Magnetic Simulations of Core–Shell Ferromagnetic Bi-Magnetic Nanoparticles: The Influence of Antiferromagnetic Interfacial Exchange
Abstract
1. Introduction
2. Theoretical Background, Models, and Methodology
Atomistic Simulations Using VAMPIRE
3. Results and Discussion
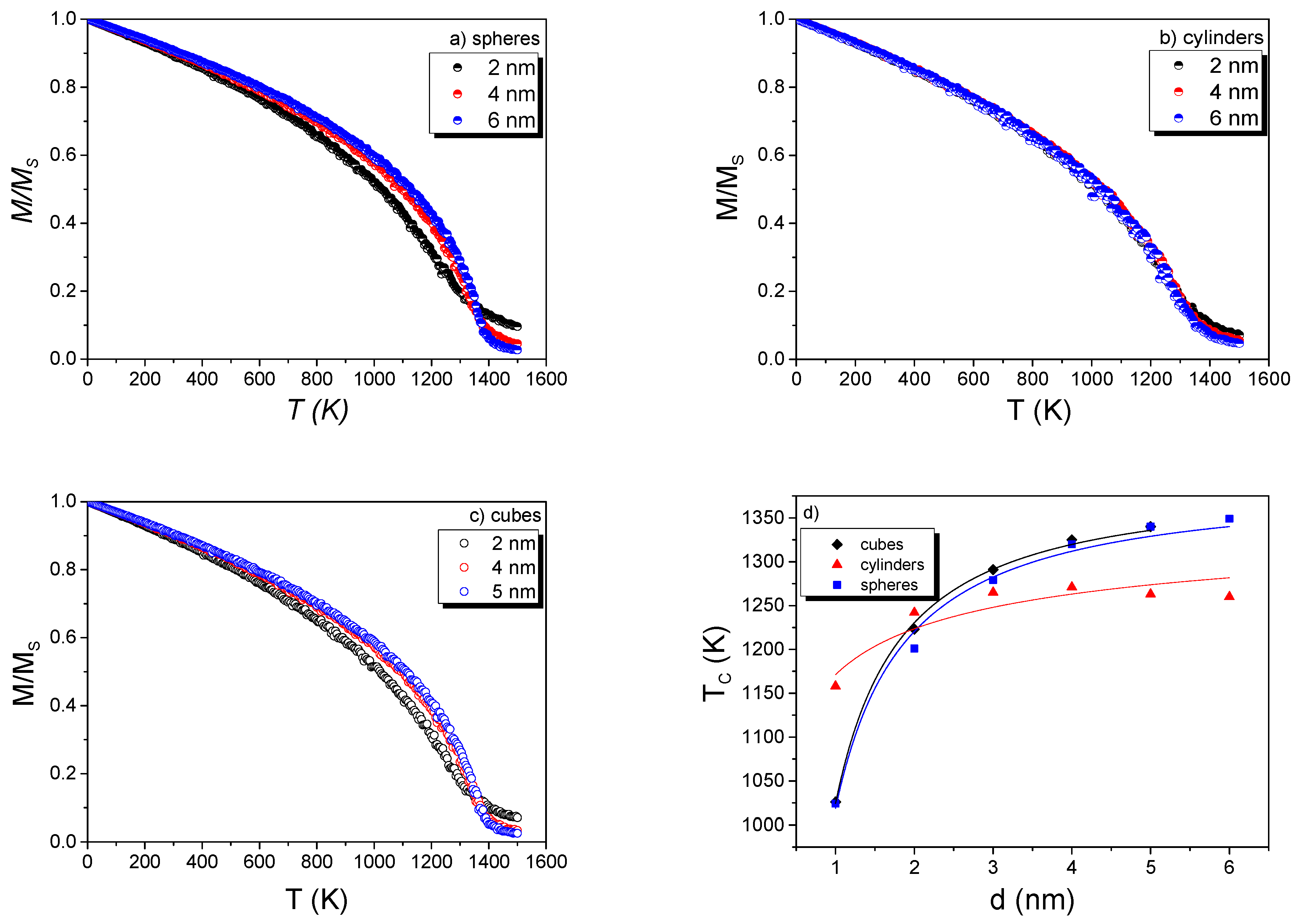
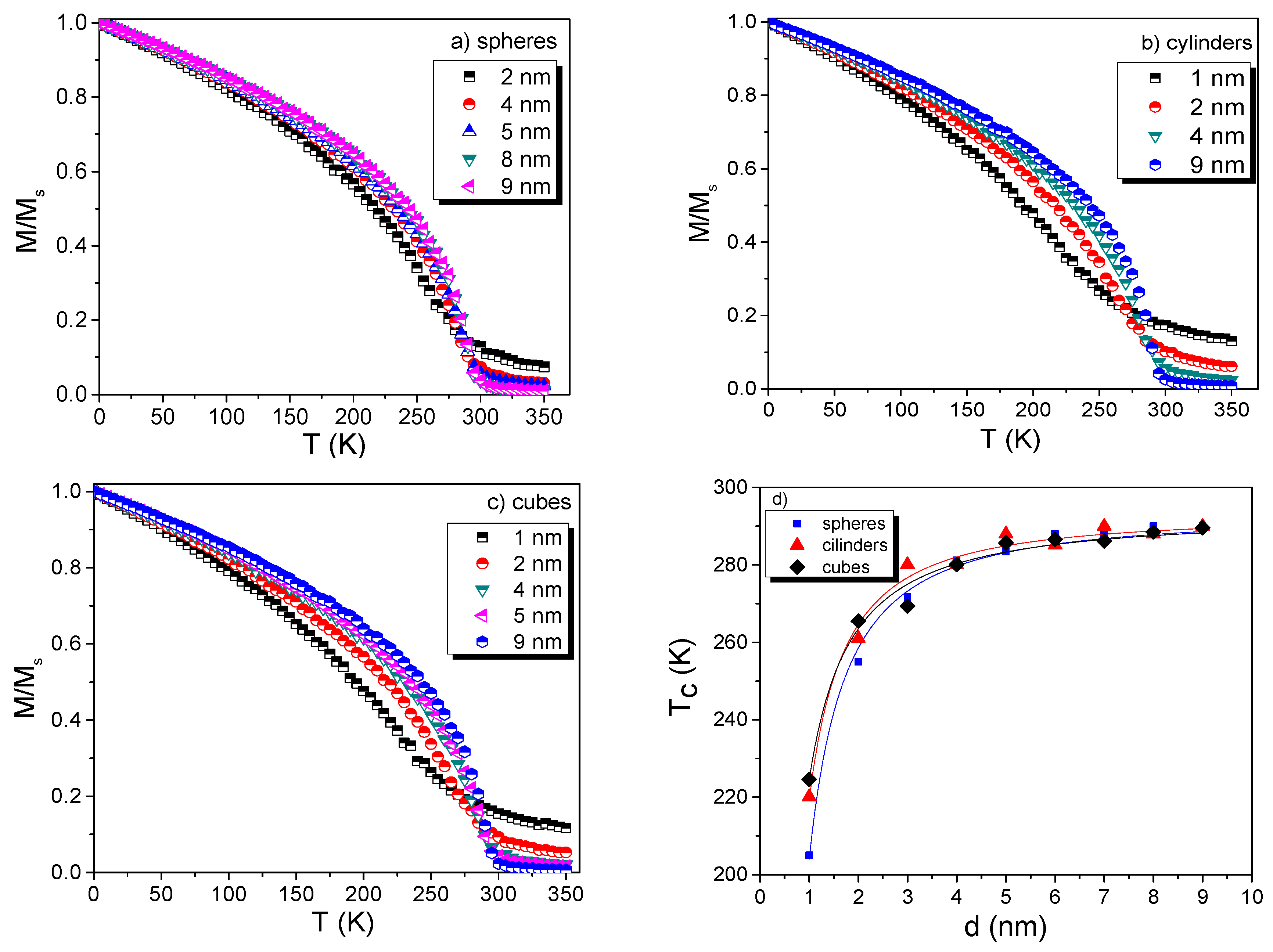
3.1. Tc Finite-Size Effects for Single Gd and Co FM NPs with Different Geometries
3.2. Core Shell Model Co@Gd (Effect on Tc Behavior with Size and Interfacial Exchange)
3.3. Hysteresis Curves Simulation
3.3.1. Determination of the Computational Time Step
3.3.2. Hysteresis Curves for Pure 4 nm Co NP
3.3.3. Hysteresis for Bi-Magnetic Core–Shell NP Varying the Interfacial Exchange Constant
4. Conclusions
Supplementary Materials
Author Contributions
Funding
Data Availability Statement
Acknowledgments
Conflicts of Interest
References
- Evans, R.F.L.; Atxitia, U.; Chantrell, R.W. Quantitative simulation of temperature-dependent magnetization dynamics and equilibrium properties of elemental ferromagnets. Phys. Rev. B 2015, 91, 144425. [Google Scholar] [CrossRef]
- Evans, R.F.L.; Fan, W.J.; Chureemart, P.; Ostler, T.A.; Ellis, M.O.A.; Chantrell, R.W. Atomistic spin model simulations of magnetic nanomaterials. J. Phys. Condens. Matter 2014, 26, 103202. [Google Scholar] [CrossRef]
- Penny, C.; Muxworthy, A.R.; Fabian, K. Mean-field modelling of magnetic nanoparticles: The effect of particle size and shape on the Curie temperature. Phys. Rev. B 2019, 99, 174414. [Google Scholar] [CrossRef]
- Fei, C.L.; Dan, X.; Ming-Xing, G.; Park, H.S.; Fujita, T. Size and shape effects on Curie temperature of ferromagnetic nanoparticles. Trans. Nonferrous Met. Soc. China 2007, 17, 1451–1455. [Google Scholar]
- He, L.; Zhang, H.; Liu, Y.; Sun, F.; Yu, X.; Li, X.; Zhang, L.; Wang, L.; Mao, K.; Wang, G.; et al. Maximizing Specific Loss Power for Magnetic Hyperthermia by Hard–Soft Mixed Ferrites. Small 2018, 14, 1800135. [Google Scholar] [CrossRef] [PubMed]
- Herynek, V.; Turnovcová, K.; Veverka, P.; Dědourková, T.; Žvátora, P.; Jendelová, P.; Gálisová, A.; Kosinová, L.; Jiráková, K.; Syková, E. Using ferromagnetic nanoparticles with low Curie temperature for magnetic resonance imaging-guide thermoablation. Int. J. Nanomed. 2016, 11, 3801–3811. [Google Scholar] [CrossRef]
- Obaidat, I.; Issa, B.; Mohite, V.; Haik, Y. Controlling the Curie-temperature of Magnetic Nanoparticles for Hyperthermia. Dyn. Biochem. Process Biotechnol. Mol. Biol. 2011, 5, 85–88. [Google Scholar]
- Graham, C.D., Jr. Magnetic Behavior of Gadolinium Near the Curie Point. J. Appl. Phys. 1965, 36, 1135. [Google Scholar] [CrossRef]
- Hankiewicz, J.H.; Celinski, Z.; Stupic, K.F.; Anderson, N.R.; Camley, R.E. Ferromagnetic particles as magnetic resonance imaging temperature sensors. Nat. Commun. 2016, 7, 12415. [Google Scholar] [CrossRef]
- Budnyk, A.P.; Lastovina, T.A.; Bugaev, A.L.; Polyakov, V.A.; Vetlitsyna-Novikova, K.S.; Sirota, M.A.; Abdulvakhidov, K.G.; Fedorenko, A.G.; Podlesnaya, E.O.; Soldatov, A.V. Gd3+-Doped Magnetic Nanoparticles for Biomedical Applications. J. Spectrosc. 2018, 1–9, 1412563. [Google Scholar] [CrossRef]
- Anderson, N.R.; Camley, R.E. Temperature-dependent magnetization in bimagnetic nanoparticles with antiferromagnetic interfacial exchange. Phys. Rev. B 2016, 94, 134432. [Google Scholar] [CrossRef]
- Velasco, S.; Román, F.L. Determining the Curie temperature of iron and nickel. Phys. Teach. 2007, 45, 387–389. [Google Scholar] [CrossRef]
- Serantes, D.; Baldomir, D. Superparamagnetism and Monte Carlo Simulations. Open Surf. Sci. J. 2012, 4, 71–84. [Google Scholar] [CrossRef]
- Arantes, F.R.; Cornejo, D.R. Monte Carlo study of the magnetic properties of frozen and non-interacting nanoparticles. J. Nanopart. Res. 2013, 15, 1859. [Google Scholar] [CrossRef]
- Coehoorn, R.; de Mooij, D.B.; De Waard, C. Meltspun permanent magnet materials containing Fe3B as the main phase. J. Magn. Magn. Mater. 1989, 80, 101. [Google Scholar] [CrossRef]
- Nehme, Z.; Labaye, Y.; Hassan, R.S.; Yaacoub, N.; Greneche, J.M. Modeling of hysteresis loops by Monte Carlo simulation. AIP Adv. 2015, 5, 127124. [Google Scholar] [CrossRef]
- Hovorka, O.; Devos, S.; Coopman, Q.; Fan, W.J.; Aas, C.J.; Evans, R.F.L.; Chen, X.; Ju, G.; Chantrell, R.W. The Curie temperature distribution of FePt granular magnetic recording media. Appl. Phys. Lett. 2012, 101, 052406. [Google Scholar] [CrossRef]
- Huang, F.; Mankey, G.J.; Kief, M.T.; Willis, R.F. Finite-size scaling behavior of ferromagnetic thin films. J. Appl. Phys. 1993, 73, 6760–6762. [Google Scholar] [CrossRef]
- Fisher, M.E.; Barber, M.N. Scaling Theory for finite-size effects in the critical region. Phys. Rev. Lett. 1972, 28, 1516–1519. [Google Scholar] [CrossRef]
- Benford, S.M.; Brown, G.V. T-S diagram of Gadolinium near the Curie temperature. J. Appl. Phys. 1981, 52, 2110–2112. [Google Scholar] [CrossRef]
- Percharsky, V.K.; Gschneidner, K.A. Tunable magnetic regenerator alloys with a giant magnetocaloric effect for magnetic refrigeration from ~20 to 290 K. Appl. Phys. Lett. 1997, 70, 3299. [Google Scholar] [CrossRef]
- Bertaut, F.; Pauthenet, R. Temperature dependencies of the magnetic moments of the rare earth garnets. Proc. Inst. Electr. Eng. 1957, 104 (Suppl. 5), 261. [Google Scholar]
- Bsoul, I.; Hawamdeh, K.; Mahmood, S.H. Effect of Al-substitution on Structural and Magnetic Properties of Er3Fe5-xAlxO12 Garnets. In Magnetic Oxides and Composites II; Materials Research Forum LLC: Millersville, PA, USA, 2019; Chapter 3. [Google Scholar] [CrossRef]
- Chamati, H.; Shopova, D.V. Ferrimagnetism in a Two-sublattice Bilinearly Coupled Heisenberg model. AIP Conf. Proc. 2019, 2075. [Google Scholar] [CrossRef]
- Binder, M.; Weber, A.; Mosendz, O.; Woltersdorf, G.; Izquierdo, M.; Neudecker, I.; Dahn, J.R.; Hatchard, T.D.; Thiele, J.-U.; Back, C.H.; et al. Magnetization dynamics of the ferrimagnet CoGd near the compensation of magnetization and angular momentum. Phys. Rev. B 2006, 74, 134404. [Google Scholar] [CrossRef]
- Aurélio, D.; Vejpravova, J. Understanding Magnetization Dynamics of a Magnetic Nanoparticle with a d Disordered Shell using Micromagnetic Simulations. Nanomaterials 2020, 10, 1149. [Google Scholar] [CrossRef] [PubMed]
- Kneller, E.F.; Luborsky, F.E. Particle Size Dependence of Coercivity and Remanence of Single-Domain Particles. J. Appl. Phys. 1963, 34, 656. [Google Scholar] [CrossRef]
- Quesada, A.; Delgado, G.; Pascual, L.; Aragón, A.M.; Marín, P.; Granados-Miralles, C.; Foerster, M.; Aballe, L.; Prieto, J.E.; de la Figuera, J.; et al. Exchange-spring behavior below the exchange length in hard-soft bilayers in multidomain configurations. Phys. Rev. B 2018, 98, 214435. [Google Scholar] [CrossRef]
- Soares, J.M.; Galdino, V.B.; Conceição, O.L.A.; Morales, M.A.; de Araújo, J.H.; Machado, F.L.A. Critical dimension for magnetic exchange-spring coupled core/shell CoFe2O4/CoFe2 nanoparticles. J. Magn. Magn. Mater. 2013, 326, 81–84. [Google Scholar] [CrossRef]






Publisher’s Note: MDPI stays neutral with regard to jurisdictional claims in published maps and institutional affiliations. |
© 2021 by the authors. Licensee MDPI, Basel, Switzerland. This article is an open access article distributed under the terms and conditions of the Creative Commons Attribution (CC BY) license (https://creativecommons.org/licenses/by/4.0/).
Share and Cite
Ramos-Guivar, J.A.; Tamanaha-Vegas, C.A.; Litterst, F.J.; Passamani, E.C. Magnetic Simulations of Core–Shell Ferromagnetic Bi-Magnetic Nanoparticles: The Influence of Antiferromagnetic Interfacial Exchange. Nanomaterials 2021, 11, 1381. https://doi.org/10.3390/nano11061381
Ramos-Guivar JA, Tamanaha-Vegas CA, Litterst FJ, Passamani EC. Magnetic Simulations of Core–Shell Ferromagnetic Bi-Magnetic Nanoparticles: The Influence of Antiferromagnetic Interfacial Exchange. Nanomaterials. 2021; 11(6):1381. https://doi.org/10.3390/nano11061381
Chicago/Turabian StyleRamos-Guivar, Juan A., Carlo A. Tamanaha-Vegas, Fred Jochen Litterst, and Edson C. Passamani. 2021. "Magnetic Simulations of Core–Shell Ferromagnetic Bi-Magnetic Nanoparticles: The Influence of Antiferromagnetic Interfacial Exchange" Nanomaterials 11, no. 6: 1381. https://doi.org/10.3390/nano11061381
APA StyleRamos-Guivar, J. A., Tamanaha-Vegas, C. A., Litterst, F. J., & Passamani, E. C. (2021). Magnetic Simulations of Core–Shell Ferromagnetic Bi-Magnetic Nanoparticles: The Influence of Antiferromagnetic Interfacial Exchange. Nanomaterials, 11(6), 1381. https://doi.org/10.3390/nano11061381

