Structural Monitoring of Glass Fiber/Epoxy Laminates by Means of Carbon Nanotubes and Carbon Black Self-Monitoring Plies
Abstract
1. Introduction
2. Materials and Methods
2.1. Resins Preparation and Characterization
2.2. Glass Fabric Laminates Preparation
2.3. Sensored Laminates Testing
3. Results and Discussion
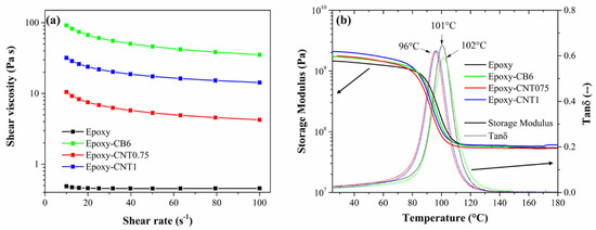
3.1. Resin Characterization
3.2. Electrical and Morphological Characterization of Self-Monitoring Plies
3.3. Self-Monitoring Performances of the Laminates
3.4. Self-Monitoring Performances on Impact
4. Conclusions
Author Contributions
Funding
Institutional Review Board Statement
Informed Consent Statement
Data Availability Statement
Acknowledgments
Conflicts of Interest
References
- Wichmann, M.H.G.; Buschhorn, S.T.; Gehrmann, J.; Schulte, K. Piezoresistive response of epoxy composites with carbon nanoparticles under tensile load. Phys. Rev. B Condens. Matter Mater. Phys. 2009, 80, 1–8. [Google Scholar] [CrossRef]
- Chung, D.D.L. Carbon materials for structural self-sensing, electromagnetic shielding and thermal interfacing. Carbon N. Y. 2012, 50, 3342–3353. [Google Scholar] [CrossRef]
- Nanni, F.; Auricchio, F.; Sarchi, F.; Forte, G.; Gusmano, G. Self-sensing CF-GFRP rods as mechanical reinforcement and sensors of concrete beams. Smart Mater. Struct. 2006, 15, 182–186. [Google Scholar] [CrossRef]
- Caporale, A.; Feo, L.; Hui, D.; Luciano, R. Debonding of FRP in multi-span masonry arch structures via limit analysis. Compos. Struct. 2014, 108, 856–865. [Google Scholar] [CrossRef]
- Qureshi, Y.; Tarfaoui, M.; Lafdi, K. Multi-mode real-time strain monitoring in composites using low vacuum carbon fibers as a strain sensor under different loading conditions. Smart Mater. Struct. 2020, 29, 085035. [Google Scholar] [CrossRef]
- Okuhara, Y.; Matsubara, H. Carbon-matrix composites with continuous glass fiber and carbon black for maximum strain sensing. Carbon N. Y. 2007, 45, 1152–1159. [Google Scholar] [CrossRef]
- Nanni, F.; Ruscito, G.; Puglia, D.; Terenzi, A.; Kenny, J.M.; Gusmano, G. Effect of carbon black nanoparticle intrinsic properties on the self-monitoring performance of glass fibre reinforced composite rods. Compos. Sci. Technol. 2011, 71, 1–8. [Google Scholar] [CrossRef]
- Patti, A.; Barretta, R.; Marotti de Sciarra, F.; Mensitieri, G.; Menna, C.; Russo, P. Flexural properties of multi-wall carbon nanotube/polypropylene composites: Experimental investigation and nonlocal modeling. Compos. Struct. 2015, 131, 282–289. [Google Scholar] [CrossRef]
- Rabbi, M.F.; Chalivendra, V. Strain and damage sensing in additively manufactured CB/ABS polymer composites. Polym. Test. 2020, 90, 106688. [Google Scholar] [CrossRef]
- Esmaeili, A.; Sbarufatti, C.; Jiménez-Suárez, A.; Urena, A.; Hamouda, A.M. Piezoresistive characterization of epoxy based nanocomposites loaded with SWCNTs-DWCNTs in tensile and fracture tests. Polym. Compos. 2020, 41, 2598–2609. [Google Scholar] [CrossRef]
- Cao, X.; Wei, X.; Li, G.; Hu, C.; Dai, K.; Guo, J.; Zheng, G.; Liu, C.; Shen, C.; Guo, Z. Strain sensing behaviors of epoxy nanocomposites with carbon nanotubes under cyclic deformation. Polymer 2017, 112, 1–9. [Google Scholar] [CrossRef]
- Moriche, R.; Sánchez, M.; Jiménez-Suárez, A.; Prolongo, S.G.; Ureña, A. Strain monitoring mechanisms of sensors based on the addition of graphene nanoplatelets into an epoxy matrix. Compos. Sci. Technol. 2016, 123, 65–70. [Google Scholar] [CrossRef]
- Kirkpatrick, S. Percolation and Conduction. Rev. Mod. Phys. 1973, 45, 574–588. [Google Scholar] [CrossRef]
- Pudlak, M.; Pincak, R. Effect of the magnetic field on the edge states of zig-zag single wall carbon nanotubes. Phys. Lett. Sect. A Gen. At. Solid State Phys. 2013, 377, 2384–2387. [Google Scholar] [CrossRef]
- Pincak, R.; Pudlak, M.; Smotlacha, J. Electronic Properties of Single and Double Wall Carbon Nanotubes. In Carbon Nanotubes: Synthesis and Properties; Springer: Berlin, Germany, 2012; pp. 202–225. [Google Scholar]
- Pincak, R.; Pudlak, M. The electronic properties of double wall carbon nanotubes. J. Phys. Conf. Ser. 2012, 393. [Google Scholar] [CrossRef]
- Thostenson, E.T.; Chou, T.W. Carbon nanotube networks: Sensing of distributed strain and damage for life prediction and self healing. Adv. Mater. 2006, 18, 2837–2841. [Google Scholar] [CrossRef]
- Dawoud, M.; Taha, I.; Ebeid, S.J. Strain sensing behaviour of 3D printed carbon black filled ABS. J. Manuf. Process. 2018, 35, 337–342. [Google Scholar] [CrossRef]
- Dul, S.; Pegoretti, A.; Fambri, L. Fused Filament Fabrication of Piezoresistive Carbon Nanotubes Nanocomposites for Strain Monitoring. Front. Mater. 2020, 7, 1–13. [Google Scholar] [CrossRef]
- Luo, S.; Liu, T. Structure-property-processing relationships of single-wall carbon nanotube thin film piezoresistive sensors. Carbon 2013. [Google Scholar] [CrossRef]
- Kumar, S.; Gupta, T.K.; Varadarajan, K.M. Strong, stretchable and ultrasensitive MWCNT/TPU nanocomposites for piezoresistive strain sensing. Compos. Part B Eng. 2019, 177, 107285. [Google Scholar] [CrossRef]
- Bilotti, E.; Zhang, H.; Deng, H.; Zhang, R.; Fu, Q.; Peijs, T. Controlling the dynamic percolation of carbon nanotube based conductive polymer composites by addition of secondary nanofillers: The effect on electrical conductivity and tuneable sensing behaviour. Compos. Sci. Technol. 2012. [Google Scholar] [CrossRef]
- Shehzad, K.; Zha, J.-W.; Zhang, Z.-F.; Yuan, J.-K.; Dang, Z.-M. Piezoresistive Behavior of Electrically Conductive Carbon Fillers/Thermoplastic Elastomer Nanocomposites. J. Adv. Phys. 2013, 2, 70–74. [Google Scholar] [CrossRef]
- Hwang, S.-H.; Park, H.W.; Park, Y.-B.; Um, M.-K.; Byun, J.-H.; Kwon, S. Electromechanical strain sensing using polycarbonate-impregnated carbon nanotube-graphene nanoplatelet hybrid composite sheets. Compos. Sci. Technol. 2013. [Google Scholar] [CrossRef]
- Xosé Fernández Sánchez-Romate, X.; Jiménez Suárez, A.; González Prolongo, S. Smart Coatings with Carbon Nanoparticles. In Surface Science; IntechOpen: London, UK, 2020; pp. 1–22. [Google Scholar]
- Bragaglia, M.; Paleari, L.; Lamastra, F.R.; Puglia, D.; Fabbrocino, F.; Nanni, F. Graphene nanoplatelet, multiwall carbon nanotube, and hybrid multiwall carbon nanotube–graphene nanoplatelet epoxy nanocomposites as strain sensing coatings. J. Reinf. Plast. Compos. 2021. [Google Scholar] [CrossRef]
- Tseng, J.-W.; Liu, C.-Y.; Yen, Y.-K.; Belkner, J.; Bremicker, T.; Liu, B.H.; Sun, T.-J.; Wang, A.-B. Screw extrusion-based additive manufacturing of PEEK. Mater. Des. 2018, 140, 209–221. [Google Scholar] [CrossRef]
- Qu, M.; Qin, Y.; Xu, W.; Zheng, Z.; Xu, H.; Schubert, D.W.; Gao, Q. Electrically conductive NBR/CB flexible composite film for ultrastretchable strain sensors: Fabrication and modeling. Appl. Nanosci. 2021, 11, 429–439. [Google Scholar] [CrossRef]
- Liu, W.; Gong, L.; Yang, H. Integrated conductive rubber composites for contact deformation detection of tubular seals. Polym. Test. 2021, 96, 107089. [Google Scholar] [CrossRef]
- Bauhofer, W.; Kovacs, J.Z. A review and analysis of electrical percolation in carbon nanotube polymer composites. Compos. Sci. Technol. 2009, 69, 1486–1498. [Google Scholar] [CrossRef]
- Sánchez-Romate, X.F.; Artigas, J.; Jiménez-Suárez, A.; Sánchez, M.; Güemes, A.; Ureña, A. Critical parameters of carbon nanotube reinforced composites for structural health monitoring applications: Empirical results versus theoretical predictions. Compos. Sci. Technol. 2019, 171, 44–53. [Google Scholar] [CrossRef]
- Hwang, M.Y.; Han, D.H.; Kang, L.H. Piezoresistive multi-walled carbon nanotube/epoxy strain sensor with pattern design. Materials 2019, 12, 3962. [Google Scholar] [CrossRef] [PubMed]
- Andreghetto, D.H.; de Compos Fuzari, G. Piezoresistive epoxy resin films with carbon black particles for small-strain sensors. Polym. Bull. 2020, 77, 3725–3734. [Google Scholar] [CrossRef]
- Butt, H.A.; Lomov, S.V.; Akhatov, I.S.; Abaimov, S.G. Self-diagnostic carbon nanocomposites manufactured from industrial epoxy masterbatches. Compos. Struct. 2020. [Google Scholar] [CrossRef]
- Tzounis, L.; Zappalorto, M.; Panozzo, F.; Tsirka, K.; Maragoni, L.; Paipetis, A.S.; Quaresimin, M. Highly conductive ultra-sensitive SWCNT-coated glass fiber reinforcements for laminate composites structural health monitoring. Compos. Part B Eng. 2019, 169, 37–44. [Google Scholar] [CrossRef]
- Naghashpour, A.; Hoa, S. Van In situ monitoring of through-thickness strain in glass fiber/epoxy composite laminates using carbon nanotube sensors. Compos. Sci. Technol. 2013, 78, 41–47. [Google Scholar] [CrossRef]
- Reghat, M.; Mirabedini, A.; Tan, M.; Weizman, Y.; Middendorf, P.; Bjekovic, R.; Hyde, L.; Antiohos, D.; Hameed, N.; Fuss, F.K.; et al. Graphene as a piezo-resistive coating to enable strain monitoring in glass fiber composites. Compos. Sci. Technol. 2021, 211, 108842. [Google Scholar] [CrossRef]
- ELANTAS. Elan-Tech® W 152 Safety Data Sheet; (Version 1.1 SDB_GB); 9 March 2013. [Google Scholar]
- Nanni, F.; Mayoral, B.L.; Madau, F.; Montesperelli, G.; McNally, T. Effect of MWCNT alignment on mechanical and self-monitoring properties of extruded PET-MWCNT nanocomposites. Compos. Sci. Technol. 2012, 72, 1140–1146. [Google Scholar] [CrossRef]
- Berni, A.; Mennig, M.; Schmidt, H. 2.2. 8 Doctor Blade. In Sol-Gel Technologies for Glass Producer and Users; Springer: Boston, MA, USA, 2004; pp. 8–11. ISBN 978-0-387-88953-5. [Google Scholar]
- Kim, J.A.; Seong, D.G.; Kang, T.J.; Youn, J.R. Effects of surface modification on rheological and mechanical properties of CNT/epoxy composites. Carbon N. Y. 2006, 44, 1898–1905. [Google Scholar] [CrossRef]
- Polychronopoulos, N.D.; Vlachopoulos, J. Polymer Processing and Rheology NanoThermia-Magnetic Targeting of Nanoparticles Across The Blood-Brain Barrier For The Purpose Of Thermal Ablation Of Glioblastoma Multiforme View Project; Springer: Berlin, Germany, 2018. [Google Scholar] [CrossRef]
- Bisht, A.; Dasgupta, K.; Lahiri, D. Effect of graphene and CNT reinforcement on mechanical and thermomechanical behavior of epoxy—A comparative study. J. Appl. Polym. Sci. 2018, 135. [Google Scholar] [CrossRef]
- Chou, T.W.; Gao, L.; Thostenson, E.T.; Zhang, Z.; Byun, J.H. An assessment of the science and technology of carbon nanotube-based fibers and composites. Compos. Sci. Technol. 2010, 70, 1–19. [Google Scholar] [CrossRef]
- Logakis, E.; Pissis, P.; Pospiech, D.; Korwitz, A.; Krause, B.; Reuter, U.; Pötschke, P. Low electrical percolation threshold in poly(ethylene terephthalate)/multi-walled carbon nanotube nanocomposites. Eur. Polym. J. 2010, 46, 928–936. [Google Scholar] [CrossRef]
- Hu, N.; Masuda, Z.; Yan, C.; Yamamoto, G.; Fukunaga, H.; Hashida, T. The electrical properties of polymer nanocomposites with carbon nanotube fillers. Nanotechnology 2008, 19, 10. [Google Scholar] [CrossRef] [PubMed]
- Al-Saleh, M.H.; Sundararaj, U. A review of vapor grown carbon nanofiber/polymer conductive composites. Carbon N. Y. 2009, 47, 2–22. [Google Scholar] [CrossRef]
- Luheng, W.; Tianhuai, D.; Peng, W. Influence of carbon black concentration on piezoresistivity for carbon-black-filled silicone rubber composite. Carbon N. Y. 2009, 47, 3151–3157. [Google Scholar] [CrossRef]
- Simmons, J.G. Generalized Formula for the Electric Tunnel Effect between Similar Electrodes Separated by a Thin Insulating Film. J. Appl. Phys. 1963, 34, 1793–1803. [Google Scholar] [CrossRef]
- Sheng, P.; Sichel, E.K.; Gittleman, J.I. Fluctuation-induced tunneling conduction in carbon-polyvinylchloride composites. Phys. Rev. Lett. 1978, 40, 1197–1200. [Google Scholar] [CrossRef]
- Vertuccio, L.; Vittoria, V.; Guadagno, L.; De Santis, F. Strain and damage monitoring in carbon-nanotube-based composite under cyclic strain. Compos. Part A Appl. Sci. Manuf. 2015, 71, 9–16. [Google Scholar] [CrossRef]
- Tanabi, H.; Erdal, M. Effect of CNTs dispersion on electrical, mechanical and strain sensing properties of CNT/epoxy nanocomposites. Results Phys. 2019, 12, 486–503. [Google Scholar] [CrossRef]
- De la Vega, A.; Kinloch, I.A.; Young, R.J.; Bauhofer, W.; Schulte, K. Simultaneous global and local strain sensing in SWCNT-epoxy composites by Raman and impedance spectroscopy. Compos. Sci. Technol. 2011, 71, 160–166. [Google Scholar] [CrossRef]
- Meeuw, H.; Viets, C.; Liebig, W.V.; Schulte, K.; Fiedler, B. Morphological influence of carbon nanofillers on the piezoresistive response of carbon nanoparticle/epoxy composites under mechanical load. Eur. Polym. J. 2016, 85, 198–210. [Google Scholar] [CrossRef]
- Li, C.; Thostenson, E.T.; Chou, T.W. Dominant role of tunneling resistance in the electrical conductivity of carbon nanotube-based composites. Appl. Phys. Lett. 2007, 91, 91–94. [Google Scholar] [CrossRef]
- Nanni, F.; Ruscito, G.; Forte, G.; Gusmano, G. Design, manufacture and testing of self-sensing carbon fibre-glass fibre reinforced polymer rods. Smart Mater. Struct. 2007, 16, 2368–2374. [Google Scholar] [CrossRef]
- Bautista-Quijano, J.R.; Avilés, F.; Aguilar, J.O.; Tapia, A. Strain sensing capabilities of a piezoresistive MWCNT-polysulfone film. Sens. Actuators A Phys. 2010, 159, 135–140. [Google Scholar] [CrossRef]
- Zhang, R.; Deng, H.; Valenca, R.; Jin, J.; Fu, Q.; Bilotti, E.; Peijs, T. Strain sensing behaviour of elastomeric composite films containing carbon nanotubes under cyclic loading. Compos. Sci. Technol. 2013, 74, 1–5. [Google Scholar] [CrossRef]
- Gao, L.; Chou, T.W.; Thostenson, E.T.; Zhang, Z.; Coulaud, M. In situ sensing of impact damage in epoxy/glass fiber composites using percolating carbon nanotube networks. Carbon N. Y. 2011, 49, 3382–3385. [Google Scholar] [CrossRef]
- Zhang, H.; Bilotti, E.; Peijs, T. The use of carbon nanotubes for damage sensing and structural health monitoring in laminated composites: A review. Nanocomposites 2015, 1, 167–184. [Google Scholar] [CrossRef]
- Gao, L.; Thostenson, E.T.; Zhang, Z.; Chou, T.W. Coupled carbon nanotube network and acoustic emission monitoring for sensing of damage development in composites. Carbon N. Y. 2009, 47, 1381–1388. [Google Scholar] [CrossRef]









| Resin Name | Filler Type | Filler Content (wt %) |
|---|---|---|
| Epoxy | none | - |
| Epoxy-CB6 | CB | 6 |
| Epoxy-CNT0.75 | MWCNT | 0.75 |
| Epoxy-CNT1 | MWCNT | 1 |
| Self-Monitoring Plies | Laminate Sample Name | |
|---|---|---|
| Resin Type | Number of SMPs | |
| Epoxy-CB6 | 1 | CB6_1 |
| 2 | CB6_2 | |
| Epoxy-CNT0.75 | 1 | CNT0.75_1 |
| 2 | CNT0.75_2 | |
| Epoxy-CNT1 | 1 | CNT1_1 |
| Dynamic Mechanical Analysis | Average SMP Electrical Resistance (R0, kΩ) | ||
|---|---|---|---|
| Resin System | E’ at 25 °C (GPa) | Tg (°C) | |
| Epoxy | 1.45 ± 0.06 | 100.6 ± 0.3 | - |
| Epoxy-CB6 | 1.72 ± 0.07 | 101.7 ± 0.5 | 402 ± 38 |
| Epoxy-CNT0.75 | 1.76 ± 0.10 | 96.0 ± 1.0 | 611 ± 8 |
| Epoxy-CNT1 | 2.08 ± 0.09 | 96.6 ± 0.8 | 4805 |
| Sample | Monotonic Bending | Cyclic Bending | ||
|---|---|---|---|---|
| Max Load (n) | Max ΔR/R0 (%) | Max Load (n) | Max ΔR/R0 (%) | |
| CB6_1 | 204.5 | 6.49 | 328.5 | 8.38 |
| CNT0.75_1 | 246.7 | 1.69 | 273.1 | 2.64 |
| CNT1_1 | 404.7 | 1.25 | 399.1 | 1.68 |
Publisher’s Note: MDPI stays neutral with regard to jurisdictional claims in published maps and institutional affiliations. |
© 2021 by the authors. Licensee MDPI, Basel, Switzerland. This article is an open access article distributed under the terms and conditions of the Creative Commons Attribution (CC BY) license (https://creativecommons.org/licenses/by/4.0/).
Share and Cite
Paleari, L.; Bragaglia, M.; Fabbrocino, F.; Nanni, F. Structural Monitoring of Glass Fiber/Epoxy Laminates by Means of Carbon Nanotubes and Carbon Black Self-Monitoring Plies. Nanomaterials 2021, 11, 1543. https://doi.org/10.3390/nano11061543
Paleari L, Bragaglia M, Fabbrocino F, Nanni F. Structural Monitoring of Glass Fiber/Epoxy Laminates by Means of Carbon Nanotubes and Carbon Black Self-Monitoring Plies. Nanomaterials. 2021; 11(6):1543. https://doi.org/10.3390/nano11061543
Chicago/Turabian StylePaleari, Lorenzo, Mario Bragaglia, Francesco Fabbrocino, and Francesca Nanni. 2021. "Structural Monitoring of Glass Fiber/Epoxy Laminates by Means of Carbon Nanotubes and Carbon Black Self-Monitoring Plies" Nanomaterials 11, no. 6: 1543. https://doi.org/10.3390/nano11061543
APA StylePaleari, L., Bragaglia, M., Fabbrocino, F., & Nanni, F. (2021). Structural Monitoring of Glass Fiber/Epoxy Laminates by Means of Carbon Nanotubes and Carbon Black Self-Monitoring Plies. Nanomaterials, 11(6), 1543. https://doi.org/10.3390/nano11061543

