Fully Developed Opposing Mixed Convection Flow in the Inclined Channel Filled with a Hybrid Nanofluid
Abstract
1. Introduction
2. Mathematical Model
3. Results and Discussion
4. Conclusions
- (1)
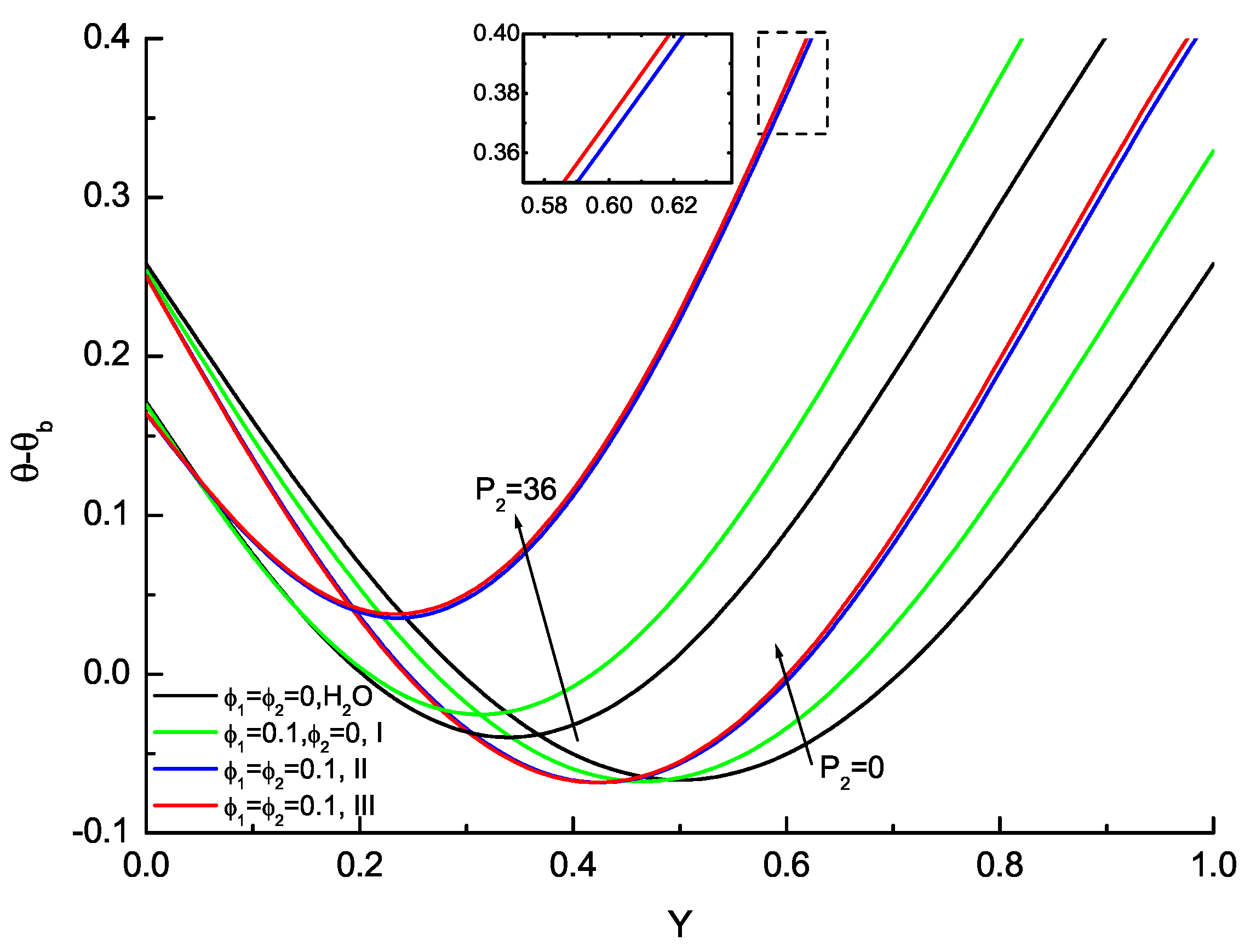
- The nanoparticle volume fractions play a key role in delaying the occurrence of the flow reversal. The hybrid nanofluids hold a more delayed range than conventional nanofluids, which is about 2.5 times that of nanofluids.
- (2)
- Two hybrid models (type II and type III) are compared with different nanoparticle volume fractions and pressure parameters . It is observed that they are in very good agreement, with the relative error less than 3%. The hybrid model of type III is useful and simplified in that it omits the nonlinear terms due to the interaction of different nanoparticle volumetric fractions.
- (3)
- The effects of nanoparticle volume fractions on the velocity and temperature distributions are evident, the increases of delay the velocity reduction and enlarge the temperature variation near the upper wall () compared with the base fluid, nanofluid and hybrid nanofluid.
- (4)
- The average wall friction () that is independent of decreases monotonously as increases. The average Nusselt number () that is dependent of increases monotonously as increases for the vertical channel (). The valley of the average Nusselt number shifts towards the lower wall and its value increases consecutively with the increase of .
Author Contributions
Funding
Institutional Review Board Statement
Informed Consent Statement
Data Availability Statement
Acknowledgments
Conflicts of Interest
Nomenclature
| Constants | |
| Wall skin friction coefficient | |
| Average wall skin friction | |
| Specific heat at constant pressure | |
| g | Acceleration due to gravity |
| Grashof number | |
| Thermal conductivity of the hybrid nanofluid | |
| Thermal conductivities of the base fluid and nanofluid, respectively | |
| L | Distance between the walls |
| Nusselt number | |
| p | Dimensional thermodynamic pressure |
| P | Dimensionless thermodynamic pressure |
| Dimensionless pressure parameters | |
| Critical values for and , respectively | |
| Prandtl number | |
| q | Constant wall heat flux |
| Reynolds number | |
| T | Nanofluid temperature |
| Bulk and wall temperature, respectively | |
| Constant reference temperature | |
| Dimensional velocity component along the x axis | |
| Dimensional average velocity | |
| Dimensionless velocity component along the X axis | |
| x | Dimensional axis measured along lower plane of channel oriented in downward direction |
| y | Dimensional axis measured in the normal direction to the lower plane |
| Dimensionless coordinates | |
| Thermal diffusivity of the hybrid nanofluid | |
| Thermal diffusivity of the base fluid | |
| Coefficients of thermal expansion of the fluid and nanofluid, respectively | |
| Nanoparticle volume fractions | |
| Inclination of the channel | |
| Viscosity of the hybrid nanofluid | |
| Dynamic viscosity of the base fluid | |
| Kinematic viscosity of the base fluid | |
| Dimensionless nanofluid temperature | |
| Dimensionless bulk and wall temperature, respectively | |
| Heat capacitance of the hybrid nanofluid | |
| Densities of the fluid and nanofluid fractions, respectively | |
| Skin friction or wall shear stress |
References
- Chang, T.S.; Lin, T.F. Steady and oscillatory opposing mixed convection in a symmetrically heated vertical channel with a low-Prandtl number fluid. Int. J. Heat Mass Transf. 1993, 36, 3783–3795. [Google Scholar]
- Barletta, A. Dual mixed convection flows in a vertical channel. Int. J. Heat Mass Transf. 2005, 48, 4835–4845. [Google Scholar] [CrossRef]
- Chang, T.S. Effects of a finite section with linearly varying wall temperature on mixed convection in a vertical channel. Int. J. Heat Mass Transf. 2007, 50, 2346–2354. [Google Scholar] [CrossRef]
- Xu, H.; Pop, I. Fully developed mixed convection flow in a vertical channel filled with nanofluids. Int. Comm. Heat Mass Transf. 2012, 39, 1086–1092. [Google Scholar] [CrossRef]
- Jamaludin, A.; Naganthran, K.; Nazar, R.; Pop, I. MHD mixed convection stagnation-point flow of Cu-Al2O3/water hybrid nanofluid over a permeable stretching/shrinking surface with heat source/sink. Eur. J. Mech./B Fluids 2020, 84, 71–80. [Google Scholar] [CrossRef]
- Bohne, D.; Obermeier, E. Combined free and forced convection in a vertical and inclined cylindrical annulus. In International Heat Transfer Conference Digital Library; Begel House Inc.: Danbury, CT, USA, 1986; Volume 3, pp. 1401–1406. [Google Scholar]
- Lavine, A.S. Analysis of fully developed opposing mixed convection between inclined parallel plates. Heat Mass Transf. 1988, 23, 249–257. [Google Scholar] [CrossRef]
- Wang, X. Mixed convection in an inclined channel with localized heat sources. Num. Heat Tran. A Appl. 1995, 28, 355–373. [Google Scholar] [CrossRef]
- Barletta, A.; Zanchini, E. Mixed convection with viscous dissipation in an inclined channel with prescribed wall temperatures. Int. J. Heat Mass Transf. 2001, 44, 4267–4275. [Google Scholar] [CrossRef]
- Aydin, O.; Kaya, A. MHD mixed convective heat transfer flow about an inclined plate. Heat Mass Transf. 2009, 46, 129–136. [Google Scholar] [CrossRef]
- Cimpean, D.S.; Pop, I. Fully developed mixed convection flow of a nanofluid through an inclined channel filled with a porous medium. Int. J. Heat Mass Transf. 2012, 55, 907–914. [Google Scholar] [CrossRef]
- You, X.Y.; Xu, H. Analysis of fully developed opposing mixed convection flow in an inclined channel filled by a nanofluid. J. Heat Transf. 2014, 136, 124502. [Google Scholar] [CrossRef]
- Goyal, M.; Bhargava, R. Simulation of natural convective boundary layer flow of a nanofluid past a convectively heated inclined plate in the presence of magnetic field. Int. J. Appl. Comput. Math. 2018, 4, 63. [Google Scholar] [CrossRef]
- Rafique, K.; Anwar, M.I.; Misiran, M. Numerical study on micropolar nanofluid flow over an inclined surface by means of keller-box. Asian J. Probab. Stat. 2019, 4, 1–21. [Google Scholar] [CrossRef]
- Khademi, R.; Razminia, A.; Shiryaev, V.I. Conjugate-mixed convection of nanofluid flow over an inclined flat plate in porous media. Appl. Math. Comput. 2020, 366, 124761. [Google Scholar] [CrossRef]
- Anuar, N.S.; Bachok, N.; Pop, I. Influence of buoyancy force on Ag-MgO/water hybrid nanofluid flow in an inclined permeable stretching/shrinking sheet. Int. Commun. Heat Mass Transf. 2021, 123, 105236. [Google Scholar] [CrossRef]
- Choi, S.; Eastman, J.A. Enhancing thermal conductivity of fluids with nanoparticle in developments and applications of Non-Newtonian Flows. ASME Fluids Eng. Div. 1995, 231, 99–105. [Google Scholar]
- Esfe, M.H.; Saedodin, S.; Biglari, M.; Rostamian, H. Experimental investigation of thermal conductivity of CNTs-Al2O3/water: A statistical approach. Int. Commun. Heat Mass Transf. 2015, 69, 29–33. [Google Scholar] [CrossRef]
- Aberoumand, S.; Jafarimoghaddam, A.; Moravej, M.; Aberoumand, H.; Javaherdeh, K. Experimental study on the rheological behavior of silver-heat transfer oil nanofluid and suggesting two empirical based correlations for thermal conductivity and viscosity of oil based nanofluids. Appl. Therm. Eng. 2016, 101, 362–372. [Google Scholar] [CrossRef]
- Yang, L.; Xu, J.; Du, K.; Zhang, X. Recent developments on viscosity and thermal conductivity of nanofluids. Powder Tech. 2017, 317, 348–369. [Google Scholar] [CrossRef]
- Pramuanjaroenkij, A.; Tongkratoke, A.; Kaka, S. Numerical study of mixing thermal conductivity models for nanofluid heat transfer enhancement. J. Eng. Phys. Therm. 2018, 91, 104–114. [Google Scholar] [CrossRef]
- Esfe, M.H. On the evaluation of the dynamic viscosity of non-Newtonian oil based nanofluids. J. Therm. Anal. Calorim. 2019, 135, 97–109. [Google Scholar] [CrossRef]
- Mohebbifar, M.; Ghazanfari, M.H.; Vossoughi, M. Experimental investigation of nanobiomaterial applications for heavy oil recovery in shaly porous models: A pore-level study. J. Energy Resour. Tech. 2015, 137, 014501. [Google Scholar] [CrossRef]
- Esfe, M.H.; Hosseinizadeh, E.; Esfandeh, S. Flooding numerical simulation of heterogeneous oil reservoir using different nanoscale colloidal solutions. J. Mol. Liq. 2020, 302, 111972. [Google Scholar] [CrossRef]
- Nabil, M.F.; Azmi, W.H.; Hamid, K.A.; Zawawi, N.N.M.; Priyandoko, G.; Mamat, R. Thermo-physical properties of hybrid nanofluids and hybrid nanolubricants: A comprehensive review on performance. Int. Commun. Heat Mass Transf. 2017, 83, 30–39. [Google Scholar] [CrossRef]
- Babu, J.R.; Kumar, K.K.; Rao, S.S. State-of-art review on hybrid nanofluids. Renew. Sustain. Energy Rev. 2017, 77, 551–565. [Google Scholar] [CrossRef]
- Salman, S.; Talib, A.R.A.; Sultan, M.T.H. Hybrid nanofluid flow and heat transfer over backward and forward steps: A review. Powder Tech. 2020, 363, 448–472. [Google Scholar] [CrossRef]
- Wainia, I.; Ishakb, A.; Pop, I. Flow and heat transfer of a hybrid nanofluid past a permeable moving surface. Chin. J. Phys. 2020, 66, 606–619. [Google Scholar] [CrossRef]
- Khan, U.; Waini, I.; Ishak, A.; Pop, I. Steady and oscillatory opposing mixed convection in a symmetrically heated vertical channel with a low-Prandtl number fluid. Int. J. Mol. Liq. 2021, 331, 115752. [Google Scholar] [CrossRef]
- Elsaid, E.M.; Abdel-wahed, M.S. Mixed convection hybrid-nanofluid in a vertical channel under the effect of thermal radiative flux. Case Stud. Therm. Eng. 2021, 25, 100913. [Google Scholar] [CrossRef]
- Maïga, S.E.B.; Palm, S.J.; Nguyen, C.T.; Roy, G.; Galanis, N. Heat transfer enhancement by using nanofluids in forced convection flows. Int. J. Heat Fluid Flow 2005, 26, 530–546. [Google Scholar] [CrossRef]
- Brinkman, H.C. The viscosity of concentrated suspensions and solutions. J. Chem. Phys. 1952, 20, 571–581. [Google Scholar] [CrossRef]
- Oztop, H.F.; Abu-Nada, E. Numerical study of natural convection in partially heated rectangular enclosures filled with nanofluids. Int. J. Heat Fluid Flow 2008, 29, 1326–1336. [Google Scholar] [CrossRef]
- Devi, S.S.U.; Devi, S.P.A. Heat transfer enhancement of Cu-Al2O3/water hybrid nanofluid flow over a stretching sheet. J. Nigerian Math. Soc. 2017, 36, 419–433. [Google Scholar]
- Wainia, I.; Ishakb, A.; Grosan, T.; Pop, I. Mixed convection of a hybrid nanofluid flow along a vertical surface embedded in a porous medium. Int. Commun. Heat Mass Transf. 2020, 114, 104565. [Google Scholar] [CrossRef]
- Xu, H. Modelling unsteady mixed convection of a nanofluid suspended with multiple kinds of nanoparticles between two rotating disks by generalized hybrid model. Int. Commun. Heat Mass Transf. 2019, 108, 104275. [Google Scholar] [CrossRef]
- Xu, H.; Sun, Q. Generalized hybrid nanofluid model with application of fully developed mixed convection nanofluid flow in a vertical microchannel. Commun. Theor. Phys. 2019, 71, 903–911. [Google Scholar] [CrossRef]






| Physical Properties | |||
|---|---|---|---|
| (kg/) | 8933 | 3970 | 997.1 |
| (J/kg K) | 385 | 765 | 4179 |
| k (W/mK) | 400 | 40 | 0.613 |
| (/s) | 11,163.1 | 131.7 | 1.47 |
| (1/K) | 1.67 | 0.85 | 21 |
| Properties | Nanofluid |
|---|---|
| Density | |
| Thermal expansion coefficient | |
| Heat capacity | |
| Viscosity | |
| Thermal diffusivity | |
| Thermal conductivity | |
| Electrical conductivity |
| Properties | Nanofluid |
|---|---|
| Density | |
| Thermal expansion coefficient | |
| Heat capacity | |
| Viscosity | |
| Thermal diffusivity | |
| Thermal conductivity | , where |
| Electrical conductivity | , where |
| Properties | Nanofluid |
|---|---|
| Density | |
| Thermal expansion coefficient | |
| Heat capacity | |
| Viscosity | |
| Thermal diffusivity | |
| Thermal conductivity | , where |
| Electrical conductivity | , where |
| Critical Values | Types | |||
|---|---|---|---|---|
| (Lavine’s case [7]) | 250.281948 | - | - | |
| - (type I) | 250.281948 | 288.675450 | 335.346949 | |
| - [12] | 250.281948 | 296.981071 | 355.527252 | |
| -- (type II) | 250.281948 | 342.496247 | 476.114704 | |
| -- (type III) | 250.281948 | 345.142372 | 492.724576 | |
| (Lavine’s case [7]) | 35.999978 | - | - | |
| - (type I) | 35.972464 | 35.543514 | 35.562942 | |
| - [12] | 35.972464 | 36.597696 | 37.750800 | |
| -- (type II) | 35.972463 | 36.203632 | 37.499401 | |
| -- (type III) | 35.972463 | 36.467267 | 38.736813 |
Publisher’s Note: MDPI stays neutral with regard to jurisdictional claims in published maps and institutional affiliations. |
© 2021 by the authors. Licensee MDPI, Basel, Switzerland. This article is an open access article distributed under the terms and conditions of the Creative Commons Attribution (CC BY) license (https://creativecommons.org/licenses/by/4.0/).
Share and Cite
You, X.; Li, S. Fully Developed Opposing Mixed Convection Flow in the Inclined Channel Filled with a Hybrid Nanofluid. Nanomaterials 2021, 11, 1107. https://doi.org/10.3390/nano11051107
You X, Li S. Fully Developed Opposing Mixed Convection Flow in the Inclined Channel Filled with a Hybrid Nanofluid. Nanomaterials. 2021; 11(5):1107. https://doi.org/10.3390/nano11051107
Chicago/Turabian StyleYou, Xiangcheng, and Shiyuan Li. 2021. "Fully Developed Opposing Mixed Convection Flow in the Inclined Channel Filled with a Hybrid Nanofluid" Nanomaterials 11, no. 5: 1107. https://doi.org/10.3390/nano11051107
APA StyleYou, X., & Li, S. (2021). Fully Developed Opposing Mixed Convection Flow in the Inclined Channel Filled with a Hybrid Nanofluid. Nanomaterials, 11(5), 1107. https://doi.org/10.3390/nano11051107

