Dielectric Relaxation Behavior of BTO/LSMO Heterojunction
Abstract
1. Introduction
2. Materials and Methods
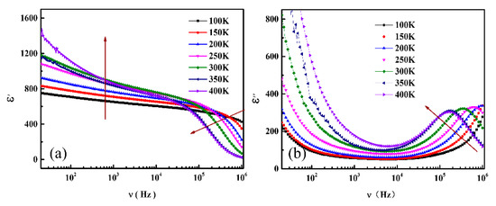
3. Results and Discussion
4. Conclusions
Author Contributions
Funding
Data Availability Statement
Conflicts of Interest
References
- Huang, W.; Lin, Y.; Yin, Y.; Feng, L.; Zhang, D.; Zhao, W.; Li, Q.; Li, X. Interfacial ion intermixing effect on four-resistance states in La0.7Sr0.3MnO3/BaTiO3/La0.7Sr0.3MnO3 multiferroic tunnel junctions. ACS Appl. Mater. Interfaces 2016, 8, 10422–10429. [Google Scholar] [CrossRef]
- Huang, W.; Fang, Y.W.; Yin, Y.; Tian, B.; Zhao, W.; Hou, C.; Ma, C.; Li, Q.; Tsymbal, E.Y.; Duan, C.G.; et al. Solid-State Synapse Based on Magnetoelectrically Coupled Memristor. ACS Appl. Mater. Interfaces 2018, 10, 5649–5656. [Google Scholar] [CrossRef]
- Radaelli, G.; Gutierrez, D.; Sanchez, F.; Bertacco, R.; Stengel, M.; Fontcuberta, J. Large room-temperature electroresistance in dual-modulated ferroelectric tunnel barriers. Adv. Mater. 2015, 27, 2602–2607. [Google Scholar] [CrossRef]
- Chen, Y.; Wang, G.; Zhang, S.; Lei, X.; Zhu, J.; Tang, X.; Wang, Y.; Dong, X. Magnetocapacitance effects of Pb0.7Sr0.3TiO3/La0.7Sr0.3MnO3 thin film on Si substrate. Appl. Phys. Lett. 2011, 98, 052910. [Google Scholar] [CrossRef]
- Zheng, H.; Wang, J.; Lofland, S.E.; Ma, Z.; Mohaddes-Ardabili, L.; Zhao, T.; Salamanca-Riba, L.; Shinde, S.R.; Ogale, S.B.; Bai, F.; et al. Multiferroic BaTiO3-CoFe2O4 Nanostructures. Science 2004, 303, 661–663. [Google Scholar] [CrossRef] [PubMed]
- Jiang, Q.H.; Shen, Z.J.; Zhou, J.P.; Shi, Z.; Nan, C.-W. Magnetoelectric composites of nickel ferrite and lead zirconnate titanate prepared by spark plasma sintering. J. Eur. Ceram. Soc. 2007, 27, 279–284. [Google Scholar] [CrossRef]
- Duan, C.G.; Jaswal, S.S.; Tsymbal, E.Y. Predicted magnetoelectric effect in Fe/BaTiO3 multilayers: Ferroelectric control of magnetism. Phys. Rev. Lett. 2006, 97, 047201. [Google Scholar] [CrossRef]
- Zhang, S.; Dong, X.; Gao, F.; Chen, Y.; Cao, F.; Zhu, J.; Tang, X.; Wang, G. Magnetodielectric response in 0.36BiScO3-0.64PbTiO3/La0.7Sr0.3MnO3 thin films and the corresponding model modifications. J. Appl. Phys. 2011, 110, 046103. [Google Scholar] [CrossRef]
- Zhu, J.; Yang, J.; Bai, W.; Duan, C.; Zhang, S.; Wang, G.; Dong, X.; Remiens, D.; Tang, X. Magnetic field modulated dielectric relaxation behavior of Pt/BiScO3-PbTiO3/La0.7Sr0.3MnO3 heterostructure in metal-insulator transition region: An equivalent-circuit method. J. Appl. Phys. 2011, 110, 114118. [Google Scholar] [CrossRef]
- Wang, J.; Bai, J.; Han, Z.; Jin, K.; Chen, C.; Zhai, W. Temperature dependent magnetoelectric coupling in BaTiO3/La0.67Sr0.33MnO3 heterojunction. J. Phys. D Appl. Phys. 2018, 51, 135305. [Google Scholar] [CrossRef]
- Lu, H.; George, T.A.; Wang, Y.; Ketsman, I.; Burton, J.D.; Bark, C.W.; Ryu, S.; Kim, D.J.; Wang, J.; Binek, C.; et al. Electric modulation of magnetization at the BaTiO3/La0.67Sr0.33MnO3 interfaces. Appl. Phys. Lett. 2012, 100, 232904. [Google Scholar] [CrossRef]
- Li, T.X.; Li, R.; Ma, D.; Li, B.; Li, K.; Hu, Z. Resistive switching behaviors in the BaTiO3/La0.7Sr0.3MnO3 layered heterostructure driven by external electric field. J. Magn. Magn. Mater. 2020, 497, 165879. [Google Scholar] [CrossRef]
- Ji, H.; Yu, P. Structure, dielectrical properties and capacitance properties of Ba0.3Sr0.7Zr0.18Ti0.82O3/BaTiO3 hetero-structure thin films with different BTO layer thicknesses. Mater. Res. Express 2021, 8, 026303. [Google Scholar] [CrossRef]
- Choi, K.J.; Biegalski, M.; Li, Y.L.; Sharan, A.; Schubert, J.; Uecker, R.; Reiche, P.; Chen, Y.B.; Pan, X.Q.; Gopalan, V.; et al. Enhancement of Ferroelectricity in Strained BaTiO3 Thin Films. Science 2004, 306, 1005. [Google Scholar] [CrossRef] [PubMed]
- Pesquera, D.; Skumryev, V.; Sánchez, F.; Herranz, G.; Fontcuberta, J. Magnetoelastic coupling in La2/3Sr1/3MnO3 thin films on SrTiO3. Phys. Rev. B 2011, 84, 184412. [Google Scholar] [CrossRef]
- Zhang, N.; Ding, W.; Zhong, W.; Xing, D.; Du, Y. Tunnel-type giant magnetoresistance in the granular perovskite La0.85Sr0.15MnO3. Phys. Rev. B 1997, 56, 8138. [Google Scholar] [CrossRef]
- Moreo, A.; Yunoki, S.; Dagotto, E. Phase Separation Scenario for Manganese Oxides and Related Materials. Science 1999, 283, 2034–2040. [Google Scholar] [CrossRef]
- Chen, J.; Luo, Y.; Ou, X.; Yuan, G.; Wang, Y.; Yang, Y.; Yin, J.; Liu, Z. Upward ferroelectric self-polarization induced by compressive epitaxial strain in (001) BaTiO3 films. J. Appl. Phys. 2013, 113, 204105. [Google Scholar] [CrossRef]
- Luo, Y.; Li, X.; Chang, L.; Gao, W.; Yuan, G.; Yin, J.; Liu, Z. Upward ferroelectric self-poling in (001) oriented PbZr0.2Ti0.8O3 epitaxial films with compressive strain. AIP Adv. 2013, 3, 122101. [Google Scholar] [CrossRef]
- Guan, Z.; Jiang, Z.-Z.; Tian, B.-B.; Zhu, Y.-P.; Xiang, P.-H.; Zhong, N.; Duan, C.-G.; Chu, J.-H. Identifying intrinsic ferroelectricity of thin film with piezoresponse force microscopy. AIP Adv. 2017, 7, 095116. [Google Scholar] [CrossRef]
- Guerra, J.D.L.S.; Lente, M.H.; Eiras, J.A. Microwave dielectric dispersion process in perovskite ferroelectric systems. Appl. Phys. Lett. 2006, 88, 102905. [Google Scholar] [CrossRef]
- Kagawa, F.; Mochizuki, M.; Onose, Y.; Murakawa, H.; Kaneko, Y.; Furukawa, N.; Tokura, Y. Dynamics of multiferroic domain wall in spin-cycloidal ferroelectric DyMnO3. Phys. Rev. Lett. 2009, 102, 057604. [Google Scholar] [CrossRef] [PubMed]
- O’Neill, D.; Bowman, R.M.; Gregga, J.M. Dielectric enhancement and Maxwell—Wagner effects in ferroelectric superlattice structures. Appl. Phys. Lett. 2000, 77, 1520. [Google Scholar] [CrossRef]
- Kagan, M.Y.; Kugel, K.I. Inhomogeneous charge distributions and phase separation in manganites. Phys. Uspekhi 2001, 44, 553–570. [Google Scholar] [CrossRef]
- Lunkenheimer, P.; Krohns, S.; Riegg, S.; Ebbinghaus, S.G.; Reller, A.; Loidl, A. Colossal dielectric constants in transition-metal oxides. Eur. Phys. J. Spec. Top. 2009, 180, 61–89. [Google Scholar] [CrossRef]





Publisher’s Note: MDPI stays neutral with regard to jurisdictional claims in published maps and institutional affiliations. |
© 2021 by the authors. Licensee MDPI, Basel, Switzerland. This article is an open access article distributed under the terms and conditions of the Creative Commons Attribution (CC BY) license (https://creativecommons.org/licenses/by/4.0/).
Share and Cite
Song, G.; Zhang, Y.; Li, S.; Yang, J.; Bai, W.; Tang, X. Dielectric Relaxation Behavior of BTO/LSMO Heterojunction. Nanomaterials 2021, 11, 1109. https://doi.org/10.3390/nano11051109
Song G, Zhang Y, Li S, Yang J, Bai W, Tang X. Dielectric Relaxation Behavior of BTO/LSMO Heterojunction. Nanomaterials. 2021; 11(5):1109. https://doi.org/10.3390/nano11051109
Chicago/Turabian StyleSong, Guoqiang, Yuanyuan Zhang, Sheng Li, Jing Yang, Wei Bai, and Xiaodong Tang. 2021. "Dielectric Relaxation Behavior of BTO/LSMO Heterojunction" Nanomaterials 11, no. 5: 1109. https://doi.org/10.3390/nano11051109
APA StyleSong, G., Zhang, Y., Li, S., Yang, J., Bai, W., & Tang, X. (2021). Dielectric Relaxation Behavior of BTO/LSMO Heterojunction. Nanomaterials, 11(5), 1109. https://doi.org/10.3390/nano11051109

