Synthesis of CaFe2O4-NGO Nanocomposite for Effective Removal of Heavy Metal Ion and Photocatalytic Degradation of Organic Pollutants
Abstract
1. Introduction
2. Materials and Methods
2.1. Synthesis of N-GO
2.2. Synthesis of CaFe2O4
2.3. Synthesis of Nanocomposite of N-GO and CaFe2O4 NPs
2.4. Characterization
2.5. Adsorption, Kinetics, Thermodynamics, and Desorption Studies
2.6. Optical Properties and Photocatalytic Activity Measurements
3. Results and Discussion
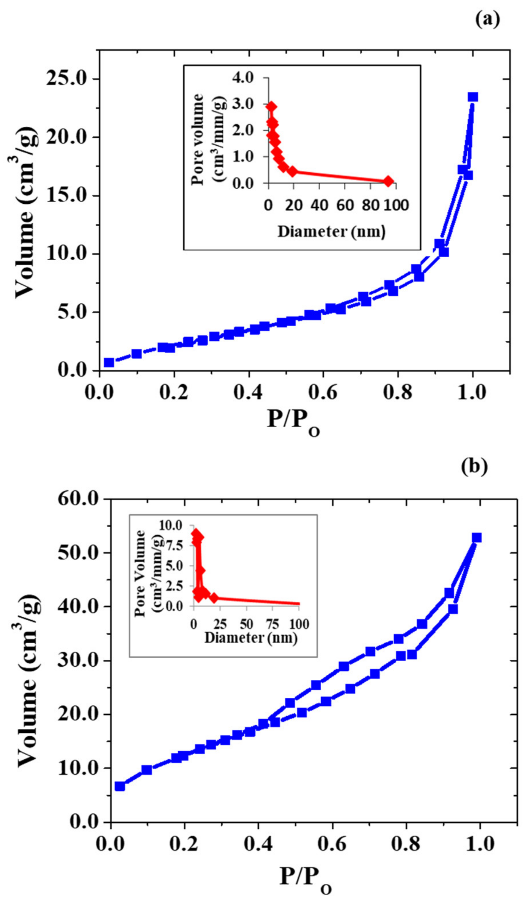
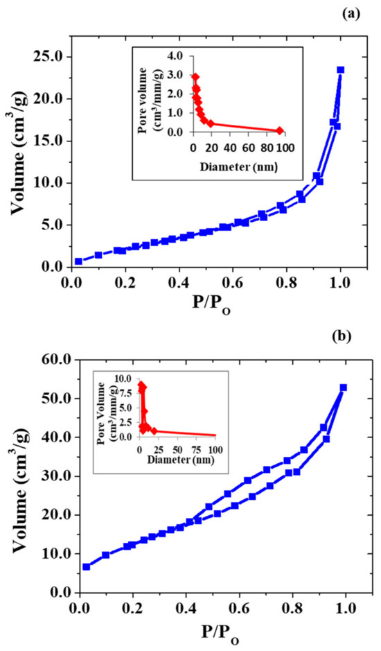
3.1. Structural Analysis
3.2. Optical Studies
3.3. Adsorption Studies for Pb(II) Ions
3.3.1. Removal Efficiency of CaFe2O4-NGO Nanocomposites
3.3.2. Effect of Contact Time and Adsorption Kinetics
3.3.3. Effect of Adsorbent Dose and Temperature
3.3.4. Adsorption Mechanism and Desorption Studies
3.3.5. Effect of Co-Existing Ions
4. Adsorption Studies for Congo Red and p-Nitrophenol
5. Photocatalytic Degradation Studies
5.1. Identification of Active Species and Photocatalytic Mechanism
5.2. Regeneration Studies
5.3. Photocatalytic Degradation of Congo Red and p-Nitrophenol in the Presence of Pb(II) Ions
6. Conclusions
Supplementary Materials
Author Contributions
Funding
Acknowledgments
Conflicts of Interest
References
- Alammar, A.; Park, S.H.; Ibrahim, I.; Arun, D.; Holtzl, T.; Dumee, L.F.; Lim, H.N.; Szekely, G. Architecting neonicotinoid-scavenging nanocomposite hydrogels for environmental remediation. Appl. Mater. Today 2020, 21, 100878. [Google Scholar] [CrossRef]
- Ma, Q.; Yu, Y.; Sindoro, M.; Fane, A.G.; Wang, R.; Zhang, H. Carbon-based functional materials derived from waste for water remediation and energy storage. Adv. Mater. 2017, 29, 1605361. [Google Scholar] [CrossRef]
- Nata, I.F.; Wicakso, D.R.; Mirwan, A.; Irawan, C.; Ramadhani, D.U. Selective adsorption of Pb(II) ion on amine-rich functionalized rice husk magnetic nanoparticle biocomposites in aqueous solution. J. Environ. Chem. Eng. 2020, 8, 104339. [Google Scholar] [CrossRef]
- Chiou, R.; Lai, B.H.; Hsu, K.C.; Chen, D.H. One-pot green synthesis of silver/iron oxide composite nanoparticles for 4-nitrophenol reduction. J. Hazard. Mater. 2013, 248, 394–400. [Google Scholar] [CrossRef]
- Etemadinia, T.; Barikbin, B.; Allahresani, A. Removal of congo red dye from aqueous solutions using ZnFe2O4/SiO2/Tragacanthgum magnetic nanocomposite as a novel adsorbent. Surf. Interfaces 2019, 14, 117–126. [Google Scholar] [CrossRef]
- Sathishkumar, P.; Pugazhenthiran, N.; Mangalaraja, R.V.; Asiri, A.M.; Anandan, S. ZnOs upported CoFe2O4 nanophotocatalysts for the mineralization of Direct Blue 71 in aqueous environments. J. Hazard. Mater. 2013, 252, 171–179. [Google Scholar] [CrossRef] [PubMed]
- Zhang, S.; Li, B.; Wang, X.; Zhao, G.; Hu, B.; Lu, Z.; Wen, T.; Chen, J.; Wang, X. Recent developments of two-dimensional graphene-based composites in visible-light photocatalysis for eliminating persistent organic pollutants from waste water. Chem. Eng. J. 2020, 390, 124642. [Google Scholar] [CrossRef]
- Cao, M.; Shen, Y.; Yan, Z.; Wei, Q.; Jiao, T.; Shen, Y.; Han, Y.; Wang, Y.; Wang, S.; Xia, Y.; et al. Extraction-like removal of organic dyes from polluted water by the graphene oxide/PNIPAM composite system. Chem. Eng. J. 2021, 405, 126647. [Google Scholar] [CrossRef]
- Prucek, R.; Tuček, J.; Kolařík, J.; Hušková, I.; Filip, J.; Varma, R.S.; Zbořil, R. Ferrate(VI)-prompted removal of metals in aqueous media: Mechanistic delineation of enhanced efficiency via metal entrenchment in magnetic oxides. Environ. Sci. Technol. 2015, 49, 2319–2327. [Google Scholar] [CrossRef] [PubMed]
- Zhang, Y.; Zhao, Y.; Xu, Z.; Su, H.; Bian, X.; Zhang, S.; Dong, X.; Zeng, L.; Zeng, T.; Feng, M.; et al. Carbonquantum dots implanted CdS nanosheets: Efficient visible-light-driven photocatalytic reduction of Cr(VI) under saline conditions. App. Catal. B Environ. 2019, 262, 118306. [Google Scholar] [CrossRef]
- Sharma, V.K.; McDonald, T.J.; Kim, H.; Garg, V.K. Magnetic graphene-carbon nanotube iron nanocomposites as adsorbents and antibacterial agents for water purification. Adv. Colloid Interface Sci. 2015, 225, 229–240. [Google Scholar] [CrossRef] [PubMed]
- Feng, M.; Dionysiou, D.D.; Sharma, V.K. Black phosphorous-based nanostructures in environmental remediation: Currentstatus and future perspectives. Chem. Eng. J. 2020, 389, 123460. [Google Scholar] [CrossRef]
- Márquez-Lamas, U.; Martínez-Guerra, E.; Toxqui-Terán, A.; Aguirre-Tostado, F.S.; Lara-Ceniceros, T.E.; Bonilla-Cruz, J. Tuning the mechanical, electrical and optical properties of flexible and free-standing functionalized graphene oxide paper shaving different inter layer d spacing. J. Phys. Chem. 2017, 121, 852–862. [Google Scholar]
- Grewal, K.; Kaur, M. Effect of core-shell reversal on the structural, magnetic and adsorptive properties of Fe2O3-GO nanocomposites. Ceram. Int. 2017, 43, 16611–16621. [Google Scholar] [CrossRef]
- Ubhi, K.; Kaur, M.; Singh, D.; Greneche, J.M. Nanocomposite of γ-Fe2O3 immobilized on graphene oxide for remediation ofNi(II) ions—Kinetics, isotherm and thermodynamics studies. Process. Appl. Ceram. 2017, 11, 247–257. [Google Scholar]
- Li, F.; Jiang, X.; Zhang, S. Graphene oxide: A promising nanomaterial for energy and environmental applications. Nano Energy 2015, 16, 488–515. [Google Scholar] [CrossRef]
- Kaur, M.; Kaur, M.; Sharma, V.K. Nitrogen-doped graphene and graphene quantum dots: A review on synthesis and applications in energy, sensors and environment. Adv. Colloid Interface Sci. 2018, 259, 44–64. [Google Scholar] [CrossRef]
- Zhou, L.; Ji, L.; Ma, P.C.; Shao, Y.; Zhang, H.; Gao, W.; Li, Y. Development of carbon nanotubes/CoFe2O4 magnetic hybrid material for removal of tetrabromo bisphenol A and Pb(II). J. Hazard. Mater. 2014, 265, 104–114. [Google Scholar] [CrossRef]
- Pirouz, J.; Beyki, M.H.; Shemirani, F. Anhydride functionalized calcium ferrite nanoparticles: A new selective magnetic material for enrichment of lead ions from water and food samples. Food Chem. 2015, 170, 131–137. [Google Scholar] [CrossRef]
- Kaur, M.; Kaur, M.; Singh, D. Fabrication of mesoporous nanocomposite of graphene oxide with magnesium ferrite for efficient sequestration of Ni(II) and Pb(II) ions: Adsorption, thermodynamic and kinetic studies. Environ. Pollut. 2019, 253, 111–119. [Google Scholar] [CrossRef]
- Kaur, N.; Kaur, M. Envisioning the composition effect on structural, magnetic, thermal and optical properties of mesoporous MgFe2O4-GO nanocomposites. Ceram. Int. 2018, 44, 4158–4168. [Google Scholar] [CrossRef]
- Deb, M.; Kanmani, A.; Debnath, K.L.; Bhowmik, B.S. Preparation and characterization of magnetic CaFe2O4 nanoparticles for efficient adsorption of toxic congo red dye from aqueous solution: Predictive modeling by artificial neutral network, Desalin. Water Treat. 2017, 89, 197–209. [Google Scholar] [CrossRef]
- Iqbal, M.A.; Ali, S.I.; Amin, F.; Tariq, A.; Iqbal, M.Z. La- and Mn-Codoped bismuth ferrite/Ti3C2MXene composites for efficient photocatalytic degradation of congo red dye. ACS Omega 2019, 4, 8661–8668. [Google Scholar] [CrossRef] [PubMed]
- Rangumagar, B.; Chhetri, B.P.; Parnell, C.M.; Parameswaran-Thankam, A.; Watanabe, F.; Mustafa, T.; Biris, A.S.; Ghosh, A. Removal of nitrophenols from water using cellulose derived nitrogen doped graphitic carbon material containing titanium dioxide. Particul. Sci. Technol. 2019, 37, 444–452. [Google Scholar] [CrossRef]
- Singh, S.; Barick, K.C.; Bahadur, D. Surface engineered magnetic nanoparticles for removal of toxic metal ions and bacterial pathogens. J. Hazard. Mater. 2011, 192, 1539–1547. [Google Scholar] [CrossRef]
- An, X.; Liu, L.; Zhang, Y.L. Enhancement removal of crystal violet dye using magnetic calcium ferrite nanoparticle: Study in single-and binary-solute systems. Chem. Eng. Res. Des. 2015, 94, 726–735. [Google Scholar] [CrossRef]
- El-Wahab, H.A.; Hassan, A.M.; Naser, A.M. Preparation and evaluation of nanosized mixed calcium ironoxide (CaFe2O4) as high heat resistant pigmentin paints. Pigment Resin Technol. 2015, 44, 172–178. [Google Scholar] [CrossRef]
- Sulaiman, N.H.; Ghazali, M.J.; Yunas, J.; Rajabi, A.; Majlis, B.Y.; Razali, M. Synthesis and characterization of CaFe2O4 nanoparticles via co-precipitation and auto-combusion methods. Ceram. Int. 2018, 44, 46–50. [Google Scholar] [CrossRef]
- Tao, H.; Yan, C.; Robertson, A.W.; Gao, Y.; Ding, J.; Zhang, Y.; Ma, T.; Sun, Z. N-doping of graphene oxide at low temperature for the oxygen reduction reaction. Chem. Comms. 2017, 53, 873–876. [Google Scholar] [CrossRef]
- Tang, W.; Su, Y.; Li, Q.; Gao, S.; Shang, J.K. Superparamagnetic magnesium ferrite nanoadsorbent for effective arsenic (III,V) removal and easy magnetic separation. Water. Res. 2013, 47, 3624–3634. [Google Scholar] [CrossRef]
- Sulaiman, N.H.; Chazali, M.J.; Majlis, B.Y.; Yunas, J.; Razali, M. Superparamagnetic calcium ferrite nanoparticles synthesized using simple sol-gel method for targeted drug delivery. Bio-Med. Mater. Eng. 2015, 6, 103–110. [Google Scholar] [CrossRef]
- Tsipis, E.V.; Pivak, Y.V.; Waerenborgh, J.C.; Kolotygin, V.A.; Viskup, A.P.; Kharton, V.V. Oxygen ionic conductivity, Mossbauer spectra and thermal expansion of CaFe2O4-δ. Solid State Ion. 2007, 178, 1428–1436. [Google Scholar] [CrossRef]
- Berchmans, L.J.; Myndyk, M.; da Silva, K.L.; Feldhoff, A.; Subrt, J.; Heitjans, P.; Becker, K.D.; Sepelak, V. Arapidone-stepmechano synthesis and characterization of nanocrystalline CaFe2O4 with orthorhombic structure. J. Alloys Compd. 2010, 500, 68–73. [Google Scholar] [CrossRef]
- Koferstein, R.; Walther, T.; Hesse, D.; Ebbinghaus, S.G. Preparation and characterization of nanosized magnesium ferrite powders by a starch-gel process and corresponding ceramics. J. Mater. Sci. 2013, 48, 6509–6518. [Google Scholar] [CrossRef]
- Zhang, N.; Yang, M.Q.; Liu, S.; Sun, Y.; Xu, Y.J. Walting with the versatile platform of graphene to synthesize composite photocatalysts. Chem. Rev. 2015, 115, 10307–10377. [Google Scholar] [CrossRef] [PubMed]
- Huong, T.L.; Tu, N.; Lan, H.; Thang, L.H.; Quy, N.V.; Tuan, P.A.; Dinh, N.X.; Phan, V.N.; Le, A.T. Functional manganese ferrite/graphene oxide nanocomposites: Effects of graphene oxide on the adsorption mechanism of organic MB dye and inorganic As(V) ions from aqueous solution. RSC Adv. 2018, 8, 12376–12389. [Google Scholar] [CrossRef]
- Tran, V.; Quang, D.V.; Thi, H.P.N.; Truong, T.N.; La, D.D. Effective removal of Pb(II) from aqueous media by a new design of Cu-Mg binary ferrite. ACS Omega 2020, 5, 7298–7306. [Google Scholar] [CrossRef] [PubMed]
- Aliabadi, M. Removal of Pb(II) and Cr(VI) ions from aqueous solutions using chitosan/cobalt ferrite nanofibrous adsorbent. Fibers Poly. 2016, 17, 1162–1170. [Google Scholar] [CrossRef]
- Lingamdinne, L.P.; Kim, I.S.; Ha, J.H.; Chang, Y.Y.; Koduru, J.R.; Yang, J.K. Enhanced adsorption removal of Pb(II) and Cr(III) by using nickel ferrite-reduced graphene oxide nanocomposite. Metals 2017, 7, 225. [Google Scholar] [CrossRef]
- Burglsser, C.S.; Cernik, M.; Borkovee, M.; Sticher, H. Determination of nonlinear adsorption isotherms from column experiments: An alternative to batch studies. Environ. Sci. Technol. 1993, 27, 943–946. [Google Scholar] [CrossRef]
- Wang, G.; Zhao, D.; Ma, Y.; Zhang, Z.; Che, H.; Mu, J.; Zhang, X.; Tong, Y.; Dong, X. Synthesis of calcium ferrite nanocrystal clusters for magnetorheological fluid with enhanced sedimentation stability. Powder Technol. 2017, 322, 47–53. [Google Scholar] [CrossRef]
- Yanilmaz, A.; Tomak, B.; Akbali, C.; Bacaksiz, E.; Ozceri, O.; Ari, R.T.; Senger, Y.; Selamet, H.M.Z. Nitrogen doping for facile and effective modification of graphene surfaces. RSC Adv. 2017, 7, 28383–28392. [Google Scholar] [CrossRef]
- Fan, T.; Liu, Y.G.; Feng, B.Y.; Zeng, G.M.; Yang, C.P.; Zhou, M.; Zhou, H.Z.; Tan, Z.F.; Wang, X. Biosorption of Cd2+, Zn2+ and Pb2+ions by Penicilliumsimplicis-simum: Isotherms, kinetics and thermodynamics. J. Hazard. Mater. 2008, 160, 655–661. [Google Scholar] [CrossRef] [PubMed]
- Wang, X.; Zhu, J.; Yu, X.; Fu, X.; Zhu, Y.; Zhang, Y. Enhanced removal of organic pollutant by separable and recyclable rGH-PANI/BiOI photocatalyst via the synergism of adsorption and photocatalytic degradation under visible light. J. Mater. Sci. Technol. 2010, 77, 19–27. [Google Scholar] [CrossRef]
- El-Sheshtawy, H.S.; Ghubish, Z.; Shoueir, K.R.; El-Kemary, M. Activated H2O2 on Ag/SiO2-SrWO4 surface for enhanced dark and visible-light removal of methylene blue and p-nitrophenol. J. Alloys Compd. 2020, 842, 155848. [Google Scholar] [CrossRef]
- Ravi, S.; Iqbal, A.; Ghosal, S.A. Novel mesoporous trimetallic strontium magnesium ferrite (Sr0.3Mg0.7Fe2O4) nanocubes: A selective and recoverable magnetic nanoadsorbent for congo red. J. Alloys Compd. 2019, 791, 336–347. [Google Scholar] [CrossRef]
- Dhandole, L.K.; Kim, S.G.; Bae, H.S.; Ryu, H.I.; Chung, H.S.; Seo, Y.S.; Cho, M.; Shea, P.J.; Jang, J.S. Simultaneous and synergistic effect of heavy metal adsorption on the enhanced photocatalytic performance of a visible-light-driven RS-TONR/TNT composite. Environ. Res. 2020, 180, 108651. [Google Scholar] [CrossRef]















| Instrument | Model | Manufacturer | City, Country |
|---|---|---|---|
| Fourier Transform Infrared (FT-IR) | Perkin Elmer spectrum RX-1 FT-IR Spectrophotometer | Perkin Elmer | Waltham, MA, USA |
| X-ray diffraction (XRD) | Panlytical X’pert Pro (Cu Kα radiation with λ = 1.5404 Å) | Panlytical X’pert Pro | Rigaku, Tokyo, Japan |
| Transmission Electron Microscope (TEM) | Hitachi Hi-7650 at 100 kV acceleration voltages in HC mode | Hitachi High-Technologies Corporation | Akishima, Tokyo, Japan |
| Scanning electron microscope (SEM-EDX) | Hitachi S-3400 N and EDX on Thermo Noran System SIX at 15 KV | Hitachi High-Technologies Corporation | Akishima, Tokyo, Japan |
| BET surface analyzer measurements | Quantachrome Nova-1000 surface analyzer | Quantachrome instruments | Cinnaminson, NJ, USA |
| Vibrating sample magnetometer (VSM) | Model PAR-155 | Quantum Design | Washington, VA, USA |
| Mössbauer spectroscopy | WissEL Mössbauer spectrometer (constant acceleration signal spectrometer equipped with a 57Co/Rh source) (MRG-500) | Wissenschaftliche Elektronik GmbH, | Aschaffenburg, BY, Germany |
| UV-Visible spectrophotometer | Shimadzu (UV-1800) UV spectrophotometer | Shimadzu | Akishima, Tokyo, Japan |
| Temp. (K) | Isomer Shift (δ/mms−1) | Q. Splitting (Δ/mms−1) | Magnetic Field (B/T) | Area (%) | Assignment |
|---|---|---|---|---|---|
| 300 | 0.340 | 0.046 (M) | 47.869 | 16.0 | CaFe2O4 |
| 0.258 | −0.047 (M) | 44.360 | 25.7 | ||
| 0.303 | 0.691 (D) | - | 58.3 | ||
| 300 | 1.024 | 0.047 (M) | 62.280 | 75.8 | CaFe2O4-NGO |
| 0.338 | 0.675 (D) | - | 24.2 |
| Kinetic Models | Pb(II) | ||||||
|---|---|---|---|---|---|---|---|
| Pseudo-first order | k1 (min−1) | qe, cal (mg/g) | qe, exp (mg/g) | R2 | SSE | Χ2 | F |
| CaFe2O4 | 0.04 ± 0.9 | 135.9 ± 0.2 | 154.2 ± 1.2 | 0.98 | 306.4 | 3.02 | 98 |
| CaFe2O4-NGO | 0.03 ± 0.4 | 178.0 ± 0.3 | 212.1 ± 0.2 | 0.97 | 415.3 | 2.08 | 67 |
| Pseudo-second order | k2 (×102) (g/mg/min) | qe, cal (mg/g) | qe, exp (mg/g) | R2 | SSE | Χ2 | F |
| CaFe2O4 | 0.03 ± 0.1 | 147.2 ± 0.3 | 154.2 ± 1.2 | 0.99 | 2.04 | 0.05 | 950 |
| CaFe2O4-NGO | 0.02 ± 0.2 | 217.0 ± 0.6 | 212.1 ± 0.2 | 1.00 | 8.22 | 0.31 | 722 |
| CaFe2O4 | CaFe2O4-NGO | |||||||
|---|---|---|---|---|---|---|---|---|
| T (K) | ln K | ∆G° (kJ/mol) | ∆H° (KJ/mol) | ∆S° (kJ/mol/K) | ln K | ∆G° (kJ/mol) | ∆H° (KJ/mol) | ∆S° (kJ/mol/K) |
| 288 | 16.9 ± 0.5 | −40.1 ± 0.2 | 13.4 ± 0.3 | 0.16 ± 0.6 | 17.2 ± 0.7 | −41.8 ± 0.4 | 14.6 ± 0.3 | 0.071 ± 0.2 |
| 298 | 17.1 ± 1.2 | −41.0 ± 0.8 | 17.4 ± 0.3 | −43.0 ± 0.2 | ||||
| 308 | 17.3 ± 0.8 | −42.8 ± 1.5 | 17.5 ± 0.1 | −45.2 ± 0.1 | ||||
| 318 | 17.4 ± 1.3 | −44.2 ± 2.2 | 17.7 ± 0.3 | −47.5 ± 0.2 | ||||
| 328 | 17.5 ± 0.7 | −46.1 ± 0.1 | 17.8 ± 0.0 | −48.2 ± 1.2 | ||||
| 338 | 17.7 ± 1.1 | −47.0 ± 0.1 | 18.0 ± 0.2 | −49.4 ± 1.0 | ||||
| Isotherm Model | Pb(II) | |||||
|---|---|---|---|---|---|---|
| Langmuir | Adsorbent | qm (mg/g) | b1 × 10−3 (l/mg) | R2 | χ2 | G2 |
| CaFe2O4 | 520.0 ± 4.5 | 14.2 ± 2.5 | 0.99 | 0.011 | 0.027 | |
| CaFe2O4-NGO | 780.5 ± 1.6 | 4.45 ± 4.0 | 0.99 | 0.002 | 0.031 | |
| Freundlich | - | n | KF (mg/g)/(mg/L)n | R2 | χ2 | G2 |
| CaFe2O4 | 1.2 ± 1.5 | 0.61 ± 0.6 | 0.97 | 0.057 | 40.11 | |
| CaFe2O4-NGO | 1.9 ± 0.2 | 1.20 ± 0.4 | 0.94 | 0.008 | 39.24 | |
| Kinetic Models | CR | |||||||
| Pseudo-first Order | Photocatalyst | k1 (min−1) | qe, cal (mg/g) | qe, exp (mg/g) | R2 | SSE | χ2 | F |
| CaFe2O4 | 0.017 ± 0.1 | 22.28 ± 0.6 | 37.26 ± 0.7 | 0.97 | 224.52 | 6.03 | 12.9 | |
| CaFe2O4-NGO | 0.015 ± 0.2 | 6.96 ± 0.1 | 37.26 ± 1.2 | 0.97 | 918.02 | 24.64 | 104.5 | |
| Pseudo-second order | Photocatalyst | k2 (×103) (g/mg/min) | qe, cal (mg/g) | qe, exp (mg/g) | R2 | SSE | χ2 | F |
| CaFe2O4 | 2.79 ± 0.5 | 40.0 ± 0.3 | 37.26 ± 1.1 | 0.99 | 7.48 | 0.200 | 44,923.0 | |
| CaFe2O4-NGO | 7.12 ± 0.2 | 38.5 ± 0.7 | 37.26 ± 0.8 | 0.99 | 1.43 | 0.038 | 77,169.0 | |
| Kinetic Models | PNP | |||||||
| Pseudo-first Order | Photocatalyst | k1 (min−1) | qe, cal (mg/g) | qe, exp (mg/g) | R2 | SSE | χ2 | F |
| CaFe2O4 | 0.034 ± 0.2 | 4.52 ± 0.1 | 1.81 ± 0.2 | 0.96 | 7.306 | 4.027 | 139.48 | |
| CaFe2O4-NGO | 0.039 ± 0.4 | 5.54 ± 0.6 | 1.89 ± 0.8 | 0.98 | 13.33 | 7.037 | 587.99 | |
| Pseudo-second order | Photocatalyst | k2 (g/mg/min) | qe, cal (mg/g) | qe, exp (mg/g) | R2 | SSE | χ2 | F |
| CaFe2O4 | 0.195 ± 0.4 | 1.35 ± 0.2 | 1.81 ± 0.8 | 0.99 | 0.219 | 0.121 | 7090.0 | |
| CaFe2O4-NGO | 0.192 ± 0.2 | 1.40 ± 0.3 | 1.89 ± 1.2 | 0.99 | 0.240 | 0.126 | 5939.1 | |
| Kinetic Models | Kinetic Parameters | |||||||
|---|---|---|---|---|---|---|---|---|
| Pseudo-first Order | Pollutant | k1 (min−1) | qe, cal (mg/g) | qe, exp (mg/g) | R2 | SSE | χ2 | F |
| CR | 0.003 ± 0.1 | 1.96 ± 0.2 | 1.89 ± 0.3 | 0.97 | 0.004 | 0.003 | 110 | |
| PNP | 0.018 ± 0.2 | 7.91 ± 0.4 | 1.91 ± 0.5 | 0.98 | 35.98 | 18.85 | 2890 | |
| Pseudo-second order | Pollutant | k2 (g/mg/min) | qe, cal (mg/g) | qe, exp (mg/g) | R2 | SSE | χ2 | F |
| CR | 0.026 ± 0.2 | 3.33 ± 0.4 | 1.89 ± 0.3 | 1.00 | 2.093 | 1.110 | 1525 | |
| PNP | 0.756 ± 0.1 | 1.91 ± 0.7 | 1.91 ± 0.5 | 1.00 | 0.000 | 0.000 | 16,523 | |
Publisher’s Note: MDPI stays neutral with regard to jurisdictional claims in published maps and institutional affiliations. |
© 2021 by the authors. Licensee MDPI, Basel, Switzerland. This article is an open access article distributed under the terms and conditions of the Creative Commons Attribution (CC BY) license (https://creativecommons.org/licenses/by/4.0/).
Share and Cite
Kaur, M.; Kaur, M.; Singh, D.; Oliveira, A.C.; Garg, V.K.; Sharma, V.K. Synthesis of CaFe2O4-NGO Nanocomposite for Effective Removal of Heavy Metal Ion and Photocatalytic Degradation of Organic Pollutants. Nanomaterials 2021, 11, 1471. https://doi.org/10.3390/nano11061471
Kaur M, Kaur M, Singh D, Oliveira AC, Garg VK, Sharma VK. Synthesis of CaFe2O4-NGO Nanocomposite for Effective Removal of Heavy Metal Ion and Photocatalytic Degradation of Organic Pollutants. Nanomaterials. 2021; 11(6):1471. https://doi.org/10.3390/nano11061471
Chicago/Turabian StyleKaur, Manmeet, Manpreet Kaur, Dhanwinder Singh, Aderbal C. Oliveira, Vijayendra Kumar Garg, and Virender K. Sharma. 2021. "Synthesis of CaFe2O4-NGO Nanocomposite for Effective Removal of Heavy Metal Ion and Photocatalytic Degradation of Organic Pollutants" Nanomaterials 11, no. 6: 1471. https://doi.org/10.3390/nano11061471
APA StyleKaur, M., Kaur, M., Singh, D., Oliveira, A. C., Garg, V. K., & Sharma, V. K. (2021). Synthesis of CaFe2O4-NGO Nanocomposite for Effective Removal of Heavy Metal Ion and Photocatalytic Degradation of Organic Pollutants. Nanomaterials, 11(6), 1471. https://doi.org/10.3390/nano11061471

