MoO3-x nanowire arrays as stable and high capacity anodes for lithium-ion batteries. Nano Lett. 2012, 12, 1784–1788. [Google Scholar] [CrossRef]
- Yang, L.; Li, X.; Ouyang, Y.; Gao, Q.; Ouyang, L.; Hu, R.; Liu, J.; Zhu, M. Hierarchical MoO2/Mo2C/C hybrid nanowires as high-rate and long-life anodes for lithium-ion batteries. ACS Appl. Mater. Interfaces 2016, 8, 19987–19993. [Google Scholar] [CrossRef]
- Zhou, J.; Lin, N.; Wang, L.; Zhang, K.; Zhu, Y.; Qian, Y. Synthesis of hexagonal MoO3 nanorods and a study of their electrochemical performance as anode materials for lithium-ion batteries. J. Mater. Chem. A 2015, 3, 7463–7468. [Google Scholar] [CrossRef]
- Xiu, Z.; Kim, D.; Alfaruqi, M.H.; Song, J.; Kim, S.; Duong, P.T.; Mathew, V.; Baboo, J.P.; Kim, J. Ultrafine molybdenum oxycarbide nanoparticles embedded in N-doped carbon as a superior anode material for lithium-ion batteries. J. Alloys Compd. 2017, 696, 143–149. [Google Scholar] [CrossRef]
- Zhang, H.-J.; Shu, J.; Wang, K.-X.; Chen, X.-T.; Jiang, Y.-M.; Wei, X.; Chen, J.-S. Lithiation mechanism of hierarchical porous MoO2 nanotubes fabricated through one-step carbothermal reduction. J. Mater. Chem. 2014, 2, 80–86. [Google Scholar] [CrossRef]
- Yang, L.C.; Gao, Q.S.; Zhang, Y.H.; Tang, Y.; Wu, Y.P. Tremella-like molybdenum dioxide consisting of nanosheets as an anode material for lithium-ion batteries. Electrochem. Commun. 2008, 10, 118–122. [Google Scholar] [CrossRef]
- Xiao, X.; Peng, Z.; Chen, C.; Zhang, C.; Beidaghi, M.; Yang, Z.; Wu, N.; Huang, Y.; Miao, L.; Gogotsi, Y.; et al. Freestanding MoO3−x nanobelt/carbon nanotube films for Li-ion intercalation pseudocapacitors. J. Nano Energy 2014, 9, 355–363. [Google Scholar] [CrossRef] [Green Version]
- Zhang, P.; Zou, L.; Hu, H.; Wang, M.; Fang, J.; Lai, Y.; Li, J. 3D Hierarchical carbon microflowers decorated with MoO2 nanoparticles for lithium ion batteries. Electrochim. Acta 2017, 250, 219–227. [Google Scholar] [CrossRef]
- Nadimicherla, R.; Zha, R.; Wei, L.; Guo, X. Single crystalline flowerlike α-MoO3 nanorods and their application as anode material for lithium-ion batteries. J. Alloys Compd. 2016, 687, 79–86. [Google Scholar] [CrossRef]
- Hashem, A.M.; Abuzeid, H.; Kaus, M.; Indris, S.; Ehrenberg, H.; Mauger, A.; Julien, C.M. Green synthesis of nanosized manganese dioxide as positive electrode for lithium-ion batteries using lemon juice and citrus peel. Electrochim. Acta 2018, 262, 74–81. [Google Scholar] [CrossRef]
- Abuzeid, H.M.; Hashem, A.M.; Kaus, M.; Knapp, M.; Indris, S.; Ehrenberg, H.; Mauger, A.; Julien, C.M. Electrochemical performance of nanosized MnO2 synthesized by redox route using biological reducing agents. J. Alloys Compd. 2018, 746, 227–237. [Google Scholar] [CrossRef]
- Abuzeid, H.M.; Elsherif, S.A.; Abdel-Ghany, N.A.; Hashem, A.M. Facile, cost-effective and eco-friendly green synthesis method of MnO2 as storage electrode materials for supercapacitors. J. Energy Storage 2019, 21, 156–162. [Google Scholar] [CrossRef]
- Bampidis, V.A.; Robinson, P.H. Citrus byproducts as ruminant feeds: A review. Anim. Feed Sci. Technol. 2006, 128, 175–217. [Google Scholar] [CrossRef]
- Hashem, A.M.; Abuzeid, H.M.; Winter, M.; Li, J.; Julien, C.M. Synthesis of high surface area α-KyMnO2 nanoneedles using extract of broccoli as bioactive reducing agent and application in lithium battery. Materials 2020, 13, 1269. [Google Scholar] [CrossRef] [PubMed] [Green Version]
- Olabinjo, O.O.; Ogunlowo, A.S.; Ajayi, O.O.; Olalusi, A.P. Analysis of physical and chemical composition of sweet orange (citrus sinensis) peels. Int. J. Environ. Agric. Biotechnol. 2017, 2, 2201–2206. [Google Scholar] [CrossRef] [Green Version]
- Kihlborg, L. Least squares refinement of crystal structure of molybdenum trioxide. Ark. Kemi. 1963, 21, 357–364. [Google Scholar]
- Hashem, A.M.; Abbas, S.M.; Abdel-Ghany, A.E.; Eid, A.E.; Abdel-Khalek, A.A.; Indris, S.; Ehrenberg, H.; Mauger, A.; Julien, C.M. Blend formed by oxygen deficient MoO3-δ oxides as lithium-insertion compounds. J. Alloys Compd. 2016, 686, 744–752. [Google Scholar] [CrossRef] [Green Version]
- Anderson, S.; Magnelli, A. Structure of MoO3. Acta Chem. Scand. 1950, 4, 793–799. [Google Scholar]
- Kihlborg, L. Studies on molybdenum oxides. Acta Chem. Scand. 1959, 13, 954–962. [Google Scholar] [CrossRef]
- Magnéli, A. The crystal structures of Mo9O26 (beta’-molybdenum oxide) and Mo8O23 (beta-molybdenum oxide). Acta Chem. Scand. 1948, 2, 501–517. [Google Scholar] [CrossRef]
- Hashem, A.M.; Abdel-Ghany, A.E.; El-Tawil, R.S.; Indris, S.; Ehrenberg, H.; Mauger, A.; Julien, C.M. Amorphous Mo5O14-type/carbon nano composite with enhanced electrochemical capability for lithium-ion batteries. Nanomaterials 2020, 10, 8. [Google Scholar] [CrossRef] [Green Version]
- Troitskaia, I.B.; Gavrilova, T.A.; Gromilov, S.A.; Sheglov, D.V.; Atuchin, V.V.; Vemuri, R.S.; Ramana, C.V. Growth and structural properties of α-MoO3 (010) microplates with atomically flat surface. Mater. Sci. Eng. B 2010, 174, 159–163. [Google Scholar] [CrossRef]
- Williamson, G.K.; Hall, W.H. X-ray line broadening from filed aluminium and wolfram. Acta Metall. 1953, 1, 22–31. [Google Scholar] [CrossRef]
- Py, M.; Maschke, K. Intra-and interlayer contributions to the lattice vibrations in MoO3. Physica B + C 1981, 105, 370–374. [Google Scholar] [CrossRef]
- Dieterle, M.; Weinberg, G.; Mestl, G. Raman spectroscopy of molybdenum oxides. Part I. Structural characterization of oxygen defects in MoO3-x by DR UV/Vis, Raman spectroscopy and X-ray diffraction. Phys. Chem. Chem. Phys. 2002, 4, 812–821. [Google Scholar] [CrossRef]
- Py, M.; Schmid, P.E.; Vallin, J. Raman scattering and structural properties of MoO3. Il Nuovo Cimento B 1977, 38, 271–279. [Google Scholar] [CrossRef]
- Nazri, G.-A.; Julien, C. Far-infrared and Raman Studies of orthorhombic MoO3 single crystal. Solid State Ion. 1992, 53, 376–382. [Google Scholar] [CrossRef]
- Srivastava, R.; Chase, L.L. Raman spectra of CrO2 and MoO2 single crystals. Solid State Commun. 1972, 11, 349–353. [Google Scholar] [CrossRef]
- Spevack, P.A.; Mcintyre, N.S. Thermal reduction of MoO3. J. Phys. Chem. C 1992, 96, 9029–9035. [Google Scholar] [CrossRef]
- Dierle, M.; Mestl, G. Raman spectroscopy of molybdenum oxides. Phys. Chem. Chem. Phys. 2002, 4, 822–826. [Google Scholar] [CrossRef]
- Navas, I.; Vinodkumar, R.; Lethy, K.J.; Detty, A.P.; Ganesan, V.; Sathe, V.; Mahadevan Pillai, V.P. Growth and characterization of molybdenum oxide nanorods by RF magnetron sputtering and subsequent annealing. J. Phys. D Appl. Phys. 2009, 42, 175305. [Google Scholar] [CrossRef]
- Camacho-López, M.A.; Escobar-Alarcón, L.; Picquart, M.; Arroyo, R.; Córdoba, G.; Haro-Poniatowski, E. Micro-Raman study of the m-MoO2 to α-MoO3 transformation induced by cw-laser irradiation. Opt. Mater. 2011, 33, 480–484. [Google Scholar] [CrossRef]
- Blume, A. Synthese und Strukturelle Untersuchungen von Molybdän-, Vanadium- und Wolframoxiden als Referenzverbindungen für die Heterogene Katalyse. Ph.D. Thesis, Universität Berlin, Berlin, Germany, 2004. [Google Scholar]
- Zhao, Y.; Liu, X.; Lei, D.Y.; Chai, Y. Effects of surface roughness of Ag thin films on surface-enhanced Raman spectroscopy of graphene: Spatial nonlocality and physisorption strain. Nanoscale 2014, 6, 1311–1317. [Google Scholar] [CrossRef]
- Choi, J.-G.; Thompson, L.T. XPS study of as-prepared and reduced molybdenum oxides. Appl. Surf. Sci. 1996, 93, 143–149. [Google Scholar] [CrossRef]
- Novotny, P.; Lamb, H.H. Nanostructured MoOx films deposited on c-plane sapphire. J. Vac. Sci. Technol. A 2019, 37, 051504. [Google Scholar] [CrossRef]
- Colton, R.J.; Guzman, A.M.; Rabalais, J.W. Electrochromism in some thin-film transition-metal oxides characterized by x-ray electron spectroscopy. J. Appl. Phys. 1978, 49, 409. [Google Scholar] [CrossRef]
- Fleisch, T.H.; Mains, G.J. An XPS study of the UV reduction and photochromism of MoO3 and WO3. J. Chem. Phys. 1982, 76, 780. [Google Scholar] [CrossRef]
- Ramana, C.V.; Atuchin, V.V.; Kesler, V.G.; Kochubey, V.A.; Pokrovsky, L.D.; Shutthanandan, V.; Becker, U.; Ewing, R.C. Growth and surface characterization of sputter-deposited molybdenum oxide thin films. Appl. Surf. Sci. 2007, 253, 5368–5374. [Google Scholar] [CrossRef]
- Cimino, A.; DeAngelis, B.A. the application ox X-ray photoelectron spectroscopy to the study of molybdenum oxides and supported molybdenum oxide catalysts. J. Catal. 1975, 36, 11–22. [Google Scholar] [CrossRef]
- Thiele, G.; Poston, M.; Brown, R. A Case Study in Sizing Nanoparticles. Micromeritics Instrument Corporation. Available online: http://www.particletesting.com/library (accessed on 1 January 2019).
- Jung, Y.S.; Lee, S.; Ahn, D.; Dillon, A.C.; Lee, S.-H. Electrochemical reactivity of ball-milled MoO3−y as anode materials for lithium-ion batteries. J. Power Sour. 2009, 188, 286–291. [Google Scholar] [CrossRef]
- Wu, D.; Shen, R.; Yang, R.; Ji, W.; Jiang, M.; Ding, W.; Peng, L. Mixed molybdenum oxides with superior performances as an advanced anode material for lithium-ion batteries. Sci. Rep. 2017, 7, 44697. [Google Scholar] [CrossRef]
- Cho, J.S. Large scale process for low crystalline MoO3-carbon composite microspheres prepared by one-step spray pyrolysis for anodes in lithium-ion batteries. Nanomaterials 2019, 9, 539. [Google Scholar] [CrossRef] [Green Version]
- Yang, L.C.; Gao, Q.S.; Tang, Y.; Wu, Y.P.; Holze, R. MoO2 synthesized by reduction of MoO3 with ethanol vapor as an anode material with good rate capability for the lithium-ion battery. J. Power Sour. 2008, 179, 357–360. [Google Scholar] [CrossRef]
- Sen, U.K.; Mitra, S. Synthesis of molybdenum oxides and their electrochemical properties against Li. Energy Proc. 2014, 54, 740–747. [Google Scholar] [CrossRef] [Green Version]
- Su, L.; Zhong, Y.; Zhou, Z. Role of transition metal nanoparticles in the extra lithium storage capacity of transition metal oxides: A case study of hierarchical core–shell Fe3O4@C and Fe@C microspheres. J. Mater. Chem. A 2013, 1, 15158–15166. [Google Scholar] [CrossRef]
- Zheng, F.; Zhu, D.; Chen, Q. Facile fabrication of porous NixCo3−xO4 nanosheets with enhanced electrochemical performance as anode materials for Li-ion batteries. ACS Appl. Mater. Interfaces 2014, 6, 9256–9264. [Google Scholar] [CrossRef]
- Keppeler, M.; Srinivasan, M. Interfacial phenomena/capacities beyond conversion reaction occurring in nano-sized transition-metal-oxide-based negative electrodes in lithium-ion batteries: A review. ChemElectroChem 2017, 4, 2727–2754. [Google Scholar] [CrossRef]
- Grugeon, S.; Laruelle, S.; Dupont, L.; Tarascon, J.M. An uptake on the reactivity of nanoparticles Co-based compounds towards Li. Solid State Sci. 2003, 5, 895–904. [Google Scholar] [CrossRef]
- Sun, Y.; Hu, X.; Luo, W.; Xia, F.; Huang, Y. Reconstruction of conformal nanoscale MnO on graphene as a high-capacity and long-life anode material for lithium ion batteries. Adv. Funct. Mater. 2013, 23, 2436–2444. [Google Scholar] [CrossRef]
- Guo, J.; Liu, Q.; Wang, C.; Zachariah, M.R. Interdispersed amorphous MnOx-carbon nanocomposites with superior electrochemical performance as lithium-storage material. Adv. Funct. Mater. 2012, 22, 803–811. [Google Scholar] [CrossRef]
- Shi, Y.F.; Guo, B.K.; Corr, S.A.; Shi, Q.H.; Hu, Y.S.; Heier, K.R.; Chen, L.Q.; Seshadri, R.; Stucky, G.D. Ordered mesoporous metallic MoO2 materials with highly reversible lithium storage capacity. Nano Lett. 2009, 9, 4215–4220. [Google Scholar] [CrossRef]
- Palanisamy, K.; Kim, Y.; Kim, H.; Kim, J.M.; Yoon, W.-S. Self-assembled porous MoO2/graphene microspheres towards high performance anodes for lithium ion batteries. J. Power Sour. 2015, 275, 351–361. [Google Scholar] [CrossRef]
- Tang, Q.; Shan, Z.; Wang, L.; Qin, X. MoO2-graphene nanocomposite as anode material for lithium-ion batteries. Electrochim. Acta 2012, 79, 148–153. [Google Scholar] [CrossRef]
- Mei, W.; Huang, J.; Zhu, L.; Ye, Z.; Mai, Y.; Tu, J. Synthesis of porous rhombus-shaped Co3O4 nanorod arrays grown directly on a nickel substrate with high electrochemical performance. J. Mater. Chem. 2012, 22, 9315–9321. [Google Scholar] [CrossRef]
- Zhou, G.; Wang, D.-W.; Li, F.; Zhang, L.; Li, N.; Wu, Z.-S.; Wen, L.; Lu, G.Q.; Cheng, H.-M. Graphene-wrapped Fe3O4 anode material with improved reversible capacity and cyclic stability for lithium ion batteries. Chem. Mater. 2010, 22, 5306–5313. [Google Scholar] [CrossRef]
- Wang, Q.; Zhang, D.-A.; Wang, Q.; Sun, J.; Xing, L.-L.; Xue, X.-Y. High electrochemical performances of α-MoO3@MnO2 core-shell nanorods as lithium-ion battery anodes. Electrochim. Acta 2014, 146, 411–418. [Google Scholar] [CrossRef]
- Zeng, L.; Zheng, C.; Deng, C.; Ding, X.; Wei, M. MoO2-ordered mesoporous carbon nanocomposite as an anode material for lithium-ion batteries. ACS Appl. Mater. Interfaces 2013, 5, 2182–2187. [Google Scholar] [CrossRef]
- Gao, Q.; Yang, L.; Lu, X.; Mao, J.; Zhang, Y.; Wu, Y.; Tang, Y. Synthesis, characterization and lithium-storage performance of MoO2/carbon hybrid nanowires. J. Mater. Chem. 2010, 20, 2807–2812. [Google Scholar] [CrossRef]
- Yang, L.; Liu, L.; Zhu, Y.; Wang, X.; Wu, Y. Preparation of carbon coated MoO2 nanobelts and their high performance as anode materials for lithium ion batteries. J. Mater. Chem. 2012, 22, 13148–13152. [Google Scholar] [CrossRef]
- Fang, X.P.; Guo, B.L.; Shi, Y.F.; Li, B.; Hua, C.X.; Yao, C.H.; Chang, Y.C.; Hu, Y.S.; Wang, Z.X.; Stucky, G.D.; et al. Enhanced Li storage performance of ordered mesoporous MoO2 via tungsten doping. Nanoscale 2012, 4, 1541–1544. [Google Scholar] [CrossRef]
- Sun, Y.; Hu, X.; Yu, J.C.; Li, Q.; Luo, W.; Yuan, L.; Zhang, W.; Huang, Y. Morphosynthesis of a hierarchical MoO2 nanoarchitecture as a binder-free anode for lithium-ion batteries. Energy Environ. Sci. 2011, 4, 2870–2877. [Google Scholar] [CrossRef]
- Wang, Z.; Chen, J.S.; Zhu, T.; Madhavi, S.; Lou, X.W. One-pot synthesis of uniform carbon-coated MoO2 nanospheres for high-rate reversible lithium storage. Chem. Commun. 2010, 46, 6906–6908. [Google Scholar] [CrossRef]
- Yang, L.C.; Sun, W.; Zhong, Z.W.; Liu, J.W.; Gao, Q.S.; Hu, R.Z.; Zhu, M. Hierarchical MoO2/N-doped carbon heteronanowires with high rate and improved long-term performance for lithium-ion batteries. J. Power Sour. 2016, 306, 78–84. [Google Scholar] [CrossRef]
- Xu, Z.; Wang, H.; Li, Z.; Kohandehghan, A.; Ding, J.; Chen, J.; Cui, K.; Mitlin, D. Sulfur refines MoO2 distribution enabling improved lithium ion battery performance. J. Phys. Chem. C 2014, 118, 18387–18396. [Google Scholar] [CrossRef]
- Wang, Y.; Huang, Z.; Wang, Y. A new approach to synthesize MoO2@C for lithium ion batteries. J. Mater. Chem. A 2015, 3, 21314–21320. [Google Scholar] [CrossRef]
- Zhang, X.; Gao, M.; Wang, W.; Liu, B.; Li, X. Encapsulating MoO2 nanocrystals into flexible carbon nanofibers via electrospinning for high-performance lithium storage. Polymers 2021, 13, 22. [Google Scholar] [CrossRef]
- Liang, Y.; Yang, S.; Yi, Z.; Lei, X.; Sun, J.; Zhou, Y. Low temperature synthesis of a stable MoO2 as suitable anode materials for lithium batteries. Mater. Sci. Eng. B 2005, 121, 152–155. [Google Scholar] [CrossRef]
- Liu, J.; Tang, S.; Lu, Y.; Cai, G.; Liang, S.; Wang, W.; Chen, X. Synthesis of Mo2N nanolayer coated MoO2 hollow nanostructures as high-performance anode materials for lithium-ion batteries. Energy Environ. Sci. 2013, 6, 2691–2697. [Google Scholar] [CrossRef]
- Huang, Z.X.; Wang, Y.; Zhu, Y.G.; Shi, Y.; Wong, J.I.; Yang, H.Y. 3D graphene supported MoO2 for high performance binder-free lithium ion battery. Nanoscale 2014, 6, 9839–9845. [Google Scholar] [CrossRef]
- Che, Y.; Zhu, X.Y.; Li, J.J.; Sun, J.; Liu, Y.Y.; Jin, C.; Dong, C.H. Simple synthesis of MoO2/carbon aerogel anodes for high performance lithium ion batteries from seaweed biomass. RSC Adv. 2016, 6, 106230–106236. [Google Scholar] [CrossRef]
- Wang, Y.W.; Yu, L.; Lou, X.W. Formation of triple-shelled molybdenum–polydopamine hollow spheres and their conversion into MoO2/carbon composite hollow spheres for lithium-ion batteries. Angew. Chem. Int. Ed. 2016, 55, 14668–14672. [Google Scholar] [CrossRef]
- Ku, J.H.; Jung, Y.S.; Lee, K.T.; Kim, C.H.; Oh, S.M. Thermoelectrochemically activated MoO2 powder electrode for lithium secondary batteries. J. Electrochem. Soc. 2009, 156, A688–A693. [Google Scholar] [CrossRef]
- Lei, Y.Z.; Hu, J.C.; Liu, H.W.; Li, J.L. Template-free synthesis of hollow core-shell MoO2 microspheres with high lithium-ion storage capacity. Mater. Lett. 2012, 68, 82–85. [Google Scholar] [CrossRef]
- Yoon, S.; Manthiram, A. Microwave-hydrothermal synthesis of W0.4Mo0.6O3 and carbon-decorated WOx-MoO2 nanorod anodes for lithium ion batteries. J. Mater. Chem. 2011, 21, 4082–4085. [Google Scholar] [CrossRef]
- Sun, Y.-K.; Myung, S.-T.; Park, B.-C.; Yashiro, H. Improvement of the electrochemical properties of Li[Ni0.5Mn0.5]O2 by AlF3 coating. J. Electrochem. Soc. 2008, 155, A705–A710. [Google Scholar] [CrossRef]
- Amine, K.; Liu, J.; Kang, S.; Belharouak, I.; Hyung, Y.; Vissers, D.; Henriksen, G. Improved lithium manganese oxide spinel/graphite Li-ion cells for high-power applications. J. Power Sour. 2004, 129, 14–19. [Google Scholar] [CrossRef]










| Crystal data | MOA | MOV |
|---|---|---|
| Lattice parameters | ||
| a (Å) | 3.69(5) | 5.61(3) |
| b (Å) | 13.84(8) | 4.85(3) |
| c (Å) | 3.95(9) | 5.62(1) |
| V (Å3) | 202.6 | 131.3 |
| Lc (nm) | 29.5 | 45.6 |
| ε× 10−2 (rd) | 11.9 | 7.9 |
| Reliability factors | ||
| Rp (%) | 10.9 | 8.1 |
| Rwp (%) | 16 | 11.2 |
| Rexp | 9.1 | 7.7 |
| χ2 | 3.1 | 2.1 |
| Materials fraction (mol%) | ||
| MoO3 | 100 | 0 |
| MoO2 | 0 | 90.2 |
| Mo4O11 | 0 | 2.2 |
| Mo8O23 | 0 | 4.5 |
| Mo9O26 | 0 | 3.1 |
| α-MoO3 | m-MoO2 | o-Mo4O11 | m-Mo8O23 | o-Mo9O26 | |||||
|---|---|---|---|---|---|---|---|---|---|
| Exp. | [81] | Exp. | [82] | Exp. | [82] | Exp. | [82] | Exp. | [82] |
| 197 216 245 283 290 336 364 378 471 665 818 995 | - 217 245 284 291 338 365 379 472 666 820 996 | 126 203 228 346 362 458 470 495 570 585 741 | - 208 232 353 370 448 473 501 572 590 748 | 208 250 - 325 399 417 425 695 782 806 912 - | 208 253 281 339 380 413 435 714 787 837 916 963 | 208 - 374 - - 656 - 912 950 | 208 222 373 384 592 654 875 918 951 | 208 - 544 - - - 782 912 - 950 - | 208 465 575 622 637 679 761 906 931 951 989 |
| Sample | Binding Energy (eV) | Average Mo Valence State | |||||||||
|---|---|---|---|---|---|---|---|---|---|---|---|
| Mo3p3/2 | Mo3p1/2 | O1s | Mo3d5/2 | Mo3d3/2 | |||||||
| Mo4+ | Mo5+ | Mo6+ | Mo4+ | Mo5+ | Mo6+ | ||||||
| MOA | 398.9 | 415.5 | 530.5 | - | - | 232.6 | - | - | 235.7 | 6.00 | |
| MOV | 398.9 | 415.5 | 530.6 | 233.1 | 230.0 | 231.6 | 236.3 | 233.3 | 234.7 | 4.39 | |
| Sample | SBET(m2 g−1) | Pore Size(nm) | Pore Volume(cm3 g−1) | LBET(nm) |
|---|---|---|---|---|
| MOA | 0.23 | 10 | 0.0012 | 3500 |
| MOV | 4.00 | ~2 | 0.0002 | 231 |
| Material | Synthesis | Reversible | Current | Reference |
|---|---|---|---|---|
| Capacity | Rate | |||
| (mAh g−1) | (mA g−1) | |||
| Nano MoO2 | rheology | 402 | 100 (40) | [118] |
| MoO2/Mo2N | reduction of MoO3 | 815 | 100 (150) | [119] |
| MoO2/graphene | chemical vapor deposition | 986 | 50 (150) | [120] |
| MoO2/C | ion exchange | 574 | 100 (100) | [121] |
| MoO2/C | carbothermal reduction | 500 | 100 (50) | [108] |
| MoO2/C hollow spheres | solvothermal | 580 | 200 (200) | [122] |
| Mesoporous MoO2 | template casting | 750 | 42 (30) | [103] |
| Activated MoO2 | thermoelectrochemical activation | 850 | 100 (30) | [123] |
| MoO2 HCSMSs | hydrolysis | 420 | 50 (30) | [124] |
| W-doped MoO2 | nanocasting | 670 | 75 (20) | [111] |
| C/WOx/MoO2 | hydrothermal | 670 | 90 (50) | [125] |
| MoO2/C NWs | solvothermal | 500 | 200 (20) | [109] |
| C/MoO2 NSs | hydrothermal+annealing | 675 | 838 (30) | [113] |
| MoS2/MoO2 | sulfur assisted | 654 | 500 (80) | [115] |
| C/MoO2 NBs | hydrothermal+annealing | 617 | 100 (30) | [110] |
| MoO2 monolith | morphosynthesis | 719 | 200 (20) | [112] |
| α-MoO3@β-MnO2 | two-step hydrothermal | 286 | 6C (50) | [107] |
| MoO2/N-doped C NWs | calcination | 700 | 2000 (400) | [114] |
| C-coated MoO2 | hydrothermal | 312 | 10000 (268) | [116] |
| MoO2/flexible C | electrospinning | 451 | 2000 (500) | [117] |
| MoO2/MonO3n-1 | sol-gel with green chelator | 1600 | 800 (800) | this work |
Publisher’s Note: MDPI stays neutral with regard to jurisdictional claims in published maps and institutional affiliations. |
© 2021 by the authors. Licensee MDPI, Basel, Switzerland. This article is an open access article distributed under the terms and conditions of the Creative Commons Attribution (CC BY) license (https://creativecommons.org/licenses/by/4.0/).
Share and Cite
Wang, H.; Li, T.; Hashem, A.M.; Abdel-Ghany, A.E.; El-Tawil, R.S.; Abuzeid, H.M.; Coughlin, A.; Chang, K.; Zhang, S.; El-Mounayri, H.; et al. Nanostructured Molybdenum-Oxide Anodes for Lithium-Ion Batteries: An Outstanding Increase in Capacity. Nanomaterials 2022, 12, 13. https://doi.org/10.3390/nano12010013
Wang H, Li T, Hashem AM, Abdel-Ghany AE, El-Tawil RS, Abuzeid HM, Coughlin A, Chang K, Zhang S, El-Mounayri H, et al. Nanostructured Molybdenum-Oxide Anodes for Lithium-Ion Batteries: An Outstanding Increase in Capacity. Nanomaterials. 2022; 12(1):13. https://doi.org/10.3390/nano12010013
Chicago/Turabian StyleWang, Hua, Tianyi Li, Ahmed M. Hashem, Ashraf E. Abdel-Ghany, Rasha S. El-Tawil, Hanaa M. Abuzeid, Amanda Coughlin, Kai Chang, Shixiong Zhang, Hazim El-Mounayri, and et al. 2022. "Nanostructured Molybdenum-Oxide Anodes for Lithium-Ion Batteries: An Outstanding Increase in Capacity" Nanomaterials 12, no. 1: 13. https://doi.org/10.3390/nano12010013
APA StyleWang, H., Li, T., Hashem, A. M., Abdel-Ghany, A. E., El-Tawil, R. S., Abuzeid, H. M., Coughlin, A., Chang, K., Zhang, S., El-Mounayri, H., Tovar, A., Zhu, L., & Julien, C. M. (2022). Nanostructured Molybdenum-Oxide Anodes for Lithium-Ion Batteries: An Outstanding Increase in Capacity. Nanomaterials, 12(1), 13. https://doi.org/10.3390/nano12010013

