Electrochemical Characterization and Detection of Lead in Water Using SPCE Modified with BiONPs/PANI
Abstract
1. Introduction
2. Materials and Methods
2.1. Materials
2.2. Material Characterization
2.3. Synthesis of Bioxide NPs
2.4. Synthesis of PANI
2.5. Modification of the SPCE
2.6. Cyclic Voltammetric and Impedance Measurements (EIS)
2.7. Electrochemical Tracing of Heavy Metal Ions
3. Results and Discussion
3.1. UV-Vis (Ultraviolent Visible Spectroscopy)
3.2. FTIR
3.3. SEM
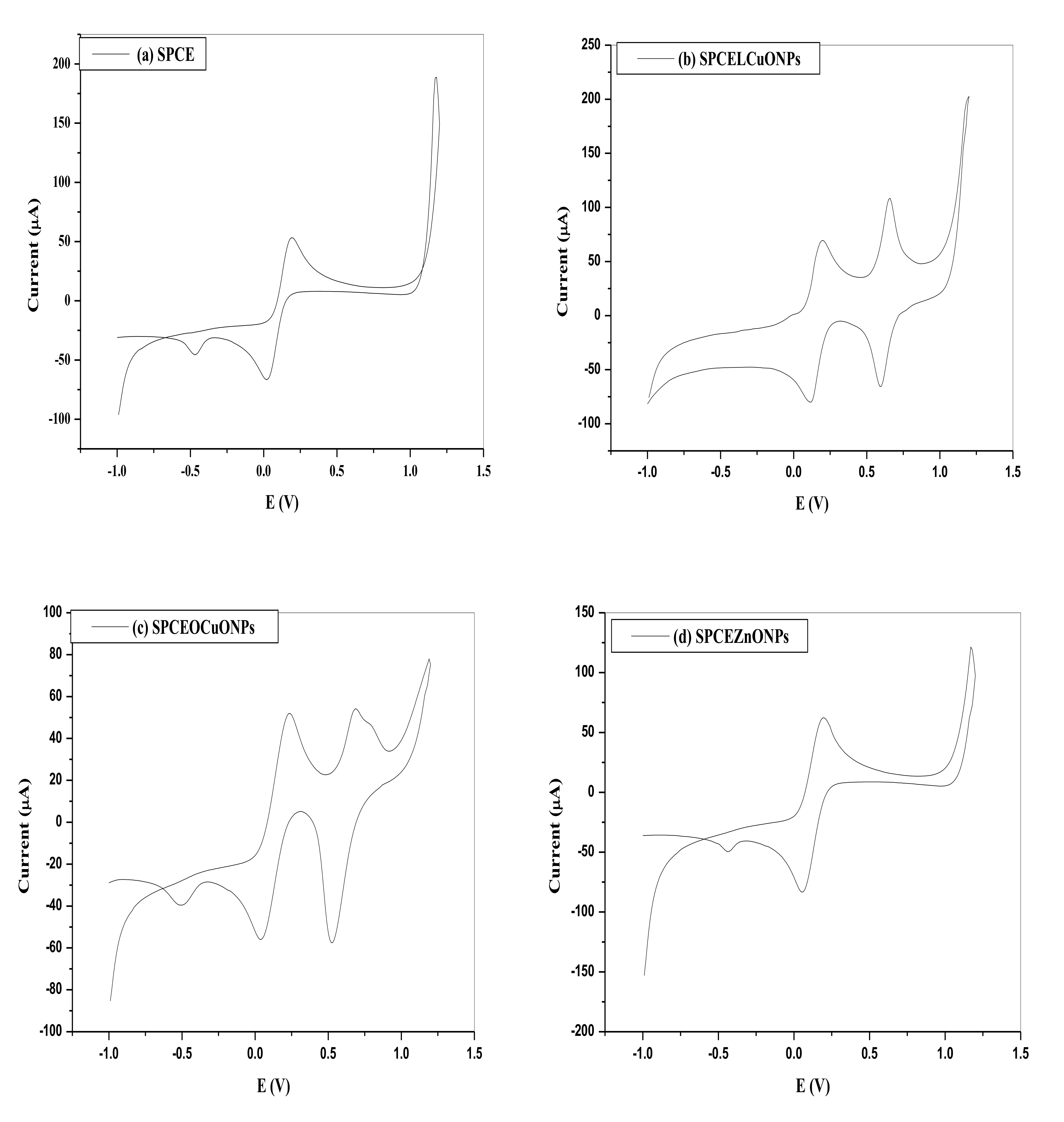
3.4. Cyclic Voltammetry of the NPs Modified SPCE in 10 mM [Fe (CN)6]4− Probe
3.5. Electrochemical Detection of Pb2+ Using SWV Technique
3.5.1. Optimization
3.5.1.1. Choice of Supporting Electrolyte
Electrochemical Characterization of the SPCE Modified Electrodes in 0.1 M HCl Electrolyte
3.5.1.2. Effect of pH
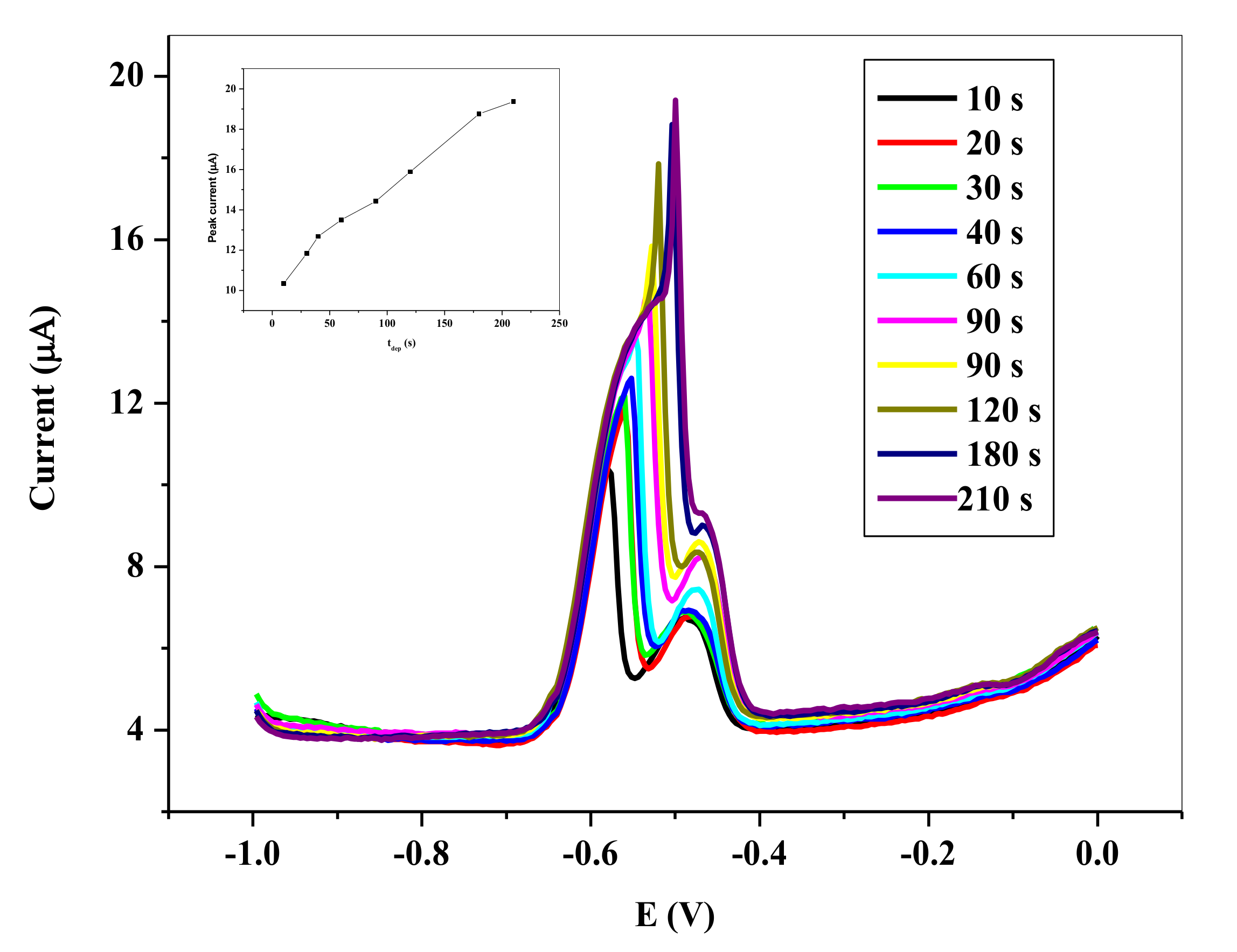
3.5.1.3. Effect of Deposition Time
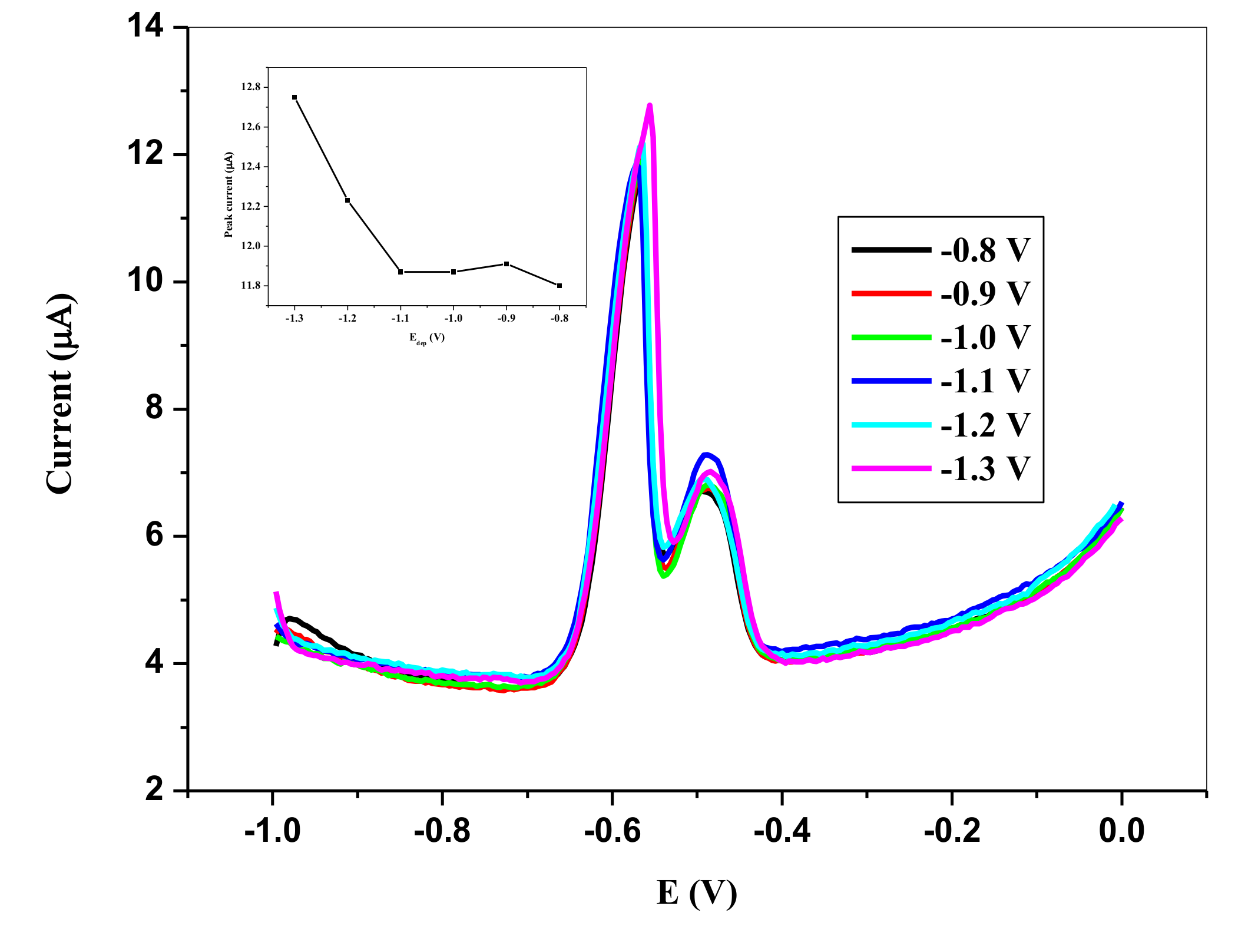
3.5.1.4. Effect of Deposition Potential
3.5.1.5. Effect of Frequency and Square Wave Amplitude
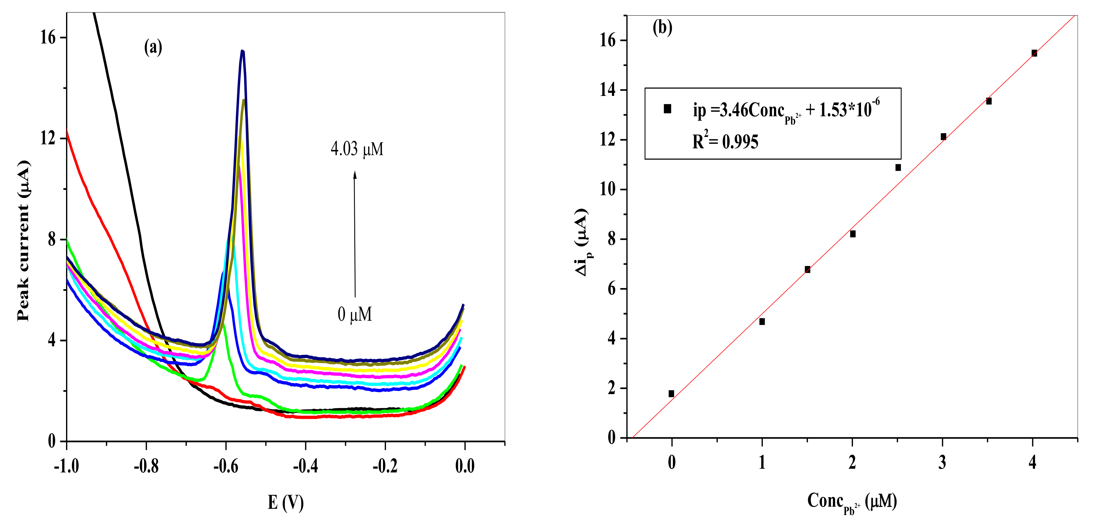
3.6. Calibration of Sensors and Detection of Limit Determination
3.7. Evaluation of the Precision of the SPCEs
3.8. Real Sample Analysis
3.9. Interference Studies
4. Conclusions
Author Contributions
Funding
Data Availability Statement
Acknowledgments
Conflicts of Interest
References
- Boretti, A.; Rosa, L. Reassessing the projections of the world water development report. NPJ Clean Water; Nature Publishing Group: London, UK, 2019; Volume 2, pp. 1–6. [Google Scholar]
- Dojlido, J.; Best, G.A. Chemistry of Water and Water Pollution; Ellis Horwood Limited: Hemstead, UK, 1993. [Google Scholar]
- Moore, J.W. Inorganic Contaminants of Surface Water: Research and Monitoring Priorities; Springer Science & Business Media: Berlin, Germany, 2012. [Google Scholar]
- Bao, L.-J.; Maruya, K.A.; Snyder, S.A.; Zeng, E.Y. China’s water pollution by persistent organic pollutants. Environ. Pollut. 2012, 163, 100–108. [Google Scholar]
- Olaolu, D.; Akpor, O.B.; Akor, C.O. Pollution indicators and pathogenic microorganisms in wastewater treatment: Implication on receiving water bodies. Int. J. Environ. Prot. Policy 2014, 2, 205–212. [Google Scholar] [CrossRef]
- World Health Organization; UniCeF. Progress on sanitation and drinking-water: 2010 update. In Progress on Sanitation and Drinking-water: 2010 Update; World Health Organization: Geneva, Switzerland, 2010; p. 60. [Google Scholar]
- Punia, P.; Bharti, M.K.; Chalia, S.; Dhar, R.; Ravelo, B.; Thakur, P.; Thakur, A. Recent advances in synthesis, characterization, and applications of nanoparticles for contaminated water treatment—A review. Ceram. Int. 2020, 47, 1526–1550. [Google Scholar] [CrossRef]
- Baysal, A.; Ozbek, N.; Akman, S. Determination of trace metals in waste water and their removal processes. Waste Water Treat. Technol. Recent Anal. Dev. 2013, 145–171. [Google Scholar] [CrossRef]
- Noor, S.M.; Ahmad, N.; Khattak, M.; Mukhtar, A.; Badshah, S.; Khan, R. Removal of Heavy Metal from Wastewater: A Review of Current Treatment Processes. J. Adv. Res. Mater. Sci. 2019, 58, 1–9. [Google Scholar]
- Kampa, M.; Castanas, E. Human health effects of air pollution. Environ. Pollut. 2008, 151, 362–367. [Google Scholar] [CrossRef]
- Khan, A.; Khan, S.; Khan, M.A.; Qamar, Z.; Waqas, M. The uptake and bioaccumulation of heavy metals by food plants, their effects on plants nutrients, and associated health risk: A review. Environ. Sci. Pollut. Res. 2015, 22, 13772–13799. [Google Scholar]
- Liu, J.; Liu, Y.J.; Liu, Y.; Liu, Z.; Zhang, A.N. Quantitative contributions of the major sources of heavy metals in soils to ecosystem and human health risks: A case study of Yulin, China. Ecotoxicol. Environ. Saf. 2018, 164, 261–269. [Google Scholar] [CrossRef] [PubMed]
- Rehman, K.; Fatima, F.; Waheed, I.; Akash, M.S.H. Prevalence of exposure of heavy metals and their impact on health consequences. J. Cell. Biochem. 2018, 119, 157–184. [Google Scholar] [CrossRef]
- Tchounwou, P.B.; Yedjou, C.G.; Patlolla, A.K.; Sutton, D.J. Heavy metal toxicity and the environment. Mol. Clin. Environ. Toxicol. 2012, 101, 133–164. [Google Scholar]
- Matong, J.M.; Nyaba, L.; Nomngongo, P.N. Determination of As, Cr, Mo, Sb, Se and V in agricultural soil samples by inductively coupled plasma optical emission spectrometry after simple and rapid solvent extraction using choline chloride-oxalic acid deep eutectic solvent. Ecotoxicol. Environ. Saf. 2017, 135, 152–157. [Google Scholar] [CrossRef]
- Schunk, P.F.T.; Kalil, I.C.; Pimentel-Schmitt, E.F.; Lenz, D.; de Andrade, T.U.; Ribeiro, J.S.; Endringer, D.C. ICP-OES and micronucleus test to evaluate heavy metal contamination in commercially available Brazilian herbal teas. Biol. Trace Elem. Res. 2016, 172, 258–265. [Google Scholar] [CrossRef] [PubMed]
- Massadeh, A.M.; Allah, A.; Al-Massaedh, T.; Kharibeh, S. Determination of selected elements in canned food sold in Jordan markets. Environ. Sci. Pollut. Res. 2018, 25, 3501–3509. [Google Scholar] [CrossRef]
- Hou, H.; Zeinu, K.M.; Gao, S.; Liu, B.; Yang, J.; Hu, J. Recent advances and perspective on design and synthesis of electrode materials for electrochemical sensing of heavy metals. Energy Environ. Mater. 2018, 1, 113–131. [Google Scholar] [CrossRef]
- Mehder, A.; Habibullah, Y.; Gondal, M.; Baig, U. Qualitative and quantitative spectro-chemical analysis of dates using UV-pulsed laser induced breakdown spectroscopy and inductively coupled plasma mass spectrometry. Talanta 2016, 155, 124–132. [Google Scholar] [CrossRef] [PubMed]
- Luce, M.S.; Ziadi, N.; Gagnon, B.; Karam, A. Visible near infrared reflectance spectroscopy prediction of soil heavy metal concentrations in paper mill biosolid-and liming by-product-amended agricultural soils. Geoderma 2017, 288, 23–36. [Google Scholar] [CrossRef]
- Tang, B.-C.; Fu, H.-Y.; Yin, Q.-B.; Zhou, Z.-Y.; Shi, W.; Xu, L.; She, Y.-B. Combining near-infrared spectroscopy and chemometrics for rapid recognition of an Hg-contaminated plant. J. Spectrosc. 2016, 2016, 1–7. [Google Scholar] [CrossRef]
- Yu, J.; Yang, S.; Sun, D.; Lu, Q.; Zheng, J.; Zhang, X.; Wang, X. Simultaneously determination of multi metal elements in water samples by liquid cathode glow discharge-atomic emission spectrometry. Microchem. J. 2016, 128, 325–330. [Google Scholar] [CrossRef]
- Thongsaw, A.; Chaiyasith, W.C.; Sananmuang, R.; Ross, G.M.; Ampiah-Bonney, R.J. Determination of cadmium in herbs by SFODME with ETAAS detection. Food Chem. 2017, 219, 453–458. [Google Scholar] [CrossRef]
- Gitet, H.; Hilawie, M.; Muuz, M.; Weldegebriel, Y.; Gebremichael, D.; Gebremedhin, D. Bioaccumulation of heavy metals in crop plants grown near Almeda Textile Factory, Adwa, Ethiopia. Environ. Monit. Assess. 2016, 188, 1–8. [Google Scholar] [CrossRef]
- dos Santos Augusto, A.; Batista, É.F.; Pereira-Filho, E.R. Direct chemical inspection of eye shadow and lipstick solid samples using laser-induced breakdown spectroscopy (LIBS) and chemometrics: Proposition of classification models. Anal. Methods 2016, 8, 5851–5860. [Google Scholar] [CrossRef]
- Gondal, M.A.; Shemis, M.A.; Khalil, A.A.; Nasr, M.M.; Gondal, B. Retracted Article: Laser produced plasma diagnosis of carcinogenic heavy metals in gallstones. J. Anal. At. Spectrom. 2016, 31, 506–514. [Google Scholar] [CrossRef]
- Bigham, T.; Dooley, J.S.; Ternan, N.G.; Snelling, W.J.; Castelán, M.H.; Davis, J. Assessing microbial water quality: Electroanalytical approaches to the detection of coliforms. TracTrends Anal. Chem. 2019, 121, 115670. [Google Scholar] [CrossRef]
- Xu, K.; Chen, Q.; Zhao, Y.; Ge, C.; Lin, S.; Liao, J. Cost-effective, wireless, and portable smartphone-based electrochemical system for on-site monitoring and spatial mapping of the nitrite contamination in water. Sens. Actuators B Chem. 2020, 319, 128221. [Google Scholar] [CrossRef]
- Lambrou, T.P.; Anastasiou, C.C.; Panayiotou, C.G.; Polycarpou, M.M. A low-cost sensor network for real-time monitoring and contamination detection in drinking water distribution systems. IEEE Sens. J. 2014, 14, 2765–2772. [Google Scholar] [CrossRef]
- Okpara, E.C.; Fayemi, O.E.; Sherif, E.-S.M.; Junaedi, H.; Ebenso, E.E. Green Wastes Mediated Zinc Oxide Nanoparticles: Synthesis, Characterization and Electrochemical Studies. Materials 2020, 13, 4241. [Google Scholar] [CrossRef] [PubMed]
- Abbas, W.; Akhtar, N.; Liu, Q.; Li, T.; Zada, I.; Yao, L.; Naz, R.; Zhang, W.; Mazhar, M.E.; Zhang, D. Facilely green synthesis of 3D nano-pyramids Cu/carbon hybrid sensor electrode materials for simultaneous monitoring of phenolic compounds. Sens. Actuators B Chem. 2019, 282, 617–625. [Google Scholar] [CrossRef]
- Go, M.; Hwang, B.; Lim, S. Highly reliable mulberry paper (Hanji)-based electrode with printed silver nanowire/zinc oxide hybrid for soft electronics. Mater. Manuf. Process. 2019, 34, 1605–1611. [Google Scholar] [CrossRef]
- Zhou, Q.; Kim, J.-N.; Han, K.-W.; Oh, S.-W.; Umrao, S.; Chae, E.J.; Oh, I.-K. Integrated dielectric-electrode layer for triboelectric nanogenerator based on Cu nanowire-Mesh hybrid electrode. Nano Energy 2019, 59, 120–128. [Google Scholar] [CrossRef]
- Waheed, A.; Mansha, M.; Ullah, N. Nanomaterials-based electrochemical detection of heavy metals in water: Current status, challenges and future direction. TrAC Trends Anal. Chem. 2018, 105, 37–51. [Google Scholar] [CrossRef]
- Kalpana, V.; Devi Rajeswari, V. A review on green synthesis, biomedical applications, and toxicity studies of ZnO NPs. Bioinorg. Chem. Appl. 2018, 2018, 1–12. [Google Scholar] [CrossRef]
- Honeychurch, K.C.; Hawkins, D.M.; Hart, J.P.; Cowell, D.C. Voltammetric behaviour and trace determination of copper at a mercury-free screen-printed carbon electrode. Talanta 2002, 57, 565–574. [Google Scholar] [CrossRef]
- Güell, R.; Aragay, G.; Fontàs, C.; Anticó, E.; Merkoçi, A. Sensitive and stable monitoring of lead and cadmium in seawater using screen-printed electrode and electrochemical stripping analysis. Anal. Chim. Acta 2008, 627, 219–224. [Google Scholar] [CrossRef]
- Aragay, G.; Pons, J.; Merkoçi, A. Enhanced electrochemical detection of heavy metals at heated graphite nanoparticle-based screen-printed electrodes. J. Mater. Chem. 2011, 21, 4326–4331. [Google Scholar] [CrossRef]
- Somerset, V.; Iwuoha, E.; Hernandez, L. Stripping voltammetric measurement of trace metal ions at screen-printed carbon and carbon paste electrodes. Procedia Chem. 2009, 1, 1279–1282. [Google Scholar] [CrossRef]
- Somerset, V.; Leaner, J.; Mason, R.; Iwuoha, E.; Morrin, A. Development and application of a poly (2, 2′-dithiodianiline)(PDTDA)-coated screen-printed carbon electrode in inorganic mercury determination. Electrochim. Acta 2010, 55, 4240–4246. [Google Scholar] [CrossRef]
- Somerset, V.; Leaner, J.; Mason, R.; Iwuoha, E.; Morrin, A. Determination of inorganic mercury using a polyaniline and polyaniline-methylene blue coated screen-printed carbon electrode. Int. J. Environ. Anal. Chem. 2010, 90, 671–685. [Google Scholar] [CrossRef]
- Okpara, E.C.; Fayemi, O.E. Comparative study of spectroscopic and cyclic voltammetry properties of CuONPs from citrus peel extracts. Mater. Res. Express 2019, 6, 105056. [Google Scholar] [CrossRef]
- Raveendran, P.; Fu, J.; Wallen, S.L. Completely “green” synthesis and stabilization of metal nanoparticles. JACS 2003, 125, 13940–13941. [Google Scholar] [CrossRef] [PubMed]
- Zhang, G.; Du, M.; Li, Q.; Li, X.; Huang, J.; Jiang, X.; Sun, D. Green synthesis of Au–Ag alloy nanoparticles using Cacumen platycladi extract. RSC Adv. 2013, 3, 1878–1884. [Google Scholar] [CrossRef]
- Duan, S.; Wang, R. Bimetallic nanostructures with magnetic and noble metals and their physicochemical applications. Prog. Nat. Sci. Mater. Int. 2013, 23, 113–126. [Google Scholar] [CrossRef]
- Bayahia, H.; Al-Ghamdi, M.; Hassan, M.; Amna, T. Facile Synthesis of ZnO-Cu2O Composite Nanoparticles and Effect of Cu2O Doping in ZnO on Antimicrobial Activity. Mod. Chem. Appl. 2017, 5, 2. [Google Scholar] [CrossRef]
- Bae, K.-L.; Kim, J.; Lim, C.K.; Nam, K.M.; Song, H. Colloidal zinc oxide-copper (I) oxide nanocatalysts for selective aqueous photocatalytic carbon dioxide conversion into methane. Nat. Commun. 2017, 8, 1156. [Google Scholar] [CrossRef] [PubMed]
- Wang, Y.; Lany, S.; Ghanbaja, J.; Fagot-Revurat, Y.; Chen, Y.; Soldera, F.; Horwat, D.; Mücklich, F.; Pierson, J. Electronic structures of Cu2O, Cu4O3, and CuO: A joint experimental and theoretical study. Phys. Rev. B 2016, 94, 245418. [Google Scholar] [CrossRef]
- Liu, P. Synthesis and characterization of organo-soluble conducting polyaniline doped with oleic acid. Synth. Met. 2009, 159, 148–152. [Google Scholar] [CrossRef]
- Dhivya, C.; Vandarkuzhali, S.A.A.; Radha, N. Antimicrobial activities of nanostructured polyanilines doped with aromatic nitro compounds. Arab. J. Chem. 2019, 12, 3785–3798. [Google Scholar] [CrossRef]
- M’hiri, N.; Ioannou, I.; Ghoul, M.; Mihoubi Boudhrioua, N. Phytochemical characteristics of citrus peel and effect of conventional and nonconventional processing on phenolic compounds: A review. Food Rev. Int. 2017, 33, 587–619. [Google Scholar] [CrossRef]
- Nagaraj, E.; Karuppannan, K.; Shanmugam, P.; Venugopal, S. Exploration of Bio-synthesized Copper Oxide Nanoparticles Using Pterolobium hexapetalum Leaf Extract by Photocatalytic Activity and Biological Evaluations. J. Clust. Sci. 2019, 30, 1157–1168. [Google Scholar] [CrossRef]
- Coates, J. Interpretation of infrared spectra, a practical approach. Encycl. Anal. Chem. Appl. Theory Instrum. 2006. [Google Scholar] [CrossRef]
- Yang, A.-l.; Li, S.-p.; Wang, Y.-j.; Wang, L.-l.; Bao, X.-c.; Yang, R.-q. Fabrication of Cu2O@ Cu2O core–shell nanoparticles and conversion to Cu2O@ Cu core–shell nanoparticles in solution. Trans. Nonferrous Met. Soc. China 2015, 25, 3643–3650. [Google Scholar] [CrossRef]
- Xu, Y.; Chen, D.; Jiao, X.; Xue, K. Nanosized Cu2O/PEG400 composite hollow spheres with mesoporous shells. J. Phys. Chem. C 2007, 111, 16284–16289. [Google Scholar] [CrossRef]
- Gliemann, G.K. Nakamoto: Infrared and Raman Spectra of Inorganic and Coordination Compounds; John Wiley and Sons: New York, NY, USA; Chichester, UK; Brisbane, Australia; Toronto, ON, Canada, 1978. [Google Scholar]
- Wahab, R.; Mishra, A.; Yun, S.-I.; Kim, Y.-S.; Shin, H.-S. Antibacterial activity of ZnO nanoparticles prepared via non-hydrolytic solution route. Appl. Microbiol. Biotechnol. 2010, 87, 1917–1925. [Google Scholar] [CrossRef] [PubMed]
- Muthukumaran, S.; Gopalakrishnan, R. Structural, FTIR and photoluminescence studies of Cu doped ZnO nanopowders by co-precipitation method. Opt. Mater. 2012, 34, 1946–1953. [Google Scholar] [CrossRef]
- Akintelu, S.A.; Folorunso, A.S. A review on green synthesis of zinc oxide nanoparticles using plant extracts and its biomedical applications. BioNanoScience 2020, 10, 848–863. [Google Scholar] [CrossRef]
- Chan, H.; Ng, S.; Sim, W.; Tan, K.; Tan, B. Preparation and characterization of electrically conducting copolymers of aniline and anthranilic acid: Evidence for self-doping by X-ray photoelectron spectroscopy. Macromolecules 1992, 25, 6029–6034. [Google Scholar] [CrossRef]
- Chan, H.; Ng, S.; Sim, W.; Seow, S.; Tan, K.; Tan, B. Synthesis and characterization of conducting poly (o-aminobenzyl alcohol) and its copolymers with aniline. Macromolecules 1993, 26, 144–150. [Google Scholar] [CrossRef]
- Guo, Y.; Zhou, Y. Polyaniline nanofibers fabricated by electrochemical polymerization: A mechanistic study. Eur. Polym. J. 2007, 43, 2292–2297. [Google Scholar] [CrossRef]
- Kuramoto, N.; Geniès, E.M. Micellar chemical polymerization of aniline. Synth. Met. 1995, 68, 191–194. [Google Scholar] [CrossRef]
- Šeděnková, I.; Trchová, M.; Blinova, N.V.; Stejskal, J. In-situ polymerized polyaniline films. Preparation in solutions of hydrochloric, sulfuric, or phosphoric acid. Thin Solid Film. 2006, 515, 1640–1646. [Google Scholar] [CrossRef]
- Stejskal, J.; Sapurina, I.; Trchová, M.; Prokeš, J.; Křivka, I.; Tobolková, E. Solid-state protonation and electrical conductivity of polyaniline. Macromolecules 1998, 31, 2218–2222. [Google Scholar] [CrossRef]
- Li, G.-R.; Feng, Z.-P.; Zhong, J.-H.; Wang, Z.-L.; Tong, Y.-X. Electrochemical synthesis of polyaniline nanobelts with predominant electrochemical performances. Macromolecules 2010, 43, 2178–2183. [Google Scholar] [CrossRef]
- Zhang, L.; Dong, S. The electrocatalytic oxidation of ascorbic acid on polyaniline film synthesized in the presence of camphorsulfonic acid. J. Electroanal. Chem. 2004, 568, 189–194. [Google Scholar] [CrossRef]
- Li, H.; Wang, J.; Chu, Q.; Wang, Z.; Zhang, F.; Wang, S. Theoretical and experimental specific capacitance of polyaniline in sulfuric acid. J. Power Sources 2009, 190, 578–586. [Google Scholar] [CrossRef]
- Zhu, H.; Peng, S.; Jiang, W. Electrochemical properties of PANI as single electrode of electrochemical capacitors in acid electrolytes. Sci. World J. 2013, 2013, 940153. [Google Scholar] [CrossRef]
- Rodriguez-Sanchez, L.; Blanco, M.; Lopez-Quintela, M. Electrochemical synthesis of silver nanoparticles. J. Phys. Chem. B 2000, 104, 9683–9688. [Google Scholar] [CrossRef]
- Forzani, E.S.; Li, X.; Zhang, P.; Tao, N.; Zhang, R.; Amlani, I.; Tsui, R.; Nagahara, L.A. Tuning the Chemical Selectivity of SWNT-FETs for Detection of Heavy-Metal Ions. Small 2006, 2, 1283–1291. [Google Scholar] [CrossRef]
- Xu, R.-X.; Yu, X.-Y.; Gao, C.; Jiang, Y.-J.; Han, D.-D.; Liu, J.-H.; Huang, X.-J. Non-conductive nanomaterial enhanced electrochemical response in stripping voltammetry: The use of nanostructured magnesium silicate hollow spheres for heavy metal ions detection. Anal. Chim. Acta 2013, 790, 31–38. [Google Scholar] [CrossRef] [PubMed]
- Liu, M.; Guan, Q.; Liu, S. Nitrogen-doped hollow carbon spheres for electrochemical detection of heavy metal ions. Ionics 2018, 24, 2783–2793. [Google Scholar] [CrossRef]
- Romero-Cano, L.A.; Zárate-Guzmán, A.I.; Carrasco-Marín, F.; González-Gutiérrez, L.V. Electrochemical detection of copper in water using carbon paste electrodes prepared from bio-template (grapefruit peels) functionalized with carboxyl groups. J. Electroanal. Chem. 2019, 837, 22–29. [Google Scholar] [CrossRef]
- Song, E.; Choi, J.-W. Conducting polyaniline nanowire and its applications in chemiresistive sensing. Nanomaterials 2013, 3, 498–523. [Google Scholar] [CrossRef]
- Ozoemena, K. Recent advances in analytical electrochemistry; Transworld Research Network: Trivandrum, India, 2007. [Google Scholar]
- Zanello, P.; Nervi, C.; De Biani, F.F. Inorganic Electrochemistry: Theory, Practice and Application; RCS: London, UK, 2019. [Google Scholar]
- Girault, H.H. Analytical and Physical Electrochemistry; EPFL Press: New York, NY, USA, 2004. [Google Scholar]
- Bard, A.J.; Faulkner, L.R.; Leddy, J.; Zoski, C.G. Electrochemical Methods: Fundamentals and Applications; John Wiley and Sons Inc.: New York, NY, USA, 2001; Volume 1. [Google Scholar]
- Olowu, R.A.; Ndangili, P.M.; Baleg, A.A.; Ikpo, C.O.; Njomo, N.; Baker, P.; Iwuoha, E. Spectroelectrochemical dynamics of dendritic poly (propylene imine)-polythiophene star copolymer aptameric 17 β-estradiol biosensor. Int. J. Electrochem. Sci. 2011, 6, 1686–1708. [Google Scholar]
- Honeychurch, K.C.; Hart, J.P.; Cowell, D.C. Voltammetric Behavior and Trace Determination of Lead at a Mercury-Free Screen-Printed Carbon Electrode. Electroanal. Int. J. Devoted Fundam. Pract. Asp. Electroanal. 2000, 12, 171–177. [Google Scholar] [CrossRef]
- Byrne, J.T.; Rogers, L. Critical interpretation of electrodeposition studies involving traces of elements. J. Electrochem. Soc. 1951, 98, 457. [Google Scholar] [CrossRef]
- Jiokeng, S.L.; Dongmo, L.M.; Ymélé, E.; Ngameni, E.; Tonlé, I.K. Sensitive stripping voltammetry detection of Pb (II) at a glassy carbon electrode modified with an amino-functionalized attapulgite. Sens. Actuators B Chem. 2017, 242, 1027–1034. [Google Scholar] [CrossRef]
- Silwana, B.; van der Horst, C.; Iwuoha, E.; Somerset, V. Screen-printed carbon electrodes modified with a bismuth film for stripping voltammetric analysis of platinum group metals in environmental samples. Electrochim. Acta 2014, 128, 119–127. [Google Scholar] [CrossRef]
- Honeychurch, K.C.; Hart, J.P.; Cowell, D.C.; Arrigan, D.W. Voltammetric studies of lead at calixarene modified screen-printed carbon electrodes and its trace determination in water by stripping voltammetry. Sens. Actuators B Chem. 2001, 77, 642–652. [Google Scholar] [CrossRef]
- Molinero-Abad, B.; Izquierdo, D.; Pérez, L.; Escudero, I.; Arcos-Martínez, M. Comparison of backing materials of screen printed electrochemical sensors for direct determination of the sub-nanomolar concentration of lead in seawater. Talanta 2018, 182, 549–557. [Google Scholar] [CrossRef]
- Koudelkova, Z.; Syrovy, T.; Ambrozova, P.; Moravec, Z.; Kubac, L.; Hynek, D.; Richtera, L.; Adam, V. Determination of zinc, cadmium, lead, copper and silver using a carbon paste electrode and a screen printed electrode modified with chromium (III) oxide. Sensors 2017, 17, 1832. [Google Scholar] [CrossRef] [PubMed]
- Shah, A.; Zahid, A.; Khan, A.; Iftikhar, F.J.; Nisar, J.; Fernandez, C.; Akhter, M.S.; Almutawah, A.A.; Kraatz, H.-B. Development of a highly sensitive electrochemical sensing platform for the trace level detection of lead ions. J. Electrochem. Soc. 2019, 166, B3136. [Google Scholar] [CrossRef]
- Dali, M.; Zinoubi, K.; Chrouda, A.; Abderrahmane, S.; Cherrad, S.; Jaffrezic-Renault, N. A biosensor based on fungal soil biomass for electrochemical detection of lead (II) and cadmium (II) by differential pulse anodic stripping voltammetry. J. Electroanal. Chem. 2018, 813, 9–19. [Google Scholar] [CrossRef]
- Tayeb, I.A.; Razak, K.A. Development of gold nanoparticles modified electrodes for the detection of heavy metal ions. J. Phys. Conf. Ser. 2018, 1083, 012044. [Google Scholar] [CrossRef]
- Torres-Rivero, K.; Torralba-Cadena, L.; Espriu-Gascon, A.; Casas, I.; Bastos-Arrieta, J.; Florido, A. Strategies for surface modification with Ag-shaped nanoparticles: Electrocatalytic enhancement of screen-printed electrodes for the detection of heavy metals. Sensors 2019, 19, 4249. [Google Scholar] [CrossRef]
- Sun, Y.-F.; Sun, J.-H.; Wang, J.; Pi, Z.-X.; Wang, L.-C.; Yang, M.; Huang, X.-J. Sensitive and anti-interference stripping voltammetry analysis of Pb (II) in water using flower-like MoS2/rGO composite with ultra-thin nanosheets. Anal. Chim. Acta 2019, 1063, 64–74. [Google Scholar] [CrossRef] [PubMed]
























| Water Resistivity MΩ cm @ 25 °C | Ionic Concentration (µg/L) |
|---|---|
| 18.2 | <1 |
| 17.0 | <2 |
| 16.0 | <3 |
| 15.0 | <5 |
| 10.0 | <10 |
| ELECTRODES | Epa (V) | Ipa (µA) | Epc (V) | Ipc (µA) | ∆Ep (V) | |
|---|---|---|---|---|---|---|
| SPCE | 0.190 | 53.379 | 0.020 | −66.229 | 0.17 | 0.806 |
| SPCE/PANI | 0.220 | 95.620 | 0.020 | −113.910 | 0.12 | 0.840 |
| SPCE/LPE/BIONPs | 0.192 | 83.587 | 0.0925 | −83.324 | 0.10 | 1.003 |
| SPCE/LPE/BIONPs/PANI | 0.182 | 59.421 | 0.0765 | −60.181 | 0.11 | 0.987 |
| Electrolyte | Ip (µA) | Potential Window | Curve Coverage Area |
|---|---|---|---|
| Acetic acid | - | −1.0 to 1.2 | 74.444 |
| Nitric acid | 80.164 | −1.0 to 1.2 | 173.414 |
| Potassium chloride | 134.245 | −1.0 to 1.2 | 169.226 |
| Hydrogen chloride | 110.445 | −1.0 to 1.2 | 140.949 |
| Phosphate Buffer Solution | - | −1.0 to 1.2 | 192.919 |
| Ortho-phosphoric acid | 65.245 | −1.0 to 1.2 | 111.044 |
| Sodium hydroxide | 73.164 | −1.0 to 1.2 | 203.585 |
| Optimal Conditions | |
|---|---|
| Deposition time | 180 s |
| Electrolyte | 0.1 M HCL |
| Deposition potential | −1.2 V |
| pH | 1.01 |
| Frequency | 8 Hz |
| Potential Step | 4 mV |
| Pulse Amplitude | 25 mV |
| Electrodes | Sensitivity (µA/µM) | STD. DEV. | LOD (ppb) | LOQ (ppb) | Linear Range (µM) | Method Analysis | Deposition Time (s) | Electrolyte/ pH | Reference |
|---|---|---|---|---|---|---|---|---|---|
| BiF-SPCE | - | - | 0.008 | 0.027 | 0–0.1 | AdDPSV | 180 | 0.01 M Ammonium Buffer pH = 9.2 | [84] |
| Bare-SPCE | - | - | 2.5 | 8.33 | 6.3- 24 | DPASV | 150 | 0.1 M HCl | [81] |
| CAL-SPCEs | - | - | 5.0 | 16.67 | 0–0.01 | DPASV | 5 | 1.0 M ammonia buffer at pH 11.5 | [85] |
| AuNP/ERGO-SPCE | 0.157 | - | 0.11 | 0.36 | 0.002–0.014 | DPASV | 300 | 0.02 M HCl | [86] |
| Cr (III) oxide -SPCE | - | - | 3 | 10 | 0.03–2.42 | SWASV | 100 | [87] | |
| Mercury film SPE * | 0.33 | - | 1.8 | 6.00 | 0.029–0.30 | SWASV | 120 | 0.6 M NaCl pH 8 | [37] |
| DPTGCE | - | - | 0.695 | 2.32 | 11–45 | SWASV | 120 | 0.1 M HCl pH 3 | [88] |
| GCE/SWCNTs/BE | 23.983 | - | 33.1 | 110.33 | - | DPASV | 120 | 0.1 M acetate buffer pH 4.5 | [89] |
| AuNPs-SPCE | 0.376 | - | 4.62 | 15.54 | 5–25 | SWASV | - | 0.2 M acetate buffer | [90] |
| SPCNFEs | 0.1 | - | 2.8 | 9.33 | 2–100 | DPASV | 180 | acetic acid/acetate buffer pH 4.5 | [91] |
| MoS2/rGO-GCE | 50.80 | - | 1.59 | 5.30 | 16.55–264.8 | SWASV | 120 | 0.1 M NH4Cl-HCl pH 4.0 | [92] |
| Cr-CPE | 18.75 | - | 3 | 10 | 0.03–2.42 | SWASV | 100 | 2 M acetate buffer, pH 5 | [87] |
| SPCE/LPE/BIONPs/PANI | 8.16 | 0.004 | 0.49 | 1.47 | 0.45–5.43 | SWV | 180 | 0.1 M HCl pH = 1 | This work |
| SPCE/OPE/BIONPs/PANI | 3.46 | 0.029 | 2.79 | 8.91 | 0–4.03 | SWV | 180 | This work |
| Sampling Point | Coordinates | Site ID |
|---|---|---|
| 1 | 25° 40′ 52.6 S 27° 48′ 12.6 E | Agriculture/Mining |
| SPCEs | R2 | a ± Sa | b ± Sb (10−6) | Working Range (µM) | LOD (µM) | Amount Added (µM) | Amount Found (µM) | RSD (%) | ta-Stat | Pa-Value |
|---|---|---|---|---|---|---|---|---|---|---|
| LPE/BIONPs/PANI | 0.98 | 5.37 ± 0.18 | 5.03 ± 0.68 | 0.9–3.62 | 0.73 | 3.62 | 3.74 (104.32%) | 3.6 | 9.782 | 0.01 |
| LPE/BIONPs/PANI | 0.99 | 8.15 ± 0.29 | −4.9 ± 0.72 | 0.9–3.62 | 0.68 | 3.62 | 3.71 (103.32%) | 3.1 | 14.051 | 0.005 |
| Interference | Pb2+ RECOVERED |
|---|---|
| Mg2+ | 99.9999 |
| Cu2+ | 100 |
| Co2+ | 82.33 |
| Fe2+ | 100 |
| Zn2+ | 98.07 |
| Ni2+ | 100 |
Publisher’s Note: MDPI stays neutral with regard to jurisdictional claims in published maps and institutional affiliations. |
© 2021 by the authors. Licensee MDPI, Basel, Switzerland. This article is an open access article distributed under the terms and conditions of the Creative Commons Attribution (CC BY) license (https://creativecommons.org/licenses/by/4.0/).
Share and Cite
Okpara, E.C.; Nde, S.C.; Fayemi, O.E.; Ebenso, E.E. Electrochemical Characterization and Detection of Lead in Water Using SPCE Modified with BiONPs/PANI. Nanomaterials 2021, 11, 1294. https://doi.org/10.3390/nano11051294
Okpara EC, Nde SC, Fayemi OE, Ebenso EE. Electrochemical Characterization and Detection of Lead in Water Using SPCE Modified with BiONPs/PANI. Nanomaterials. 2021; 11(5):1294. https://doi.org/10.3390/nano11051294
Chicago/Turabian StyleOkpara, Enyioma C., Samuel Che Nde, Omolola E. Fayemi, and Eno E. Ebenso. 2021. "Electrochemical Characterization and Detection of Lead in Water Using SPCE Modified with BiONPs/PANI" Nanomaterials 11, no. 5: 1294. https://doi.org/10.3390/nano11051294
APA StyleOkpara, E. C., Nde, S. C., Fayemi, O. E., & Ebenso, E. E. (2021). Electrochemical Characterization and Detection of Lead in Water Using SPCE Modified with BiONPs/PANI. Nanomaterials, 11(5), 1294. https://doi.org/10.3390/nano11051294

