Nanostructured Ceria: Biomolecular Templates and (Bio)applications
Abstract
1. Introduction
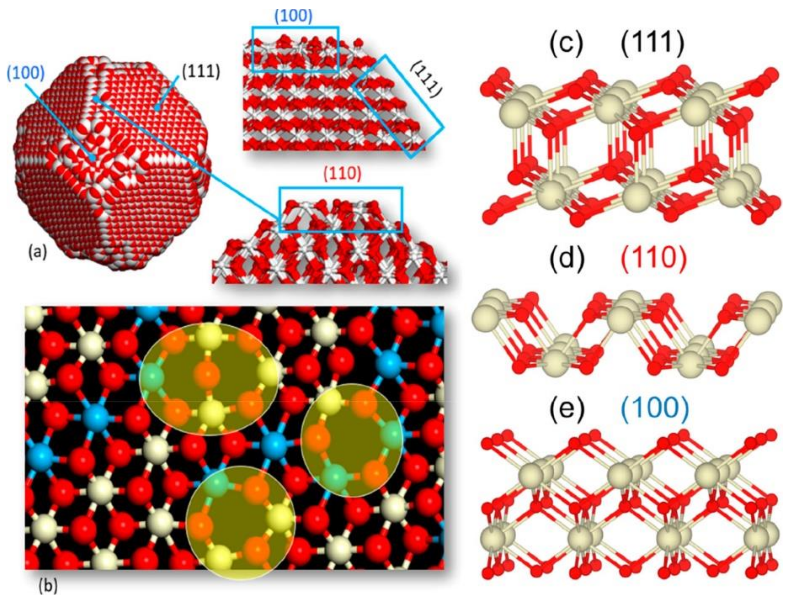
2. Ceria Nanomorphology-Reactivity Relationship
3. Biomolecular Templates for Ceria Nanomaterials
3.1. Carbohydrates
3.2. Catechols
3.3. Carboxylic Acids
3.4. Phosphates and Nucleic Acids
3.5. Proteins
4. (Bio)applications
4.1. Nanocarrier for Therapeutics
4.2. Phosphoproteomics and Phosphatase-like Nanozymes
4.3. Photocatalysis and Catalysis
4.4. Reactive Oxygen Species (ROS) Mitigation
4.4.1. Mechanisms of Nanozyme Activity Pertaining to ROS Mitigation
4.4.2. ROS Mitigation for the Treatment of Cancer and Chemotherapy’s Consequences
4.4.3. ROS Mitigation for Neurodegenerative Disorders
4.4.4. ROS Mitigation to Treat the Liver and the Kidneys
4.4.5. ROS Mitigation for Osteoporosis
4.4.6. ROS Mitigation for Inflammatory Diseases and Immune System Regulation
4.5. Reactive Nitrogen Species (RNS) Mitigation
4.6. Sensing
4.6.1. Ceria as Nanozymes for Sensing
4.6.2. Sensing for Drinking Water and Food Safety
4.6.3. Sensing for the Detection of Disease Biomarkers
4.6.4. DNA Sensors
4.7. Medical Implants
4.8. Antimicrobial Activity
4.9. Tissue Engineering
4.10. Energy Applications
4.11. Optoelectronics and Bioimaging
4.12. Amyloidosis Inhibition
4.13. Toxicological Studies
5. Conclusions
Author Contributions
Funding
Conflicts of Interest
References
- Montini, T.; Melchionna, M.; Monai, M.; Fornasiero, P. Fundamentals and catalytic applications of CeO2-based materials. Chem. Rev. 2016, 116, 5987–6041. [Google Scholar] [CrossRef]
- Melchionna, M.; Fornasiero, P. The role of ceria-based nanostructured materials in energy applications. Mater. Today 2014, 17, 349–357. [Google Scholar] [CrossRef]
- Kang, T.; Kim, Y.G.; Kim, D.; Hyeon, T. Inorganic nanoparticles with enzyme-mimetic activities for biomedical applications. Coord. Chem. Rev. 2020, 403, 213092. [Google Scholar] [CrossRef]
- Kaplin, I.Y.; Lokteva, E.S.; Golubina, E.V.; Lunin, V.V. Template synthesis of porous ceria-based catalysts for environmental application. Molecules 2020, 25, 4242. [Google Scholar] [CrossRef]
- Krishnaveni, P.; Priya, M.L.; Annadurai, G. Biosynthesis of nanoceria from Bacillus subtilis: Characterization and antioxidant potential. Res. J. Life Sci. Bioinf. Pharm. Chem. Sci. 2019, 5, 632–644. [Google Scholar] [CrossRef]
- Ishak, N.A.I.M.; Kamarudin, S.K.; Timmiati, S.N. Green synthesis of metal and metal oxide nanoparticles via plant extracts: An overview. Mater. Res. Express 2019, 6, 112004. [Google Scholar] [CrossRef]
- Elahi, B.; Mirzaee, M.; Darroudi, M.; Sadri, K.; Kazemi Oskuee, R. Bio-based synthesis of Nano-Ceria and evaluation of its bio-distribution and biological properties. Colloids Surf. B 2019, 181, 830–836. [Google Scholar] [CrossRef]
- Elahi, B.; Mirzaee, M.; Darroudi, M.; Kazemi Oskuee, R.; Sadri, K.; Amiri, M.S. Preparation of cerium oxide nanoparticles in salvia macrosiphon boiss seeds extract and investigation of their photo-catalytic activities. Ceram. Int. 2019, 45, 4790–4797. [Google Scholar] [CrossRef]
- Antony, D.; Yadav, R. Facile fabrication of green nano pure CeO2 and Mn-decorated CeO2 with Cassia angustifolia seed extract in water refinement by optimal photodegradation kinetics of malachite green. Environ. Sci. Pollut. Res. 2021, 28, 18589–18603. [Google Scholar] [CrossRef]
- Zamani, A.; Marjani, A.P.; Alimoradlu, K. Walnut shell-templated ceria nanoparticles: Green synthesis, characterization and catalytic application. Int. J. Nanosci. 2018, 17, 1850008. [Google Scholar] [CrossRef]
- Wang, C.; Chen, F.; Tang, Y.; Chen, X.; Qian, J.; Chen, Z. Advanced visible-light photocatalytic property of biologically structured carbon/ceria hybrid multilayer membranes prepared by bamboo leaves. Ceram. Int. 2018, 44, 5834–5841. [Google Scholar] [CrossRef]
- Thirumamagal, R.; Fowziya, S.A.; Mohideen, A.M.U.; Beevi, A.H.; Ayeshamariam, A.; Saleem, A.M.; Jayachandran, M. Evaluation of the cytotoxicity effect on HAp doped with Ce2O3 and its assessment with breast cancer cell line of MCF-7. J. Bionanosci. 2018, 12, 350–356. [Google Scholar] [CrossRef]
- Singh, A.; Hussain, I.; Singh, N.B.; Singh, H. Uptake, translocation and impact of green synthesized nanoceria on growth and antioxidant enzymes activity of Solanum lycopersicum L. Ecotoxicol. Environ. Saf. 2019, 182, 109410. [Google Scholar] [CrossRef]
- Rajan, A.R.; Vilas, V.; Rajan, A.; John, A.; Philip, D. Synthesis of nanostructured CeO2 by chemical and biogenic methods: Optical properties and bioactivity. Ceram. Int. 2020, 46, 14048–14055. [Google Scholar] [CrossRef]
- Qian, J.; Zhang, W.; Wang, Y.; Chen, Z.; Chen, F.; Liu, C.; Lu, X.; Li, P.; Wang, K.; Chen, A. Visible-light driven nitrogen-doped petal-morphological ceria nanosheets for water splitting. Appl. Surf. Sci. 2018, 444, 118–125. [Google Scholar] [CrossRef]
- Wu, B.; Shan, C.; Zhang, X.; Zhao, H.; Ma, S.; Shi, Y.; Yang, J.; Bai, H.; Liu, Q. CeO2/Co3O4 porous nanosheet prepared using rose petal as biotemplate for photocatalytic degradation of organic contaminants. Appl. Surf. Sci. 2021, 543, 148677. [Google Scholar] [CrossRef]
- Muthuvel, A.; Jothibas, M.; Mohana, V.; Manoharan, C. Green synthesis of cerium oxide nanoparticles using Calotropis procera flower extract and their photocatalytic degradation and antibacterial activity. Inorg. Chem. Commun. 2020, 119, 108086. [Google Scholar] [CrossRef]
- Zhou, M.; Zhang, K.; Chen, F.; Chen, Z. Synthesis of biomimetic cerium oxide by bean sprouts bio-template and its photocatalytic performance. J. Rare Earths 2016, 34, 683–688. [Google Scholar] [CrossRef]
- Patil, S.N.; Paradeshi, J.S.; Chaudhari, P.B.; Mishra, S.J.; Chaudhari, B.L. Bio-therapeutic potential and cytotoxicity assessment of pectin-mediated synthesized nanostructured cerium oxide. Appl. Biochem. Biotechnol. 2016, 180, 638–654. [Google Scholar] [CrossRef]
- Gnanasekaran, L.; Rajendran, S.; Priya, A.K.; Durgalakshmi, D.; Vo, D.-V.N.; Cornejo-Ponce, L.; Gracia, F.; Soto-Moscoso, M. Photocatalytic degradation of 2,4-dichlorophenol using bio-green assisted TiO2-CeO2 nanocomposite system. Environ. Res. 2021, 195, 110852. [Google Scholar] [CrossRef] [PubMed]
- Yang, W.; Li, J.; Yang, J.; Liu, Y.; Xu, Z.; Sun, X.; Wang, F.; Ng, D.H.L. Biomass-derived hierarchically porous CoFe-LDH/CeO2 hybrid with peroxidase-like activity for colorimetric sensing of H2O2 and glucose. J. Alloys Compd. 2020, 815, 152276. [Google Scholar] [CrossRef]
- Stegmayer, M.A.; Milt, V.G.; Miro, E.E. Biomorphic synthesis of cobalt oxide and ceria microfibers. Their application in diesel soot oxidation. Catal. Commun. 2020, 139, 105984. [Google Scholar] [CrossRef]
- Charbgoo, F.; Ahmad, M.B.; Darroudi, M. Cerium oxide nanoparticles: Green synthesis and biological applications. Int. J. Nanomed. 2017, 12, 1401–1413. [Google Scholar] [CrossRef] [PubMed]
- Wang, Y.; Su, H.-J.; Hua, Q.-R.; Wang, S.-D. From nanoparticles to nanorods: Insights into the morphology changing mechanism of ceria. Ceram. Int. 2018, 44, 23232–23238. [Google Scholar] [CrossRef]
- Smith, L.R.; Sainna, M.A.; Douthwaite, M.; Davies, T.E.; Dummer, N.F.; Willock, D.J.; Knight, D.W.; Catlow, C.R.A.; Taylor, S.H.; Hutchings, G.J. Gas phase glycerol valorization over ceria nanostructures with well-defined morphologies. ACS Catal. 2021, 11, 4893–4907. [Google Scholar] [CrossRef]
- Yang, D.; Fa, M.; Gao, L.; Zhao, R.; Luo, Y.; Yao, X. The effect of DNA on the oxidase activity of nanoceria with different morphologies. Nanotechnology 2018, 29, 385101–385110. [Google Scholar] [CrossRef] [PubMed]
- Fisher, T.J.; Zhou, Y.; Wu, T.-S.; Wang, M.; Soo, Y.-L.; Cheung, C.L. Structure-activity relationship of nanostructured ceria for the catalytic generation of hydroxyl radicals. Nanoscale 2019, 11, 4552–4561. [Google Scholar] [CrossRef] [PubMed]
- Mehmood, R.; Wang, X.; Koshy, P.; Yang, J.L.; Sorrell, C.C. Engineering oxygen vacancies through construction of morphology maps for bio-responsive nanoceria for osteosarcoma therapy. CrystEngComm 2018, 20, 1536–1545. [Google Scholar] [CrossRef]
- Molinari, M.; Symington, A.R.; Sayle, D.C.; Sakthivel, T.S.; Seal, S.; Parker, S.C. Computer-aided design of nanoceria structures as enzyme mimetic agents: The role of bodily electrolytes on maximizing their activity. ACS Appl. Bio Mater. 2019, 2, 1098–1106. [Google Scholar] [CrossRef]
- Patel, V.; Singh, M.; Mayes, E.L.H.; Martinez, A.; Shutthanandan, V.; Bansal, V.; Singh, S.; Karakoti, A.S. Ligand-mediated reversal of the oxidation state dependent ROS scavenging and enzyme mimicking activity of ceria nanoparticles. Chem. Commun. 2018, 54, 13973–13976. [Google Scholar] [CrossRef] [PubMed]
- Kaygusuz, H.; Erim, F.B. Biopolymer-assisted green synthesis of functional cerium oxide nanoparticles. Chem. Pap. 2020, 74, 2357–2363. [Google Scholar] [CrossRef]
- Zhang, L.-H.; Zhou, J.; Liu, Z.-Q.; Guo, J.-B. Mesoporous CeO2 catalyst synthesized by using cellulose as template for the ozonation of phenol. Ozone Sci. Eng. 2019, 41, 166–174. [Google Scholar] [CrossRef]
- Hasanzadeh, L.; Kazemi Oskuee, R.; Sadri, K.; Nourmohammadi, E.; Mohajeri, M.; Mardani, Z.; Hashemzadeh, A.; Darroudi, M. Green synthesis of labeled CeO2 nanoparticles with 99mTc and its biodistribution evaluation in mice. Life Sci. 2018, 212, 233–240. [Google Scholar] [CrossRef] [PubMed]
- Wu, L.; Liu, G.; Wang, W.; Liu, R.; Liao, L.; Cheng, N.; Li, W.; Zhang, W.; Ding, D. Cyclodextrin-modified CeO2 nanoparticles as a multifunctional nanozyme for combinational therapy of psoriasis. Int. J. Nanomed. 2020, 15, 2515–2527. [Google Scholar] [CrossRef]
- Xiong, Z.-B.; Li, Z.-Z.; Li, C.-X.; Wang, W.; Lu, W.; Du, Y.-P.; Tian, S.-L. Green synthesis of tungsten-doped CeO2 catalyst for selective catalytic reduction of NOx with NH3 using starch bio-template. Appl. Surf. Sci. 2021, 536, 147719. [Google Scholar] [CrossRef]
- Salimi, K. Self-assembled bio-inspired Au/CeO2 nano-composites for visible white LED light irradiated photocatalysis. Colloids Surf. A 2020, 599, 124908. [Google Scholar] [CrossRef]
- Wang, Z.; Zhao, H.; Gao, Q.; Chen, K.; Lan, M. Facile synthesis of ultrathin two-dimensional graphene-like CeO2-TiO2 mesoporous nanosheet loaded with Ag nanoparticles for non-enzymatic electrochemical detection of superoxide anions in HepG2 cells. Biosens. Bioelectron. 2021, 184, 113236. [Google Scholar] [CrossRef] [PubMed]
- Deepthi, N.H.; Darshan, G.P.; Basavaraj, R.B.; Prasad, B.D.; Nagabhushana, H. Large-scale controlled bio-inspired fabrication of 3D CeO2:Eu3+ hierarchical structures for evaluation of highly sensitive visualization of latent fingerprints. Sens. Actuators B 2018, 255, 3127–3147. [Google Scholar] [CrossRef]
- Reddy Kannapu, H.P.; Kim, M.; Jeong, C.; Suh, Y.-W. An efficient Cu-CeO2 citrate catalyst for higher aliphatic ketone synthesis via alkali-free alkylation of acetone with butanol. Mater. Chem. Phys. 2019, 229, 402–411. [Google Scholar] [CrossRef]
- Prabha, J.P.S.; Tharayil, N.J. Crystal plane effect on antioxidant efficacy of nanoceria synthesized with assistance of DNA. J. Phys. Chem. Solids 2020, 141, 109421. [Google Scholar] [CrossRef]
- Jyothi, P.S.P.; Anitha, B.; Smitha, S.; Vibitha, B.V.; Krishna, P.G.A.; Tharayil, N.J. DNA-assisted synthesis of nanoceria, its size dependent structural and optical properties for optoelectronic applications. Bull. Mater. Sci. 2020, 43, 119. [Google Scholar] [CrossRef]
- Wang, M.; Wang, M.-F.; Wang, Y.-M.; Shen, J.-W.; Wang, Z.-Y.; Gao, H.; Wang, L.-L.; Ouyang, X. DNA assisted synthesis of CeO2 nanocrystals with enhanced peroxidase-like activity. CrystEngComm 2018, 20, 4075–4079. [Google Scholar] [CrossRef]
- Gong, K.; Zhou, K.; Yu, B. Superior thermal and fire safety performances of epoxy-based composites with phosphorus-doped cerium oxide nanosheets. Appl. Surf. Sci. 2020, 504, 144314. [Google Scholar] [CrossRef]
- Zou, S.; Zhu, X.; Zhang, L.; Guo, F.; Zhang, M.; Tan, Y.; Gong, A.; Fang, Z.; Ju, H.; Wu, C.; et al. Biomineralization-inspired synthesis of cerium-doped carbonaceous nanoparticles for highly hydroxyl radical scavenging activity. Nanoscale Res. Lett. 2018, 13, 76. [Google Scholar] [CrossRef]
- Yang, Z.; Luo, S.; Zeng, Y.; Shi, C.; Li, R. Albumin-mediated biomineralization of shape-controllable and biocompatible ceria nanomaterials. ACS Appl. Mater. Interfaces 2017, 9, 6839–6848. [Google Scholar] [CrossRef] [PubMed]
- Okuda, M.; Suzumoto, Y.; Yamashita, I. Bioinspired synthesis of homogenous cerium oxide nanoparticles and two- or three-dimensional nanoparticle arrays using protein supramolecules. Cryst. Growth Des. 2011, 11, 2540–2545. [Google Scholar] [CrossRef]
- Lach, M.; Kuenzle, M.; Beck, T. Free-standing metal oxide nanoparticle superlattices constructed with engineered protein containers show in crystallo catalytic activity. Chem.—Eur. J. 2017, 23, 17482–17486. [Google Scholar] [CrossRef] [PubMed]
- Curran, C.D.; Lu, L.; Jia, Y.; Kiely, C.J.; Berger, B.W.; McIntosh, S. Direct single-enzyme biomineralization of catalytically active ceria and ceria-zirconia nanocrystals. ACS Nano 2017, 11, 3337–3346. [Google Scholar] [CrossRef] [PubMed]
- Basavaraj, R.B.; Navami, D.; Deepthi, N.H.; Venkataravanappa, M.; Lokesh, R.; Sudheer Kumar, K.H.; Sreelakshmi, T.K. Novel orange-red emitting Pr3+ doped CeO2 nanopowders for white light emitting diode applications. Inorg. Chem. Commun. 2020, 120, 108164. [Google Scholar] [CrossRef]
- Rahdar, A.; Aliahmad, M.; Hajinezhad, M.R.; Samani, M. Xanthan gum-stabilized nano-ceria: Green chemistry based synthesis, characterization, study of biochemical alterations induced by intraperitoneal doses of nanoparticles in rat. J. Mol. Struct. 2018, 1173, 166–172. [Google Scholar] [CrossRef]
- Villa, S.; Maggioni, D.; Hamza, H.; Di Nica, V.; Magni, S.; Morosetti, B.; Parenti, C.C.; Finizio, A.; Binelli, A.; Della Torre, C. Natural molecule coatings modify the fate of cerium dioxide nanoparticles in water and their ecotoxicity to Daphnia magna. Environ. Pollut. 2020, 257, 113597. [Google Scholar] [CrossRef]
- Yang, J.; Cohen Stuart, M.A.; Kamperman, M. Jack of all trades: Versatile catechol crosslinking mechanisms. Chem. Soc. Rev. 2014, 43, 8271–8298. [Google Scholar] [CrossRef] [PubMed]
- D’Ischia, M.; Ruiz-Molina, D. Bioinspired catechol-based systems: Chemistry and applications. Biomimetics 2017, 2, 25. [Google Scholar] [CrossRef] [PubMed]
- Chu, C.; Deng, J.; Man, Y.; Qu, Y. Green tea extracts epigallocatechin-3-gallate for different treatments. BioMed Res. Int. 2017, 2017, 5615647. [Google Scholar] [CrossRef] [PubMed]
- Hauser, D.; Septiadi, D.; Turner, J.; Petri-Fink, A.; Rothen-Rutishauser, B. From bioinspired glue to medicine: Polydopamine as a biomedical material. Materials 2020, 13, 1730. [Google Scholar] [CrossRef] [PubMed]
- Ball, V. Composite materials and films based on melanins, polydopamine, and other catecholamine-based materials. Biomimetics 2017, 2, 12. [Google Scholar] [CrossRef]
- Kralj, S.; Longobardo, F.; Iglesias, D.; Bevilacqua, M.; Tavagnacco, C.; Criado, A.; Delgado Jaen, J.J.; Makovec, D.; Marchesan, S.; Melchionna, M.; et al. Ex-solution synthesis of sub-5-nm FeOx nanoparticles on mesoporous hollow N,O-doped carbon nanoshells for electrocatalytic oxygen reduction. ACS Appl. Nano Mater. 2019, 2, 6092–6097. [Google Scholar] [CrossRef]
- El Yakhlifi, S.; Ball, V. Polydopamine as a stable and functional nanomaterial. Colloids Surf. B Biointerfaces 2020, 186, 110719. [Google Scholar] [CrossRef]
- Wang, Z.; Zou, Y.; Li, Y.; Cheng, Y. Metal-containing polydopamine nanomaterials: Catalysis, energy, and theranostics. Small 2020, 16, 1907042. [Google Scholar] [CrossRef]
- Uzair, B.; Liaqat, A.; Iqbal, H.; Menaa, B.; Razzaq, A.; Thiripuranathar, G.; Fatima Rana, N.; Menaa, F. Green and cost-effective synthesis of metallic nanoparticles by algae: Safe methods for translational medicine. Bioengineering 2020, 7, 129. [Google Scholar] [CrossRef]
- Shan, D.; Hsieh, J.T.; Bai, X.; Yang, J. Citrate-based fluorescent biomaterials. Adv. Healthc. Mater. 2018, 7, e1800532. [Google Scholar] [CrossRef]
- Pautler, R.; Kelly, E.Y.; Huang, P.-J.J.; Cao, J.; Liu, B.; Liu, J. Attaching DNA to nanoceria: Regulating oxidase activity and fluorescence quenching. ACS Appl. Mater. Interfaces 2013, 5, 6820–6825. [Google Scholar] [CrossRef] [PubMed]
- Xu, C.; Liu, Z.; Wu, L.; Ren, J.; Qu, X. Nucleoside triphosphates as promoters to enhance nanoceria enzyme-like activity and for single-nucleotide polymorphism typing. Adv. Funct. Mater. 2014, 24, 1624–1630. [Google Scholar] [CrossRef]
- Huber, R.; Stoll, S. Protein affinity for titanium oxide and cerium oxide manufactured nanoparticles. From ultra-pure water to biological media. Colloids Surf. A 2018, 553, 425–431. [Google Scholar] [CrossRef]
- Kavok, N.; Grygorova, G.; Klochkov, V.; Yefimova, S. The role of serum proteins in the stabilization of colloidal LnVO4:Eu3+ (Ln = La, Gd, Y) and CeO2 nanoparticles. Colloids Surf. A 2017, 529, 594–599. [Google Scholar] [CrossRef]
- Mazzolini, J.; Weber, R.J.M.; Khan, A.; Guggenheim, E.; Chipman, J.K.; Viant, M.R.; Chen, H.-S.; Shaw, R.K.; Rappoport, J.Z. Protein Corona modulates uptake and toxicity of nanoceria via clathrin-mediated endocytosis. Biol. Bull. 2016, 231, 40–60. [Google Scholar] [CrossRef]
- Vlasova, N.N. Adsorption of amino acids on a cerium dioxide surface. Colloid J. 2016, 78, 747–752. [Google Scholar] [CrossRef]
- Jiang, X.; Huang, X.; Zeng, W.; Huang, J.; Zheng, Y.; Sun, D.; Li, Q. Facile morphology control of 3D porous CeO2 for CO oxidation. RSC Adv. 2018, 8, 21658–21663. [Google Scholar] [CrossRef]
- Kuenzle, M.; Eckert, T.; Beck, T. Binary protein crystals for the assembly of inorganic nanoparticle superlattices. J. Am. Chem. Soc. 2016, 138, 12731–12734. [Google Scholar] [CrossRef] [PubMed]
- Ozaki, M.; Sakashita, S.; Hamada, Y.; Usui, K. Peptides for silica precipitation: Amino acid sequences for directing mineralization. Prot. Pept. Lett. 2018, 25, 15–24. [Google Scholar] [CrossRef] [PubMed]
- Wang, Z.; Yu, R. Hollow micro/nanostructured ceria-based materials: Synthetic strategies and versatile applications. Adv. Mater. 2019, 31, e1800592. [Google Scholar] [CrossRef]
- Schweke, D.; Mordehovitz, Y.; Halabi, M.; Shelly, L.; Hayun, S. Defect chemistry of oxides for energy applications. Adv. Mater. 2018, 30, e1706300. [Google Scholar] [CrossRef]
- Zhang, Y.; Liu, J.; Singh, M.; Hu, E.; Jiang, Z.; Raza, R.; Wang, F.; Wang, J.; Yang, F.; Zhu, B. Superionic conductivity in ceria-based heterostructure composites for low-temperature solid oxide fuel cells. Nano-Micro Lett. 2020, 12, 178. [Google Scholar] [CrossRef]
- Kaneda, K.; Mitsudome, T. Metal-support cooperative catalysts for environmentally benign molecular transformations. Chem. Rec. 2017, 17, 4–26. [Google Scholar] [CrossRef]
- Fauzi, A.A.; Jalil, A.A.; Hassan, N.S.; Aziz, F.F.A.; Azami, M.S.; Hussain, I.; Saravanan, R.; Vo, D.V.N. A critical review o relationship of CeO2-based photocatalyst towards mechanistic degradation of organic pollutant. Chemosphere 2021, 286, 131651. [Google Scholar] [CrossRef] [PubMed]
- Jampaiah, D.; Chalkidis, A.; Sabri, Y.M.; Bhargava, S.K. Role of ceria in the design of composite materials for elemental mercury removal. Chem. Rec. 2019, 19, 1407–1419. [Google Scholar] [CrossRef] [PubMed]
- Marchesan, S.; Prato, M. Nanomaterials for (nano)medicine. ACS Med. Chem. Lett. 2013, 4, 147–149. [Google Scholar] [CrossRef]
- Uppal, S.; Aashima; Kumar, R.; Sareen, S.; Kaur, K.; Mehta, S.K. Biofabrication of cerium oxide nanoparticles using emulsification for an efficient delivery of Benzyl isothiocyanate. Appl. Surf. Sci. 2020, 510, 145011. [Google Scholar] [CrossRef]
- Battaglini, M.; Tapeinos, C.; Cavaliere, I.; Marino, A.; Ancona, A.; Garino, N.; Cauda, V.; Palazon, F.; Debellis, D.; Ciofani, G. Design, fabrication, and in vitro evaluation of nanoceria-loaded nanostructured lipid carriers for the treatment of neurological diseases. ACS Biomater. Sci. Eng. 2019, 5, 670–682. [Google Scholar] [CrossRef]
- Singh, S.; Ly, A.; Das, S.; Sakthivel, T.S.; Barkam, S.; Seal, S. Cerium oxide nanoparticles at the nano-bio interface: Size-dependent cellular uptake. Artif. Cells Nanomed. Biotechnol. 2018, 46, S956–S963. [Google Scholar] [CrossRef] [PubMed]
- Peskova, M.; Heger, Z.; Dostalova, S.; Fojtu, M.; Castkova, K.; Ilkovics, L.; Vykoukal, V.; Pekarik, V. Investigation of detergent-modified enzymomimetic activities of TEMED-templated nanoceria towards fluorescent detection of their cellular uptake. ChemistrySelect 2018, 3, 10139–10146. [Google Scholar] [CrossRef]
- Gao, W.; Zhao, Y.; Li, X.; Sun, Y.; Cai, M.; Cao, W.; Liu, Z.; Tong, L.; Cui, G.; Tang, B. H2O2-responsive and plaque-penetrating nanoplatform for mTOR gene silencing with robust anti-atherosclerosis efficacy. Chem. Sci. 2018, 9, 439–445. [Google Scholar] [CrossRef]
- Niemiec, S.M.; Hilton, S.A.; Wallbank, A.; Azeltine, M.; Louiselle, A.E.; Elajaili, H.; Allawzi, A.; Xu, J.; Mattson, C.; Dewberry, L.C.; et al. Cerium oxide nanoparticle delivery of microRNA-146a for local treatment of acute lung injury. Nanomedicine 2021, 34, 102388. [Google Scholar] [CrossRef]
- Jurcik, J.; Sivakova, B.; Cipakova, I.; Selicky, T.; Stupenova, E.; Jurcik, M.; Osadska, M.; Barath, P.; Cipak, L. Phosphoproteomics meets chemical genetics: Approaches for global mapping and deciphering the phosphoproteome. Int. J. Mol. Sci. 2020, 21, 7637. [Google Scholar] [CrossRef] [PubMed]
- Qiu, W.; Evans, C.A.; Landels, A.; Pham, T.K.; Wright, P.C. Phosphopeptide enrichment for phosphoproteomic analysis—A tutorial and review of novel materials. Anal. Chim. Acta 2020, 1129, 158–180. [Google Scholar] [CrossRef] [PubMed]
- Piovesana, S.; Iglesias, D.; Melle-Franco, M.; Kralj, S.; Cavaliere, C.; Melchionna, M.; Laganà, A.; Capriotti, A.L.; Marchesan, S. Carbon nanostructure morphology templates nanocomposites for phosphoproteomics. Nano Res. 2020, 13, 380–388. [Google Scholar] [CrossRef]
- Lv, N.; Wang, Z.; Bi, W.; Li, G.; Zhang, J.; Ni, J. C8-modified CeO2//SiO2 Janus fibers for selective capture and individual MS detection of low-abundance peptides and phosphopeptides. J. Mater. Chem. B 2016, 4, 4402–4409. [Google Scholar] [CrossRef] [PubMed]
- Fatima, B.; Najam-ul-Haq, M.; Jabeen, F.; Majeed, S.; Ashiq, M.N.; Musharraf, S.G.; Shad, M.A.; Xu, G. Ceria-based nanocomposites for the enrichment and identification of phosphopeptides. Analyst 2013, 138, 5059–5067. [Google Scholar] [CrossRef]
- Yildirim, D.; Gokcal, B.; Buber, E.; Kip, C.; Demir, M.C.; Tuncel, A. A new nanozyme with peroxidase-like activity for simultaneous phosphoprotein isolation and detection based on metal oxide affinity chromatography: Monodisperse-porous cerium oxide microspheres. Chem. Eng. J. 2021, 403, 126357. [Google Scholar] [CrossRef]
- Xu, H.; Liu, M.; Huang, X.; Min, Q.; Zhu, J.-J. Multiplexed quantitative MALDI MS approach for assessing activity and inhibition of protein kinases based on postenrichment dephosphorylation of phosphopeptides by metal-organic framework-templated porous CeO2. Anal. Chem. 2018, 90, 9859–9867. [Google Scholar] [CrossRef]
- Walther, R.; Huynh, T.H.; Monge, P.; Fruergaard, A.S.; Mamakhel, A.; Zelikin, A.N. Ceria nanozyme and phosphate prodrugs: Drug synthesis through enzyme mimicry. ACS Appl. Mater. Interfaces 2021, 13, 25685–25693. [Google Scholar] [CrossRef] [PubMed]
- Janos, P.; Henych, J.; Pfeifer, J.; Zemanova, N.; Pilarova, V.; Milde, D.; Opletal, T.; Tolasz, J.; Maly, M.; Stengl, V. Nanocrystalline cerium oxide prepared from a carbonate precursor and its ability to breakdown biologically relevant organophosphates. Environ. Sci. Nano 2017, 4, 1283–1293. [Google Scholar] [CrossRef]
- Jiang, L.; Sun, Y.; Chen, Y.; Nan, P. From DNA to nerve agents—The biomimetic catalysts for the hydrolysis of phosphate esters. ChemistrySelect 2020, 5, 9492–9516. [Google Scholar] [CrossRef]
- Vernekar, A.A.; Das, T.; Mugesh, G. Vacancy-engineered nanoceria: Enzyme mimetic hotspots for the degradation of nerve agents. Angew. Chem. Int. Ed. 2016, 55, 1412–1416. [Google Scholar] [CrossRef] [PubMed]
- Fang, R.; Liu, J. Cleaving DNA by nanozymes. J. Mater. Chem. B 2020, 8, 7135–7142. [Google Scholar] [CrossRef] [PubMed]
- Wang, X.; Lopez, A.; Liu, J. Adsorption of phosphate and polyphosphate on nanoceria probed by DNA oligonucleotides. Langmuir 2018, 34, 7899–7905. [Google Scholar] [CrossRef]
- Wang, X.; Liu, B.; Liu, J. DNA-functionalized nanoceria for probing oxidation of phosphorus compounds. Langmuir 2018, 34, 15871–15877. [Google Scholar] [CrossRef]
- Kato, K.; Lee, S.; Nagata, F. Catalytic performance of ceria fibers with phosphatase-like activity and their application as protein carriers. Adv. Powder Technol. 2020, 31, 2880–2889. [Google Scholar] [CrossRef]
- Singh, S.; Kumar, U.; Gittess, D.; Sakthivel, T.S.; Babu, B.; Seal, S. Cerium oxide nanomaterial with dual antioxidative scavenging potential: Synthesis and characterization. J. Biomater. Appl. 2021, 8853282211013451. [Google Scholar] [CrossRef]
- Janos, P.; Ederer, J.; Dosek, M.; Stojdl, J.; Henych, J.; Tolasz, J.; Kormunda, M.; Mazanec, K. Can cerium oxide serve as a phosphodiesterase-mimetic nanozyme. Environ. Sci. Nano 2019, 6, 3684–3698. [Google Scholar] [CrossRef]
- Li, H.; Meng, F.; Gong, J.; Fan, Z.; Qin, R. Template-free hydrothermal synthesis, mechanism, and photocatalytic properties of core-shell CeO2 nanospheres. Electron. Mater. Lett. 2018, 14, 474–487. [Google Scholar] [CrossRef]
- Huang, X.; Zhu, N.; Mao, F.; Ding, Y.; Zhang, S.; Liu, H.; Li, F.; Wu, P.; Dang, Z.; Ke, Y. Enhanced heterogeneous photo-fenton catalytic degradation of tetracycline over yCeO2/Fh composites: Performance, degradation pathways, Fe2+ regeneration and mechanism. Chem. Eng. J. 2020, 392, 123636. [Google Scholar] [CrossRef]
- Sun, Y.; Zhao, C.; Gao, N.; Ren, J.; Qu, X. Stereoselective nanozyme based on ceria nanoparticles engineered with amino acids. Chem.—Eur. J. 2017, 23, 18146–18150. [Google Scholar] [CrossRef]
- Tian, Z.; Yao, T.; Qu, C.; Zhang, S.; Li, X.; Qu, Y. Photolyase-like catalytic behavior of CeO2. Nano Lett. 2019, 19, 8270–8277. [Google Scholar] [CrossRef] [PubMed]
- Das, S.; Neal, C.J.; Ortiz, J.; Seal, S. Engineered nanoceria cytoprotection in vivo: Mitigation of reactive oxygen species and double-stranded DNA breakage due to radiation exposure. Nanoscale 2018, 10, 21069–21075. [Google Scholar] [CrossRef] [PubMed]
- Popova, N.R.; Popov, A.L.; Ermakov, A.M.; Reukov, V.V.; Ivanov, V.K. Ceria-containing hybrid multilayered microcapsules for enhanced cellular internalisation with high radioprotection efficiency. Molecules 2020, 25, 2957. [Google Scholar] [CrossRef] [PubMed]
- Omri, M.; Becuwe, M.; Courty, M.; Pourceau, G.; Wadouachi, A. Nitroxide-grafted nanometric metal oxides for the catalytic oxidation of sugar. ACS Appl. Nano Mater. 2019, 2, 5200–5205. [Google Scholar] [CrossRef]
- Qian, J.; Cao, Y.; Chen, Z.; Liu, C.; Lu, X. Biomimetic synthesis of cerium oxide nanosquares on RGO and their enhanced photocatalytic activities. Dalton Trans. 2017, 46, 547–553. [Google Scholar] [CrossRef] [PubMed]
- Meng, J.; Li, H.; Chen, R.; Sun, X.; Sun, X. Enzyme-like catalytic activity of porphyrin-functionalized ceria nanotubes for water oxidation. ChemPlusChem 2019, 84, 1816–1822. [Google Scholar] [CrossRef]
- Marzorati, S.; Cristiani, P.; Longhi, M.; Trasatti, S.P.; Traversa, E. Nanoceria acting as oxygen reservoir for biocathodes in microbial fuel cells. Electrochim. Acta 2019, 325, 134954. [Google Scholar] [CrossRef]
- Wang, Z.; Shen, X.; Gao, X.; Zhao, Y. Simultaneous enzyme mimicking and chemical reduction mechanisms for nanoceria as a bio-antioxidant: A catalytic model bridging computations and experiments for nanozymes. Nanoscale 2019, 11, 13289–13299. [Google Scholar] [CrossRef]
- Naganuma, T. Shape design of cerium oxide nanoparticles for enhancement of enzyme mimetic activity in therapeutic applications. Nano Res. 2017, 10, 199–217. [Google Scholar] [CrossRef]
- Liu, X.; Wu, J.; Liu, Q.; Lin, A.; Li, S.; Zhang, Y.; Wang, Q.; Li, T.; An, X.; Zhou, Z.; et al. Synthesis-temperature-regulated multi-enzyme-mimicking activities of ceria nanozymes. J. Mater. Chem. B 2021. [Google Scholar] [CrossRef]
- Guo, W.; Zhang, M.; Lou, Z.; Zhou, M.; Wang, P.; Wei, H. Engineering nanoceria for enhanced peroxidase mimics: A solid solution strategy. ChemCatChem 2019, 11, 737–743. [Google Scholar] [CrossRef]
- Attar, F.; Shahpar, M.G.; Rasti, B.; Sharifi, M.; Saboury, A.A.; Rezayat, S.M.; Falahati, M. Nanozymes with intrinsic peroxidase-like activities. J. Mol. Liq. 2019, 278, 130–144. [Google Scholar] [CrossRef]
- Vinothkumar, G.; Arunkumar, P.; Mahesh, A.; Dhayalan, A.; Suresh Babu, K. Size- and defect-controlled anti-oxidant enzyme mimetic and radical scavenging properties of cerium oxide nanoparticles. New J. Chem. 2018, 42, 18810–18823. [Google Scholar] [CrossRef]
- Gupta, A.; Sakthivel, T.S.; Neal, C.J.; Koul, S.; Singh, S.; Kushima, A.; Seal, S. Antioxidant properties of ALD grown nanoceria films with tunable valency. Biomater. Sci. 2019, 7, 3051–3061. [Google Scholar] [CrossRef]
- Bhagat, S.; Srikanth Vallabani, N.V.; Shutthanandan, V.; Bowden, M.; Karakoti, A.S.; Singh, S. Gold core/ceria shell-based redox active nanozyme mimicking the biological multienzyme complex phenomenon. J. Colloid Interface Sci. 2018, 513, 831–842. [Google Scholar] [CrossRef]
- Weng, Q.; Sun, H.; Fang, C.; Xia, F.; Liao, H.; Lee, J.; Wang, J.; Xie, A.; Ren, J.; Guo, X.; et al. Catalytic activity tunable ceria nanoparticles prevent chemotherapy-induced acute kidney injury without interference with chemotherapeutics. Nat. Commun. 2021, 12, 1436. [Google Scholar] [CrossRef]
- Fernandez-Varo, G.; Perramon, M.; Carvajal, S.; Oro, D.; Casals, E.; Boix, L.; Oller, L.; Macias-Munoz, L.; Marfa, S.; Casals, G.; et al. Bespoken nanoceria: An effective treatment in experimental hepatocellular carcinoma. Hepatology 2020, 72, 1267–1282. [Google Scholar] [CrossRef]
- Dong, S.; Dong, Y.; Jia, T.; Liu, S.; Liu, J.; Yang, D.; He, F.; Gai, S.; Yang, P.; Lin, J. GSH-depleted nanozymes with hyperthermia-enhanced dual enzyme-mimic activities for tumor nanocatalytic therapy. Adv. Mater. 2020, 32, 2002439. [Google Scholar] [CrossRef]
- Panda, S.R.; Singh, R.K.; Priyadarshini, B.; Rath, P.P.; Parhi, P.K.; Sahoo, T.; Mandal, D.; Sahoo, T.R. Nanoceria: A rare-earth nanoparticle as a promising anti-cancer therapeutic agent in colon cancer. Mater. Sci. Semicond. Process. 2019, 104, 104669. [Google Scholar] [CrossRef]
- Wason, M.S.; Lu, H.; Yu, L.; Lahiri, S.K.; Mukherjee, D.; Shen, C.; Das, S.; Seal, S.; Zhao, J. Cerium oxide nanoparticles sensitize pancreatic cancer to radiation therapy through oxidative activation of the JNK apoptotic pathway. Cancers 2018, 10, 303. [Google Scholar] [CrossRef]
- Kwon, H.J.; Kim, D.; Seo, K.; Kim, Y.G.; Han, S.I.; Kang, T.; Soh, M.; Hyeon, T. Ceria nanoparticle systems for selective scavenging of mitochondrial, intracellular, and extracellular reactive oxygen species in Parkinson’s disease. Angew. Chem. Int. Ed. 2018, 57, 9408–9412. [Google Scholar] [CrossRef] [PubMed]
- Yu, D.; Ma, M.; Liu, Z.; Pi, Z.; Du, X.; Ren, J.; Qu, X. MOF-encapsulated nanozyme enhanced siRNA combo: Control neural stem cell differentiation and ameliorate cognitive impairments in Alzheimer’s disease model. Biomaterials 2020, 255, 120160. [Google Scholar] [CrossRef]
- Guan, Y.; Li, M.; Dong, K.; Gao, N.; Ren, J.; Zheng, Y.; Qu, X. Ceria/POMs hybrid nanoparticles as a mimicking metallopeptidase for treatment of neurotoxicity of amyloid-β peptide. Biomaterials 2016, 98, 92–102. [Google Scholar] [CrossRef]
- Ni, D.; Wei, H.; Chen, W.; Bao, Q.; Rosenkrans, Z.T.; Barnhart, T.E.; Ferreira, C.A.; Wang, Y.; Yao, H.; Sun, T.; et al. Ceria nanoparticles meet hepatic ischemia-reperfusion injury: The perfect imperfection. Adv. Mater. 2019, 31, 1902956. [Google Scholar] [CrossRef] [PubMed]
- Casals, G.; Perramón, M.; Casals, E.; Portolés, I.; Fernández-Varo, G.; Morales-Ruiz, M.; Puntes, V.; Jiménez, W. Cerium oxide nanoparticles: A new therapeutic tool in liver diseases. Antioxidants 2021, 10, 660. [Google Scholar] [CrossRef]
- Kobyliak, N.; Virchenko, O.; Falalyeyeva, T.; Kondro, M.; Beregova, T.; Bodnar, P.; Shcherbakov, O.; Bubnov, R.; Caprnda, M.; Delev, D.; et al. Cerium dioxide nanoparticles possess anti-inflammatory properties in the conditions of the obesity-associated NAFLD in rats. Biomed. Pharmacother. 2017, 90, 608–614. [Google Scholar] [CrossRef]
- Hong, S.-E.; An, J.H.; Yu, S.-L.; Kang, J.; Park, C.G.; Lee, H.Y.; Lee, D.C.; Park, H.-W.; Hwang, W.-M.; Yun, S.-R.; et al. Ceria-zirconia antioxidant nanoparticles attenuate hypoxia-induced acute kidney injury by restoring autophagy flux and alleviating mitochondrial damage. J. Biomed. Nanotechnol. 2020, 16, 1144–1159. [Google Scholar] [CrossRef] [PubMed]
- Pinna, A.; Torki Baghbaderani, M.; Vigil Hernandez, V.; Naruphontjirakul, P.; Li, S.; McFarlane, T.; Hachim, D.; Stevens, M.M.; Porter, A.E.; Jones, J.R. Nanoceria provides antioxidant and osteogenic properties to mesoporous silica nanoparticles for osteoporosis treatment. Acta Biomater. 2021, 122, 365–376. [Google Scholar] [CrossRef]
- Kalashnikova, I.; Chung, S.-J.; Nafiujjaman, M.; Hill, M.L.; Siziba, M.E.; Contag, C.H.; Kim, T. Ceria-based nanotheranostic agent for rheumatoid arthritis. Theranostics 2020, 10, 11863–11880. [Google Scholar] [CrossRef]
- Jansman, M.M.T.; Liu, X.; Kempen, P.; Clergeaud, G.; Andresen, T.L.; Hosta-Rigau, L.; Thulstrup, P.W. Hemoglobin-based oxygen carriers incorporating nanozymes for the depletion of reactive oxygen species. ACS Appl. Mater. Interfaces 2020, 12, 50275–50286. [Google Scholar] [CrossRef] [PubMed]
- Tang, S.; Zhou, L.; Liu, Z.; Zou, L.; Xiao, M.; Huang, C.; Xie, Z.; He, H.; Guo, Y.; Cao, Y.; et al. Ceria nanoparticles promoted the cytotoxic activity of CD8+ T cells by activating NF-KB signaling. Biomater. Sci. 2019, 7, 2533–2544. [Google Scholar] [CrossRef]
- Jia, J.; Huang, Y.; Jia, J.; Sun, J.; Peng, S.; Xie, Q.; Yi, L.; Li, C.; Zhang, T. CeO2@PAA-LXW7 attenuates LPS-induced inflammation in BV2 microglia. Cell. Mol. Neurobiol. 2019, 39, 1125–1137. [Google Scholar] [CrossRef]
- Choi, B.; Soh, M.; Manandhar, Y.; Kim, D.; Han, S.I.; Baik, S.; Shin, K.; Koo, S.; Kwon, H.J.; Ko, G.; et al. Highly selective microglial uptake of ceria-zirconia nanoparticles for enhanced analgesic treatment of neuropathic pain. Nanoscale 2019, 11, 19437–19447. [Google Scholar] [CrossRef]
- Cha, B.G.; Jeong, H.-G.; Kang, D.-W.; Nam, M.-J.; Kim, C.K.; Kim, D.Y.; Choi, I.-Y.; Ki, S.K.; Kim, S.I.; Han, J.H.; et al. Customized lipid-coated magnetic mesoporous silica nanoparticle doped with ceria nanoparticles for theragnosis of intracerebral hemorrhage. Nano Res. 2018, 11, 3582–3592. [Google Scholar] [CrossRef]
- Wang, Y.; Zhang, P.; Li, M.; Guo, Z.; Ullah, S.; Rui, Y.; Lynch, I. Alleviation of nitrogen stress in rice (Oryza sativa) by ceria nanoparticles. Environ. Sci. Nano 2020, 7, 2930–2940. [Google Scholar] [CrossRef]
- Mortimer, M.; Li, D.; Wang, Y.; Holden, P.A. Physical properties of carbon nanomaterials and nanoceria affect pathways important to the nodulation competitiveness of the symbiotic N2-fixing bacterium bradyrhizobium diazoefficiens. Small 2020, 16, 1906055. [Google Scholar] [CrossRef] [PubMed]
- Charbgoo, F.; Ramezani, M.; Darroudi, M. Bio-sensing applications of cerium oxide nanoparticles: Advantages and disadvantages. Biosens. Bioelectron. 2017, 96, 33–43. [Google Scholar] [CrossRef]
- Kim, H.Y.; Park, K.S.; Park, H.G. Glucose oxidase-like activity of cerium oxide nanoparticles: Use for personal glucose meter-based label-free target DNA detection. Theranostics 2020, 10, 4507–4514. [Google Scholar] [CrossRef]
- Gao, Y.; Zhou, Y.; Chandrawati, R. Metal and metal oxide nanoparticles to enhance the performance of enzyme-linked immunosorbent assay (ELISA). ACS Appl. Nano Mater. 2020, 3, 1–21. [Google Scholar] [CrossRef]
- Alizadeh, N.; Salimi, A.; Sham, T.-K.; Bazylewski, P.; Fanchini, G. Intrinsic enzyme-like activities of cerium oxide nanocomposite and its application for extracellular H2O2 detection using an electrochemical microfluidic device. ACS Omega 2020, 5, 11883–11894. [Google Scholar] [CrossRef]
- Pratsinis, A.; Kelesidis, G.A.; Zuercher, S.; Krumeich, F.; Bolisetty, S.; Mezzenga, R.; Leroux, J.-C.; Sotiriou, G.A. Enzyme-mimetic antioxidant luminescent nanoparticles for highly sensitive hydrogen peroxide biosensing. ACS Nano 2017, 11, 12210–12218. [Google Scholar] [CrossRef]
- Mu, J.; Zhao, X.; Li, J.; Yang, E.-C.; Zhao, X.-J. Coral-like CeO2/NiO nanocomposites with efficient enzyme-mimetic activity for biosensing application. Mater. Sci. Eng. C 2017, 74, 434–442. [Google Scholar] [CrossRef]
- Hosseini, M.; Sadat Sabet, F.; Khabbaz, H.; Aghazadeh, M.; Mizani, F.; Ganjali, M.R. Enhancement of the peroxidase-like activity of cerium-doped ferrite nanoparticles for colorimetric detection of H2O2 and glucose. Anal. Methods 2017, 9, 3519–3524. [Google Scholar] [CrossRef]
- Gao, W.; Wei, X.; Wang, X.; Cui, G.; Liu, Z.; Tang, B. A competitive coordination-based CeO2 nanowire-DNA nanosensor: Fast and selective detection of hydrogen peroxide in living cells and in vivo. Chem. Commun. 2016, 52, 3643–3646. [Google Scholar] [CrossRef]
- Xie, J.; Cheng, D.; Zhou, Z.; Pang, X.; Liu, M.; Yin, P.; Zhang, Y.; Li, H.; Liu, X.; Yao, S. Hydrogen peroxide sensing in body fluids and tumor cells via in situ produced redox couples on two-dimensional holey CuCo2O4 nanosheets. Microchim. Acta 2020, 187, 469. [Google Scholar] [CrossRef]
- Liu, Z.; Cao, Y.; Zhang, X.; Yang, H.; Zhao, Y.; Gao, W.; Tang, B. A dual-targeted CeO2-DNA nanosensor for real-time imaging of H2O2 to assess atherosclerotic plaque vulnerability. J. Mater. Chem. B 2020, 8, 3502–3505. [Google Scholar] [CrossRef]
- Yang, L.; An, B.; Yin, X.; Li, F. A competitive coordination-based immobilization-free electrochemical biosensor for highly sensitive detection of arsenic(V) using a CeO2-DNA nanoprobe. Chem. Commun. 2020, 56, 5311–5314. [Google Scholar] [CrossRef]
- Lopez, A.; Zhang, Y.; Liu, J. Tuning DNA adsorption affinity and density on metal oxide and phosphate for improved arsenate detection. J. Colloid Interface Sci. 2017, 493, 249–256. [Google Scholar] [CrossRef] [PubMed]
- Anthony, E.T.; Ojemaye, M.O.; Okoh, A.I.; Okoh, O.O. Synthesis of CeO2 as promising adsorbent for the management of free-DNA harboring antibiotic resistance genes from tap-water. Chem. Eng. J. 2020, 401, 125562. [Google Scholar] [CrossRef]
- Mustafa, F.; Othman, A.; Andreescu, S. Cerium oxide-based hypoxanthine biosensor for Fish spoilage monitoring. Sens. Actuators B 2021, 332, 129435. [Google Scholar] [CrossRef]
- Nguyet, N.T.; Yen, L.T.H.; Doan, V.Y.; Hoang, N.L.; Van Thu, V.; Lan, H.; Trung, T.; Pham, V.-H.; Tam, P.D. A label-free and highly sensitive DNA biosensor based on the core-shell structured CeO2-NR@Ppy nanocomposite for Salmonella detection. Mater. Sci. Eng. C 2019, 96, 790–797. [Google Scholar] [CrossRef]
- Nguyet, N.T.; Hai Yen, L.T.; Van Thu, V.; Lan, H.; Trung, T.; Vuong, P.H.; Tam, P.D. Highly sensitive DNA sensors based on cerium oxide nanorods. J. Phys. Chem. Solids 2018, 115, 18–25. [Google Scholar] [CrossRef]
- Kim, H.Y.; Ahn, J.K.; Kim, M.I.; Park, K.S.; Park, H.G. Rapid and label-free, electrochemical DNA detection utilizing the oxidase-mimicking activity of cerium oxide nanoparticles. Electrochem. Commun. 2019, 99, 5–10. [Google Scholar] [CrossRef]
- Tian, J.; Wei, W.; Wang, J.; Ji, S.; Chen, G.; Lu, J. Fluorescence resonance energy transfer aptasensor between nanoceria and graphene quantum dots for the determination of ochratoxin A. Anal. Chim. Acta 2018, 1000, 265–272. [Google Scholar] [CrossRef]
- Mandal, D.; Biswas, S.; Chowdhury, A.; De, D.; Tiwary, C.S.; Gupta, A.N.; Singh, T.; Chandra, A. Hierarchical cage-frame type nanostructure of CeO2 for bio sensing applications: From glucose to protein detection. Nanotechnology 2021, 32, 025504. [Google Scholar] [CrossRef]
- Li, H.; Lu, Y.; Pang, J.; Sun, J.; Yang, F.; Wang, Z.; Liu, Y. DNA-scaffold copper nanoclusters integrated into a cerium(III)-triggered Fenton-like reaction for the fluorometric and colorimetric enzymatic determination of glucose. Microchim. Acta 2019, 186, 862. [Google Scholar] [CrossRef] [PubMed]
- Liu, Q.; Yang, Y.; Lv, X.; Ding, Y.; Zhang, Y.; Jing, J.; Xu, C. One-step synthesis of uniform nanoparticles of porphyrin functionalized ceria with promising peroxidase mimetics for H2O2 and glucose colorimetric detection. Sens. Actuators B 2017, 240, 726–734. [Google Scholar] [CrossRef]
- Kutova, O.; Dusheiko, M.; Klyui, N.I.; Skryshevsky, V.A. C-reactive protein detection based on ISFET structure with gate dielectric SiO2-CeO2. Microelectron. Eng. 2019, 215, 110993. [Google Scholar] [CrossRef]
- Gao, Z.; Li, Y.; Zhang, C.; Zhang, S.; Jia, Y.; Li, F.; Ding, H.; Li, X.; Chen, Z.; Wei, Q. AuCuxO-embedded mesoporous CeO2 nanocomposites as a signal probe for electrochemical sensitive detection of amyloid-beta protein. ACS Appl. Mater. Interfaces 2019, 11, 12335–12341. [Google Scholar] [CrossRef]
- Wang, J.-X.; Zhuo, Y.; Zhou, Y.; Wang, H.-J.; Yuan, R.; Chai, Y.-Q. Ceria doped zinc oxide nanoflowers enhanced luminol-based electrochemiluminescence immunosensor for amyloid-β detection. ACS Appl. Mater. Interfaces 2016, 8, 12968–12975. [Google Scholar] [CrossRef]
- Liu, Q.; Chen, X.; Kang, Z.-W.; Zheng, C.; Yang, D.-P. Facile synthesis of eggshell membrane-templated Au/CeO2 3D nanocomposite networks for nonenzymatic electrochemical dopamine sensor. Nanoscale Res. Lett. 2020, 15, 24. [Google Scholar] [CrossRef]
- Ge, C.; Ramachandran, R.; Wang, F. CeO2-based two-dimensional layered nanocomposites derived from a metal-organic framework for selective electrochemical dopamine sensors. Sensors 2020, 20, 4880. [Google Scholar] [CrossRef] [PubMed]
- Uzunoglu, A.; Stanciu, L.A. Novel CeO2-CuO-decorated enzymatic lactate biosensors operating in low oxygen environments. Anal. Chim. Acta 2016, 909, 121–128. [Google Scholar] [CrossRef]
- Li, F.; Hu, X.; Wang, F.; Zheng, B.; Du, J.; Xiao, D. A fluorescent “on-off-on” probe for sensitive detection of ATP based on ATP displacing DNA from nanoceria. Talanta 2018, 179, 285–291. [Google Scholar] [CrossRef]
- Li, L.; Zhang, Y.; Yan, Z.; Chen, M.; Zhang, L.; Zhao, P.; Yu, J. Ultrasensitive photoelectrochemical detection of microRNA on paper by combining a cascade nanozyme-engineered biocatalytic precipitation reaction and target-triggerable DNA motor. ACS Sens. 2020, 5, 1482–1490. [Google Scholar] [CrossRef]
- Liang, L.; Lan, F.; Yin, X.; Ge, S.; Yu, J.; Yan, M. Metal-enhanced fluorescence/visual bimodal platform for multiplexed ultrasensitive detection of microRNA with reusable paper analytical devices. Biosens. Bioelectron. 2017, 95, 181–188. [Google Scholar] [CrossRef]
- Zhao, Y.; He, J.; Niu, Y.; Chen, J.; Wu, J.; Yu, C. A new sight for detecting the ADRB1 gene mutation to guide a therapeutic regimen for hypertension based on a CeO2-doped nanoprobe. Biosens. Bioelectron. 2017, 92, 402–409. [Google Scholar] [CrossRef]
- Li, Y.; Chang, Y.; Yuan, R.; Chai, Y. Highly efficient target recycling-based netlike Y-DNA for regulation of electrocatalysis toward methylene blue for sensitive DNA detection. ACS Appl. Mater. Interfaces 2018, 10, 25213–25218. [Google Scholar] [CrossRef] [PubMed]
- Bulbul, G.; Hayat, A.; Mustafa, F.; Andreescu, S. DNA assay based on nanoceria as fluorescence quenchers (NanoCeracQ DNA assay). Sci. Rep. 2018, 8, 2426. [Google Scholar] [CrossRef]
- Li, L.; Yang, L.; Zhang, S.; Sun, Y.; Li, F.; Qin, T.; Liu, X.; Zhou, Y.; Alwarappan, S. A NiCo2S4@N/S-CeO2 composite as an electrocatalytic signal amplification label for aptasensing. J. Mater. Chem. C 2020, 8, 14723–14731. [Google Scholar] [CrossRef]
- Tian, J.; Wang, J.; Li, Y.; Huang, M.; Lu, J. Electrochemically driven omeprazole metabolism via cytochrome P450 assembled on the nanocomposites of ceria nanoparticles and graphene. J. Electrochem. Soc. 2017, 164, H470–H476. [Google Scholar] [CrossRef]
- Hartati, Y.W.; Komala, D.R.; Hendrati, D.; Gaffar, S.; Hardianto, A.; Sofiatin, Y.; Bahti, H.H. An aptasensor using ceria electrodeposited-screen-printed carbon electrode for detection of epithelial sodium channel protein as a hypertension biomarker. R. Soc. Open Sci. 2021, 8, 202040. [Google Scholar] [CrossRef]
- Ding, Y.; Zhang, M.; Li, C.; Xie, B.; Zhao, G.; Sun, Y. A reusable aptasensor based on the dual signal amplification of Ce@AuNRs-PAMAM-Fc and DNA walker for ultrasensitive detection of TNF-α. J. Solid State Electrochem. 2021. [Google Scholar] [CrossRef]
- Wang, M.; Hu, M.; Hu, B.; Guo, C.; Song, Y.; Jia, Q.; He, L.; Zhang, Z.; Fang, S. Bimetallic cerium and ferric oxides nanoparticles embedded within mesoporous carbon matrix: Electrochemical immunosensor for sensitive detection of carbohydrate antigen 19-9. Biosens. Bioelectron. 2019, 135, 22–29. [Google Scholar] [CrossRef]
- Wang, S.; Wang, F.; Fu, C.; Sun, Y.; Zhao, J.; Li, N.; Liu, Y.; Ge, S.; Yu, J. AgInSe2-sensitized ZnO nanoflower wide-spectrum response photoelectrochemical/visual sensing platform via Au@nanorod-anchored CeO2 octahedron regulated signal. Anal. Chem. 2020, 92, 7604–7611. [Google Scholar] [CrossRef] [PubMed]
- Shen, H.; Deng, W.; He, Y.; Li, X.; Song, J.; Liu, R.; Hua, l.; Yang, G.; Li, L. Ultrasensitive aptasensor for isolation and detection of circulating tumor cells based on CeO2@Ir nanorods and DNA walker. Biosens. Bioelectron. 2020, 168, 112516. [Google Scholar] [CrossRef]
- Ling, J.; Zhao, M.; Chen, F.; Zhou, X.; Li, X.; Ding, S.; Tang, H. An enzyme-free electrochemiluminescence biosensor for ultrasensitive assay of Group B Streptococci based on self-enhanced luminol complex functionalized CuMn-CeO2 nanospheres. Biosens. Bioelectron. 2019, 127, 167–173. [Google Scholar] [CrossRef]
- Pandey, A.; Patel, A.K.; Ariharan, S.; Kumar, V.; Sharma, R.K.; Kanhed, S.; Nigam, V.K.; Keshri, A.; Agarwal, A.; Balani, K. Enhanced tribological and bacterial resistance of carbon nanotube with Ceria- and silver-incorporated hydroxyapatite biocoating. Nanomaterials 2018, 8, 363. [Google Scholar] [CrossRef]
- De Santis, S.; Sotgiu, G.; Porcelli, F.; Marsotto, M.; Iucci, G.; Orsini, M. A simple cerium coating strategy for titanium oxide nanotubes’ bioactivity enhancement. Nanomaterials 2021, 11, 445. [Google Scholar] [CrossRef]
- Saito, M.M.; Onuma, K.; Yamamoto, R.; Yamakoshi, Y. New insights into bioactivity of ceria-stabilized zirconia: Direct bonding to bone-like hydroxyapatite at nanoscale. Mater. Sci. Eng. C 2021, 121, 111665. [Google Scholar] [CrossRef]
- Shao, D.; Li, K.; You, M.; Liu, S.; Hu, T.; Huang, L.; Xie, Y.; Zheng, X. Macrophage polarization by plasma sprayed ceria coatings on titanium-based implants: Cerium valence state matters. Appl. Surf. Sci. 2020, 504, 144070. [Google Scholar] [CrossRef]
- You, G.; Wang, C.; Wang, P.; Hou, J.; Xu, Y.; Miao, L.; Feng, T. Insights into spatial effects of ceria nanoparticles on oxygen mass transfer in wastewater biofilms: Interfacial microstructure, in-situ microbial activity and metabolism regulation mechanism. Water Res. 2020, 176, 115731. [Google Scholar] [CrossRef]
- Pandiyan, N.; Murugesan, B.; Sonamuthu, J.; Samayanan, S.; Mahalingam, S. Facile biological synthetic strategy to morphologically aligned CeO2/ZrO2 core nanoparticles using Justicia adhatoda extract and ionic liquid: Enhancement of its bio-medical properties. J. Photochem. Photobiol. B 2018, 178, 481–488. [Google Scholar] [CrossRef] [PubMed]
- Frerichs, H.; Puetz, E.; Pfitzner, F.; Reich, T.; Gazanis, A.; Panthoefer, M.; Hartmann, J.; Jegel, O.; Heermann, R.; Tremel, W. Nanocomposite antimicrobials prevent bacterial growth through the enzyme-like activity of Bi-doped cerium dioxide (Ce1-xBixO2-δ). Nanoscale 2020, 12, 21344–21358. [Google Scholar] [CrossRef] [PubMed]
- Bhatt, L.; Chen, L.; Guo, J.; Klie, R.F.; Shi, J.; Pesavento, R.P. Hydrolyzed Ce(IV) salts limit sucrose-dependent biofilm formation by Streptococcus mutans. J. Inorg. Biochem. 2020, 206, 110997. [Google Scholar] [CrossRef]
- Xie, C.; Zhang, J.; Ma, Y.; Ding, Y.; Zhang, P.; Zheng, L.; Chai, Z.; Zhao, Y.; Zhang, Z.; He, X. Bacillus subtilis causes dissolution of ceria nanoparticles at the nano-bio interface. Environ. Sci. Nano 2019, 6, 216–223. [Google Scholar] [CrossRef]
- Shu, Z.; Zhang, Y.; Ouyang, J.; Yang, H. Characterization and synergetic antibacterial properties of ZnO and CeO2 supported by halloysite. Appl. Surf. Sci. 2017, 420, 833–838. [Google Scholar] [CrossRef]
- Estes, L.M.; Singha, P.; Singh, S.; Sakthivel, T.S.; Garren, M.; Devine, R.; Brisbois, E.J.; Seal, S.; Handa, H. Characterization of a nitric oxide (NO) donor molecule and cerium oxide nanoparticle (CNP) interactions and their synergistic antimicrobial potential for biomedical applications. J. Coll. Interface Sci. 2021, 586, 163–177. [Google Scholar] [CrossRef]
- Sadidi, H.; Hooshmand, S.; Ahmadabadi, A.; Javad Hosseini, S.; Baino, F.; Vatanpour, M.; Kargozar, S. Cerium oxide nanoparticles (Nanoceria): Hopes in soft tissue engineering. Molecules 2020, 25, 4559. [Google Scholar] [CrossRef] [PubMed]
- Purohit, S.D.; Singh, H.; Bhaskar, R.; Yadav, I.; Chou, C.-F.; Gupta, M.K.; Mishra, N.C. Gelatin-alginate-cerium oxide nanocomposite scaffold for bone regeneration. Mater. Sci. Eng. C 2020, 116, 111111. [Google Scholar] [CrossRef]
- Wei, F.; Neal, C.J.; Sakthivel, T.S.; Kean, T.; Seal, S.; Coathup, M.J. Multi-functional cerium oxide nanoparticles regulate inflammation and enhance osteogenesis. Mater. Sci. Eng. C 2021, 124, 112041. [Google Scholar] [CrossRef]
- Bonciu, A.F.; Orobeti, S.; Sima, L.E.; Icriverzi, M.; Filipescu, M.; Moldovan, A.; Popescu, A.; Dinca, V.; Dinescu, M. Pyramidal shaped ceria nano-biointerfaces for studying the early bone cell response. Appl. Surf. Sci. 2020, 533, 147464. [Google Scholar] [CrossRef]
- Li, J.; Kang, F.; Gong, X.; Bai, Y.; Dai, J.; Zhao, C.; Dou, C.; Cao, Z.; Liang, M.; Dong, R.; et al. Ceria nanoparticles enhance endochondral ossification-based critical-sized bone defect regeneration by promoting the hypertrophic differentiation of BMSCs via DHX15 activation. FASEB J. 2019, 33, 6378–6389. [Google Scholar] [CrossRef] [PubMed]
- Jun, S.-K.; Yoon, J.-Y.; Mahapatra, C.; Park, J.H.; Kim, H.-W.; Kim, H.-R.; Lee, J.-H.; Lee, H.-H. Ceria-incorporated MTA for accelerating odontoblastic differentiation via ROS downregulation. Dent. Mater. 2019, 35, 1291–1299. [Google Scholar] [CrossRef]
- Wu, H.; Li, F.; Shao, W.; Gao, J.; Ling, D. Promoting angiogenesis in oxidative diabetic wound microenvironment using a nanozyme-reinforced self-protecting hydrogel. ACS Cent. Sci. 2019, 5, 477–485. [Google Scholar] [CrossRef]
- Kandasamy, S.; Zhang, B.; He, Z.; Chen, H.; Feng, H.; Wang, Q.; Wang, B.; Ashokkumar, V.; Siva, S.; Bhuvanendran, N.; et al. Effect of low-temperature catalytic hydrothermal liquefaction of Spirulina platensis. Energy 2020, 190, 116236. [Google Scholar] [CrossRef]
- Kohansal, K.; Tavasoli, A.; Bozorg, A. Using a hybrid-like supported catalyst to improve green fuel production through hydrothermal liquefaction of Scenedesmus obliquus microalgae. Bioresour. Technol. 2019, 277, 136–147. [Google Scholar] [CrossRef]
- Chen, D.; Ma, Q.; Wei, L.; Li, N.; Shen, Q.; Tian, W.; Zhou, J.; Long, J. Catalytic hydroliquefaction of rice straw for bio-oil production using Ni/CeO2 catalysts. J. Anal. Appl. Pyrolysis 2018, 130, 169–180. [Google Scholar] [CrossRef]
- Deka, K.; Nath, N.; Saikia, B.K.; Deb, P. Kinetic analysis of ceria nanoparticle catalysed efficient biomass pyrolysis for obtaining high-quality bio-oil. J. Therm. Anal. Calorim. 2017, 130, 1875–1883. [Google Scholar] [CrossRef]
- Marin, C.M.; Li, L.; Bhalkikar, A.; Doyle, J.E.; Zeng, X.C.; Cheung, C.L. Kinetic and mechanistic investigations of the direct synthesis of dimethyl carbonate from carbon dioxide over ceria nanorod catalysts. J. Catal. 2016, 340, 295–301. [Google Scholar] [CrossRef]
- Zhao, X.; Suo, H.; Zhang, Z.; Guo, C. Upconverting CeO2: Yb3+/Tm3+ hollow nanospheres for photo-thermal sterilization and deep-tissue imaging in the first biological window. Ceram. Int. 2019, 45, 21910–21916. [Google Scholar] [CrossRef]
- Shehata, N.; Samir, E.; Gaballah, S.; Hamed, A.; Saad, M.; Salah, M. Fluorescent nanocomposite of embedded ceria nanoparticles in electrospun chitosan nanofibers. J. Fluoresc. 2017, 27, 767–772. [Google Scholar] [CrossRef]
- Garcia, A.M.; Melchionna, M.; Bellotto, O.; Kralj, S.; Semeraro, S.; Parisi, E.; Iglesias, D.; D’Andrea, P.; De Zorzi, R.; Vargiu, A.V.; et al. Nanoscale assembly of functional peptides with divergent programming elements. ACS Nano 2021, 15, 3015–3025. [Google Scholar] [CrossRef]
- Rozhin, P.; Charitidis, C.; Marchesan, S. Self-assembling peptides and carbon nanomaterials join forces for innovative biomedical applications. Molecules 2021, 26, 4084. [Google Scholar] [CrossRef] [PubMed]
- Sibhghatulla, S.; Nazia, N.; Syed Mohd Danish, R.; Talib, H.; Aisha, F.; Inho, C. Anti-amyloid aggregating gold nanoparticles: Can they really be translated from bench to bedside for Alzheimer’s disease treatment? Curr. Prot. Pept. Sci. 2020, 21, 1184–1192. [Google Scholar] [CrossRef]
- Zand, Z.; Khaki, P.A.; Salihi, A.; Aziz, F.M.; Salihi, A.; Sharifi, M.; Falahati, M.; Sharifi, M.; Qadir, N.N.M.; Qadir, N.N.M.; et al. Cerium oxide NPs mitigate the amyloid formation of α-synuclein and associated cytotoxicity. Int. J. Nanomed. 2019, 14, 6989–7000. [Google Scholar] [CrossRef]
- Marchesan, S.; Ballerini, L.; Prato, M. Nanomaterials for stimulating nerve growth. Science 2017, 356, 1010. [Google Scholar] [CrossRef]
- Kim, D.; Kwon, H.J.; Hyeon, T.; Kim, D.; Kwon, H.J.; Hyeon, T. Magnetite/ceria nanoparticle assemblies for extracorporeal cleansing of amyloid-β in Alzheimer’s disease. Adv. Mater. 2019, 31, e1807965. [Google Scholar] [CrossRef]
- Deng, X.-Y.; Cheng, J.; Hu, X.-L.; Wang, L.; Li, D.; Gao, K. Biological effects of TiO2 and CeO2 nanoparticles on the growth, photosynthetic activity, and cellular components of a marine diatom Phaeodactylum tricornutum. Sci. Total Environ. 2017, 575, 87–96. [Google Scholar] [CrossRef]
- Taylor, N.S.; Merrifield, R.; Williams, T.D.; Chipman, J.K.; Lead, J.R.; Viant, M.R. Molecular toxicity of cerium oxide nanoparticles to the freshwater alga Chlamydomonas reinhardtii is associated with supra-environmental exposure concentrations. Nanotoxicology 2016, 10, 32–41. [Google Scholar] [CrossRef]
- Koehle-Divo, V.; Pain-Devin, S.; Bertrand, C.; Devin, S.; Mouneyrac, C.; Giamberini, L.; Sohm, B. Corbicula fluminea gene expression modulated by CeO2; nanomaterials and salinity. Environ. Sci. Pollut. Res. 2019, 26, 15174–15186. [Google Scholar] [CrossRef]
- Sendra, M.; Volland, M.; Balbi, T.; Fabbri, R.; Yeste, M.P.; Gatica, J.M.; Canesi, L.; Blasco, J. Cytotoxicity of CeO2 nanoparticles using in vitro assay with Mytilus galloprovincialis hemocytes: Relevance of zeta potential, shape and biocorona formation. Aquat. Toxicol. 2018, 200, 13–20. [Google Scholar] [CrossRef]
- Noventa, S.; Hacker, C.; Rowe, D.; Elgy, C.; Galloway, T. Dissolution and bandgap paradigms for predicting the toxicity of metal oxide nanoparticles in the marine environment: An in vivo study with oyster embryos. Nanotoxicology 2018, 12, 63–78. [Google Scholar] [CrossRef] [PubMed]
- Sizochenko, N.; Leszczynska, D.; Leszczynski, J. Modeling of interactions between the zebrafish hatching enzyme ZHE1 and A series of metal oxide nanoparticles: Nano-QSAR and causal analysis of inactivation mechanisms. Nanomaterials 2017, 7, 330. [Google Scholar] [CrossRef]
- Milenkovic, I.; Radotic, K.; Despotovic, J.; Nikolic, A.; Loncarevic, B.; Ljesevic, M.; Spasic, S.Z.; Beskoski, V.P. Toxicity investigation of CeO2 nanoparticles coated with glucose and exopolysaccharides levan and pullulan on the bacterium Vibrio fischeri and aquatic organisms Daphnia magna and Danio rerio. Aquat. Toxicol. 2021, 236, 105867. [Google Scholar] [CrossRef]
- Lawrence, J.R.; Swerhone, G.D.W.; Roy, J.; Paule, A.; Grigoryan, A.A.; Chekabab, S.M.; Korber, D.R.; Dynes, J.J. Microscale and molecular analyses of river biofilm communities treated with microgram levels of cerium oxide nanoparticles indicate limited but significant effects. Environ. Pollut. 2020, 256, 113515. [Google Scholar] [CrossRef]
- Servin, A.D.; De la Torre-Roche, R.; Castillo-Michel, H.; Pagano, L.; Hawthorne, J.; Musante, C.; Pignatello, J.; Uchimiya, M.; White, J.C. Exposure of agricultural crops to nanoparticle CeO2 in biochar-amended soil. Plant Physiol. Biochem. 2017, 110, 147–157. [Google Scholar] [CrossRef]
- Barrios, A.C.; Medina-Velo, I.A.; Zuverza-Mena, N.; Dominguez, O.E.; Peralta-Videa, J.R.; Gardea-Torresdey, J.L. Nutritional quality assessment of tomato fruits after exposure to uncoated and citric acid coated cerium oxide nanoparticles, bulk cerium oxide, cerium acetate and citric acid. Plant Physiol. Biochem. 2017, 110, 100–107. [Google Scholar] [CrossRef]
- Zhang, P.; Xie, C.; Ma, Y.; He, X.; Zhang, Z.; Ding, Y.; Zheng, L.; Zhang, J. Shape-dependent transformation and translocation of ceria nanoparticles in cucumber plants. Environ. Sci. Technol. Lett. 2017, 4, 380–385. [Google Scholar] [CrossRef]
- Ma, Y.; Xie, C.; He, X.; Zhang, B.; Yang, J.; Sun, M.; Luo, W.; Feng, S.; Zhang, J.; Wang, G.; et al. Effects of ceria nanoparticles and CeCl3 on plant growth, biological and physiological parameters, and nutritional value of soil grown common bean (Phaseolus vulgaris). Small 2020, 16, 1907435. [Google Scholar] [CrossRef] [PubMed]
- Maqbool, Q. Green-synthesised cerium oxide nanostructures (CeO2-NS) show excellent biocompatibility for phyto-cultures as compared to silver nanostructures (Ag-NS). RSC Adv. 2017, 7, 56575–56585. [Google Scholar] [CrossRef]
- Reichman, J.R.; Rygiewicz, P.T.; Johnson, M.G.; Bollman, M.A.; Smith, B.M.; Krantz, Q.T.; King, C.J.; Andersen, C.P. Douglas-Fir (Pseudotsuga menziesii (Mirb.) Franco) Transcriptome profile changes induced by diesel emissions generated with CeO2 nanoparticle fuel borne catalyst. Environ. Sci. Technol. 2018, 52, 10067–10077. [Google Scholar] [CrossRef]
- Tumburu, L.; Andersen, C.P.; Rygiewicz, P.T.; Reichman, J.R. Molecular and physiological responses to titanium dioxide and cerium oxide nanoparticles in Arabidopsis. Environ. Toxicol. Chem. 2017, 36, 71–82. [Google Scholar] [CrossRef] [PubMed]
- You, T.; Liu, D.; Chen, J.; Yang, Z.; Dou, R.; Gao, X.; Wang, L. Effects of metal oxide nanoparticles on soil enzyme activities and bacterial communities in two different soil types. J. Soils Sediments 2018, 18, 211–221. [Google Scholar] [CrossRef]
- Stowers, C.; King, M.; Rossi, L.; Zhang, W.; Arya, A.; Ma, X. Initial sterilization of soil affected interactions of cerium oxide nanoparticles and soybean seedlings (Glycine max (L.) Merr.) in a Greenhouse study. ACS Sustain. Chem. Eng. 2018, 6, 10307–10314. [Google Scholar] [CrossRef]
- Xie, C.; Ma, Y.; Yang, J.; Zhang, B.; Luo, W.; Feng, S.; Zhang, J.; Wang, G.; He, X.; Zhang, Z. Effects of foliar applications of ceria nanoparticles and CeCl3 on common bean (Phaseolus vulgaris). Environ. Pollut. 2019, 250, 530–536. [Google Scholar] [CrossRef]
- Cotena, M.; Auffan, M.; Tassistro, V.; Resseguier, N.; Rose, J.; Perrin, J. In vitro co-exposure to CeO2 nanomaterials from diesel engine exhaust and benzo(a)pyrene induces additive DNA damage in sperm and cumulus cells but not in oocytes. Nanomaterials 2021, 11, 478. [Google Scholar] [CrossRef] [PubMed]
- Preaubert, L.; Tassistro, V.; Auffan, M.; Sari-Minodier, I.; Rose, J.; Courbiere, B.; Perrin, J. Very low concentration of cerium dioxide nanoparticles induce DNA damage, but no loss of vitality, in human spermatozoa. Toxicol. Vitro 2018, 50, 236–241. [Google Scholar] [CrossRef]
- Cotena, M.; Auffan, M.; Robert, S.; Tassistro, V.; Resseguier, N.; Rose, J.; Perrin, J. CeO2 nanomaterials from diesel engine exhaust induce DNA damage and oxidative stress in human and rat sperm in vitro. Nanomaterials 2020, 10, 2327. [Google Scholar] [CrossRef]
- Sundararajan, V.; Dan, P.; Kumar, A.; Venkatasubbu, G.D.; Ichihara, S.; Ichihara, G.; Sheik Mohideen, S. Drosophila melanogaster as an in vivo model to study the potential toxicity of cerium oxide nanoparticles. Appl. Surf. Sci. 2019, 490, 70–80. [Google Scholar] [CrossRef]
- Cappellini, F.; Di Bucchianico, S.; Karri, V.; Latvala, S.; Malmloef, M.; Kippler, M.; Elihn, K.; Hedberg, J.; Wallinder, I.O.; Gerde, P.; et al. Dry generation of CeO2 nanoparticles and deposition onto a co-culture of A549 and THP-1 cells in air-liquid interface-dosimetry considerations and comparison to submerged exposure. Nanomaterials 2020, 10, 618. [Google Scholar] [CrossRef]
- Wu, J.; Ma, Y.; Ding, Y.; Zhang, P.; He, X.; Zhang, Z. Toxicity of two different size ceria nanoparticles to mice after repeated intranasal instillation. J. Nanosci. Nanotechnol. 2019, 19, 2474–2482. [Google Scholar] [CrossRef]
- Nemmar, A.; Al-Salam, S.; Beegam, S.; Yuvaraju, P.; Ali, B.H. Aortic oxidative stress, inflammation and DNA damage following pulmonary exposure to cerium oxide nanoparticles in a rat model of vascular injury. Biomolecules 2019, 9, 376. [Google Scholar] [CrossRef]
- Yang, Y.; Xu, L.; Dekkers, S.; Zhang, L.G.; Cassee, F.R.; Zuo, Y.Y. Aggregation state of metal-based nanomaterials at the pulmonary surfactant film determines biophysical inhibition. Environ. Sci. Technol. 2018, 52, 8920–8929. [Google Scholar] [CrossRef]
- Cordelli, E.; Keller, J.; Eleuteri, P.; Villani, P.; Ma-Hock, L.; Schulz, M.; Landsiedel, R.; Pacchierotti, F. No genotoxicity in rat blood cells upon 3- or 6-month inhalation exposure to CeO2 or BaSO4 nanomaterials. Mutagenesis 2017, 32, 13–22. [Google Scholar] [CrossRef][Green Version]
- Mauro, M.; Crosera, M.; Monai, M.; Montini, T.; Fornasiero, P.; Bovenzi, M.; Adami, G.; Turco, G.; Larese Filon, F. Cerium oxide nanoparticles absorption through intact and damaged human skin. Molecules 2019, 24, 3759. [Google Scholar] [CrossRef]
- Del, T.S.; Caselli, C.; Sabatino, L.; Basta, G.; Ciofani, G.; Ciofani, G.; Cappello, V.; Parlanti, P.; Gemmi, M.; Ragusa, R.; et al. Effects of cerium oxide nanoparticles on hemostasis: Coagulation, platelets, and vascular endothelial cells. J. Biomed. Mater. Res. A 2019, 107, 1551–1562. [Google Scholar]
- Gliga, A.R.; Edoff, K.; Caputo, F.; Kaellman, T.; Blom, H.; Karlsson, H.L.; Ghibelli, L.; Traversa, E.; Ceccatelli, S.; Fadeel, B. Cerium oxide nanoparticles inhibit differentiation of neural stem cells. Sci. Rep. 2017, 7, 9284. [Google Scholar] [CrossRef]
- Acharya, S.; Lu, B.; Edwards, S.; Toh, C.; Petersen, A.; Yong, C.; Lyu, P.; Huang, A.; Schmidt, J. Disruption of artificial lipid bilayers in the presence of transition metal oxide and rare earth metal oxide nanoparticle. J. Phys. D Appl. Phys. 2019, 52, 044002. [Google Scholar] [CrossRef]
- Rivero Arze, A.; Manier, N.; Chatel, A.; Mouneyrac, C. Characterization of the nano-bio interaction between metallic oxide nanomaterials and freshwater microalgae using flow cytometry. Nanotoxicology 2020, 14, 1082–1095. [Google Scholar] [CrossRef]
- Li, H.; Xia, P.; Pan, S.; Qi, Z.; Fu, C.; Yu, Z.; Kong, W.; Chang, Y.; Wang, K.; Wu, D.; et al. The advances of ceria nanoparticles for biomedical applications in orthopaedics. Int. J. Nanomed. 2020, 15, 7199–7214. [Google Scholar] [CrossRef]
- Jeong, H.-G.; Cha, B.G.; Kang, D.-W.; Kim, D.Y.; Yang, W.; Ki, S.-K.; Kim, S.I.; Han, J.; Kim, C.K.; Kim, J.; et al. Ceria nanoparticles fabricated with 6-aminohexanoic acid that overcome systemic inflammatory response syndrome. Adv. Healthc. Mater. 2019, 8, 1801548. [Google Scholar] [CrossRef]
- Choi, S.W.; Kim, J. Recent progress in autocatalytic ceria nanoparticles-based translational research on brain diseases. ACS Appl. Nano Mater. 2020, 3, 1043–1062. [Google Scholar] [CrossRef]
- Banavar, S.; Deshpande, A.; Sur, S.; Andreescu, S. Ceria nanoparticle theranostics: Harnessing antioxidant properties in biomedicine and beyond. J. Phys. Mater. 2021, 4, 042003. [Google Scholar] [CrossRef]
- Hüttig, F.; Keitel, J.P.; Prutscher, A.; Spintzyk, S.; Klink, A. Fixed dental prostheses and single-tooth crowns based on ceria-stabilized tetragonal zirconia/alumina nanocomposite frameworks: Outcome after 2 Years in a clinical trial. Int. J. Prosthodont. 2017, 30, 461–464. [Google Scholar] [CrossRef] [PubMed]
- Adorinni, S.; Cringoli, M.C.; Perathoner, S.; Fornasiero, P.; Marchesan, S. Green approaches to carbon nanostructure-based biomaterials. Appl. Sci. 2021, 11, 2490. [Google Scholar] [CrossRef]
- Castillo-Henríquez, L.; Alfaro-Aguilar, K.; Ugalde-Álvarez, J.; Vega-Fernández, L.; Montes de Oca-Vásquez, G.; Vega-Baudrit, J.R. Green synthesis of gold and silver nanoparticles from plant extracts and their possible applications as antimicrobial agents in the agricultural area. Nanomaterials 2020, 10, 1763. [Google Scholar] [CrossRef]
- Corra, S.; Shoshan, M.S.; Wennemers, H. Peptide mediated formation of noble metal nanoparticles-controlling size and spatial arrangement. Curr. Opin. Chem. Biol. 2017, 40, 138–144. [Google Scholar] [CrossRef] [PubMed]
- Brambila, C.; Sayle, D.C.; Molinari, M.; Nutter, J.; Flitcroft, J.M.; Sayle, T.X.T.; Sakthivel, T.; Seal, S.; Möbus, G. Tomographic study of mesopore formation in ceria nanorods. J. Phys. Chem. C 2021, 125, 10077–10089. [Google Scholar] [CrossRef] [PubMed]
- Seal, S.; Jeyaranjan, A.; Neal, C.J.; Kumar, U.; Sakthivel, T.S.; Sayle, D.C. Engineered defects in cerium oxides: Tuning chemical reactivity for biomedical, environmental, & energy applications. Nanoscale 2020, 12, 6879–6899. [Google Scholar] [CrossRef]
- Bellotto, O.; Cringoli, M.C.; Perathoner, S.; Fornasiero, P.; Marchesan, S. Peptide gelators to template inorganic nanoparticle formation. Gels 2021, 7, 14. [Google Scholar] [CrossRef]
- Cringoli, M.C.; Marchesan, S.; Melchionna, M.; Fornasiero, P. Nanostructured gels for energy and environmental applications. Molecules 2020, 25, 5620. [Google Scholar] [CrossRef]
- Centomo, P.; Zecca, M.; Biffis, A. Cross-linked polymers as scaffolds for the low-temperature preparation of nanostructured metal oxides. Chem.—Eur. J. 2020, 26, 9243–9260. [Google Scholar] [CrossRef]
- Jahović, I.; Zou, Y.-Q.; Adorinni, S.; Nitschke, J.R.; Marchesan, S. Cages meet gels: Smart materials with dual porosity. Matter 2021, 4, 2123–2140. [Google Scholar] [CrossRef]
- Sener, G.; Hilton, S.A.; Osmond, M.J.; Zgheib, C.; Newsom, J.P.; Dewberry, L.; Singh, S.; Sakthivel, T.S.; Seal, S.; Liechty, K.W.; et al. Injectable, self-healable zwitterionic cryogels with sustained microRNA—Cerium oxide nanoparticle release promote accelerated wound healing. Acta Biomater. 2020, 101, 262–272. [Google Scholar] [CrossRef]
- Zheng, N.; Xu, Y.; Zhao, Q.; Xie, T. Dynamic covalent polymer networks: A molecular platform for designing functions beyond chemical recycling and self-healing. Chem. Rev. 2021, 121, 1716–1745. [Google Scholar] [CrossRef] [PubMed]
- Adorinni, S.; Rozhin, P.; Marchesan, S. Smart hydrogels meet carbon nanomaterials for new frontiers in medicine. Biomedicines 2021, 9, 570. [Google Scholar] [CrossRef]
- Soto, F.; Karshalev, E.; Zhang, F.; Esteban Fernandez de Avila, B.; Nourhani, A.; Wang, J. Smart materials for microrobots. Chem. Rev. 2021. [Google Scholar] [CrossRef] [PubMed]














| Biotemplate Class | Biomolecule | Ceria Nanomorphology | Crystallite Size (nm) | Ceria NP Size (nm) | Application | Reference |
|---|---|---|---|---|---|---|
| Carbohydrates | Alginate | Spherical | 3–5 | 40–200 | Antioxidant | [31] |
| Cellulose | Nanoparticles | 8 | 7–10 | Catalysis | [32] | |
| Chitosan | Spherical | 8 | 24 | Bioimaging | [33] | |
| Cyclodextrin | Nanoparticles | n.a. | 61 | Antioxidant | [34] | |
| Starch | Irregular | 7–8 | 7–13 | Catalysis | [35] | |
| Catechols | PDA 1 NPs | Spherical | 10 | 180 | Catalysis | [36] |
| rGO@PDA 1,2,3 | Nanosheets | n.a. | 3–4 | Biosensing | [37] | |
| Gallate | Nanoflowers | 8–13 | n.a. | Detection | [38] | |
| Carboxylic acids | Citric acid | Nanocrystals | 11–35 | n.a. | Catalysis | [39] |
| Phosphates | DNA | Nanocrystals | 5 ± 1 | 5 ± 1 | Antioxidant | [40] |
| DNA | Nanocrystals | 6 ± 2 | 6–18 nm | Optoelectronics | [41] | |
| DNA | Nanocrystals | n.a. | 50–400 | Catalysis | [42] | |
| Phytic acid | Nanosheets | n.a. | n.a. | Flame retardant | [43] | |
| Proteins | Albumin | Nanoparticles | n.a. | 15 | Antioxidant | [44] |
| Albumin | Spherical, Nanochains | 2 | 2–100 | Catalysis | [45] | |
| Apoferritin | Nanocrystals | 5.0 ± 0.7 | 5.0 ± 0.7 | Catalysis | [46] | |
| Ferritin | Spherical | n.a. | 7 | Catalysis | [47] | |
| Silicatein | Nanocrystals | <3 | 2.56 ± 0.38 | Catalysis | [48] |
Publisher’s Note: MDPI stays neutral with regard to jurisdictional claims in published maps and institutional affiliations. |
© 2021 by the authors. Licensee MDPI, Basel, Switzerland. This article is an open access article distributed under the terms and conditions of the Creative Commons Attribution (CC BY) license (https://creativecommons.org/licenses/by/4.0/).
Share and Cite
Rozhin, P.; Melchionna, M.; Fornasiero, P.; Marchesan, S. Nanostructured Ceria: Biomolecular Templates and (Bio)applications. Nanomaterials 2021, 11, 2259. https://doi.org/10.3390/nano11092259
Rozhin P, Melchionna M, Fornasiero P, Marchesan S. Nanostructured Ceria: Biomolecular Templates and (Bio)applications. Nanomaterials. 2021; 11(9):2259. https://doi.org/10.3390/nano11092259
Chicago/Turabian StyleRozhin, Petr, Michele Melchionna, Paolo Fornasiero, and Silvia Marchesan. 2021. "Nanostructured Ceria: Biomolecular Templates and (Bio)applications" Nanomaterials 11, no. 9: 2259. https://doi.org/10.3390/nano11092259
APA StyleRozhin, P., Melchionna, M., Fornasiero, P., & Marchesan, S. (2021). Nanostructured Ceria: Biomolecular Templates and (Bio)applications. Nanomaterials, 11(9), 2259. https://doi.org/10.3390/nano11092259

