Ab Initio Theory of Photoemission from Graphene
Abstract
1. Introduction
2. Computational Methodology and Approximations
3. Results and Discussion
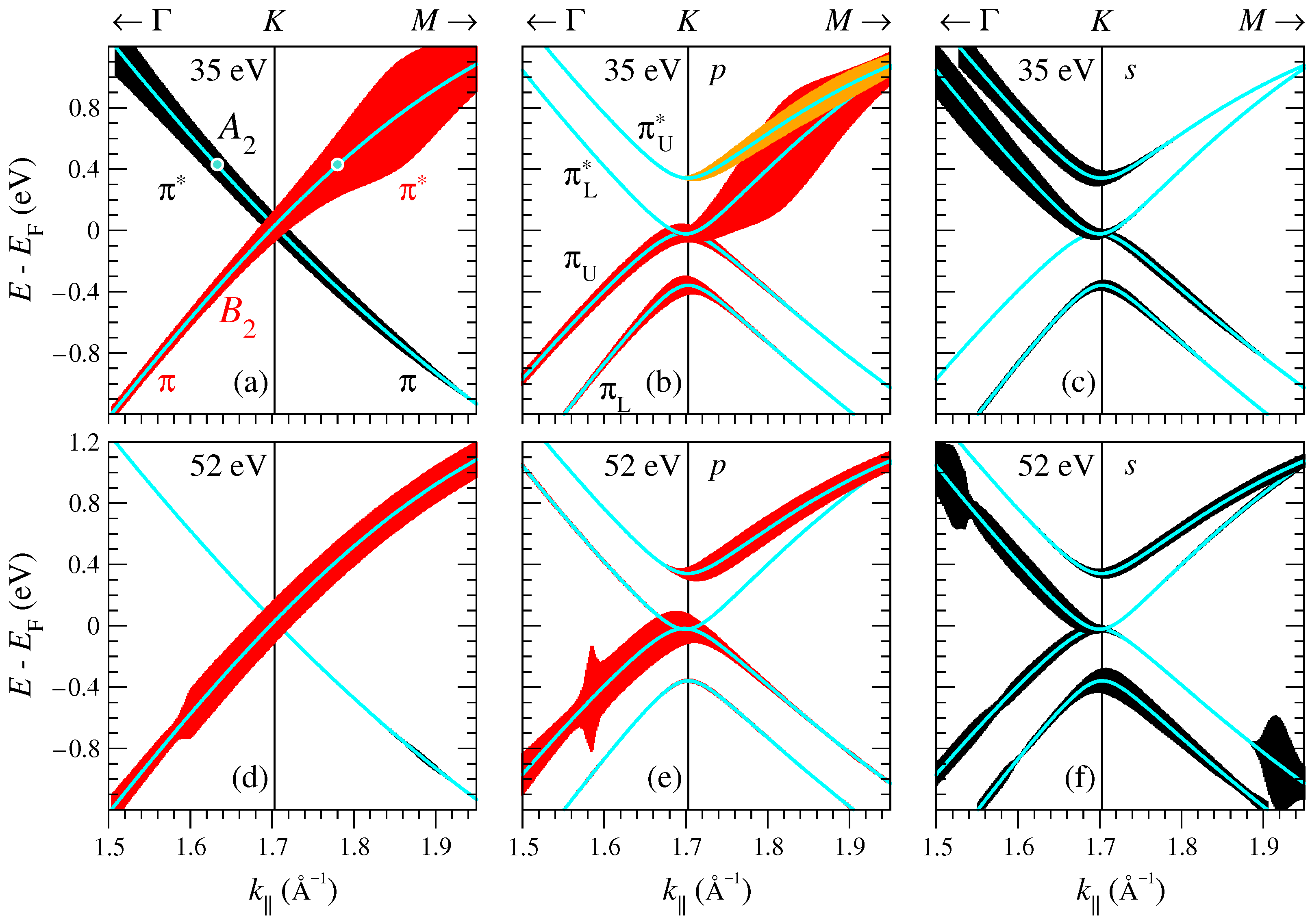
3.1. Monolayer Graphene
3.2. Bilayer Graphene: Relaxation of Parity Selection Rules
4. Summary and Conclusions
Funding
Institutional Review Board Statement
Informed Consent Statement
Data Availability Statement
Conflicts of Interest
References
- Castro Neto, A.H.; Guinea, F.; Peres, N.M.R.; Novoselov, K.S.; Geim, A.K. The electronic properties of graphene. Rev. Mod. Phys. 2009, 81, 109–162. [Google Scholar] [CrossRef]
- Hibino, H.; Kageshima, H.; Maeda, F.; Nagase, M.; Kobayashi, Y.; Yamaguchi, H. Microscopic thickness determination of thin graphite films formed on SiC from quantized oscillation in reflectivity of low-energy electrons. Phys. Rev. B 2008, 77, 075413. [Google Scholar] [CrossRef]
- Srivastava, N.; Gao, Q.; Widom, M.; Feenstra, R.M.; Nie, S.; McCarty, K.F.; Vlassiouk, I.V. Low-energy electron reflectivity of graphene on copper and other substrates. Phys. Rev. B 2013, 87, 245414. [Google Scholar] [CrossRef]
- Jobst, J.; Kautz, J.; Geelen, D.; Tromp, R.M.; van der Molen, S.J. Nanoscale measurements of unoccupied band dispersion in few-layer graphene. Nat. Commun. 2015, 6, 8926. [Google Scholar] [CrossRef] [PubMed]
- Nazarov, V.U.; Krasovskii, E.E.; Silkin, V.M. Scattering resonances in two-dimensional crystals with application to graphene. Phys. Rev. B 2013, 87, 041405. [Google Scholar] [CrossRef]
- Wicki, F.; Longchamp, J.N.; Latychevskaia, T.; Escher, C.; Fink, H.W. Mapping unoccupied electronic states of freestanding graphene by angle-resolved low-energy electron transmission. Phys. Rev. B 2016, 94, 075424. [Google Scholar] [CrossRef]
- Krivenkov, M.; Marchenko, D.; Sánchez-Barriga, J.; Rader, O.; Varykhalov, A. Suppression of electron scattering resonances in graphene by quantum dots. Appl. Phys. Lett. 2017, 111, 161605. [Google Scholar] [CrossRef]
- Ohta, T.; Bostwick, A.; Seyller, T.; Horn, K.; Rotenberg, E. Controlling the Electronic Structure of Bilayer Graphene. Science 2006, 313, 951–954. [Google Scholar] [CrossRef] [PubMed]
- Ohta, T.; Bostwick, A.; McChesney, J.L.; Seyller, T.; Horn, K.; Rotenberg, E. Interlayer Interaction and Electronic Screening in Multilayer Graphene Investigated with Angle-Resolved Photoemission Spectroscopy. Phys. Rev. Lett. 2007, 98, 206802. [Google Scholar] [CrossRef] [PubMed]
- Bostwick, A.; Ohta, T.; Seyller, T.; Horn, K.; Rotenberg, E. Quasiparticle dynamics in graphene. Nat. Phys. 2007, 3, 36–40. [Google Scholar] [CrossRef]
- Hwang, C.; Park, C.H.; Siegel, D.A.; Fedorov, A.V.; Louie, S.G.; Lanzara, A. Direct measurement of quantum phases in graphene via photoemission spectroscopy. Phys. Rev. B 2011, 84, 125422. [Google Scholar] [CrossRef]
- Liu, Y.; Bian, G.; Miller, T.; Chiang, T.C. Visualizing Electronic Chirality and Berry Phases in Graphene Systems Using Photoemission with Circularly Polarized Light. Phys. Rev. Lett. 2011, 107, 166803. [Google Scholar] [CrossRef] [PubMed]
- Gierz, I.; Henk, J.; Höchst, H.; Ast, C.R.; Kern, K. Illuminating the dark corridor in graphene: Polarization dependence of angle-resolved photoemission spectroscopy on graphene. Phys. Rev. B 2011, 83, 121408. [Google Scholar] [CrossRef]
- Gierz, I.; Lindroos, M.; Höchst, H.; Ast, C.R.; Kern, K. Graphene Sublattice Symmetry and Isospin Determined by Circular Dichroism in Angle-Resolved Photoemission Spectroscopy. Nano Lett. 2012, 12, 3900–3904. [Google Scholar] [CrossRef] [PubMed]
- Varykhalov, A.; Marchenko, D.; Sánchez-Barriga, J.; Scholz, M.R.; Verberck, B.; Trauzettel, B.; Wehling, T.O.; Carbone, C.; Rader, O. Intact Dirac Cones at Broken Sublattice Symmetry: Photoemission Study of Graphene on Ni and Co. Phys. Rev. X 2012, 2, 041017. [Google Scholar] [CrossRef]
- Moreau, E.; Godey, S.; Wallart, X.; Razado-Colambo, I.; Avila, J.; Asensio, M.C.; Vignaud, D. High-resolution angle-resolved photoemission spectroscopy study of monolayer and bilayer graphene on the C-face of SiC. Phys. Rev. B 2013, 88, 075406. [Google Scholar] [CrossRef]
- Hwang, C. Angle-resolved photoemission spectroscopy study on graphene using circularly polarized light. J. Phys. Condens. Matter 2014, 26, 335501. [Google Scholar] [CrossRef]
- Ayria, P.; Nugraha, A.R.T.; Hasdeo, E.H.; Czank, T.R.; Tanaka, S.i.; Saito, R. Photon energy dependence of angle-resolved photoemission spectroscopy in graphene. Phys. Rev. B 2015, 92, 195148. [Google Scholar] [CrossRef]
- Polley, C.M.; Johansson, L.I.; Fedderwitz, H.; Balasubramanian, T.; Leandersson, M.; Adell, J.; Yakimova, R.; Jacobi, C. Origin of the π-band replicas in the electronic structure of graphene grown on 4H-SiC(0001). Phys. Rev. B 2019, 99, 115404. [Google Scholar] [CrossRef]
- Schüler, M.; De Giovannini, U.; Hübener, H.; Rubio, A.; Sentef, M.A.; Werner, P. Local Berry curvature signatures in dichroic angle-resolved photoelectron spectroscopy from two-dimensional materials. Sci. Adv. 2020, 6. [Google Scholar] [CrossRef]
- Daimon, H.; Imada, S.; Nishimoto, H.; Suga, S. Structure factor in photoemission from valence band. J. Electron Spectrosc. Relat. Phenom. 1995, 76, 487–492. [Google Scholar] [CrossRef]
- Shirley, E.L.; Terminello, L.J.; Santoni, A.; Himpsel, F.J. Brillouin-zone-selection effects in graphite photoelectron angular distributions. Phys. Rev. B 1995, 51, 13614–13622. [Google Scholar] [CrossRef] [PubMed]
- Kogan, E.; Nazarov, V.U.; Silkin, V.M.; Kaveh, M. Energy bands in graphene: Comparison between the tight-binding model and Ab Initio Calc. Phys. Rev. B 2014, 89, 165430. [Google Scholar] [CrossRef]
- Braun, J. The theory of angle-resolved ultraviolet photoemission and its applications to ordered materials. Rep. Prog. Phys. 1996, 59, 1267. [Google Scholar] [CrossRef]
- Adawi, I. Theory of the Surface Photoelectric Effect for One and Two Photons. Phys. Rev. 1964, 134, A788–A798. [Google Scholar] [CrossRef]
- Mahan, G.D. Theory of Photoemission in Simple Metals. Phys. Rev. B 1970, 2, 4334–4350. [Google Scholar] [CrossRef]
- Caroli, C.; Lederer-Rozenblatt, D.; Roulet, B.; Saint-James, D. Inelastic Effects in Photoemission: Microscopic Formulation and Qualitative Discussion. Phys. Rev. B 1973, 8, 4552–4569. [Google Scholar] [CrossRef]
- Feibelman, P.J.; Eastman, D.E. Photoemission spectroscopy—Correspondence between quantum theory and experimental phenomenology. Phys. Rev. B 1974, 10, 4932–4947. [Google Scholar] [CrossRef]
- Pendry, J.B. Theory of photoemission. Surf. Sci. 1976, 57, 679–705. [Google Scholar] [CrossRef]
- Barrett, N.; Krasovskii, E.E.; Themlin, J.M.; Strocov, V.N. Elastic scattering effects in the electron mean free path in a graphite overlayer studied by photoelectron spectroscopy and LEED. Phys. Rev. B 2005, 71, 035427. [Google Scholar] [CrossRef]
- de Jong, T.A.; Krasovskii, E.E.; Ott, C.; Tromp, R.M.; van der Molen, S.J.; Jobst, J. Intrinsic stacking domains in graphene on silicon carbide: A pathway for intercalation. Phys. Rev. Mater. 2018, 2, 104005. [Google Scholar] [CrossRef]
- Geelen, D.; Jobst, J.; Krasovskii, E.E.; van der Molen, S.J.; Tromp, R.M. Nonuniversal Transverse Electron Mean Free Path through Few-layer Graphene. Phys. Rev. Lett. 2019, 123, 086802. [Google Scholar] [CrossRef]
- Vilkov, O.Y.; Krasovskii, E.E.; Fedorov, A.V.; Rybkin, A.G.; Shikin, A.M.; Laubschat, C.; Budagosky, J.; Vyalikh, D.V.; Usachov, D.Y. Angle-resolved secondary photoelectron emission from graphene interfaces. Phys. Rev. B 2019, 99, 195421. [Google Scholar] [CrossRef]
- Krasovskii, E.E. Augmented-plane-wave approach to scattering of Bloch electrons by an interface. Phys. Rev. B 2004, 70, 245322. [Google Scholar] [CrossRef]
- Feibelman, P.J. Surface electromagnetic fields. Prog. Surf. Sci. 1982, 12, 287–407. [Google Scholar] [CrossRef]
- Krasovskii, E.E.; Silkin, V.M.; Nazarov, V.U.; Echenique, P.M.; Chulkov, E.V. Dielectric screening and band-structure effects in low-energy photoemission. Phys. Rev. B 2010, 82, 125102. [Google Scholar] [CrossRef]
- Krasovskii, E.E.; Starrost, F.; Schattke, W. Augmented Fourier components method for constructing the crystal potential in self-consistent band-structure calculations. Phys. Rev. B 1999, 59, 10504–10511. [Google Scholar] [CrossRef]
- Krasovskii, E.E. Character of the outgoing wave in soft X-ray photoemission. Phys. Rev. B 2020, 102, 245139. [Google Scholar] [CrossRef]







Publisher’s Note: MDPI stays neutral with regard to jurisdictional claims in published maps and institutional affiliations. |
© 2021 by the author. Licensee MDPI, Basel, Switzerland. This article is an open access article distributed under the terms and conditions of the Creative Commons Attribution (CC BY) license (https://creativecommons.org/licenses/by/4.0/).
Share and Cite
Krasovskii, E. Ab Initio Theory of Photoemission from Graphene. Nanomaterials 2021, 11, 1212. https://doi.org/10.3390/nano11051212
Krasovskii E. Ab Initio Theory of Photoemission from Graphene. Nanomaterials. 2021; 11(5):1212. https://doi.org/10.3390/nano11051212
Chicago/Turabian StyleKrasovskii, Eugene. 2021. "Ab Initio Theory of Photoemission from Graphene" Nanomaterials 11, no. 5: 1212. https://doi.org/10.3390/nano11051212
APA StyleKrasovskii, E. (2021). Ab Initio Theory of Photoemission from Graphene. Nanomaterials, 11(5), 1212. https://doi.org/10.3390/nano11051212
