Self-Aligned Emission of Distributed Feedback Lasers on Optical Fiber Sidewall
Abstract
:1. Introduction
2. Design and Fabrication of Distributed Feedback Lasers on Optical Fiber Sidewall
3. Results and Discussions
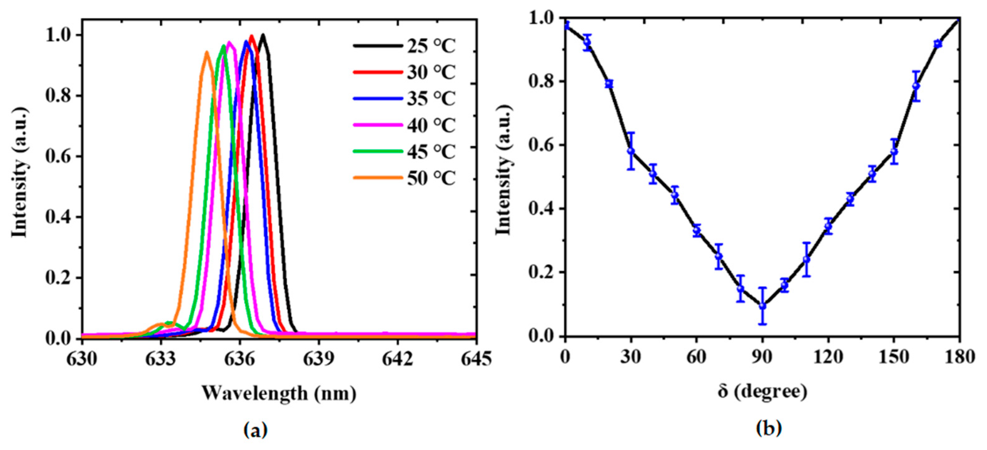
3.1. Experimental Results
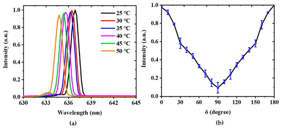
3.2. Modeling
4. Conclusions
Author Contributions
Funding
Data Availability Statement
Conflicts of Interest
References
- Yamashita, K.; Nobutaka, T.; Kunishige, O.; Yanagi, H. Simultaneous RGB lasing from a single-chip polymer device. Opt. Lett. 2010, 35, 2451–2453. [Google Scholar] [CrossRef]
- Foucher, C.; Guilhabert, B.; Kanibolotsky, A.L.; Skabara, P.J.; Laurand, N.; Dawson, M.D. RGB and white-emitting organic lasers on flexible glass. Opt. Express 2016, 24, 2273–2280. [Google Scholar] [CrossRef] [Green Version]
- Namdas, E.B.; Tong, M.; Ledochowitsch, P.; Mednick, S.R.; Yuen, J.D.; Moses, D.; Heeger, A.J. Low thresholds in polymer lasers on conductive substrates by distributed feedback nanoimprinting: Progress toward electrically pumped plastic lasers. Adv. Mater. 2009, 21, 799–802. [Google Scholar] [CrossRef]
- Karl, M.; Glackin, J.M.E.; Schubert, M.; Kronenberg, N.M.; Turnbull, G.A.; Samuel, I.D.W.; Gather, M.C. Flexible and ultra-lightweight polymer membrane lasers. Nat. Commun. 2018, 9, 1825. [Google Scholar] [CrossRef] [PubMed] [Green Version]
- Döring, S.; Kollosche, M.; Rabe, T.; Stumpe, J.; Kofod, G. Electrically tunable polymer DFB laser. Adv. Mater. 2011, 23, 4265–4269. [Google Scholar] [CrossRef] [PubMed]
- Mele, E.; Camposeo, A.; Stabile, R.; Carro, P.D.; Benedetto, F.D.; Persano, L.; Cingolani, R.; Pisignano, D. Polymeric distributed feedback lasers by room-temperature nanoimprint lithography. Appl. Phys. Lett. 2006, 89, 131109. [Google Scholar] [CrossRef]
- Zhai, T.; Wang, Y.; Chen, L.; Zhang, X. Direct writing of tunable multi-wavelength polymer lasers on a flexxible substrate. Nanoscale 2015, 7, 12312–12317. [Google Scholar] [CrossRef] [PubMed]
- Ma, B.; Zou, W. Demonstration of a distributed feedback laser diode working as a graded-potential-signaling photonic neuron and its application to neuromorphic information processing. Sci. China Inf. Sci. 2020, 63, 160408. [Google Scholar] [CrossRef]
- McGehee, M.D.; Díaz-García, M.A.; Hide, F.; Gupta, R.; Miller, E.K.; Moses, D.; Heeger, A.J. Semiconducting polymer distributed feedback lasers. Appl. Phys. Lett. 1998, 72, 1536–1538. [Google Scholar] [CrossRef] [Green Version]
- Hide, F.; Diaz-Garcia, M.A.; Schwartz, B.J.; Andersson, M.R.; Pei, Q.; Heeger, A.J. Semiconduting polymers: A new class of solid-state laser materials. Science 1996, 173, 2833. [Google Scholar]
- Tsutsumi, N.; Hirano, Y.; Kinashi, K.; Sakai, W. Influence of an interfacial effect on the laser performance of a Rhodamine 6G/Cellulose acetate waveguide on a vinylidene fluoride copolymer layer. Langmuir 2018, 24, 7527. [Google Scholar] [CrossRef] [PubMed]
- Tessier, N.; Denton, G.J.; Friend, R.H. Lasing from conjugated-polymer microcavities. Nature 1996, 382, 695–697. [Google Scholar] [CrossRef]
- Harwell, J.R.; Whitworth, G.L.; Turnbull, G.A.; Samuel, I.D.W. Green perovskite distributed feedback lasers. Sci. Rep. 2017, 7, 11727. [Google Scholar] [CrossRef] [Green Version]
- Mathies, F.; Brenner, P.; Hernandez-Sosa, G.; Howard, I.A.; Paetzold, U.W.; Lemmer, U. Inkjet-printed perovskite distributed feedback lasers. Opt. Express 2018, 26, A144–A152. [Google Scholar] [CrossRef]
- Hayat, A.; Tong, J.; Chen, C.; Niu, L.; Aziz, G.; Zhai, T.; Zhang, X. Multi-wavelength colloidal quantum dot lasers in distributed feedback cavities. Sci. China Inf. Sci. 2020, 63, 182401. [Google Scholar] [CrossRef]
- Murray, C.B.; Kagan, C.R.; Bawendi, M.G. Synthesis and characterization of monodisperse nanocrystals and close-packed nanocrystal assemblies. Annu. Rev. Mater. Sci. 2000, 30, 545–610. [Google Scholar] [CrossRef] [Green Version]
- Kagan, C.R.; Lifshitz, E.; Sargent, E.H.; Talapin, D.V. Building devices from colloidal quantum dots. Science 2016, 353, aac5523. [Google Scholar] [CrossRef] [PubMed]
- Dang, C.; Lee, J.; Breen, C.; Steckel, J.S.; Coe-Sullivan, S.; Nurmikko, A. Red, green and blue lasing enabled by single-exciton gain in colloidal quantum dots films. Nat. Nanotechnol. 2012, 7, 335–339. [Google Scholar] [CrossRef] [PubMed]
- Brus, L.B. Electron-electron and electron-hole interactions in small semiconductor crystallites: The size dependence of the lowest excited electronic state. J. Chem. Phys. 1984, 80, 4403–4409. [Google Scholar] [CrossRef] [Green Version]
- Roh, K.; Dang, C.; Lee, J.; Chen, S.; Steckel, J.S.; Coe-Sullivan, S.; Nurmikko, A. Surface-emitting red, green, and blue colloidal quantum dot distributed feedback lasers. Opt. Express 2014, 22, 18800–18806. [Google Scholar] [CrossRef]
- Foucher, C.; Guilhabert, B.; Laurand, N.; Dawson, M.D. Wavelength-tunable colloidal quantum dot laser on ultra-thin flexible glass. Appl. Phys. Lett. 2014, 104, 141108. [Google Scholar] [CrossRef] [Green Version]
- Feng, Y.; Yu, X.; Zhang, R.; Wu, J.; Zhang, P.; Chen, S.; Zhang, D. Continuously tunable organic solid-state laser based on the adjustment of effective refractive index. J. Alloys Compd. 2017, 729, 513. [Google Scholar] [CrossRef]
- Chen, C.; Tong, F.; Cao, F.; Tong, J.; Zhai, T.; Zhang, X. Tunable polymer lasers based on metal dielectric hybrid cavity. Opt. Express 2018, 26, 32048. [Google Scholar] [CrossRef]
- Cheng, H.C.; Huang, Y.H.; Lin, H.W.; Chang, C.H.; Wong, K.T.; Kuan, C.H.; Wu, C.C. Continuously tunable organic solid-state DFB laser utilizing molecular reorientation in molecular glasses. Org. Electron. 2013, 14, 2540. [Google Scholar] [CrossRef]
- Ubukata, T.; Isoshima, T.; Hara, M. Wavelength-programmable organic distributed- feedback laser based on a photoassisted polymer-migration system. Adv. Mater. 2005, 17, 1630. [Google Scholar] [CrossRef]
- Cui, L.; Zhang, S.; Lv, L.; Xu, Z.; Hayat, A.; Zhai, T. Effects of cavity coupling on 1D defect modes: A theoretical model. OSA Contin. 2020, 3, 1408–1416. [Google Scholar] [CrossRef]
- Karnutsch, C.; Gýrtner, C.; Haug, V.; Lemmer, U.; Farrell, T.; Nehls, B.S.; Scherf, U.; Wang, J.; Weimann, T.; Heliotis, G.; et al. Low threshold blue conjugated polymer lasers with first- and second-order distributed feedback. Appl. Phys. Lett. 2006, 89, 201108. [Google Scholar] [CrossRef]
- Tsutsumi, N.; Hinode, T. Tunable organic distributed feedback dye laser device excited through forster mechanism. Appl. Phys. B 2017, 123, 93. [Google Scholar] [CrossRef]
- Huang, W.; Liu, Y.; Li, K.; Ye, Y.; Xiao, D.; Chen, L.; Zheng, Z.; Liu, Y. Low-threshold organic lasing from a square optical microcavity fabricated by imaging holography. Opt. Express 2019, 27, 10022. [Google Scholar] [CrossRef]
- Martins, E.R.; Wang, Y.; Kanibolotsky, A.L.; Skabara, P.J.; Turnbull, G.A.; Samuel, I.D.W. Low-threshold nanoimprinted lasers using substructured gratings for control of distributed feedback. Adv. Opt. Mater. 2013, 1, 563. [Google Scholar] [CrossRef] [Green Version]
- Liu, L.; Kong, X.; Wang, Q.; Liu, Y.; Xuan, L. High pump efficiency of a second-order distributed feedback laser based on holographic polymer dispersed liquid crystals with preferred liquid crystal molecular orientation. J. Mater. Chem. C 2018, 6, 9517. [Google Scholar] [CrossRef]
- Rønnekleiv, E.; Zervas, M.N.; Kringlebotn, J.T. Modeling of polarization-mode competition in fiber DFB lasers. IEEE J. Quantum Electron. 1998, 34, 1559–1569. [Google Scholar] [CrossRef]
- Zhang, S.; Tong, J.; Chen, C.; Cao, F.; Liang, C.; Song, Y.; Zhai, T.; Zhang, X. Controlling the performance of polymer lasers via the cavity coupling. Polymers 2019, 11, 764. [Google Scholar] [CrossRef] [PubMed] [Green Version]
- Lang, X.; Jia, P.; Chen, Y.; Qin, L.; Liang, L.; Chen, C.; Wang, Y.; Shan, X.; Ning, Y.; Wang, L. Advances in narrow linewidth diode lasers. Sci. China Inf. Sci. 2019, 62, 061401. [Google Scholar] [CrossRef] [Green Version]
- Liu, M.; Liu, Y.; Zhang, G.; Peng, Z.; Li, D.; Ma, J.; Xuan, L. Organic holographic polymer dispersed liquid crystal distributed feedback laser from different diffraction orders. J. Phys. D 2016, 49, 465102. [Google Scholar] [CrossRef]
- Zhang, S.; Zhai, T.; Cui, L.; Shi, X.; Ge, K.; Anwer, H.; Liang, N. Tunable WGM Laser Based on the Polymer Thermo-Optic Effect. Polymers 2021, 13, 205. [Google Scholar]
- Cui, L.; Hayat, A.; Lv, L.; Xu, Z.; Zhai, T. A theoretical model of quasicrystal resonators: A guided optimization approach. Crystals 2021, 11, 749. [Google Scholar] [CrossRef]
- Han, L.; Chen, C.; Tong, J.; Cui, L.; Zhai, T. Manipilating the performance of polymer lasers using diffraction elements. Org. Electron. 2020, 84, 105813. [Google Scholar] [CrossRef]
- Zhang, S.; Cui, L.; Zhang, X.; Tong, J.; Zhai, T. Tunable polymer lasing in chirped cavities. Opt. Express 2020, 28, 2809–2817. [Google Scholar] [CrossRef]






Publisher’s Note: MDPI stays neutral with regard to jurisdictional claims in published maps and institutional affiliations. |
© 2021 by the authors. Licensee MDPI, Basel, Switzerland. This article is an open access article distributed under the terms and conditions of the Creative Commons Attribution (CC BY) license (https://creativecommons.org/licenses/by/4.0/).
Share and Cite
Zhai, T.; Ma, X.; Han, L.; Zhang, S.; Ge, K.; Xu, Y.; Xu, Z.; Cui, L. Self-Aligned Emission of Distributed Feedback Lasers on Optical Fiber Sidewall. Nanomaterials 2021, 11, 2381. https://doi.org/10.3390/nano11092381
Zhai T, Ma X, Han L, Zhang S, Ge K, Xu Y, Xu Z, Cui L. Self-Aligned Emission of Distributed Feedback Lasers on Optical Fiber Sidewall. Nanomaterials. 2021; 11(9):2381. https://doi.org/10.3390/nano11092381
Chicago/Turabian StyleZhai, Tianrui, Xiaojie Ma, Liang Han, Shuai Zhang, Kun Ge, Yanan Xu, Zhiyang Xu, and Libin Cui. 2021. "Self-Aligned Emission of Distributed Feedback Lasers on Optical Fiber Sidewall" Nanomaterials 11, no. 9: 2381. https://doi.org/10.3390/nano11092381
APA StyleZhai, T., Ma, X., Han, L., Zhang, S., Ge, K., Xu, Y., Xu, Z., & Cui, L. (2021). Self-Aligned Emission of Distributed Feedback Lasers on Optical Fiber Sidewall. Nanomaterials, 11(9), 2381. https://doi.org/10.3390/nano11092381

