Carbon and Neon Ion Bombardment Induced Smoothing and Surface Relaxation of Titania Nanotubes
Abstract
:1. Introduction
2. Materials and Methods
2.1. Titania Nanotube Array Fabrication
2.2. Ion Bombardment
2.3. Scanning Electron Microscopy
2.4. Atomic Force Microscopy, Autocorrelation Functions and Power Spectral Densities
2.5. Raman Spectroscopy
2.6. Contact Angle Measurements and Surface Free Energy
2.7. X-ray Reflectivity
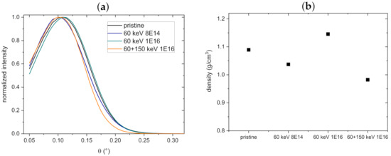
3. Results
Ion Bombardment Effects
4. Discussion
5. Conclusions
Author Contributions
Funding
Data Availability Statement
Acknowledgments
Conflicts of Interest
Abbreviations
| AFM | atomic force microscopy |
| FFT | fast Fourier transform |
| FWHM | full-width at half-maximum |
| NT | nanotube |
| PSD | power spectral density |
| RMS | root-mean-square |
| SEM | scanning electron microscopy |
| SFE | surface free energy |
References
- Liu, Y.; Song, H.; Bei, Z.; Zhou, L.; Zhao, C.; Ooi, B.S.; Gan, Q. Ultra-Thin Dark Amorphous TiOx Hollow Nanotubes for Full Spectrum Solar Energy Harvesting and Conversion. Nano Energy 2021, 84, 105872. [Google Scholar] [CrossRef]
- Zhou, X.; Hwang, I.; Tomanec, O.; Fehn, D.; Mazare, A.; Zboril, R.; Meyer, K.; Schmuki, P. Advanced Photocatalysts: Pinning Single Atom Co-Catalysts on Titania Nanotubes. Adv. Funct. Mater. 2021, 31, 2102843. [Google Scholar] [CrossRef]
- Bai, L.; Zhao, Y.; Chen, P.; Zhang, X.; Huang, X.; Du, Z.; Crawford, R.; Yao, X.; Tang, B.; Hang, R.; et al. Targeting Early Healing Phase with Titania Nanotube Arrays on Tunable Diameters to Accelerate Bone Regeneration and Osseointegration. Small 2020, 17, 2006287. [Google Scholar] [CrossRef]
- Khaliq, N.; Rasheed, M.A.; Khan, M.; Maqbool, M.; Ahmad, M.; Karim, S.; Nisar, A.; Schmuki, P.; Cho, S.O.; Ali, G. Voltage-Switchable Biosensor with Gold Nanoparticles on TiO2 Nanotubes Decorated with CdS Quantum Dots for the Detection of Cholesterol and H2O2. ACS Appl. Mater. Interfaces 2021, 13, 3653–3668. [Google Scholar] [CrossRef]
- Kupferer, A.; Holm, A.; Lotnyk, A.; Mändl, S.; Mayr, S.G. Compositional Patterning in Carbon Implanted Titania Nanotubes. Adv. Funct. Mater. 2021, 2104250. [Google Scholar] [CrossRef]
- Lee, K.; Mazare, A.; Schmuki, P. One-Dimensional Titanium Dioxide Nanomaterials: Nanotubes. Chem. Rev. 2014, 114, 9385–9454. [Google Scholar] [CrossRef] [PubMed] [Green Version]
- Liu, G.; Du, K.; Wang, K. Surface Wettability of TiO2 Nanotube Arrays Prepared by Electrochemical Anodization. Appl. Surf. Sci. 2016, 388, 313–320. [Google Scholar] [CrossRef]
- Tsuchiya, H.; Schmuki, P. Less Known Facts and Findings about TiO2 Nanotubes. Nanoscale 2020, 12, 8119–8132. [Google Scholar] [CrossRef] [PubMed]
- Yang, B.; Ng, C.; Fung, M.; Ling, C.; Djurišić, A.; Fung, S. Annealing Study of Titanium Oxide Nanotube Arrays. Mater. Chem. Phys. 2011, 130, 1227–1231. [Google Scholar] [CrossRef]
- Wawrzyniak, J.; Karczewski, J.; Kupracz, P.; Grochowska, K.; Załęski, K.; Pshyk, O.; Coy, E.; Bartmański, M.; Szkodo, M.; Siuzdak, K. Laser-Assisted Modification of Titanium Dioxide Nanotubes in a Tilted Mode as Surface Modification and Patterning Strategy. Appl. Surf. Sci. 2020, 508, 145143. [Google Scholar] [CrossRef]
- Ghicov, A.; Macak, J.M.; Tsuchiya, H.; Kunze, J.; Haeublein, V.; Frey, L.; Schmuki, P. Ion Implantation and Annealing for an Efficient N-Doping of TiO2 Nanotubes. Nano Lett. 2006, 6, 1080–1082. [Google Scholar] [CrossRef]
- Ghicov, A.; Macak, J.M.; Tsuchiya, H.; Kunze, J.; Haeublein, V.; Kleber, S.; Schmuki, P. TiO2 Nanotube Layers: Dose Effects during Nitrogen Doping by Ion Implantation. Chem. Phys. Lett. 2006, 419, 426–429. [Google Scholar] [CrossRef]
- Zhou, X.; Häublein, V.; Liu, N.; Nguyen, N.T.; Zolnhofer, E.M.; Tsuchiya, H.; Killian, M.S.; Meyer, K.; Frey, L.; Schmuki, P. TiO2 Nanotubes: Nitrogen-Ion Implantation at Low Dose Provides Noble-Metal-Free Photocatalytic H2 -Evolution Activity. Angew. Chem.—Int. Ed. 2016, 55, 3763–3767. [Google Scholar] [CrossRef] [Green Version]
- Ziegler, J.F.; Ziegler, M.; Biersack, J. SRIM—The Stopping and Range of Ions in Matter. Nucl. Instrum. Methods Phys. Res. Sect. B Beam Interact. Mater. Atoms 2010, 268, 1818–1823. [Google Scholar] [CrossRef] [Green Version]
- Mayr, S.G.; Averback, R.S. Surface Smoothing of Rough Amorphous Films by Irradiation-Induced Viscous Flow. Phys. Rev. Lett. 2001, 87, 196106. [Google Scholar] [CrossRef]
- Herring, C. Effect of Change of Scale on Sintering Phenomena. J. Appl. Phys. 1950, 21, 301–303. [Google Scholar] [CrossRef]
- Mullins, W.W. Flattening of a Nearly Plane Solid Surface due to Capillarity. J. Appl. Phys. 1959, 30, 77–83. [Google Scholar] [CrossRef]
- Villain, J. Continuum Models of Crystal Growth from Atomic Beams with and without Desorption. J. Phys. I 1991, 1, 19–42. [Google Scholar] [CrossRef]
- Mayr, S.; Samwer, K.; Averback, R. Surface Kinetics during Growth and Ion Irradiation of Glassy Metal Films. Scr. Mater. 2003, 49, 961–967. [Google Scholar] [CrossRef]
- Oliphant, T.E. Python for Scientific Computing. Comput. Sci. Eng. 2007, 9, 10–20. [Google Scholar] [CrossRef] [Green Version]
- Millman, K.J.; Aivazis, M. Python for Scientists and Engineers. Comput. Sci. Eng. 2011, 13, 9–12. [Google Scholar] [CrossRef] [Green Version]
- Owens, D.K.; Wendt, R.C. Estimation of the Surface Free Energy of Polymers. J. Appl. Polym. Sci. 1969, 13, 1741–1747. [Google Scholar] [CrossRef]
- Kaelble, D.H.; Uy, K.C. A Reinterpretation of Organic Liquid-Polytetrafluoroethylene Surface Interactions. J. Adhes. 1970, 2, 50–60. [Google Scholar] [CrossRef]
- Björck, M.; Andersson, G. GenX: An Extensible X-Ray Reflectivity Refinement Program Utilizing Differential Evolution. J. Appl. Crystallogr. 2007, 40, 1174–1178. [Google Scholar] [CrossRef]
- Kupferer, A.; Mändl, S.; Mayr, S.G. Tailoring Morphology in Titania Nanotube Arrays by Implantation: Experiments and Modeling on Pore Closure—And Beyond. Mater. Res. Lett. 2021. [Google Scholar] [CrossRef]
- Mändl, S.; Thorwarth, G.; Schreck, M.; Stritzker, B.; Rauschenbach, B. Raman Study of Titanium Oxide Layers Produced with Plasma Immersion Ion Implantation. Surf. Coat. Technol. 2000, 125, 84–88. [Google Scholar] [CrossRef]
- Balachandran, U.; Eror, N. Raman Spectra of Titanium Dioxide. J. Solid State Chem. 1982, 42, 276–282. [Google Scholar] [CrossRef]
- Ma, W.; Lu, Z.; Zhang, M. Investigation of Structural Transformations in Nanophase Titanium Dioxide by Raman Spectroscopy. Appl. Phys. Mater. Sci. Process. 1998, 66, 621–627. [Google Scholar] [CrossRef]
- Hardcastle, F.D.; Ishihara, H.; Sharma, R.; Biris, A.S. Photoelectroactivity and Raman Spectroscopy of Anodized Titania (TiO2) Photoactive Water-Splitting Catalysts as a Function of Oxygen-Annealing Temperature. J. Mater. Chem. 2011, 21, 6337. [Google Scholar] [CrossRef]
- Rives-Arnau, V.; Sheppard, N. Raman Spectroscopic Study of the Polymerization of Acetylene on Titanium Dioxide (Rutile). J. Chem. Soc. Faraday Trans. 1 1980, 76, 394. [Google Scholar] [CrossRef]
- Smith, D.C.; Brown, G.M.; Nielsen, J.R.; Smith, R.M.; Liang, C.Y. Infrared and Raman Spectra of Fluorinated Ethanes. III. The Series CH3–CF3, CH3–CF2Cl, CH3–CFCl2, and CH3–CCl3. J. Chem. Phys. 1952, 20, 473–486. [Google Scholar] [CrossRef]
- Jerng, S.K.; Yu, D.S.; Kim, Y.S.; Ryou, J.; Hong, S.; Kim, C.; Yoon, S.; Efetov, D.K.; Kim, P.; Chun, S.H. Nanocrystalline Graphite Growth on Sapphire by Carbon Molecular Beam Epitaxy. J. Phys. Chem. C 2011, 115, 4491–4494. [Google Scholar] [CrossRef]
- Kawashima, Y.; Katagiri, G. Fundamentals, Overtones, and Combinations in the Raman Spectrum of Graphite. Phys. Rev. B 1995, 52, 10053–10059. [Google Scholar] [CrossRef]
- Anastassakis, E.; Cantarero, A.; Cardona, M. Piezo-Raman Measurements and Anharmonic Parameters in Silicon and Diamond. Phys. Rev. B 1990, 41, 7529–7535. [Google Scholar] [CrossRef]
- Wolf, I.D. Micro-Raman Spectroscopy to Study Local Mechanical Stress in Silicon Integrated Circuits. Semicond. Sci. Technol. 1996, 11, 139–154. [Google Scholar] [CrossRef]
- Nair, R.M.; Khadar, M.A.; Kumar, S.S.; Rajalakshmi, M.; Arora, A.; Nair, K. Effect of N+ Ion Implantation on the Optical Properties of Nanostructured CdS Thin Film Prepared by CBD Technique. Nucl. Instrum. Methods Phys. Res. Sect. B Beam Interact. Mater. Atoms 2007, 254, 131–138. [Google Scholar] [CrossRef]
- Zhang, X.; Zhang, T.Y.; Wong, M.; Zohar, Y. Residual-Stress Relaxation in Polysilicon Thin Films by High-Temperature Rapid Thermal Annealing. Sens. Actuators Phys. 1998, 64, 109–115. [Google Scholar] [CrossRef]
- Stepanov, A.L. Range Concepts and Heavy Ion Ranges. Rev. Adv. Mater. Sci. 2012, 30, 150–165. [Google Scholar]
- Zhu, S.; Wang, L.M.; Zu, X.T.; Xiang, X. Optical and Magnetic Properties of Ni Nanoparticles in Rutile Formed by Ni Ion Implantation. Appl. Phys. Lett. 2006, 88, 043107. [Google Scholar] [CrossRef] [Green Version]
- Panepinto, A.; Cossement, D.; Snyders, R. Experimental and Theoretical Study of the Synthesis of N-doped TiO2 by N Ion Implantation of TiO2 Thin Films. Appl. Surf. Sci. 2021, 541, 148493. [Google Scholar] [CrossRef]
- Holm, A.; Mayr, S.G. Glassy and Ballistic Dynamics in Collision Cascades in Amorphous TiO2: Combined Molecular Dynamics and Monte Carlo Based Studies across Energy Scales. Phys. Rev. B 2021, 103, 174201. [Google Scholar] [CrossRef]
- Lindhard, J.; Scharff, M.; Schiott, H.E. Range Concepts and Heavy Ion Ranges. Kgl. Dan. Vid. Selsk. Mat. Fys. Medd. 1963, 33, 1–42. [Google Scholar]








Publisher’s Note: MDPI stays neutral with regard to jurisdictional claims in published maps and institutional affiliations. |
© 2021 by the authors. Licensee MDPI, Basel, Switzerland. This article is an open access article distributed under the terms and conditions of the Creative Commons Attribution (CC BY) license (https://creativecommons.org/licenses/by/4.0/).
Share and Cite
Kupferer, A.; Mensing, M.; Lehnert, J.; Mändl, S.; Mayr, S.G. Carbon and Neon Ion Bombardment Induced Smoothing and Surface Relaxation of Titania Nanotubes. Nanomaterials 2021, 11, 2458. https://doi.org/10.3390/nano11092458
Kupferer A, Mensing M, Lehnert J, Mändl S, Mayr SG. Carbon and Neon Ion Bombardment Induced Smoothing and Surface Relaxation of Titania Nanotubes. Nanomaterials. 2021; 11(9):2458. https://doi.org/10.3390/nano11092458
Chicago/Turabian StyleKupferer, Astrid, Michael Mensing, Jan Lehnert, Stephan Mändl, and Stefan G. Mayr. 2021. "Carbon and Neon Ion Bombardment Induced Smoothing and Surface Relaxation of Titania Nanotubes" Nanomaterials 11, no. 9: 2458. https://doi.org/10.3390/nano11092458
APA StyleKupferer, A., Mensing, M., Lehnert, J., Mändl, S., & Mayr, S. G. (2021). Carbon and Neon Ion Bombardment Induced Smoothing and Surface Relaxation of Titania Nanotubes. Nanomaterials, 11(9), 2458. https://doi.org/10.3390/nano11092458

