Flexible SAW Microfluidic Devices as Wearable pH Sensors Based on ZnO Nanoparticles
Abstract
1. Introduction
2. Materials and Methods
2.1. Sample Preparation
2.2. Lithography Processes for Microfabrication of PEN/AlN/SU-8-Based Device
2.3. ZnO Nanoparticles’ (NPs) Synthesis and Microchannel Functionalization
2.4. Buffer Solutions Preparation
3. Results and Discussion
3.1. Mechanical Properties
3.2. Chemical–Physical Properties of Microfluidic Functionalization
3.3. ZnO Nanoparticles (NPs) Characterization
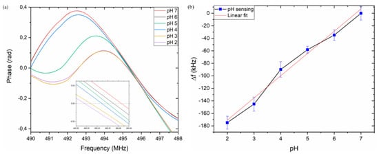
3.4. Electroacoustic Response of the SAW Device
4. Conclusions
Author Contributions
Funding
Acknowledgments
Conflicts of Interest
References
- Fu, Y.; Luo, J.; Nguyen, N.; Walton, A.; Flewitt, A.; Zu, X.; Li, Y.; McHale, G.; Matthews, A.; Iborra, E.; et al. Advances in piezoelectric thin films for acoustic biosensors, acoustofluidics and lab-on-chip applications. Prog. Mater. Sci. 2017, 89, 31–91. [Google Scholar] [CrossRef]
- Oh, H.; Lee, K.J.; Baek, J.; Yang, S.S.; Lee, K. Development of a high sensitive pH sensor based on shear horizontal surface acoustic wave with ZnO nanoparticles. Microelectron. Eng. 2013, 111, 154–159. [Google Scholar] [CrossRef]
- Ramshani, Z.; Reddy, A.S.; Narakathu, B.B.; Wabeke, J.T.; Obare, S.O.; Atashbar, M.Z. SH-SAW sensor based microfluidic system for the detection of heavy metal compounds in liquid environments. Sens. Actuators B Chem. 2015, 217, 72–77. [Google Scholar] [CrossRef]
- Lamanna, L.; Rizzi, F.; De Vittorio, M.; Bhethanabotla, V.R. Light interaction with AlN-based SAW device fabricated on flexible and silicon substrate. In Proceedings of the IEEE Sensors, Montreal, QC, Canada, 27–30 October 2019; pp. 1–4. [Google Scholar]
- Lamanna, L.; Rizzi, F.; Bhethanabotla, V.R.; De Vittorio, M. GHz AlN-based multiple mode SAW temperature sensor fabricated on PEN substrate. Sens. Actuators A Phys. 2020, 315, 112268. [Google Scholar] [CrossRef]
- Lamanna, L.; Rizzi, F.; Bianco, M.; Agostini, M.; Cecchini, M.; De Vittorio, M.; Bhethanabotla, V.R. Photoresponse of the AlN-Based SAW Device on Polymeric and Silicon Substrates. IEEE Sens. J. 2021, 21, 9675–9681. [Google Scholar] [CrossRef]
- Lamanna, L.; Rizzi, F.; Giudo, F.; De Vittorio, M. Flexible Dual-Wave Mode AlN-Based Surface Acoustic Wave Device on Polymeric Substrate. IEEE Electron Device Lett. 2020, 41, 1692–1695. [Google Scholar] [CrossRef]
- Kidakova, A.; Boroznjak, R.; Reut, J.; Öpik, A.; Saarma, M.; Syritski, V. Molecularly imprinted polymer-based SAW sensor for label-free detection of cerebral dopamine neurotrophic factor protein. Sens. Actuators B Chem. 2020, 308, 127708. [Google Scholar] [CrossRef]
- Jiang, Y.; Tan, C.Y.; Tan, S.Y.; Wong, M.S.F.; Chen, Y.F.; Zhang, L.; Yao, K.; Gan, S.K.E.; Verma, C.; Tan, Y.-J. SAW sensor for Influenza A virus detection enabled with efficient surface functionalization. Sens. Actuators B Chem. 2015, 209, 78–84. [Google Scholar] [CrossRef]
- Di Pietrantonio, F.; Cannata’, D.; Benetti, M.; Verona, E.; Varriale, A.; Staiano, M.; D’Auria, S. Detection of odorant molecules via surface acoustic wave biosensor array based on odorant-binding proteins. Biosens. Bioelectron. 2013, 41, 328–334. [Google Scholar] [CrossRef] [PubMed]
- Kao, K.S.; Cheng, C.C.; Chen, Y.C.; Chen, C.H. The dispersion properties of surface acoustic wave devices on AlN/LiNbO3 film/substrate structure. Appl. Surf. Sci. 2004, 230, 334–339. [Google Scholar] [CrossRef]
- Jin, H.; Zhou, J.; He, X.; Wang, W.; Guo, H.; Dong, S.; Wang, D.; Xu, Y.; Geng, J.; Luo, J.K.; et al. Flexible surface acoustic wave resonators built on disposable plastic film for electronics and lab-on-a-chip applications. Sci. Rep. 2013, 3, 2140. [Google Scholar] [CrossRef] [PubMed]
- Lamanna, L.; Rizzi, F.; Guido, F.; Algieri, L.; Marras, S.; Mastronardi, V.M.; Qualtieri, A.; De Vittorio, M. Flexible and Transparent Aluminum-Nitride-Based Surface-Acoustic-Wave Device on Polymeric Polyethylene Naphthalate. Adv. Electron. Mater. 2019, 5, 1900095. [Google Scholar] [CrossRef]
- Manjakkal, L.; Szwagierczak, D.; Dahiya, R. Metal oxides based electrochemical pH sensors: Current progress and future perspectives. Prog. Mater. Sci. 2020, 109, 100635. [Google Scholar] [CrossRef]
- Lee, H.; Choi, T.K.; Lee, Y.B.; Cho, H.R.; Ghaffari, R.; Wang, L.; Choi, H.J.; Chung, T.D.; Lu, N.; Hyeon, T.; et al. A graphene-based electrochemical device with thermoresponsive microneedles for diabetes monitoring and therapy. Nat. Nanotechnol. 2016, 11, 566–572. [Google Scholar] [CrossRef]
- Wencel, D.; Abel, T.; McDonagh, C. Optical Chemical pH Sensors. Anal. Chem. 2014, 86, 15–29. [Google Scholar] [CrossRef] [PubMed]
- Wypych, G. PEN poly(ethylene 2,6-naphthalate). In Handbook of Polymers; Wypych, G., Ed.; Elsevier BV: Amsterdam, The Netherlands, 2012; pp. 372–376. [Google Scholar]
- Bedia, E.L.; Murakami, S.; Kitade, T.; Kohjiya, S. Structural development and mechanical properties of polyethylene naphthalate/polyethylene terephthalate blends during uniaxial drawing. Polymer 2001, 42, 7299–7305. [Google Scholar] [CrossRef]
- Meinschien, J.; Falk, F.; Hobert, H.; Stafast, H. Deposition of SiC and AlN thin films by laser ablation. Appl. Surf. Sci. 1999, 138–139, 543–548. [Google Scholar] [CrossRef]
- Iriarte, G.F.; Rodríguez, J.G.; Calle, F. Synthesis of c-axis oriented AlN thin films on different substrates: A review. Mater. Res. Bull. 2010, 45, 1039–1045. [Google Scholar] [CrossRef]
- Berg, N.G.; Paskova, T.; Ivanisevic, A. Tuning the biocompatibility of aluminum nitride. Mater. Lett. 2017, 189, 1–4. [Google Scholar] [CrossRef]
- Basillais, A.; Boulmer-Leborgne, C.; Mathias, J.; Perrière, J. Influence of the growth conditions of AlN and GaN films by reactive laser ablation. Appl. Surf. Sci. 2002, 186, 416–422. [Google Scholar] [CrossRef]
- You, Y.; Ito, A.; Tu, R.; Goto, T. Preparation of the c-axis oriented AlN film by laser chemical vapor deposition using a newly proposed Al(acac)3 precursor. J. Cryst. Growth. 2013, 365, 1–5. [Google Scholar] [CrossRef]
- Lamanna, L.; Rizzi, F.; Bhethanabotla, V.R.; De Vittorio, M. Conformable surface acoustic wave biosensor for E-coli fabricated on PEN plastic film. Biosens. Bioelectron. 2020, 163, 112164. [Google Scholar] [CrossRef] [PubMed]
- Winkler, A.; Brünig, R.; Faust, C.; Weser, R.; Schmidt, H. Towards efficient surface acoustic wave (SAW)-based microfluidic actuators. Sensors Actuators A Phys. 2016, 247, 259–268. [Google Scholar] [CrossRef]
- Kołodziejczak-Radzimska, A.; Jesionowski, T. Zinc Oxide—From Synthesis to Application. Rev. Mater. 2014, 7, 2833–2881. [Google Scholar]
- Al-Hilli, S.M.; Willander, M.; Öst, A.; Strålfors, P. ZnO nanorods as an intracellular sensor for pH measurements. J. Appl. Phys. 2007, 102, 084304. [Google Scholar] [CrossRef]
- Ouattara, L.; Knutzen, M.; Keller, S.S.; Hansen, M.F.; Boisen, A. Double layer resist process scheme for metal lift-off with application in inductive heating of microstructures. Microelectron. Eng. 2010, 87, 1226–1228. [Google Scholar] [CrossRef]
- Wang, X.; Chen, Y.; Banu, S.; Morgan, H.; Fu, S.; Cui, Z. High density patterns fabricated in SU-8 by UV curing nanoimprint. Microelectron. Eng. 2007, 84, 872–876. [Google Scholar] [CrossRef]
- Abgrall, P.; Lattes, C.; Conédéra, V.; Dollat, X.; Colin, S.; Gué, A.M. A novel fabrication method of flexible and monolithic 3D microfluidic structures using lamination of SU-8 films. J. Micromech. Microeng. 2005, 16, 113–121. [Google Scholar] [CrossRef]
- Blanco, F.J.; Agirregabiria, M.; Garcia, J.; Berganzo, J.; Tijero, M.; Arroyo, M.T.; Ruano, J.M.; Aramburu, I.; Mayora, K. Novel three-dimensional embedded SU-8 microchannels fabricated using a low temperature full wafer adhesive bonding. J. Micromech. Microeng. 2004, 14, 1047–1056. [Google Scholar] [CrossRef]
- Nemani, K.V.; Moodie, K.L.; Brennick, J.B.; Su, A.; Gimi, B. In vitro and in vivo evaluation of SU-8 biocompatibility. Mater. Sci. Eng. C. 2013, 33, 4453–4459. [Google Scholar] [CrossRef] [PubMed]
- Adam, R.E.; Pozina, G.; Willander, M.; Nur, O. Synthesis of ZnO nanoparticles by co-precipitation method for solar driven photodegradation of Congo red dye at different pH. Photon-Nanostruct.-Fundam. Appl. 2018, 32, 11–18. [Google Scholar] [CrossRef]
- Choi, J.; Chen, S.; Deng, Y.; Xue, Y.; Reeder, J.T.; Franklin, D.; Oh, Y.S.; Model, J.B.; Aranyosi, A.J.; Lee, S.P.; et al. Skin-Interfaced Microfluidic Systems that Combine Hard and Soft Materials for Demanding Applications in Sweat Capture and Analysis. Adv. Health Mater. 2021, 10, 2000722. [Google Scholar] [CrossRef] [PubMed]
- Olanrewaju, A.; Beaugrand, M.; Yafia, M.; Juncker, D. Capillary microfluidics in microchannels: From microfluidic networks to capillaric circuits. Lab Chip 2018, 18, 2323–2347. [Google Scholar] [CrossRef]
- Walther, F.; Davydovskaya, P.; Zürcher, S.; Kaiser, M.; Herberg, H.; Gigler, A.M.; Stark, R.W. Stability of the hydrophilic behavior of oxygen plasma activated SU-8. J. Micromech. Microeng. 2007, 17, 524–531. [Google Scholar] [CrossRef]
- Vesel, A.; Junkar, I.; Cvelbar, U.; Kovac, J.; Mozetic, M. Surface modification of polyester by oxygen- and nitrogen-plasma treatment. Surf. Interface Anal. 2008, 40, 1444–1453. [Google Scholar] [CrossRef]
- Fernando, S.; Madusanka, N.; Kottegoda, N.; Ratnayake, U.N. Zinc Oxide Nanoparticles as an Activator for Natural Rubber Latex. In Proceedings of the International Conference on Advanced Materials, Science and Engineering, Colombo, Sri Lanka, 1–4 July 2012. [Google Scholar]










| N° Fingers | 40 Pairs |
| Wavelenght (λ) | 20 μm |
| Metallization Ratio | 0.5 |
| Acoustic Aperture | 10 λ |
| Distance between IDTs | 20 λ |
| Sample Cleaning | Acetone/Isopropanol/Water |
| Drying | N2 flow |
| Spin Coating of SU-8 2100 | 1000 rpm for 60″ |
| Soft Bake | 5′ at 65 °C (reduce stress on the film) 95′ at 95 °C |
| Exposure | 360 mJ/cm² |
| Post Exposure Bake (PEB) | 10′/65 °C |
| Development | 8–9′ in SU-8 developer |
| Rinse and Dry | Water and N2 flow |
Publisher’s Note: MDPI stays neutral with regard to jurisdictional claims in published maps and institutional affiliations. |
© 2021 by the authors. Licensee MDPI, Basel, Switzerland. This article is an open access article distributed under the terms and conditions of the Creative Commons Attribution (CC BY) license (https://creativecommons.org/licenses/by/4.0/).
Share and Cite
Piro, L.; Lamanna, L.; Guido, F.; Balena, A.; Mariello, M.; Rizzi, F.; De Vittorio, M. Flexible SAW Microfluidic Devices as Wearable pH Sensors Based on ZnO Nanoparticles. Nanomaterials 2021, 11, 1479. https://doi.org/10.3390/nano11061479
Piro L, Lamanna L, Guido F, Balena A, Mariello M, Rizzi F, De Vittorio M. Flexible SAW Microfluidic Devices as Wearable pH Sensors Based on ZnO Nanoparticles. Nanomaterials. 2021; 11(6):1479. https://doi.org/10.3390/nano11061479
Chicago/Turabian StylePiro, Luigi, Leonardo Lamanna, Francesco Guido, Antonio Balena, Massimo Mariello, Francesco Rizzi, and Massimo De Vittorio. 2021. "Flexible SAW Microfluidic Devices as Wearable pH Sensors Based on ZnO Nanoparticles" Nanomaterials 11, no. 6: 1479. https://doi.org/10.3390/nano11061479
APA StylePiro, L., Lamanna, L., Guido, F., Balena, A., Mariello, M., Rizzi, F., & De Vittorio, M. (2021). Flexible SAW Microfluidic Devices as Wearable pH Sensors Based on ZnO Nanoparticles. Nanomaterials, 11(6), 1479. https://doi.org/10.3390/nano11061479

