Some Thermoelectric Phenomena in Copper Chalcogenides Replaced by Lithium and Sodium Alkaline Metals
Abstract
1. Introduction
2. Materials
2.1. Crystal Structure and Phase Transitions
2.1.1. Cu-S System
2.1.2. Cu-Na-S System
Solid Solutions on Base of Copper Sulfide
Binary Compounds of Na-S System
Na2Cu4S3
NaCu5S3
NaCu4S4
2.1.3. Cu-Li-S System
Li2S
Solid Solutions on Base of Copper Sulfide
LiCuS
2.2. Methods for Synthesis of Perspective Thermoelectric Materials
3. Transport Phenomena in Mixed Electron–Ion Conductors
3.1. Electrical Properties of Copper Sulfide and Its Alloys
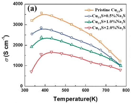
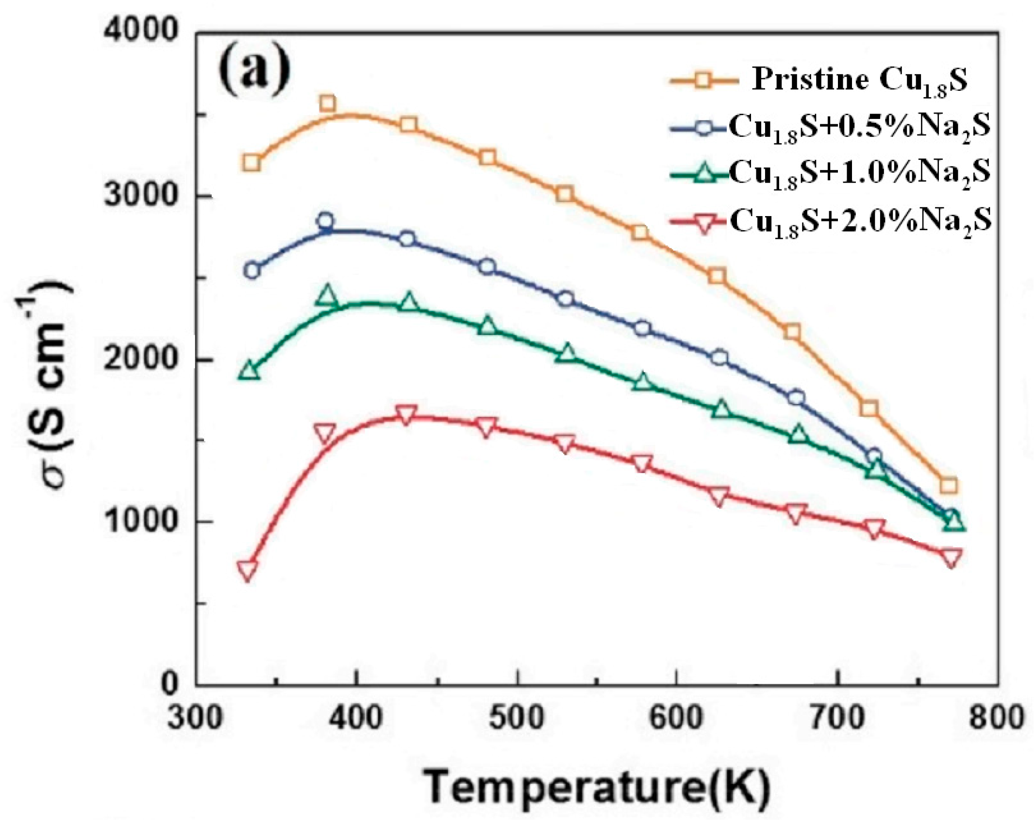
- (a)
- The disordered crystal structure of the studied chalcogenides leads to the fact that besides the background of the periodic potential of the anionic sublattice, charge carriers are exposed to the fluctuation potential of the cation sublattice; thus, the description of the phenomena of the transfer of electrons and holes faces the same problems as in non-crystalline solids and liquids [118]. The specificity lies in the description of the total effect of two sublattices—periodic and disordered, on electrons and holes. In this case, (polaron) effects associated with the localization of electronic wave functions (Anderson transition) become possible in the electronic system [119]. The existence of similar localized states as applied to intercalate chalcogenides with a two-dimensional character of conductivity was studied, for example, in the works of A.N. Titov [120] and Yarmoshenko Y.M. [121].
- (b)
- The ease of “overflow” of cations over the voids of the anion framework with a change in temperature or a change in the nonstoichiometry of the composition leads to a smearing of phase transitions and a continuous change in the parameters of the band structure during this redistribution (change in the effective mass of carriers, width of the gap), etc.
- (c)
- The anharmonicity of vibrations of atoms of the crystal lattice and high coefficients of self-diffusion in a disordered sublattice call into question the applicability of the developed theory of scattering of current carriers in semiconductors in the harmonic approximation. The temperature dependences of the electron and hole mobilities must be refined experimentally and new approaches to their theoretical description must be sought.
3.1.1. Electronic Conductivity
3.1.2. Ionic Conductivity
3.2. Seebeck Coefficient and Thermal Conductivity
3.2.1. Seebeck Effect
Cu2Se
Сu2−δS
Сu2-δTe
3.2.2. Thermal Conductivity
3.2.3. Possibilities of Practical Application of Copper Chalcogenides and Its Alloys
4. Conclusions and Suggestions
Funding
Conflicts of Interest
References
- Liu, H.; Shi, X.; Xu, F.; Zhang, L.; Zhang, W.; Chen, L.; Li, Q.; Uher, C.; Day, T.; Snyder, J. Copper ion liquid-like thermoelectrics. Nat. Mater. 2012, 11, 422–425. [Google Scholar] [CrossRef]
- Qiu, P.; Shi, X.; Chen, L. Cu-based thermoelectric materials. Energy Storage Mater. 2016, 3, 85–97. [Google Scholar] [CrossRef]
- Dmitriev, A.V.; Zvyagin, I.P. Current trends in the physics of thermoelectric materials. Physics-Uspekhi 2010, 53, 789–803. [Google Scholar] [CrossRef]
- Mao, J.; Liu, Z.; Zhou, J.; Zhu, H.; Zhang, Q.; Chen, G.; Ren, Z. Advances in thermoelectrics. Adv. Phys. 2018, 67, 69–147. [Google Scholar] [CrossRef]
- Gorbachev, V.V. Poluprovodnikovy’e Soedineniya; Metallurgiya: Moscow, Russia, 1980; 132p. (In Russian) [Google Scholar]
- El Akkad, F.; Mansour, B.; Hendeya, T. Electrical and thermoelectric properties of Cu2Se and Cu2S. Mater. Res. Bull. 1981, 16, 535–539. [Google Scholar] [CrossRef]
- Konev, V.N.; Bikkin, K.M.; Fomenkov, S.A. Thermo-e.m.f. of Cu2-δX (X-S, Se). Inorg. Mater. 1983, 19, 1066–1069. [Google Scholar]
- Brown, D.R.; Day, T.; Caillat, T.; Snyder, J. Chemical Stability of (Ag, Cu)2Se: A Historical Overview. J. Electron. Mater. 2013, 42, 2014–2019. [Google Scholar] [CrossRef]
- Korzhuev, M.A.; Laptev, A.V. Effekty izmeneniya sostava obrazczov superionnogo Cu2-xSe pod dejstviem elektricheskogo toka. Zhurnal Tekhnicheskoj Fiz. (USSR) 1989, 59, 62–66. (In Russian) [Google Scholar]
- Korzhuev, M.A. Inhibition of the growth of excrescences in mixed electronic-ionic conductors. Tech. Phys. 1998, 43, 1333–1337. [Google Scholar] [CrossRef]
- Slack, G.A. CRC Handbook of Thermoelectricity; CRC Press: Cardiff, UK, 1995; p. 157. [Google Scholar]
- Qin, P.; Qian, X.; Ge, Z.-H.; Zheng, L.; Feng, J.; Zhao, L.-D. Improvements of thermoelectric properties for p-type Cu1.8S bulk materials via optimizing the mechanical alloying process. Inorg. Chem. Front. 2017, 4, 1192–1199. [Google Scholar] [CrossRef]
- Zhao, L.; Fei, F.Y.; Wang, J.; Wang, F.; Wang, C.; Li, J.; Wang, J.; Cheng, Z.; Dou, S.X.; Wang, X. Improvement of thermoelectric properties and their correlations with electron effective mass in Cu1.98SxSe1−x. Sci. Rep. 2017, 7, 40436. [Google Scholar] [CrossRef] [PubMed]
- Tang, Y.-Q.; Ge, Z.-H.; Feng, J. Synthesis and Thermoelectric Properties of Copper Sulfides via Solution Phase Methods and Spark Plasma Sintering. Crystals 2017, 7, 141. [Google Scholar] [CrossRef]
- Zhao, L.-L.; Wang, X.-L.; Wang, J.-Y.; Cheng, Z.; Dou, S.X.; Wang, J.; Liu, L.-Q. Superior intrinsic thermoelectric performance with zT of 1.8 in single-crystal and melt-quenched highly dense Cu2-xSe bulks. Sci. Rep. 2015, 5, 7671. [Google Scholar] [CrossRef]
- Gahtori, B.; Bathula, S.; Tyagi, K.; Jayasimhadri, M.; Srivastava, A.; Singh, S.; Budhani, R.; Dhar, A. Giant enhancement in thermoelectric performance of copper selenide by incorporation of different nanoscale dimensional defect features. Nano Energy 2015, 13, 36–46. [Google Scholar] [CrossRef]
- Zhao, L.; Wang, X.; Fei, F.Y.; Wang, J.; Cheng, Z.; Dou, S.X.; Wang, J.; Snyder, J. High thermoelectric and mechanical performance in highly dense Cu2-xS bulks prepared by a melt-solidification technique. J. Mater. Chem. A 2015, 3, 9432–9437. [Google Scholar] [CrossRef]
- Dennler, G.; Chmielowski, R.; Jacob, S.; Capet, F.; Roussel, P.; Zastrow, S.; Nielsch, K.; Opahle, I.; Madsen, G.K.H. Are Binary Copper Sulfides/Selenides Really New and Promising Thermoelectric Materials? Adv. Energy Mater. 2014, 4, 1301581. [Google Scholar] [CrossRef]
- Ivanov-Shicz, A.K.; Murin, I.V. Ionika Tverdogo Tela; Izdatelstvo Sankt-Peterburgskogo Universiteta: St. Petersburg, Russia, 2000; Volume 1, 616p. (In Russian) [Google Scholar]
- Berezin, V.M.; Vyatkin, G.P. Superionnye Poluprovodnikovye Khalkogenidy; Yu.-UrGU: Chelyabinsk, Russia, 2001; 135p. [Google Scholar]
- Shahi, K. Transport studies on superionic conductors. Phys. Status Solidi 1977, 41, 11–44. [Google Scholar] [CrossRef]
- Balapanov, M.K.; Nadejzdina, A.F.; Yakshibayev, R.A.; Lukmanov, D.R.; Gabitova, R.J. Ionic conductivity and chemical diffusion in LixCu2-xSe superionic alloys. Ionics 1999, 5, 20–22. [Google Scholar] [CrossRef]
- Balapanov, M.K.; Bikkulova, N.N.; Mukhamedyanov, U.K.; Asilguschina, G.N.; Musalimov, R.S.; Zeleev, M.K. Phase transitions and transport phenomena in Li0.25Cu1.75Se superionic compound. Phys. Status Solidi 2004, 241, 3517–3524. [Google Scholar] [CrossRef]
- Balapanov, M.K.; Gafurov, I.G.; Mukhamed’Yanov, U.K.; Yakshibaev, R.A.; Ishembetov, R.K. Ionic conductivity and chemical diffusion in superionic LixCu2-xS (0 ≤ x ≤ 0.25). Phys. Stat. Sol. 2004, 241, 114–119. [Google Scholar] [CrossRef]
- Balapanov, M.K.; Yakshibaev, R.A.; Gafurov, I.G.; Ishembetov, R.K.; Kagarmanov, S.M. Superionic conductivity and crystal structure of LixCu2-xS alloys. Bull. Russ. Acad. Sci. Phys. 2005, 69, 623–626. [Google Scholar]
- Balapanov, M.K.; Zinnurov, I.B.; Mukhamed’Yanov, U.K. Ionic conduction and chemical diffusion in solid solutions of superionic conductors Cu2X-Me2X (Me = Ag, Li; X = S, Se). Russ. J. Electrochem. 2007, 43, 585–589. [Google Scholar] [CrossRef]
- Balapanov, M.K. Grain size effect on diffusion processes in superionic phases Cu1.75Se, Li0.25 Cu1.75Se, and Li0.25 Cu1.75S. Russ. J. Electrochem. 2007, 43, 590–594. [Google Scholar] [CrossRef]
- Ishembetov, R.K.; Balapanov, M.K.; Yulaeva, Y.K. Electronic Peltier effect in LixCu(2−x)-δS. Russ. J. Electrochem. 2011, 47, 416–419. [Google Scholar] [CrossRef]
- Balapanov, M.K.; Ishembetov, R.K.; Kuterbekov, K.A.; Nurakhmetov, T.N.; Urazaeva, E.K.; Yakshibaev, R.A. Influence of the cation sublattice defectness on the electronic thermoelectric power of LixCu(2−x)-δS(x ≤ 0.25). Inorg. Mater. 2014, 50, 930–933. [Google Scholar] [CrossRef]
- Kang, S.D.; Pöhls, J.-H.; Aydemir, U.; Qiu, P.; Stoumpos, C.; Hanus, R.; White, M.A.; Shi, X.; Chen, L.; Kanatzidis, M.G.; et al. Enhanced stability and thermoelectric figure-of-merit in copper selenide by lithium doping. Mater. Today Phys. 2017, 1, 7–13. [Google Scholar] [CrossRef]
- Ge, Z.-H.; Liu, X.; Feng, D.; Lin, J.; He, J. High-Performance Thermoelectricity in Nanostructured Earth-Abundant Copper Sulfides Bulk Materials. Adv. Energy Mater. 2016, 6, 1600607. [Google Scholar] [CrossRef]
- Xiao, X.-X.; Xie, W.-J.; Tang, X.-F.; Zhang, Q.-J. Phase transition and high temperature thermoelectric properties of copper selenide Cu2-xSe (0 ≤ x ≤ 0.25). Chin. Phys. 2011, 20, 087201. [Google Scholar] [CrossRef]
- Balapanov, M.; Zinnurov, I.; Akmanova, G. The ionic Seebeck effect and heat of cation transfer in Cu2−δSe superionic conductors. Physics of the Solid State. 2006, 48, 1868–1871. [Google Scholar] [CrossRef]
- Liu, H.; Shi, X.; Kirkham, M.; Wang, H.; Li, Q.; Uher, C.; Zhang, W.; Chen, L. Structure-transformation-induced abnormal thermoelectric properties in semiconductor copper selenide. Mater. Lett. 2013, 93, 121–124. [Google Scholar] [CrossRef]
- Balapanov, M.K.; Ishembetov, R.K.; Kuterbekov, K.A.; Kubenova, M.M.; Danilenko, V.N.; Nazarov, K.; Yakshibaev, R.A. Thermoelectric and thermal properties of superionic AgxCu2-xSe (x = 0.01, 0.02, 0.03, 0.04, 0.25) compounds. Lett. Mater. 2016, 6, 360–365. [Google Scholar] [CrossRef]
- Balapanov, M.; Kubenova, M.; Kuterbekov, K.; Kozlovskiy, A.; Nurakov, S.; Ishembetov, R.; Yakshibaev, R. Phase analysis, thermal and thermoelectric properties of nanocrystalline Na0.15Cu1.85S, Na0.17Cu1.80S, Na0.20Cu1.77S alloys. Eurasian J. Phys. Funct. Mater. 2018, 2, 231–241. [Google Scholar] [CrossRef]
- Kubenova, M.M.; A Kuterbekov, K.; Abseitov, E.T.; Kabyshev, A.M.; Kozlovskiy, A.; Nurakov, S.N.; Ishembetov, R.K.; Balapanov, M.K. Electrophysical and thermal properties of NaxCu2-xS (x = 0.05, 0.075, 0.10) and Na0.125Cu1.75S semiconductor alloys. IOP Conf. Series: Mater. Sci. Eng. 2018, 447, 012031. [Google Scholar] [CrossRef]
- Balapanov, M.K.; Ishembetov, R.K.; Kuterbekov, K.A.; Kubenova, M.M.; Almukhametov, R.F.; Yakshibaev, R.A. Transport phenomena in superionic NaхCu2−хS (х = 0.05; 0.1; 0.15; 0.2) compounds. Ionics 2018, 24, 1349–1356. [Google Scholar] [CrossRef]
- Balapanov, M.K.; Ishembetov, R.K.; Kabyshev, A.M.; Kubenova, M.M.; Kuterbekov, K.A.; Yulaeva, Y.K.; Yakshibaev, R.A. Influence of sodium doping on electron conductivity and electronic seebeck coefficient of copper sulfide. Vestn. Bashkirskogo Univ. 2019, 24, 823. [Google Scholar] [CrossRef]
- Kubenova, M.; Balapanov, M.; Kuterbekov, K.; Ishembetov, R.; Kabyshev, A.; Yulaeva, Y. Phase composition and thermoelectric properties of the nanocomposite alloys NaxCu2-x-yS. Eurasian J. Phys. Funct. Mater. 2020, 4, 67–85. [Google Scholar] [CrossRef]
- Villars, P.; Cenzual, K.; Daams, J.; Gladyshevskii, R.; Shcherban, O.; Dubenskyy, V.; Melnichenko-Koblyuk, N.; Pavlyuk, O.; Savysyuk, I.; Stoyko, S.; et al. NaCu4S4 Structure Types. Part 6: Space Groups (166) R-3m-(160) R3m · NaCu4S4. Landolt-Börnstein Group III Condensed Matter. 2008, 43A6. [Google Scholar] [CrossRef]
- Pichanusakorn, P.; Bandaru, P. Nanostructured thermoelectrics. Mater. Sci. Eng. R Rep. 2010, 67, 19–63. [Google Scholar] [CrossRef]
- Chakrabarti, D.J.; Laughlin, D.E. The Cu-S (Copper-Sulfur) system. Bull. Alloy. Phase Diagr. 1983, 4, 254–271. [Google Scholar] [CrossRef]
- Madelung, O.; Rössler, U.; Schulz, M. Non-Tetrahedrally Bonded Elements and Binary Compounds I.; Springer: Berlin/Heidelberg, Germany, 1998; 185p. [Google Scholar]
- Evans, H.T. The crystal structures of low chalcocite and djurleite. Z. Krist. 1979, 150, 299–320. [Google Scholar] [CrossRef]
- Roseboom, E.H. An investigation of the system Cu-S and some natural copper sulfides between 25 and 700 °C. Econ. Geol. 1966, 61, 641–672. [Google Scholar] [CrossRef]
- Will, G.; Hinze, E.; Abdelrahman, A.R.M. Crystal structure analysis and refinement of digenite, Cu1.8S, in the temperature range 20 to 500 °C under controlled sulfur partial pressure. Eur. J. Miner. 2002, 14, 591–598. [Google Scholar] [CrossRef]
- Yamamoto, K.; Kashida, S. X-ray study of the cation distribution in Cu2Se, Cu1.8Se and Cu1.8S; analysis by the maximum entropy method. Solid State Ion. 1991, 48, 241–248. [Google Scholar] [CrossRef]
- Potter, R.W. An Electrochemical Investigation of the System Cu-S. Econ. Geol. 1977, 72, 1524–1542. [Google Scholar] [CrossRef]
- Shah, D.; Khalafalla, S.E. Kinetics and mechanism of the conversion of covellite (CuS) to digenite (Cu1.8S). Metall. Trans. 1971, 2, 2637–2643. [Google Scholar] [CrossRef]
- Mumme, W.G.; Gable, R.W.; Petricek, V. THE CRYSTAL STRUCTURE OF ROXBYITE, Cu58S32. Can. Miner. 2012, 50, 423–430. [Google Scholar] [CrossRef]
- Goble, R.G. Copper Sulfides From Alberta: Yarrowite Cu9S8 and Spionkopite Cu39S28. Canad. Min. 1980, 18, 511–518. [Google Scholar]
- Zhu, Z.; Zhang, Y.; Song, H.; Li, X.-J. High thermoelectric performance and low thermal conductivity in Cu2-xNaxSe bulk materials with micro-pores. Appl. Phys. A 2019, 125, 1–7. [Google Scholar] [CrossRef]
- Bertheville, B.; Low, D.; Bill, H.; Kubel, F. Ionic conductivity of Na2S single crystals between 295 and 1350 K experimental setup and first results. J. Phys. Chem. Solids 1997, 58, 1569–1577. [Google Scholar] [CrossRef][Green Version]
- Eithiraj, R.D.; Jaiganesh, G.; Kalpana, G.; Rajagopalan, M. First-principles study of electronic structure and ground-state properties of alkali-metal sulfides—Li2S, Na2S, K2S and Rb2S. Phys. Status Solidi 2007, 244, 1337–1346. [Google Scholar] [CrossRef]
- Zhuravlev, Y.N.; Kosobutskii, A.B.; Poplavnoi, A.S.; Zhuravlev, Y. Energy Band Genesis from Sublattice States in Sulfides of Alkali Metals with an Antifluorite Lattice. Russ. Phys. J. 2004, 48, 138–142. [Google Scholar] [CrossRef]
- Kizilyalli, M.; Bilgin, M.; Kizilyalli, H. Solid-state synthesis and X-ray diffraction studies of Na2S. J. Solid State Chem. 1990, 85, 283–292. [Google Scholar] [CrossRef]
- Savelsberg, G.; Schäfer, H. Zurkenntnis von. Na2Cu4S3 und KCu3Te2. Mater. Res. Bull. 1981, 16, 1291–1297. [Google Scholar] [CrossRef]
- Jain, A.; Ong, S.P.; Hautier, G.; Chen, W.; Richards, W.D.; Dacek, S.; Cholia, S.; Gunter, D.; Skinner, D.; Ceder, G.; et al. Commentary: The Materials Project: A materials genome approach to accelerating materials innovation. APL Mater. 2013, 1, 011002. [Google Scholar] [CrossRef]
- Burschka, C.; Naturforsch, Z. Na3Cu4S4-a thiocuprate with isolated [Cu4S4]-chains. Z. Nat. 1979, 34, 396–397. [Google Scholar]
- Effenberger, H.; Pertlik, F. Crystal structure of NaCu5S3. Mon. Für Chem. Chem. Mon. 1985, 116, 921–926. [Google Scholar] [CrossRef]
- Yong, W.; She, Y.; Qing, F.; Ao, W. Hydrothermal synthesis of K, Na doped Cu-S nanocrystalline and effect of doping on crystal structure and performance. Acta Phys. Sin. 2013, 62, 17802–17809. [Google Scholar]
- Zhang, X.; Kanatzidis, M.G.; Hogan, T.; Kannewurf, C.R. NaCu4S4, a Simple New Low-Dimensional, Metallic Copper Polychalcogenide, Structurally Related to CuS. J. Am. Chem. Soc. 1996, 118, 693–694. [Google Scholar] [CrossRef]
- Klepp, K.O.; Sing, M.; Boller, H. Preparation and crystal structure of Na4Cu2S3, a thiocuprate with discrete anions. J. Alloys Compd. 1992, 184, 265–273. [Google Scholar] [CrossRef]
- Klepp, K.O.; Sing, M.; Boller, H. Preparation and crystal structure of Na7Cu12S10, a mixed valent thiocuprate with a pseudo-one-dimensional structure. J. Alloys Compd. 1993, 198, 25–30. [Google Scholar] [CrossRef]
- Savelsberg, G.; Schafer, H. Preparation and crystal-structure of Na2AgAs and KCuS. Naturforsch 1978, 33, 711–713. [Google Scholar] [CrossRef]
- Kubel, F.; Bertheville, B.; Bill, H. Crystal structure of dilithiumsulfide, Li2S. Z. Kristallogr. 1999, 214, 302. [Google Scholar] [CrossRef]
- Buehrer, W.; Altorfer, F.; Mesot, J.; Bill, H.; Carron, P.; Smith, H.G. Lattice dynamics and the diffuse phase transition of lithium sulfide investigated by coherent neutron scattering. J. Phys. Condens. Matter. 1991, 3, 1055–1064. [Google Scholar] [CrossRef]
- Altorfer, F.; Buhrer, W.; Anderson, I.; Scharpf, O.; Bill, H.; Carron, P.L. Fast ionic diffusion in Li2S investigated by quasielastic neutron scattering. J. Phys. Condens. Matter 1994, 6, 9937–9947. [Google Scholar] [CrossRef]
- Mjwara, P.M.; Comins, J.D.; E Ngoepe, P.; Buhrer, W.; Bill, H. Brillouin scattering investigation of the high temperature diffuse phase transition in Li2S. J. Phys. Condens. Matter 1991, 3, 4289–4292. [Google Scholar] [CrossRef]
- Tsuji, J.; Nakamatsu, H.; Mukoyama, T.; Kojima, K.; Ikeda, S.; Taniguchi, K. Lithium K-edge XANES spectra for lithium compounds. X-ray Spectrom. 2002, 31, 319–326. [Google Scholar] [CrossRef]
- Ohtani, T.; Ogura, J.; Sakai, M.; Sano, Y. Phase transitions in new quasi-one-dimensional sulfides TlCu7S4 and KCu7S4. Solid State Commun. 1991, 78, 913–917. [Google Scholar] [CrossRef]
- Ohtani, T.; Ogura, J.; Yoshihara, H.; Yokota, Y. Physical Properties and Successive Phase Transitions in Quasi-One-Dimensional Sulfides ACu7S4 (A = Tl, K, Rb). J. Solid State Chem. 1995, 115, 379–389. [Google Scholar] [CrossRef]
- Klepp, K.O.; Sing, M. Crystal structure of rubidium dithiotricuprate, RbCu3S2. Z. Kristallogr. NCS 2002, 217, 474. [Google Scholar]
- Burschka, C.; Bronger, W. KCu3S2 ein neues Thiocuprat. Z. Naturforsch. 1977, 32, 11–14. [Google Scholar] [CrossRef][Green Version]
- Klepp, K.O.; Yvon, K. Thallium-dithio-tricuprate, TlCu3S2. Acta Crystallogr. 1980, 36, 2389–2391. [Google Scholar] [CrossRef]
- Chen, E.M.; Poudeu, P. Thermal and electrochemical behavior of Cu4−xLixS2 (x= 1, 2, 3) phases. J. Solid State Chem. 2015, 232, 8–13. [Google Scholar] [CrossRef]
- Bikkulova, N.N.; Danilkin, S.A.; Beskrovnyi, A.I.; Yadrovskii, E.L.; Semenov, V.A.; Asylguzhina, G.N.; Balapanov, M.K.; Sagdatkireeva, M.B.; Mukhamed’Yanov, U.K. Neutron diffraction study of phase transitions in the superionic conductor Li0.25Cu1.75Se. Crystallogr. Rep. 2003, 48, 457–460. [Google Scholar] [CrossRef]
- Kieven, D.; Grimm, A.; Beleanu, A.; Blum, C.; Schmidt, J.; Rissom, T.; Lauermann, I.; Gruhn, T.; Felser, C.; Klenk, R. Preparation and properties of radio-frequency-sputtered half-Heusler films for use in solar cells. Thin Solid Films 2011, 519, 1866–1871. [Google Scholar] [CrossRef]
- Beleanu, A.; Kiss, J.; Baenitz, M.; Majumder, M.; Senyshyn, A.; Kreiner, G.; Felser, C. LiCuS, an intermediate phase in the electrochemical conversion reaction of CuS with Li: A potential environment-friendly battery and solar cell material. Solid State Sci. 2016, 55, 83–87. [Google Scholar] [CrossRef]
- Soliman, S. Theoretical investigation of Cu-containing materials with different valence structure types: BaCu2S2, Li2CuSb, and LiCuS. J. Phys. Chem. Solids 2014, 75, 927–930. [Google Scholar] [CrossRef]
- Tan, G.; Ohta, M.; Kanatzidis, M.G. Thermoelectric power generation: From new materials to devices. Philos. Trans. R. Soc. A Math. Phys. Eng. Sci. 2019, 377, 20180450. [Google Scholar] [CrossRef] [PubMed]
- Jaldurgam, F.; Ahmad, Z.; Touati, F. Low-Toxic, Earth-Abundant Nanostructured Materials for Thermoelectric Applications. Nanomaterials 2021, 11, 895. [Google Scholar] [CrossRef] [PubMed]
- He, Y.; Day, T.; Zhang, T.; Liu, H.; Shi, X.; Chen, L.; Snyder, G.J. High Thermoelectric Performance in Non-Toxic Earth-Abundant Copper Sulfide. Adv. Mater. 2014, 26, 3974–3978. [Google Scholar] [CrossRef] [PubMed]
- Olvera, A.A.; Moroz, N.A.; Sahoo, P.; Ren, P.; Bailey, T.P.; Page, A.A.; Uher, C.; Poudeu, P.F.P. Partial indium solubility induces chemical stability and colossal thermoelectric figure of merit in Cu2Se. Energy Environ. Sci. 2017, 10, 1668–1676. [Google Scholar] [CrossRef]
- Zhao, K.; Qiu, P.; Song, Q.; Blichfeld, A.B.; Eikeland, E.; Ren, D.; Ge, B.; Iversen, B.B.; Shi, X.; Chen, L. Ultrahigh thermoelectric performance in Cu2-ySe0.5S0.5 liquid-like materials. Mater. Today Phys. 2017, 1, 14–23. [Google Scholar] [CrossRef]
- Kim, S.I.; Lee, K.H.; A Mun, H.; Kim, H.S.; Hwang, S.W.; Roh, J.W.; Yang, D.J.; Shin, W.H.; Li, X.S.; Lee, Y.H.; et al. Dense dislocation arrays embedded in grain boundaries for high-performance bulk thermoelectrics. Science 2015, 348, 109–114. [Google Scholar] [CrossRef]
- Zhu, H.; Mao, J.; Li, Y.; Sun, J.; Wang, Y.; Zhu, Q.; Li, G.; Song, Q.; Zhou, J.; Fu, Y.; et al. Discovery of TaFeSb—Based half—Heuslers with high thermoelectric performance. Nat. Commun. 2019, 10, 270. [Google Scholar] [CrossRef]
- Hu, X.; Jood, P.; Ohta, M.; Kunii, M.; Nagase, K.; Nishiate, H.; Kanatzidis, M.G.; Yamamoto, A. Power generation from nanostructured PbTe-based thermoelectrics: Comprehensive development from materials to modules. Energy Environ. Sci. 2016, 9, 517–529. [Google Scholar] [CrossRef]
- Kraemer, D.; Sui, J.; McEnaney, K.; Zhao, H.; Jie, Q.; Ren, Z.F.; Chen, G. High thermoelectric conversion efficiency of MgAgSb-based material with hot-pressed contacts. Energy Environ. Sci. 2015, 8, 1299–1308. [Google Scholar] [CrossRef]
- Chang, C.; Wu, M.; He, D.; Pei, Y.; Wu, C.F.; Wu, X.; Yu, H.; Zhu, F.; Wang, K.; Chen, Y.; et al. 3D charge and 2D phonon transports leading to high out-of-plane ZT in n-type SnSe crystals. Science 2018, 360, 778–783. [Google Scholar] [CrossRef]
- Hu, L.; Wu, H.; Zhu, T.; Fu, C.; He, J.; Ying, P.; Zhao, X. Tuning Multiscale Microstructures to Enhance Thermoelectric Performance of n-Type Bismuth-Telluride-Based Solid Solutions. Adv. Energy Mater. 2015, 5, 1500411. [Google Scholar] [CrossRef]
- Gao, M.-R.; Xu, Y.; Jiang, J.; Yu, S.-H. Nanostructured metal chalcogenides: Synthesis, modification, and applications in energy conversion and storage devices. Chem. Soc. Rev. 2013, 42, 2986–3017. [Google Scholar] [CrossRef]
- Ding, Z.; Bux, S.K.; King, D.J.; Chang, F.L.; Chen, T.-H.; Huang, S.-C.; Kaner, R.B. Lithium intercalation and exfoliation of layered bismuth selenide and bismuth telluride. J. Mater. Chem. 2009, 19, 2588–2592. [Google Scholar] [CrossRef]
- Wu, Y.; Wadia, C.; Ma, W.; Sadtler, B.; Alivisatos, P. Synthesis and Photovoltaic Application of Copper(I) Sulfide Nanocrystals. Nano Lett. 2008, 8, 2551–2555. [Google Scholar] [CrossRef] [PubMed]
- Wang, C.; Zhang, D.; Xu, L.; Jiang, Y.; Dong, F.; Yang, B.; Yu, K.; Lin, Q. A Simple Reducing Approach Using Amine To Give Dual Functional EuSe Nanocrystals and Morphological Tuning. Angew. Chem. Int. Ed. 2011, 50, 7587–7591. [Google Scholar] [CrossRef] [PubMed]
- Shen, H.B.; Wang, H.Z.; Yuan, H.; Ma, L.; Li, L.S. Size-, shape-, and assembly-controlled synthesis of Cu2-xSe nanocrystals via a non-injection phosphine-free colloidal method. Cryst. Eng. Comm. 2012, 14, 555–560. [Google Scholar] [CrossRef]
- Fu, J.; Song, S.; Zhang, X.; Cao, F.; Zhou, L.; Li, X.; Zhang, H. Bi2Te3 nanoplates and nanoflowers: Synthesized by hydrothermal process and their enhanced thermoelectric properties. Cryst. Eng. Comm. 2012, 14, 2159–2165. [Google Scholar] [CrossRef]
- Wu, Z.; Pan, C.; Yao, Z.; Zhao, Q.; Xie, Y. Large-Scale Synthesis of Single-Crystal Double-Fold Snowflake Cu2S Dendrites. Cryst. Growth Des. 2006, 6, 1717–1719. [Google Scholar] [CrossRef]
- Wang, X.; Zhuang, J.; Peng, Q.; Li, Y. A general strategy for nanocrystal synthesis. Nat. Cell Biol. 2005, 437, 121–124. [Google Scholar] [CrossRef]
- Bilecka, I.; Niederberger, M. Microwave chemistry for inorganic nanomaterials synthesis. Nanoscale 2010, 2, 1358–1374. [Google Scholar] [CrossRef]
- Li, B.; Xie, Y.; Huang, J.; Liu, Y.; Qian, Y. Sonochemical Synthesis of Nanocrystalline Copper Tellurides Cu7Te4 and Cu4Te3 at Room Temperature. Chem. Mater. 2000, 12, 2614–2616. [Google Scholar] [CrossRef]
- She, G.; Zhang, X.; Shi, W.; Cai, Y.; Wang, N.; Liu, P.; Chen, D. Template-Free Electrochemical Synthesis of Single-Crystal CuTe Nanoribbons. Cryst. Growth Des. 2008, 8, 1789–1791. [Google Scholar] [CrossRef]
- Lee, K.-J.; Song, H.; Lee, Y.-I.; Jung, H.; Zhang, M.; Choa, Y.-H.; Myung, N.V. Synthesis of ultra-long hollow chalcogenide nanofibers. Chem. Commun. 2011, 47, 9107–9109. [Google Scholar] [CrossRef]
- Ng, C.H.B.; Tan, H.; Fan, W.Y. Formation of Ag2Se Nanotubes and Dendrite-like Structures from UV Irradiation of a CSe2/Ag Colloidal Solution. Langmuir 2006, 22, 9712–9717. [Google Scholar] [CrossRef]
- Li, Z.; Yang, H.; Ding, Y.; Xiong, Y.; Xie, Y. Solution-phase template approach for the synthesis of Cu2S nanoribbons. Dalton Trans. 2005, 149–151. [Google Scholar] [CrossRef] [PubMed]
- Zhao, Y.; Pan, H.; Lou, Y.; Qiu, X.; Zhu, J.; Burda, C. Plasmonic Cu2−xS Nanocrystals: Optical and Structural Properties of Copper-Deficient Copper(I) Sulfides. J. Am. Chem. Soc. 2009, 131, 4253–4261. [Google Scholar] [CrossRef] [PubMed]
- Ishembetov, R.K.; Yulaeva, Y.K.; Balapanov, M.K.; Sharipov, T.; Yakshibayev, R. Electrophysical properties of nanostructured copper selenide (Cu1.9Li0.1Se). Perspect. Mater. 2011, 12, 55–59. (In Russian) [Google Scholar]
- Yang, D.; Benton, A.; He, J.; Tang, X. Novel synthesis recipes boosting thermoelectric study of A2Q (A = Cu, Ag; Q = S, Se, Te). J. Phys. D Appl. Phys. 2020, 53, 193001. [Google Scholar] [CrossRef]
- He, Y.; Zhang, T.; Shi, X.; Wei, S.-H.; Chen, L. High thermoelectric performance in copper telluride. NPG Asia Mater. 2015, 7, e210. [Google Scholar] [CrossRef]
- Poon, S.J. Recent Advances in Thermoelectric Performance of Half-Heusler Compounds. Metals 2018, 8, 989. [Google Scholar] [CrossRef]
- Zhu, H.; He, R.; Mao, J.; Zhu, Q.; Li, C.; Sun, J.; Ren, W.; Wang, Y.; Liu, Z.; Tang, Z.; et al. Discovery of ZrCoBi based half Heuslers with high thermoelectric conversion efficiency. Nat. Commun. 2018, 9, 1–9. [Google Scholar] [CrossRef] [PubMed]
- Rogl, G.; Ghosh, S.; Wang, L.; Bursik, J.; Grytsiv, A.; Kerber, M.; Bauer, E.; Mallik, R.C.; Chen, X.-Q.; Zehetbauer, M.; et al. Half-Heusler alloys: Enhancement of ZT after severe plastic deformation (ultra-low thermal conductivity). Acta Mater. 2020, 183, 285–300. [Google Scholar] [CrossRef]
- Rogl, G.; Rogl, P. Skutterudites, a most promising group of thermoelectric materials. Curr. Opin. Green Sustain. Chem. 2017, 4, 50–57. [Google Scholar] [CrossRef]
- Shi, X.; Yang, J.; Salvador, J.R.; Chi, M.; Cho, J.Y.; Wang, H.; Bai, S.; Yang, J.; Zhang, W.; Chen, L. Multiple-Filled Skutterudites: High Thermoelectric Figure of Merit through Separately Optimizing Electrical and Thermal Transports. J. Am. Chem. Soc. 2011, 133, 7837–7846. [Google Scholar] [CrossRef]
- Liu, Z.-Y.; Zhu, J.-L.; Tong, X.; Niu, S.; Zhao, W.-Y. A review of CoSb3-based skutterudite thermoelectric materials. J. Adv. Ceram. 2020, 9, 647–673. [Google Scholar] [CrossRef]
- Zhang, S.; Xu, S.; Gao, H.; Lu, Q.; Lin, T.; He, P.; Geng, H. Characterization of multiple-filled skutterudites with high thermoelectric performance. J. Alloys Compd. 2020, 814, 152272. [Google Scholar] [CrossRef]
- Mott, N.F.; Davis, E.A.; Weiser, K. Electronic Processes in Non-Crystalline Materials. Phys. Today 1972, 25, 55. [Google Scholar] [CrossRef]
- Shklovsky, B.I.; Efros, A.A. Electronic Properties of Doped Semiconductors; Springer: New York, NY, USA, 1984. [Google Scholar]
- Titov, A.; Yarmoshenko, Y.; Titova, S.; Krasavin, L.; Neumann, M. Localization of charge carriers in materials with high polaron concentration. Phys. B Condens. Matter 2003, 328, 108–110. [Google Scholar] [CrossRef]
- Yarmoshenko, Y.M.; Shkvarin, A.; Yablonskikh, M.V.; Merentsov, A.I.; Titov, A. Localization of charge carriers in layered crystals MexTiSe2 (Me = Cr, Mn, Cu) studied by the resonant photoemission. J. Appl. Phys. 2013, 114, 133704. [Google Scholar] [CrossRef]
- Wagner, J.B.; Wagner, C. Investigations on Cuprous Sulfide. J. Chem. Phys. 1957, 26, 1602–1606. [Google Scholar] [CrossRef]
- Wagner, J.B.; Wagner, C. Electrical Conductivity Measurements on Cuprous Halides. J. Chem. Phys. 1957, 26, 1597–1601. [Google Scholar] [CrossRef]
- Blakemore, J.S. Solid State Physics, 2nd ed.; Saunders: Philadelphia, PA, USA, 1974; 506p. [Google Scholar]
- Yokota, I. On the Theory of Mixed Conduction with Special Reference to Conduction in Silver Sulfide Group Semiconductors. J. Phys. Soc. Jpn. 1961, 16, 2213–2223. [Google Scholar] [CrossRef]
- Ishikawa, I.; Miyatani, S. Electronic and Ionic Conduction in Cu2−δSe, Cu2−δS and Cu2−δ(S,Se). J. Phys. Soc. Jpn. 1977, 42, 159–167. [Google Scholar] [CrossRef]
- Yokota, I.; Miyatani, S. Conduction and diffusion in ionic-electronic conductors. Solid State Ion. 1981, 3–4, 17–21. [Google Scholar] [CrossRef]
- Gafurov, I.G. Transport phenomenon and structural features in superionic alloys Cu2-xLixS (0.05 < x < 0.25). Doctoral Dissertation, Bashkir State University, Ufa, Russia, 1998; 20p. [Google Scholar]
- Guan, M.-J.; Qiu, P.-F.; Song, Q.-F.; Yang, J.; Ren, D.-D.; Shi, X.; Chen, L. Improved electrical transport properties and optimized thermoelectric figure of merit in lithium-doped copper sulfides. Rare Met. 2018, 37, 282–289. [Google Scholar] [CrossRef]
- Ishembetov, R.K. Yavleniya Perenosa v Superionnykh Khalkogenidakh Medi, Zamesennykh Serebrom i Litiem; Bashkirski Gosudarstvennyi Universitet: Ufa, Russia, 2006; 20p, Available online: https://search.rsl.ru/ru/record/01000261087 (accessed on 11 July 2021). (In Russian)
- Balapanov, M.K.; Ishembetov, R.K.; Ishembetov, S.R.; Kubenova, M.M.; Kuterbekov, K.A.; Nazarov, K.; Yakshibaev, R.A. Electronic and ionic zeebeck coefficients in mixed conductors of Ag0.25−δCu1.75Se, Ag1.2−δCu0.8Se. Russ. J. Electrochem. 2017, 53, 859–865. [Google Scholar] [CrossRef]
- Ishiwata, S.; Shiomi, Y.; Lee, J.S.; Bahramy, M.S.; Suzuki, T.; Uchida, M.; Arita, R.; Taguchi, Y.; Tokura, Y. Extremely high electron mobility in a phonon-glass semimetal. Nat. Mater. 2013, 12, 512–517. [Google Scholar] [CrossRef]
- Moroz, N.A.; Olvera, A.; Willis, G.M.; Poudeu, P.F.P. Rapid direct conversion of Cu2-xSe to CuAgSe nanoplatelets via ion exchange reactions at room temperature. Nanoscale 2015, 7, 9452–9456. [Google Scholar] [CrossRef] [PubMed]
- Hong, A.; Li, L.; Zhu, H.; Zhou, X.; He, Q.; Liu, W.; Yan, Z.; Liu, J.-M.; Ren, Z. Anomalous transport and thermoelectric performances of CuAgSe compounds. Solid State Ion. 2014, 261, 21–25. [Google Scholar] [CrossRef]
- Miyatani, S.; Toyota, Y.; Yanagihara, T.; Iida, K. α-Ag2Se as a Degenerate Semicanductor. J. Phys. Soc. Jpn. 1967, 23, 35–43. [Google Scholar] [CrossRef]
- Peplinski, Z.; Brown, D.B.; Watt, T.; Hatfield, W.E.; Day, P. Electrical properties of sodium copper sulfide (Na3Cu4S4), a mixed-valence one-dimensional metal. Inorg. Chem. 1982, 21, 1752–1755. [Google Scholar] [CrossRef]
- Ge, Z.-H.; Zhang, B.-P.; Chen, Y.-X.; Yu, Z.-X.; Liu, Y.; Li, J.-F. Synthesis and transport property of Cu1.8S as a promising thermoelectric compound. Chem. Commun. 2011, 47, 12697–12699. [Google Scholar] [CrossRef]
- Zhang, Y.-X.; Feng, J.; Ge, Z.-H. High thermoelectric performance realized in porous Cu1.8S based composites by Na2S addition. Mater. Sci. Semicond. Process. 2019, 107, 104848. [Google Scholar] [CrossRef]
- Qiu, P.; Shi, X.; Chen, L. Thermoelectric Properties of Cu2−δX (X = S, Se, and Te). In Materials Aspect of Thermoelectricity; Uher, C., Ed.; CRC Press: Boca Raton, FL, USA, 2016; 624p. [Google Scholar]
- Slack, G. New Materials and Performance Limits for Thermoelectric Cooling. In CRC Handbook of Thermoelectrics; Pollock Industries, Inc.: White River, VT, USA, 1995; pp. 407–440. [Google Scholar]
- He, X.; Zhu, Y.; Mo, Y. Origin of fast ion diffusion in super-ionic conductors. Nat. Commun. 2017, 8, 15893. [Google Scholar] [CrossRef]
- Donati, C.; Douglas, J.F.; Kob, W.; Plimpton, S.J.; Poole, P.; Glotzer, S.C. Stringlike Cooperative Motion in a Supercooled Liquid. Phys. Rev. Lett. 1998, 80, 2338–2341. [Google Scholar] [CrossRef]
- Keys, A.S.; Hedges, L.O.; Garrahan, J.; Glotzer, S.C.; Chandler, D. Excitations are localized and relaxation is hierarchical in glass-forming liquids. Phys. Rev. X. 2011, 1, 021013. [Google Scholar] [CrossRef]
- Wakamura, K. Interpretation of high ionic conduction in superionic conductors based on electronic and phonon properties. Solid State Ion. 2004, 171, 229–235. [Google Scholar] [CrossRef]
- Kikuchi, H.; Iyetomi, H.; Hasegawa, A. Insight into the origin of superionic conductivity from electronic structure theory. J. Phys. Condens. Matter 1998, 10, 11439–11448. [Google Scholar] [CrossRef]
- Lavrent’ev, A.A.; Nikiforov, I.Y.; Dubeiko, V.A.; Gabrel’yan, B.V.; Domashevskaya, E.P.; Rehr, J.J.; Ankudinov, A.L. d-p-rezonansnoe vozdeystvie v soedineniyah medi s razlichnymi kristallicheskimi strukturami. Kondens. Sredy I Mezhfaznye Granitsy 2001, 3, 107–121. (In Russian) [Google Scholar]
- Domashevskaya, E.; Gorbachev, V.; Terekhov, V.; Kashkarov, V.; Panfilova, E.; Shchukarev, A. XPS and XES emission investigations of d–p resonance in some copper chalcogenides. J. Electron. Spectrosc. Relat. Phenom. 2001, 114, 901–908. [Google Scholar] [CrossRef]
- Balapanov, M.K.; Urazaeva, E.K.; Zinnurov, I.B.; Musalimov, R.S.; Yakshibaev, R.A. Influence of grain sizes on the ionic conductivity and the chemical diffusion coefficient in copper selenide. Ionics 2006, 12, 205–209. [Google Scholar] [CrossRef]
- Bruheim, I.; Cameron, J. Flowable Concentrated Phospholipid Krill Oil Composition. U.S. Patent 20170020928 Al, 26 January 2017. [Google Scholar]
- Meyer, M.; Jaenisch, V.; Maass, P.; Bunde, A. Mixed Alkali Effect in Crystals of β- and β″-Alumina Structure. Phys. Rev. Lett. 1996, 76, 2338–2341. [Google Scholar] [CrossRef] [PubMed]
- Kadrgulov, R.F.; Yakshibaev, R.A.; Khasanov, M.A. Phase Relations, Ionic Conductivity and Diffusion in the Alloys of Cu2S and Ag2S Mixed Conductors. Ionics 2001, 7, 156–160. [Google Scholar] [CrossRef]
- Yakshibaev, R.A.; Balapanov, M.K.; Mukhamadeeva, N.N.; Akmanova, G.R. Partial Conductivity of Cations of Different Kinds in the Alloys of Cu2X-Ag2X (X = Se, Te) Mixed Conductors. Phys. Stat. Sol. 1989, 112, 97. [Google Scholar] [CrossRef]
- Balapanov, M.K. Effect of Cationic Substitution on Ion Transfer Phenomena in Superionic Copper Chalcogenides. Bull. Bashkir Univ. 2006, 2, 33–36. [Google Scholar]
- Balapanov, M.K.; Ishembetov, R.K.; Yakshibaev, R.A. Soret effect and heat of silver atom transport in Ag(2−x) + δCuxSe (x = 0.1, 0.2, 0.4) superionic solid solutions. Inorg. Mater. 2006, 42, 705–707. [Google Scholar] [CrossRef]
- Yabuuchi, N.; Kubota, K.; Dahbi, M.; Komaba, S. Research development on sodium-ion batteries (Reviev). Chem. Rev. 2014, 114, 11636–11682. [Google Scholar] [CrossRef] [PubMed]
- Kulova, T.L.; Skundin, A.M. From lithium-ion to sodium-ion batteries. Electrochem. Power Eng. 2016, 16, 122–150. [Google Scholar] [CrossRef]
- Li, L.; Zheng, Y.; Zhang, S.; Yang, J.; Shao, Z.; Guo, Z. Recent progress on sodium ion batteries: Potential high-performance anodes. Energy Environ. Sci. 2018, 11, 2310–2340. [Google Scholar] [CrossRef]
- Yue, J.-L.; Sun, Q.; Fu, Z.-W. Cu2Se with facile synthesis as a cathode material for rechargeable sodium batteries. Chem. Commun. 2013, 49, 5868–5870. [Google Scholar] [CrossRef] [PubMed]
- Kim, J.-S.; Kim, D.-Y.; Cho, G.-B.; Nam, T.-H.; Kim, K.-W.; Ryu, H.-S.; Ahn, J.-H.; Ahn, H.-J. The electrochemical properties of copper sulfide as cathode material for rechargeable sodium cell at room temperature. J. Power Sources 2009, 189, 864–868. [Google Scholar] [CrossRef]
- Emin, D. Seebeck Effect. In Wiley Encyclopedia of Electrical and Electronics Engineering; Webster, J.G., Ed.; WILEY: Madison, WI, USA, 2002; p. 33. [Google Scholar]
- Fistul, V.I. Vvedenie v Fiziku Polyprovodnikov; Vysshaya Shkola: Moscow, Russia, 1984; 352p. [Google Scholar]
- Bonch-Bruevich, V.L.; Kalashnikov, S.G. Semiconductor Physics; Science: Moscow, Russia, 1977; Volume 672. [Google Scholar]
- Anselm, A.I. Introduction to the Theory of Semiconductors; Science: Moscow, Russia, 1978; 616p. [Google Scholar]
- Han, C.; Li, Z.; Dou, S. Recent progress in thermoelectric materials. Chin. Sci. Bull. 2014, 59, 2073–2091. [Google Scholar] [CrossRef]
- Liu, W.-D.; Yanga, L.; Chen, Z.-G. Cu2Se thermoelectrics: Property, methodology, and devices. Nano Today 2020, 35, 100938. [Google Scholar] [CrossRef]
- Ma, Z.; Wei, J.; Song, P.; Zhang, M.; Yang, L.; Ma, J.; Liu, W.; Yang, F.; Wang, X. Review of experimental approaches for improving zT of thermoelectric materials. Mater. Sci. Semicond. Process. 2021, 121, 105303. [Google Scholar] [CrossRef]
- Zhang, Z.; Zhao, K.; Wei, T.-R.; Qiu, P.; Chen, L.; Shi, X. Cu2Se-Based liquid-like thermoelectric materials: Looking back and stepping forward. Energy Environ. Sci. 2020, 13, 3307–3329. [Google Scholar] [CrossRef]
- Sun, Y.; Xi, L.; Yang, J.; Wu, L.; Shi, X.; Chen, L.; Snyder, J.; Yang, J.; Zhang, W. The “electron crystal” behavior in copper chalcogenides Cu2X (X = Se, S). J. Mater. Chem. A. 2017, 5, 5098–5105. [Google Scholar] [CrossRef]
- Tang, H.; Sun, F.-H.; Dong, J.-F.; Zhuang, H.-L.; Pan, Y.; Li, J.-F. Graphene network in copper sulfide leading to enhanced thermoelectric properties and thermal stability. Nano Energy 2018, 49, 267–273. [Google Scholar] [CrossRef]
- Zhu, Z.; Zhang, Y.; Song, H.; Li, X.-J. Enhancement of thermoelectric performance of Cu2Se by K doping. Appl. Phys. A 2018, 124, 871. [Google Scholar] [CrossRef]
- Bulat, L.P.; Osvenskii, V.B.; Ivanov, A.A.; Sorokin, A.I.; Pshenay-Severin, D.A.; Bublik, V.T.; Tabachkova, N.Y.; Panchenko, V.P.; Lavrentev, M.G. Experimental and theoretical study of the thermoelectric properties of copper selenide. Semiconductors 2017, 51, 854–857. [Google Scholar] [CrossRef]
- Bulat, L.P.; Ivanov, A.A.; OsvenskiiV, B.; Pshenay-Severin, D.A.; Sorokin, A.I. Thermal conductivity of Cu2Se taking into account the influence of mobile copper ions. Phys. Solid State 2017, 59, 2097–2102. [Google Scholar] [CrossRef]
- Kim, H.; Ballikaya, S.; Chi, H.; Ahn, J.-P.; Ahn, K.; Uher, C.; Kaviany, M. Ultralow thermal conductivity of β-Cu2Se by atomic fluidity and structure distortion. Acta Mater. 2015, 86, 247–253. [Google Scholar] [CrossRef]
- Tyagi, K.; Gahtori, B.; Bathula, S.; Jayasimhadri, M.; Singh, N.K.; Sharma, S.; Haranath, D.; Srivastava, A.; Dhar, A. Enhanced thermoelectric performance of spark plasma sintered copper-deficient nanostructured copper selenide. J. Phys. Chem. Solids 2015, 81, 100–105. [Google Scholar] [CrossRef]
- Byeon, D.; Sobota, R.; Delime-Codrin, K.; Choi, S.; Hirata, K.; Adachi, M.; Kiyama, M.; Matsuura, T.; Yamamoto, Y.; Matsunami, M.; et al. Discovery of colossal Seebeck effect in metallic Cu2Se. Nat. Commun. 2019, 10, 72. [Google Scholar] [CrossRef]
- Ballikaya, S.; Sertkol, M.; Oner, Y.; Bailey, T.P.; Uher, C. Fracture structure and thermoelectric enhancement of Cu2Se with substitution of nanostructured Ag2Se. Phys. Chem. Chem. Phys. 2019, 21, 13569–13577. [Google Scholar] [CrossRef] [PubMed]
- Zhong, B.; Zhang, Y.; Li, W.; Chen, Z.; Cui, J.; Li, W.; Xie, Y.; Hao, Q.; He, Q. High superionic conduction arising from aligned large lamellae and large figure of merit in bulk Cu1.94Al0.02Se. Appl. Phys. Lett. 2014, 105, 123902. [Google Scholar] [CrossRef]
- Zhao, L.; Islam, S.M.K.N.; Wang, J.; Cortie, D.; Wang, X.; Cheng, Z.; Wang, J.; Ye, N.; Dou, S.X.; Shi, X.; et al. Significant enhancement of figure-of-merit in carbon-reinforced Cu2Se nanocrystalline solids. Nano Energy 2017, 41, 164–171. [Google Scholar] [CrossRef]
- Zhao, K.; Zhu, C.; Qiu, P.; Blichfeld, A.B.; Eikeland, E.; Ren, D.; Iversen, B.B.; Xu, F.; Shi, X.; Chen, L. High thermoelectric performance and low thermal conductivity in Cu2−yS1/3Se1/3Te1/3 liquid-like materials with nanoscale mosaic structures. Nano Energy 2017, 42, 43–50. [Google Scholar] [CrossRef]
- Sirusi, A.A.; Ballikaya, S.; Chen, J.H.; Uher, C.; Ross, J.H. Band ordering and dynamics of Cu2-xTe and Cu1.98Ag0.2Te. J. Phys. Chem. C 2016, 120, 14549–14555. [Google Scholar] [CrossRef]
- Park, D.; Ju, H.; Oh, T.; Kim, J. Fabrication of one-dimensional Cu2Te/Te nanorod composites and their enhanced thermoelectric properties. Cryst. Eng. Comm. 2018, 21, 1555–1563. [Google Scholar] [CrossRef]
- Mukherjee, S.; Parasuraman, R.; Umarji, A.M.; Rogl, G.; Rogl, P.; Chattopadhyay, K. Effect of Fe alloying on the thermoelectric performance of Cu2Te. J. Alloys Compd. 2020, 817, 152729. [Google Scholar] [CrossRef]
- Mukherjee, S.; Ghoshb, S.; Chattopadhyayac, K. Ultralow thermal conductivity and high thermoelectric figure of merit in Cu2Te–Ag2Te composites. J. Alloys Compd. 2020, 848, 156540. [Google Scholar] [CrossRef]
- Okasaki, H. Deviation from the Einstein Relation in Average Crystals. II. Self-Diffusion of Ag+ Ions in α-Ag2Te. J. Phys. Soc. Jpn. 1977, 43, 213–221. [Google Scholar] [CrossRef]
- Zhao, K.; Liu, K.; Yue, Z.; Wang, Y.; Song, Q.; Li, J.; Guan, M.; Xu, Q.; Qiu, P.; Zhu, H.; et al. Are Cu2Te-Based Compounds Excellent Thermoelectric Materials? Adv. Mater. 2019, 31, 1903480. [Google Scholar] [CrossRef]
- Gao, J.; Miao, L.; Lai, H.; Zhu, S.; Peng, Y.; Wang, X.; Koumoto, K.; Cai, H. Thermoelectric Flexible Silver Selenide Films: Compositional and Length Optimization. IScience 2020, 23, 100753. [Google Scholar] [CrossRef] [PubMed]
- Ding, Y.; Qiu, Y.; Cai, K.; Yao, Q.; Chen, S.; Chen, L.; He, J. High performance n-type Ag2Se film on nylon membrane for flexible thermoelectric power generator. Nat. Commun. 2019, 10, 841. [Google Scholar] [CrossRef]
- Lim, K.H.; Wong, K.W.; Liu, Y.; Zhang, Y.; Cadavid, D.; Cabot, A.; Ng, K.M. Critical role of nanoinclusions in silver selenide nanocomposites as a promising room temperature thermoelectric material. J. Mater. Chem. C 2019, 7, 2646–2652. [Google Scholar] [CrossRef]
- Perez-Taborda, J.A.; Caballero-Calero, O.; Vera-Londono, L.; Briones, F.; Martin-Gonzalez, M. High Thermoelectric zT in n-Type Silver Selenide films at Room Temperature. Adv. Energy Mater. 2018, 8, 1702024. [Google Scholar] [CrossRef]
- Chen, J.; Sun, Q.; Bao, D.; Liu, T.; Liu, W.-D.; Liu, C.; Tang, J.; Zhou, D.; Yang, L.; Chen, Z.-G. Hierarchical Structures Advance Thermoelectric Properties of Porous n-type β-Ag2Se. ACS Appl. Mater. Interfaces 2020, 12, 51523–51529. [Google Scholar] [CrossRef] [PubMed]
- Zhou, W.-X.; Wu, D.; Xie, G.; Chen, K.-Q.; Zhang, G. α-Ag2S: A Ductile Thermoelectric Material with High ZT. ACS Omega 2020, 5, 5796–5804. [Google Scholar] [CrossRef] [PubMed]
- Tarachand, C.; Sharma, V.; Ganesan, V.; Okram, G.S. Thermoelectric properties of CuS/Ag2S nanocomposites synthesed by modified polyol method. In DAE Solid State Physics Symposium; AIP Publishing LLC: Odisha, India, 2016; Volume 1731, p. 110024. [Google Scholar] [CrossRef]
- Wang, T.; Chen, H.-Y.; Qiu, P.-F.; Shi, X.; Chen, L.-D. Thermoelectric properties of Ag2S superionic conductor with intrinsically low lattice thermal conductivity. Acta Phys. Sin. 2019, 68, 090201. [Google Scholar] [CrossRef]
- Kim, G.; Byeon, D.; Singh, S.; Hirata, K.; Choi, S.; Matsunami, M.; Takeuchi, T. Mixed-phase effect of a high Seebeck coefficient and low electrical resistivity in Ag2S. J. Phys. D Appl. Phys. 2021, 54, 115503. [Google Scholar] [CrossRef]
- Wu, R.; Li, Z.; Li, Y.; You, L.; Luo, P.; Yang, J.; Luo, J. Synergistic optimization of thermoelectric performance in p-type Ag2Te through Cu substitution. J. Mater. 2019, 5, 489–495. [Google Scholar] [CrossRef]
- Gao, J.; Miao, L.; Liu, C.; Wang, X.; Peng, Y.; Wei, X.; Zhou, J.; Chen, Y.; Hashimoto, R.; Asaka, T.; et al. A novel glass-fiber-aided cold-pressmethod for fabrication of n-type Ag2Te nanowires thermoelectric film on flexible copy-paper substrate. J. Mater. Chem. A. 2017, 5, 24740–24748. [Google Scholar] [CrossRef]
- Zhu, H.; Luo, J.; Zhao, H.; Liang, J. Enhanced thermoelectric properties of p-type Ag2Te by Cu substitution. J. Mater. Chem. A 2015, 3, 10303–10308. [Google Scholar] [CrossRef]
- Lee, S.; Shin, H.S.; Song, J.Y.; Jung, M.-H. Thermoelectric Properties of a Single Crystalline Ag2Te Nanowire. J. Nanomater. 2017, 2017, 4308968. [Google Scholar] [CrossRef]
- Zhu, T.; Bai, H.; Zhang, J.; Tan, G.; Yan, Y.; Liu, W.; Su, X.; Wu, J.; Zhang, Q.; Tang, X. Realizing High Thermoelectric Performance in Sb-Doped Ag2Te Compounds with a Low-Temperature Monoclinic Structure. ACS Appl. Mater. Interfaces 2020, 12, 39425–39433. [Google Scholar] [CrossRef]
- Hu, Q.; Zhu, Z.; Zhang, Y.; Li, X.-J.; Song, H.; Zhang, Y. Remarkably high thermoelectric performance of Cu2-xLixSe bulks with nanopores. J. Mater. Chem. A 2018, 6, 23417–23424. [Google Scholar] [CrossRef]
- Ioffe, A.F. Physics of Semiconductors; Academic Press: New York, NY, USA, 1960. [Google Scholar]
- Qin, Y.; Yang, L.; Wei, J.; Yang, S.; Zhang, M.; Wang, X.; Yang, F. Doping Effect on Cu2Se Thermoelectric Performance: A Review. Materials 2020, 13, 5704. [Google Scholar] [CrossRef] [PubMed]
- Qiu, P.; Zhu, Y.; Qin, Y.; Shi, X.; Chen, L. Electrical and thermal transports of binary copper sulfides CuxS with x from 1.8 to 1.96. APL Mater. 2016, 4, 104805. [Google Scholar] [CrossRef]
- Liang, J.; Wang, T.; Qiu, P.; Yang, S.; Ming, C.; Chen, H.; Song, Q.; Zhao, K.; Wei, T.-R.; Ren, D.; et al. Flexible thermoelectrics: From silver chalcogenides to full-inorganic devices. Energy Environ. Sci. 2019, 12, 2983–2990. [Google Scholar] [CrossRef]
- Bickulova, N.N. Crystal Structure, Lattice Dynamics and Ion Transport in Superionic Conductors Based on Copper and Silver Chalcogenides. Ph.D. Thesis, Bashkir State University, Ufa, Russia, 2005; 47p. [Google Scholar]
- Cadoff, I.B.; Miller, E. Thermoelectric Materials and Devices; Reinhold: New York, NY, USA, 1960; 344p. [Google Scholar]
- May, A.; Fleurial, J.-P.; Snyder, J. Thermoelectric performance of lanthanum telluride produced via mechanical alloying. Phys. Rev. B 2008, 78, 125205. [Google Scholar] [CrossRef]
- Wu, Y.; Chen, Z.; Nan, P.; Xiong, F.; Lin, S.; Zhang, X.; Chen, Y.; Chen, L.; Ge, B.; Pei, Y. Lattice Strain Advances Thermoelectrics. Joule 2019, 3, 1276–1288. [Google Scholar] [CrossRef]
- Liu, H.; Yang, J.; Shi, X.; Danilkin, S.A.; Yu, D.; Wang, C.; Zhang, W.; Chen, L. Reduction of thermal conductivity by low energy multi-Einstein optic modes. J. Mater. 2016, 2, 187–195. [Google Scholar] [CrossRef]
- Bouyrie, Y.; Candolfi, C.; Pailhès, S.; Koza, M.; Malaman, B.; Dauscher, A.; Tobola, J.; Boisron, O.; Saviot, L.; Lenoir, B. From crystal to glass-like thermal conductivity in crystalline minerals. Phys. Chem. Chem. Phys. 2015, 17, 19751–19758. [Google Scholar] [CrossRef]
- Danilkin, S.A.; Skomorokhov, A.N.; Hoser, A.; Fuess, H.; Rajevac, V.; Bickulova, N.N. Crystal Structure and Lattice Dynamics of Superionic Copper Selenide Cu2-δSe. J. Alloys Compd. 2004, 35, 57–61. [Google Scholar] [CrossRef]
- Dutta, M.; Samanta, M.; Ghosh, T.; Voneshen, D.J.; Biswas, K. Evidence of Highly Anharmonic Soft Lattice Vibrations in a Zintl Rattler. Angew. Chem. Int. Ed. 2021, 60, 4259–4265. [Google Scholar] [CrossRef] [PubMed]
- Matthias Agne, T.; Voorhees, P.W.; Snyder, G.J. Phase transformation contributions to heat capacity and impact on thermal diffusivity, thermal conductivity, and thermoelectric performance. Adv. Mater. 2019, 31, 1902980. [Google Scholar] [CrossRef] [PubMed]
- Liu, H.; Yuan, X.; Lu, P.; Shi, X.; Xu, F.; He, Y.; Tang, Y.; Bai, S.; Zhang, W.; Chen, L.; et al. Ultrahigh Thermoelectric Performance by Electron and Phonon Critical Scattering in Cu2Se1-xIx. Adv. Mater. 2013, 25, 6607–6612. [Google Scholar] [CrossRef] [PubMed]
- Kang, S.D.; A Danilkin, S.; Aydemir, U.; Avdeev, M.; Studer, A.; Snyder, G.J. Apparent critical phenomena in the superionic phase transition of Cu2-xSe. New J. Phys. 2016, 18, 013024. [Google Scholar] [CrossRef]
- Chen, H.; Yue, Z.; Ren, D.; Zeng, H.; Wei, T.; Zhao, K.; Yang, R.; Qiu, P.; Chen, L.; Shi, X. Thermal Conductivity during Phase Transitions. Adv. Mater. 2018, 31, e1806518. [Google Scholar] [CrossRef]
- Vasilevskiy, D.; Keshavarz, M.K.; Simard, J.-M.; Masut, R.A.; Turenne, S.; Snyder, G.J. Assessing the Thermal Conductivity of Cu2-xSe Alloys Undergoing a Phase Transition via the Simultaneous Measurement of Thermoelectric Parameters by a Harman-Based Setup. J. Electron. Mater. 2018, 47, 3314–3319. [Google Scholar] [CrossRef]
- Vasilevskiy, D.; Masut, R.A.; Turenne, S. A Phenomenological Model of Unconventional Heat Transport Induced by Phase Transition in Cu2-xSe. J. Electron. Mater. 2019, 48, 1883–1888. [Google Scholar] [CrossRef]
- Cheng, Y.; Yang, J.; Jiang, Q.; He, D.; He, J.; Luo, Y.; Zhang, D.; Zhou, Z.; Ren, Y.; Xin, J. New insight into InSb-based thermoelectric materials: From a divorced eutectic design to a remarkably high thermoelectric performance. J. Mater. Chem. A. 2017, 5, 5163–5366. [Google Scholar] [CrossRef]
- Brown, D.R.; Day, T.; Borup, K.; Christensen, S.; Iversen, B.; Snyder, J. Phase transition enhanced thermoelectric figure-of-merit in copper chalcogenides. APL Mater. 2013, 1, 052107. [Google Scholar] [CrossRef]
- Agne, M.T.; Hanus, R.; Snyder, G.J. Minimum thermal conductivity in the context of diffuson-mediated thermal transport. Energy Environ. Sci. 2018, 11, 609–616. [Google Scholar] [CrossRef]
- Mansour, B.A.; Tahoon, K.H.; El-Sharkawy, A.A. Thermophysical properties and mechanism of heat transfer of non-stoichiometric Cu2-xS. Phys. Status Solidi 1995, 148, 423–430. [Google Scholar] [CrossRef]
- Grønvold, F.; Westrum, E.F. Thermodynamics of copper sulfides I. Heat capacity and thermodynamic properties of copper(I) sulfide, Cu2S, from 5 to 950 K. J. Chem. Thermodyn. 1987, 19, 1183–1198. [Google Scholar] [CrossRef]
- Qiu, P.; Agne, M.T.; Liu, Y.; Zhu, Y.; Chen, H.; Mao, T.; Yang, J.; Zhang, W.; Haile, S.M.; Zeier, W.G.; et al. Suppression of atom motion and metal deposition in mixed ionic electronic conductors. Nat. Commun. 2018, 9, 1–8. [Google Scholar] [CrossRef]
- Yokota, I. On the Electrical Conductivity of Cuprous Sulfide: A Diffusion Theory. J. Phys. Soc. Jpn. 1953, 8, 595–602. [Google Scholar] [CrossRef]
- Korte, C.; Janek, J. Nonosothermal transport properties of α-Ag2+δS: Partial thermopowers of electrons and ions, the Soret effect and heats of transport. J. Phys. Chem. Solids 1997, 58, 623–637. [Google Scholar] [CrossRef]





| Structure | σi (S cm−1) | Ea (eV) | (eV) |
|---|---|---|---|
| Cu2S | 2.0 | 0.19 ± 0.02 | 0.23 ± 0.02 |
| Cu1.95Li0.05S | 0.57 | 0.50 ± 0.10 | 0.54 ± 0.03 |
| Cu1.90Li0.10S | 0.71 | 0.37 ± 0.06 | 0.30 ± 0.04 |
| Cu1.85Li0.15 | 0.26 | 0.45 ± 0.04 | 0.51 ± 0.09 |
| Cu1.80Li0.20S | 0.20 | 0.59 ± 0.10 | 0.49 ± 0.02 |
| Cu1.75Li0.25S | 0.58 | 0.33 ± 0.01 | 0.28 ± 0.04 |
| Materials | Year | Synthesis | α, mVK−1 | σ, S cm−1 | PF = α2σ, μWcm−1K−2 | k, Wm−1K−1 | T, °C | ZTmax | Ref. |
|---|---|---|---|---|---|---|---|---|---|
| Cu1.98S1/3Se1/3Te1/3 (p-type) | 2017 | Melting + annealing + SPS | 0.243 | 182 | 10.7 | 0.57 | 727 | 1.9 | [179] |
| Cu1.97S (p-type) | 2014 | Melting + annealing + SPS | 0.3 | 100 | 8.2 | 0.48 | 727 | 1.7 | [84] |
| Na0.01Cu1.80S (p-type) | 2016 | Mechanical Alloying + SPS | 0.110 | 850 | 10.5 | 0.7 | 500 | 1.1 | [31] |
| Na0.04Cu1.96Se + micropores (p-type) | 2019 | Hydrothermal method + HP | ~0.29 | ~130 | ~11 | ~0.54 | 700 | 2.1 | [53] |
| Cu1.98Li0.02S + nanopores | 2018 | Hydrothermal method + HP | ~0.27 | ~145 | ~10.6 | 0.48 | 700 | 2.14 | [200] |
| Cu1.94Al0.02Se | 2014 | Melting + BM + SPS | 0.246 | 261 | 15.8 | 0.611 | 756 | 2.62 | [177] |
| Cu2Se + 1 mol% CuInSe2 (p-type) | 2017 | BM + SPS | 0.15 | 550 | 12.4 | 0.4 | 577 | 2.63 | [85] |
| Cu1.94Se0.5S0.5 (p-type) | 2017 | Melting + annealing + SPS + HP | 0.37 | ~96 | 13.2 | ~0.6 | 727 | 2.3 | [86] |
| Cu2-xS + 0.75 wt% Grapheme (p-type) | 2018 | BM+SPS + annealing in 95 vol% Ar and 5 vol% H2 | ~0.16 | ~450 | ~12 | 0.67 | 600 | ~1.5 | [169] |
| Ag2Sb0.02Te0.98 (n-type) | 2020 | Vacuum melting + +annealing at 1000 °C and 400 °C + cooling at −173 °C | ~0.106 | ~870 | ~9.8 | ~0.29 | 137 | 1.4 | [166] |
| Cu2Se + 0.3 wt.% carbon fiber (p-type) | 2017 | Solid state Cu2Se synthesis + BM + CP + annealing | 0.175 | 375 | 11.5 | 0.4 | 577 | 2.4 | [201] |
| Bi0.5Sb1.5Te3 + x% Te (p-type) | 2015 | Liquid-phase compacting + SPS | ~0.24 | ~650 | ~37 | ~0.65 | 47 | 1.86 | [87] |
| Pb0.940Mg0.020Na0.040Te (p-type) | 2016 | Solid state synthesis from elements + SPS | ~0.24 | ~400 | ~23 | ~1 | 577 | 1.8 | [89] |
| PbTe + 0.2% PbI2 (n-type) | 2016 | Solid state synthesis from elements + SPS | ~0.23 | ~330 | ~20 | ~1.2 | 477 | 1.4 | [89] |
| Ta0.74V0.1Ti0.16FeSb (p-type) | 2019 | BM + HP | ~0.225 | ~1040 | ~52 | ~3.35 | 700 | 1.52 | [88] |
| MgAg0.965Ni0.005Sb0.99 (p-type) | 2015 | BM + HP | ~0.235 | ~450 | ~25 | ~1.1 | 245 | ~1.15 | [90] |
| SnSe1−xBrx (n-type) | 2018 | The temperature gradient method and bromine doping | ~0.48 | ~38 | ~9 | ~0.245 | 500 | 2.8 | [91] |
| Bi2Te2.79Se0.21 (n-type) | 2015 | Zone melting + BM + HP + hot deformation | ~0.192 | ~970 | ~36 | ~1.1 | 84 | 1.2 | [92] |
Publisher’s Note: MDPI stays neutral with regard to jurisdictional claims in published maps and institutional affiliations. |
© 2021 by the authors. Licensee MDPI, Basel, Switzerland. This article is an open access article distributed under the terms and conditions of the Creative Commons Attribution (CC BY) license (https://creativecommons.org/licenses/by/4.0/).
Share and Cite
Kubenova, M.M.; Kuterbekov, K.A.; Balapanov, M.K.; Ishembetov, R.K.; Kabyshev, A.M.; Bekmyrza, K.Z. Some Thermoelectric Phenomena in Copper Chalcogenides Replaced by Lithium and Sodium Alkaline Metals. Nanomaterials 2021, 11, 2238. https://doi.org/10.3390/nano11092238
Kubenova MM, Kuterbekov KA, Balapanov MK, Ishembetov RK, Kabyshev AM, Bekmyrza KZ. Some Thermoelectric Phenomena in Copper Chalcogenides Replaced by Lithium and Sodium Alkaline Metals. Nanomaterials. 2021; 11(9):2238. https://doi.org/10.3390/nano11092238
Chicago/Turabian StyleKubenova, Marzhan M., Kairat A. Kuterbekov, Malik K. Balapanov, Rais K. Ishembetov, Asset M. Kabyshev, and Kenzhebatyr Z. Bekmyrza. 2021. "Some Thermoelectric Phenomena in Copper Chalcogenides Replaced by Lithium and Sodium Alkaline Metals" Nanomaterials 11, no. 9: 2238. https://doi.org/10.3390/nano11092238
APA StyleKubenova, M. M., Kuterbekov, K. A., Balapanov, M. K., Ishembetov, R. K., Kabyshev, A. M., & Bekmyrza, K. Z. (2021). Some Thermoelectric Phenomena in Copper Chalcogenides Replaced by Lithium and Sodium Alkaline Metals. Nanomaterials, 11(9), 2238. https://doi.org/10.3390/nano11092238
