Influencing Factors in the Synthesis of Photoactive Nanocomposites of ZnO/SiO2-Porous Heterostructures from Montmorillonite and the Study for Methyl Violet Photodegradation
Abstract
:1. Introduction
2. Materials and Methods
2.1. Materials
2.2. Preparation of ZnO2/SiO2-PCH
2.3. Physicochemical Characterization
2.4. Photocatalytic Activity Measurement
3. Results
3.1. Structural Analysis of Materials
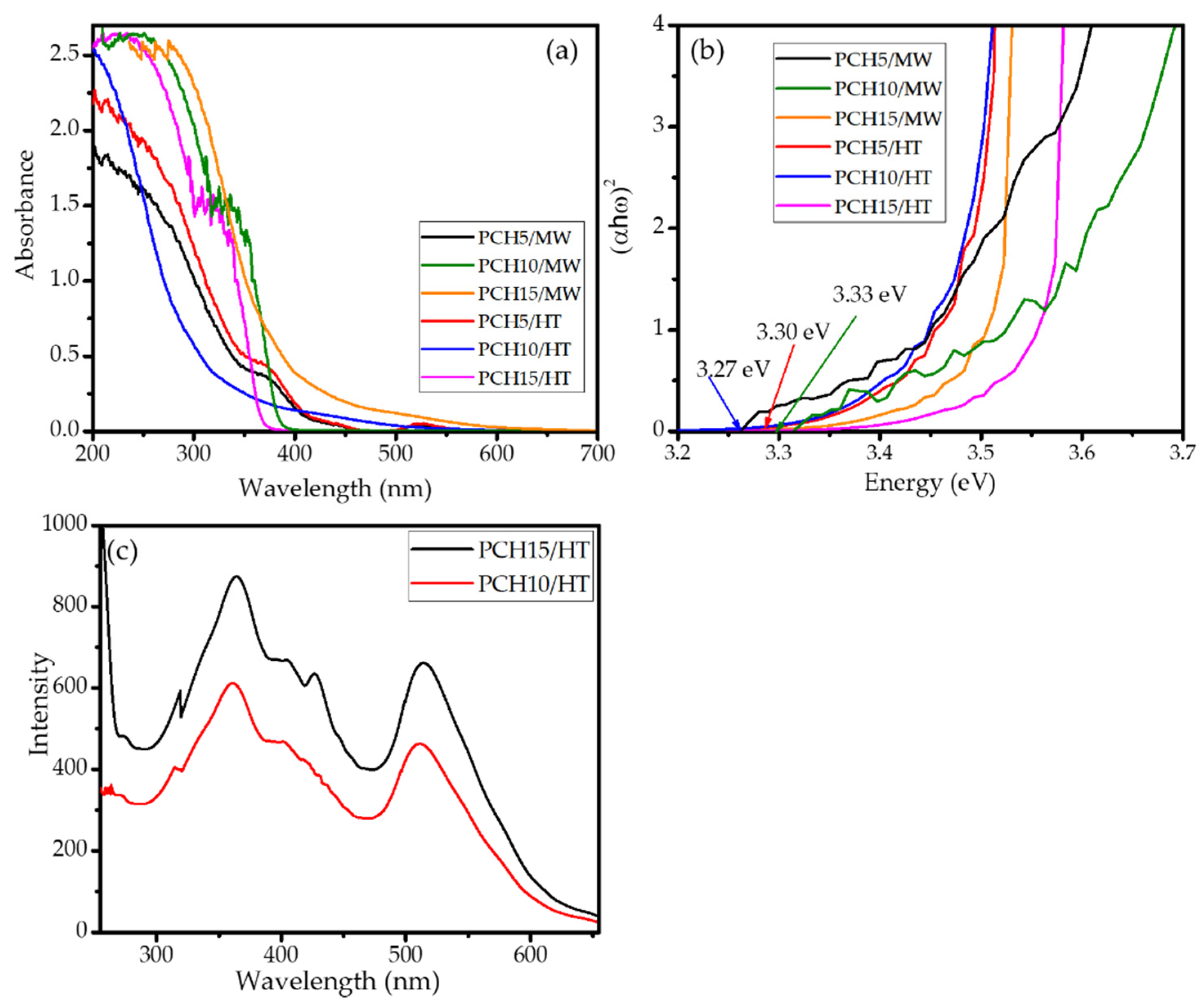
3.2. Optical Properties of Materials
3.3. Photocatalytic Activity
3.4. Effect of pH and Initial Concentration of MV
3.5. Effect of Scavengers
3.6. Photocatalyst Reusability
4. Conclusions
5. Patents
Author Contributions
Funding
Institutional Review Board Statement
Informed Consent Statement
Data Availability Statement
Acknowledgments
Conflicts of Interest
References
- Hussain, M.; Mahtab, M.S. The applications of ozone-based advanced oxidation processes for wastewater treatment: A review. Adv. Environ. Res. 2020, 9, 191–214. [Google Scholar]
- Nguyen, V.-H.; Thi, L.-A.P.; Chandana, P.S.; Do, H.-T.; Pham, T.-H.; Lee, T.; Nguyen, T.D.; Le Phuoc, C.; Huong, P.T. The degradation of paraben preservatives: Recent progress and sustainable approaches toward photocatalysis. Chemosphere 2021, 276, 130163. [Google Scholar] [CrossRef] [PubMed]
- Koe, W.S.; Lee, J.W.; Chong, W.C.; Pang, Y.L.; Sim, L.C. An overview of photocatalytic degradation: Photocatalysts, mechanisms, and development of photocatalytic membrane. Environ. Sci. Pollut. Res. 2019, 27, 2522–2565. [Google Scholar] [CrossRef] [PubMed]
- Liu, L.; Zhang, X.; Yang, L.; Ren, L.; Wang, D.; Ye, J. Metal nanoparticles induced photocatalysis. Natl. Sci. Rev. 2017, 4, 761–780. [Google Scholar] [CrossRef] [Green Version]
- Deng, Y.; Zhao, R. Advanced oxidation processes (AOPs) in wastewater treatment. Curr. Pollut. Rep. 2015, 1, 167–176. [Google Scholar] [CrossRef] [Green Version]
- Qiu, Y.; Zhou, J.; Cai, J.; Xu, W.; You, Z.; Yin, C. Highly efficient microwave catalytic oxidation degradation of p-nitrophenol over microwave catalyst of pristine α-Bi2O3. Chem. Eng. J. 2016, 306, 667–675. [Google Scholar] [CrossRef]
- Velempini, T.; Prabakaran, E.; Pillay, K. Recent developments in the use of metal oxides for photocatalytic degradation of pharmaceutical pollutants in water—A review. Mater. Today Chem. 2021, 19, 100380. [Google Scholar] [CrossRef]
- Kalmakhanova, M.S.; de Tuesta, J.L.D.; Massalimova, B.K.; Gomes, H.T. Pillared clays from natural resources as catalysts for catalytic wet peroxide oxidation: Characterization and kinetic insights. Environ. Eng. Res. 2019, 25, 186–196. [Google Scholar] [CrossRef] [Green Version]
- Fadillah, G.; Yudha, S.P.; Sagadevan, S.; Fatimah, I.; Muraza, O. Magnetic iron oxide/clay nanocomposites for adsorption and catalytic oxidation in water treatment applications. Open Chem. 2020, 18, 1148–1166. [Google Scholar] [CrossRef]
- Baloyi, J.; Ntho, T.; Moma, J. Synthesis and application of pillared clay heterogeneous catalysts for wastewater treatment: A review. RSC Adv. 2018, 8, 5197–5211. [Google Scholar] [CrossRef] [Green Version]
- Fatimah, I.; Nurillahi, R.; Sahroni, I.; Muraza, O. TiO2-pillared saponite and photosensitization using a ruthenium complex for photocatalytic enhancement of the photodegradation of bromophenol blue. Appl. Clay Sci. 2019, 183, 105302. [Google Scholar] [CrossRef]
- Patil, S.P.; Bethi, B.; Sonawane, G.; Shrivastava, V.; Sonawane, S. Efficient adsorption and photocatalytic degradation of Rhodamine B dye over Bi2O3-bentonite nanocomposites: A kinetic study. J. Ind. Eng. Chem. 2016, 34, 356–363. [Google Scholar] [CrossRef]
- Misra, A.J.; Das, S.; Rahman, A.H.; Das, B.; Jayabalan, R.; Behera, S.K.; Suar, M.; Tamhankar, A.J.; Mishra, A.; Lundborg, C.S.; et al. Doped ZnO nanoparticles impregnated on Kaolinite (Clay): A reusable nanocomposite for photocatalytic disinfection of multidrug resistant Enterobacter sp. under visible light. J. Colloid Interface Sci. 2018, 530, 610–623. [Google Scholar] [CrossRef]
- Peng, G.; Li, T.; Ai, B.; Yang, S.; Fu, J.; He, Q.; Yu, G.; Deng, S. Highly efficient removal of enrofloxacin by magnetic montmorillonite via adsorption and persulfate oxidation. Chem. Eng. J. 2019, 360, 1119–1127. [Google Scholar] [CrossRef]
- Fatimah, I.; Ardianti, S.; Sahroni, I.; Purwiandono, G.; Sagadevan, S.; Doong, R.-A. Visible light sensitized porous clay heterostructure photocatalyst of zinc-silica modified montmorillonite by using tris(2,2′-bipyridyl) dichlororuthenium. Appl. Clay Sci. 2021, 204, 106023. [Google Scholar] [CrossRef]
- Rubiyanto, D.; Prakoso, N.I.; Sahroni, I.; Nurillahi, R.; Fatimah, I. ZnO-Porous Clay Heterostructure from saponite as green catalyst for citronellal cyclization. Bull. Chem. React. Eng. Catal. 2020, 15, 137–145. [Google Scholar] [CrossRef] [Green Version]
- Lu, P.; Wu, H.; Liang, C.; Wei, Y.; Song, Z. New design for titanium-pillared montmorillonite composites as efficient heterogeneous catalysts to enhance Fe(II) reductivity for 2-nitrophenol removal. Appl. Clay Sci. 2021, 205, 106052. [Google Scholar] [CrossRef]
- Kooli, F.; Liu, Y.; Hbaieb, K.; Al-Faze, R. Preparation and catalytic activities of porous clay heterostructures from aluminium-intercalated clays: Effect of Al content. Clay Miner. 2017, 52, 521–535. [Google Scholar] [CrossRef]
- Dincer, B.Y.; Balcı, S.; Tomul, F. In-situ mesoporous silica pillared clay synthesis and effect of titanium and iron incorporation to structural properties. Microporous Mesoporous Mater. 2020, 305, 110342. [Google Scholar] [CrossRef]
- Barakan, S.; Aghazadeh, V. Synthesis and characterization of hierarchical porous clay heterostructure from Al, Fe-pillared nano-bentonite using microwave and ultrasonic techniques. Microporous Mesoporous Mater. 2019, 278, 138–148. [Google Scholar] [CrossRef]
- Fatimah, I.; Rubiyanto, D.; Sahroni, I.; Putra, R.S.; Nurillahi, R.; Nugraha, J. Physicochemical characteristics and photocatalytic performance of Tin oxide/montmorillonite nanocomposites at various Sn/montmorillonite molar to mass ratios. Appl. Clay Sci. 2020, 193, 105671. [Google Scholar] [CrossRef]
- Babu, A.T.; Antony, R. Clay semiconductor hetero-system of SnO2/bentonite nanocomposites for catalytic degradation of toxic organic wastes. Appl. Clay Sci. 2019, 183, 105312. [Google Scholar] [CrossRef]
- Adnan, M.A.M.; Julkapli, N.M.; Hamid, S.B.A. Review on ZnO hybrid photocatalyst: Impact on photocatalytic activities of water pollutant degradation. Rev. Inorg. Chem. 2016, 36, 77–104. [Google Scholar] [CrossRef]
- Fatimah, I.; Nurillahi, R.; Harjanti, F. Hydrothermal synthesized zinc oxide/kaolinite for photo-decolorization of methyl violet. Desalin. Water Treat. 2020, 185, 286–295. [Google Scholar] [CrossRef]
- Cecilia, J.; García-Sancho, C.; Franco, F. Montmorillonite based porous clay heterostructures: Influence of Zr in the structure and acidic properties. Microporous Mesoporous Mater. 2013, 176, 95–102. [Google Scholar] [CrossRef]
- Jiménez-Jiménez, J.; Rubio-Alonso, M.; Eliche-Quesada, D.; Rodriguez-Castellon, E.; Jiménez-López, A. Synthesis and characterization of mixed silica/zirconia and silica/titania porous phospate heterostructures (PPH). J. Phys. Chem. Solids 2006, 67, 1007–1010. [Google Scholar] [CrossRef]
- Islam, M.; Shahruzzaman; Biswas, S.; Sakib, N.; Rashid, T.U. Chitosan based bioactive materials in tissue engineering applications—A review. Bioact. Mater. 2020, 5, 164–183. [Google Scholar] [CrossRef]
- Wu, D.; Zhu, C.; Chen, Y.; Zhu, B.; Yang, Y.; Wang, Q.; Ye, W. Preparation, characterization and adsorptive study of rare earth ions using magnetic GMZ bentonite. Appl. Clay Sci. 2012, 62–63, 87–93. [Google Scholar] [CrossRef]
- Honarmand, M.; Golmohammadi, M.; Naeimi, A. Green synthesis of SnO2-bentonite nanocomposites for the efficient photodegradation of methylene blue and eriochrome black-T. Mater. Chem. Phys. 2020, 241, 122416. [Google Scholar] [CrossRef]
- Luo, W.; Sasaki, K.; Hirajima, T. Surfactant-modified montmorillonite by benzyloctadecyldimethylammonium chloride for removal of perchlorate. Colloids Surf. A Physicochem. Eng. Asp. 2015, 481, 616–625. [Google Scholar] [CrossRef]
- Paquin, F.; Rivnay, J.; Salleo, A.; Stingelin, N.; Silva, C. Multi-phase semicrystalline microstructures drive exciton dissociation in neat plastic semiconductors. J. Mater. Chem. C 2015, 3, 10715–10722. [Google Scholar] [CrossRef] [Green Version]
- Ong, C.B.; Ng, L.Y.; Mohammad, A.W. A review of ZnO nanoparticles as solar photocatalysts: Synthesis, mechanisms and applications. Renew. Sustain. Energy Rev. 2018, 81, 536–551. [Google Scholar] [CrossRef]
- Hakimi, B.; Ghorbanpour, M.; Feizi, A. A comparative study between photocatalytic activity of ZnO/bentonite composites prepared by precipitation, liquid-state ion exchange and solid-state ion exchange methods. J. Water Environ. Nanotechnol. 2018, 3, 273–278. [Google Scholar] [CrossRef]
- Guidelli, E.J.; Baffa, O.; Clarke, D. Enhanced UV emission from silver/ZnO and gold/ZnO core-shell nanoparticles: Photoluminescence, radioluminescence, and optically stimulated luminescence. Sci. Rep. 2015, 5, 1–11. [Google Scholar] [CrossRef] [Green Version]
- Liu, T.; Wang, L.; Lu, X.; Fan, J.; Cai, X.; Gao, B.; Miao, R.; Wang, J.; Lv, Y. Comparative study of the photocatalytic performance for the degradation of different dyes by ZnIn2S4: Adsorption, active species, and pathways. RSC Adv. 2017, 7, 12292–12300. [Google Scholar] [CrossRef] [Green Version]
- Shipochka, M.; Stambolova, I.; Blaskov, V.; Vassilev, S. XPS investigation on the surface of ZnO photocatalytic films before and after UV light irradiation. Bulg. Chem. Commun. 2013, 45, 2–3. [Google Scholar]
- Belver, C.; Bedia, J.; Rodriguez, J. Titania–clay heterostructures with solar photocatalytic applications. Appl. Catal. B Environ. 2015, 176, 278–287. [Google Scholar] [CrossRef]
- Wang, Y.; Su, X.; Xu, Z.; Wen, K.; Zhang, P.; Zhu, J.; He, H. Preparation of surface-functionalized porous clay heterostructures via carbonization of soft-template and their adsorption performance for toluene. Appl. Surf. Sci. 2016, 363, 113–121. [Google Scholar] [CrossRef]
- Ruiz-Hitzky, E.; Aranda, P.; Akkari, M.; Khaorapapong, N.; Ogawa, M. Photoactive nanoarchitectures based on clays incorporating TiO2 and ZnO nanoparticles. Beilstein J. Nanotechnol. 2019, 10, 1140–1156. [Google Scholar] [CrossRef] [Green Version]
- Abdel-Messih, M.; Ahmed, M.; El-Sayed, A.S. Photocatalytic decolorization of Rhodamine B dye using novel mesoporous SnO2–TiO2 nano mixed oxides prepared by sol-gel method. J. Photochem. Photobiol. A Chem. 2013, 260, 1–8. [Google Scholar] [CrossRef]
- Pérez-Cuapio, R.; Alvarado, J.A.; Pacio, M.; Arce-Plaza, A.; Santoyo-Salazar, J.; Liang, L.H.; Sue, H.-J. Enhanced green photoluminescence and dispersion of ZnO quantum dots shelled by a silica shell. J. Nanoparticle Res. 2020, 22, 1–13. [Google Scholar] [CrossRef]
- Harjati, F.; Citradewi, P.W.; Purwiandono, G.; Fatimah, I. Green synthesis of hematite/TUD-1 nanocomposite as efficient photocatalyst for bromophenol blue and methyl violet degradation. Arab. J. Chem. 2020, 13, 8395–8410. [Google Scholar] [CrossRef]
- Dey, P.C.; Das, R. Enhanced photocatalytic degradation of methyl orange dye on interaction with synthesized ligand free CdS nanocrystals under visible light illumination. Spectrochim. Acta Part A Mol. Biomol. Spectrosc. 2020, 231, 118122. [Google Scholar] [CrossRef] [PubMed]
- Khan, M.Y.A.; Zahoor, M.; Shaheen, A.; Jamil, N.; Arshad, M.I.; Bajwa, S.Z.; Shad, N.A.; Butt, R.; Ali, I.; Iqbal, M.Z.; et al. Visible light photocatalytic degradation of crystal violet dye and electrochemical detection of ascorbic acid & glucose using BaWO4 nanorods. Mater. Res. Bull. 2018, 104, 38–43. [Google Scholar] [CrossRef]
- Butman, M.F.; Ovchinnikov, N.L.; Karasev, N.S.; Kochkina, N.E.; Agafonov, A.V.; Vinogradov, A.V. Photocatalytic and adsorption properties of TiO2-pillared montmorillonite obtained by hydrothermally activated intercalation of titanium polyhydroxo complexes. Beilstein J. Nanotechnol. 2018, 9, 364–378. [Google Scholar] [CrossRef] [PubMed] [Green Version]
- Sasikala, S.P.; Nibila, T.A.; Babitha, K.B.; Mohamed, A.A.P.; Solaiappan, A. Competitive photo-degradation performance of ZnO modified bentonite clay in water containing both organic and inorganic contaminants. Sustain. Environ. Res. 2019, 29, 1–12. [Google Scholar] [CrossRef] [Green Version]
- Yao, J.; Gao, Z.; Meng, Q.; He, G.; Chen, H. One-step synthesis of reduced graphene oxide based ceric dioxide modified with cadmium sulfide (CeO2/CdS/RGO) heterojunction with enhanced sunlight-driven photocatalytic activity. J. Colloid Interface Sci. 2021, 594, 621–634. [Google Scholar] [CrossRef]
- Bagtache, R.; Brahimi, R.; Abdmeziem, K.; Trari, M. Preparation and photo-electrochemical characterization of KAlPO4F: Application to photodegradation of methyl violet under sunlight. React. Kinet. Mech. Catal. 2021, 133, 1111–1120. [Google Scholar] [CrossRef]
- Tikhanova, S.M.; Lebedev, L.A.; Martinson, K.D.; Chebanenko, M.I.; Buryanenko, I.V.; Semenov, V.G.; Nevedomskiy, V.N.; Popkov, V.I. The synthesis of novel heterojunction h-YbFeO3/o-YbFeO3 photocatalyst with enhanced Fenton-like activity under visible-light. New J. Chem. 2021, 45, 1541–1550. [Google Scholar] [CrossRef]
- Shi, C.; Wang, X.; Dong, Y.; Hu, W.; Li, Y.; Pan, Y.; Qiu, Y.; Liu, J. Constructrion of porous carbon for the highly efficient visible light-driven degradation of methyl violet. Bull. Chem. Soc. Ethiop. 2016, 34, 277–284. [Google Scholar] [CrossRef]
- Saeed, K.; Khan, I.; Gul, T.; Sadiq, M. Efficient photodegradation of methyl violet dye using TiO2/Pt and TiO2/Pd photocatalysts. Appl. Water Sci. 2017, 7, 3841–3848. [Google Scholar] [CrossRef]
- Tartaya, S.; Bagtache, R.; Djaballah, A.M.; Özacar, M.; Trari, M. Preparation and photo-electrochemical characterization of the vanadium fluorophosphate Na3V2O2(PO4)2F. application to the photo degradation of methyl violet. J. Mater. Sci. Mater. Electron. 2021, 32, 15441–15452. [Google Scholar] [CrossRef]
- Rajesh, G.; Akilandeswari, S.; Govindarajan, D.; Thirumalai, K. Enhancement of photocatalytic activity of ZrO2 nanoparticles by doping with Mg for UV light photocatalytic degradation of methyl violet and methyl blue dyes. J. Mater. Sci. Mater. Electron. 2020, 31, 4058–4072. [Google Scholar] [CrossRef]
- Artagan, Ö.; Vaizoğullar, A.I.; Uğurlu, M. Activated carbon-supported NiS/CoS photocatalyst for degradation of methyl violet (MV) and selective disinfection process for different bacteria under visible light irradiation. J. Taibah Univ. Sci. 2021, 15, 154–169. [Google Scholar] [CrossRef]
- Liu, Y.; Sun, N.; Hu, J.; Li, S.; Qin, G. Photocatalytic degradation properties of a-Fe2O3 nanoparticles for dibutyl phtalate in aqueous solution system. R. Soc. Open Sci. 2018, 5, 172196. [Google Scholar] [CrossRef] [PubMed] [Green Version]
- Qin, Y.; Zhang, H.; Tong, Z.; Song, Z.; Chen, N. A facile synthesis of Fe3O4@SiO2@ZnO with superior photocatalytic performance of 4-nitrophenol. J. Environ. Chem. Eng. 2017, 5, 2207–2213. [Google Scholar] [CrossRef]
- Kusior, A.; Michalec, K.; Jeleń, P.; Radecka, M. Shaped Fe2O3 nanoparticles—Synthesis and enhanced photocatalytic degradation towards RhB. Appl. Surf. Sci. 2019, 476, 342–352. [Google Scholar] [CrossRef]
- Huang, D.; Zhang, Y.; Zhang, J.; Wang, H.; Wang, M.; Wu, C.; Cheng, D.; Chi, Y.; Zhao, Z. The synergetic effect of a structure-engineered mesoporous SiO2–ZnO composite for doxycycline adsorption. RSC Adv. 2019, 9, 38772–38782. [Google Scholar] [CrossRef] [Green Version]
- Wang, H.; Peng, D.; Chen, T.; Chang, Y.; Dong, S. A novel photocatalyst AgBr/ZnO/RGO with high visible light photocatalytic activity. Ceram. Int. 2016, 42, 4406–4412. [Google Scholar] [CrossRef]














| Sample | Component (% at.) | d001 (nm) | ||||
|---|---|---|---|---|---|---|
| O | Si | Al | Na | Zn | ||
| Mt | 59.1 | 23.56 | 16.11 | 0.94 | 0 | 1.09 |
| PCH5/MW | 54.86 | 32.14 | 6.69 | 0.12 | 6.03 | 3.17 |
| PCH10/MW | 48.67 | 33.44 | 5.99 | 0.34 | 11.4 | 1.51; 3.17 |
| PCH15/MW | 45.22 | 31.12 | 6.06 | 0.61 | 16.61 | 2.97 |
| PCH5/HT | 49.15 | 36.76 | 7.24 | 0.47 | 5.83 | 2.29 |
| PCH10/HT | 46.81 | 34.09 | 8.27 | 0.04 | 10.77 | 2.59 |
| PCH15/HT | 45.89 | 30.69 | 7.23 | 0.07 | 15.98 | 2.50 |
| Sample | BET Specific Surface Area (m2/g) | Pore Volume (cc/g) | External Surface Area | Band Gap Energy (eV) |
|---|---|---|---|---|
| Mt | 68.90 | 0.023 | 10.8 | - |
| PCH5/MW | 706.40 | 0.295 | 269.62 | 3.27 |
| PCH10/MW | 561.57 | 0.284 | 213.65 | 3.30 |
| PCH15/MW | 538.03 | 0.237 | 105.63 | 3.33 |
| PCH5/HT | 687.26 | 0.269 | 155.38 | 3.29 |
| PCH10/HT | 663.42 | 0.278 | 141.43 | 3.29 |
| PCH15/HT | 648.51 | 0.218 | 119.77 | 3.33 |
| Sample | Photon Source | Kinetics Equation | R2 | kobs | DE at 120 min (%) |
|---|---|---|---|---|---|
| PCH5/MW | UV | 1/Ct = 0.109 t + 7.88 | 0.983 | 0.109 | 91.08 |
| PCH10/MW | UV | 1/Ct = 0.424 t + 5.92 | 0.949 | 0.424 | 96.08 |
| PCH15/MW | UV | 1/Ct = 0.897 t + 1.32 | 0.988 | 0.897 | 98.60 |
| PCH5/HT | UV | 1/Ct = 0.376 t + 6.50 | 0.972 | 0.376 | 96.72 |
| PCH10/HT | UV | 1/Ct = 1.284 t + 6.85 | 0.996 | 1.284 | 96.88 |
| PCH15/HT | UV | 1/Ct = 1.614 t + 4.48 | 0.987 | 1.614 | 99.54 |
| PCH5/MW | Visible | 1/Ct = 0.064 t + 2.01 | 0.972 | 0.064 | 74.41 |
| PCH10/MW | Visible | 1/Ct = 0.027 t + 2.96 | 0.973 | 0.027 | 63.32 |
| PCH15/MW | Visible | 1/Ct = 0.043 t + 3.30 | 0.963 | 0.043 | 70.79 |
| PCH5/HT | Visible | 1/Ct = 0.058 t + 2.36 | 0.958 | 0.058 | 74.43 |
| PCH10/HT | Visible | 1/Ct = 1.369 t + 1.87 | 0.994 | 1.369 | 67.07 |
| PCH15/HT | Visible | 1/Ct = 0.874 t + 2.44 | 0.986 | 0.874 | 72.40 |
| Photocatalyst | Photocatalyst Dosage (mg/L) | MV Concentration (mg/L) | Photon Source | DE at 120 min | Reference |
|---|---|---|---|---|---|
| CeO2/CdS/RGO | 250 | 25 | Sun light | 100 | [47] |
| KAlPO4F | 1000 | 10 | Visible | 26 | [48] |
| h-YbFeO3/o-YbFeO3 | 200 | 30 | Visible | 66.2 | [49] |
| Nanoporous carbons | 300 | 5 × 10−5 | Visible | 39.8 | [50] |
| TiO2/Pt | 2000 | 15 | UV | 95 | [51] |
| Na3V2O2(PO4)2F | 800 | 20 | UV | 82 | [52] |
| Mg-doped ZrO2 | 400 | 5 | UV | 94 | [53] |
| Activated carbon-supported NiS/CoS | 5000 | 10 | Visible | 78 | [54] |
| ZnO/SiO2-PCH (PCH15/HT) | 800 | 50 | UV | 99.58 | This work |
| ZnO/SiO2-PCH (PCH15/HT) | |||||
| ZnO/SiO2-PCH (PCH15/HT) | 800 | 20 | UV | 100 | This work |
| Sample | Binding Energy of Zn 2p3/2 | Binding Energy of O 1s | FWHM of Zn 2p3/2 | Atomic Ratio of Zn/O |
|---|---|---|---|---|
| Fresh | 1030.22 | 531.80 | 2.377 | 0.531 |
| After 5th cycle | 1029.50 | 531.75 | 3.093 | 0.518 |
Publisher’s Note: MDPI stays neutral with regard to jurisdictional claims in published maps and institutional affiliations. |
© 2021 by the authors. Licensee MDPI, Basel, Switzerland. This article is an open access article distributed under the terms and conditions of the Creative Commons Attribution (CC BY) license (https://creativecommons.org/licenses/by/4.0/).
Share and Cite
Fatimah, I.; Purwiandono, G.; Citradewi, P.W.; Sagadevan, S.; Oh, W.-C.; Doong, R.-a. Influencing Factors in the Synthesis of Photoactive Nanocomposites of ZnO/SiO2-Porous Heterostructures from Montmorillonite and the Study for Methyl Violet Photodegradation. Nanomaterials 2021, 11, 3427. https://doi.org/10.3390/nano11123427
Fatimah I, Purwiandono G, Citradewi PW, Sagadevan S, Oh W-C, Doong R-a. Influencing Factors in the Synthesis of Photoactive Nanocomposites of ZnO/SiO2-Porous Heterostructures from Montmorillonite and the Study for Methyl Violet Photodegradation. Nanomaterials. 2021; 11(12):3427. https://doi.org/10.3390/nano11123427
Chicago/Turabian StyleFatimah, Is, Gani Purwiandono, Putwi Widya Citradewi, Suresh Sagadevan, Won-Chun Oh, and Ruey-an Doong. 2021. "Influencing Factors in the Synthesis of Photoactive Nanocomposites of ZnO/SiO2-Porous Heterostructures from Montmorillonite and the Study for Methyl Violet Photodegradation" Nanomaterials 11, no. 12: 3427. https://doi.org/10.3390/nano11123427
APA StyleFatimah, I., Purwiandono, G., Citradewi, P. W., Sagadevan, S., Oh, W.-C., & Doong, R.-a. (2021). Influencing Factors in the Synthesis of Photoactive Nanocomposites of ZnO/SiO2-Porous Heterostructures from Montmorillonite and the Study for Methyl Violet Photodegradation. Nanomaterials, 11(12), 3427. https://doi.org/10.3390/nano11123427

