Nanolasers with Feedback as Low-Coherence Illumination Sources for Speckle-Free Imaging: A Numerical Analysis of the Superthermal Emission Regime
Abstract
:1. Introduction
2. Experimental Implementability and Practical Interest
- 1.
- Different micropillar nanolasers emit independently of one another, resulting in a lack of mutual coherence; thus, immediately improving on the (low) coherence properties expected from the source.
- 2.
- The useful illumination results from the direct sum of the power output by each source.
- 3.
- Collective feedback could reinject light into the array through reflective (or refractive) optics, mixing the photons emitted by the individual sources [39]; thus, further lowering the coherence of the array’s output.
- 4.
- Diffractive optics, engraved onto the top surface of the array, could be used to control the overall beam divergence, tailoring to the needs of the envisaged application [40].
3. Numerical Simulations Based on a Fully Stochastic Method
4. Investigation Strategy
5. Results and Discussion
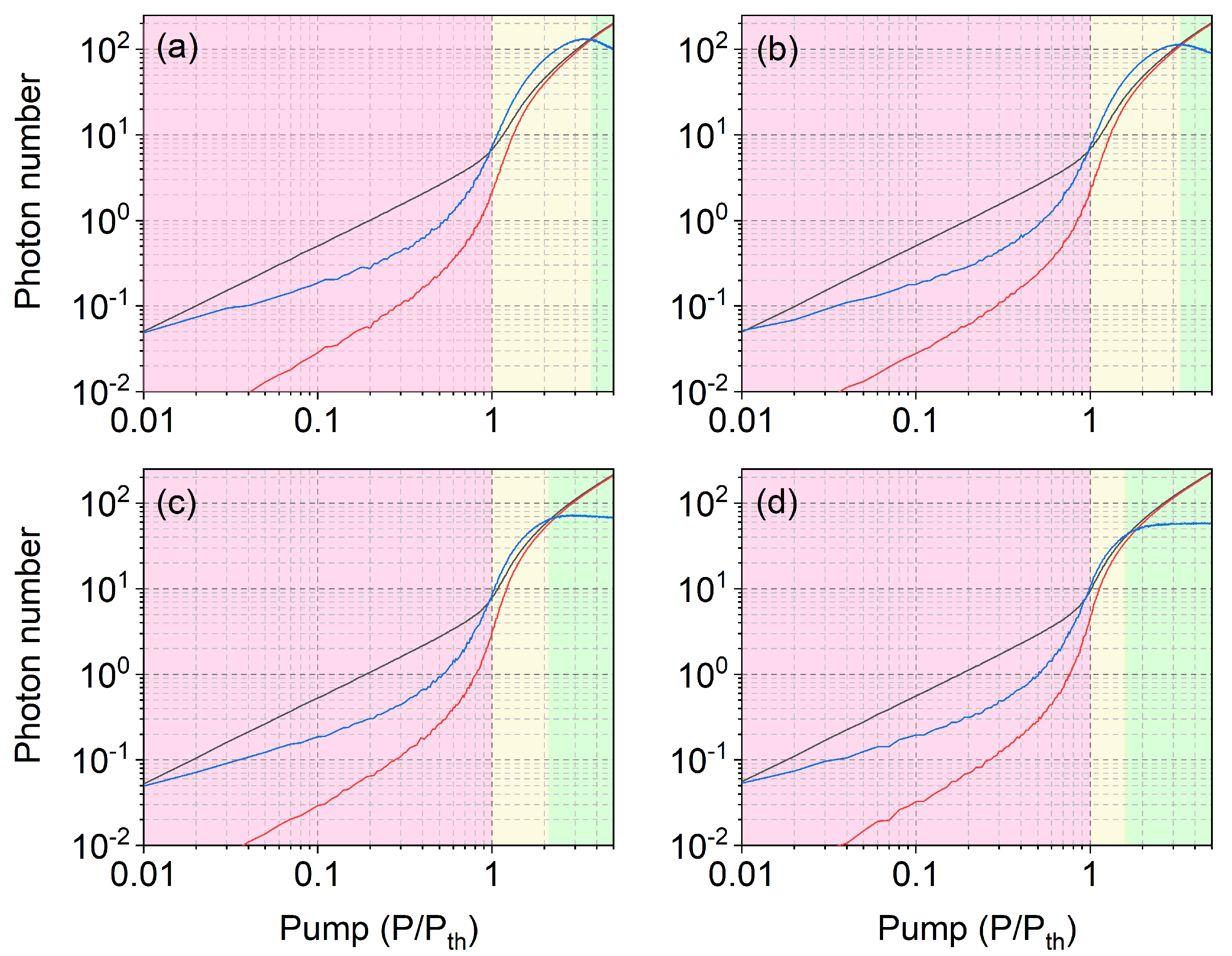
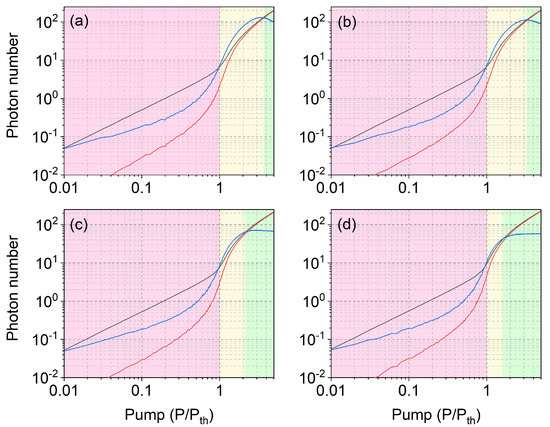
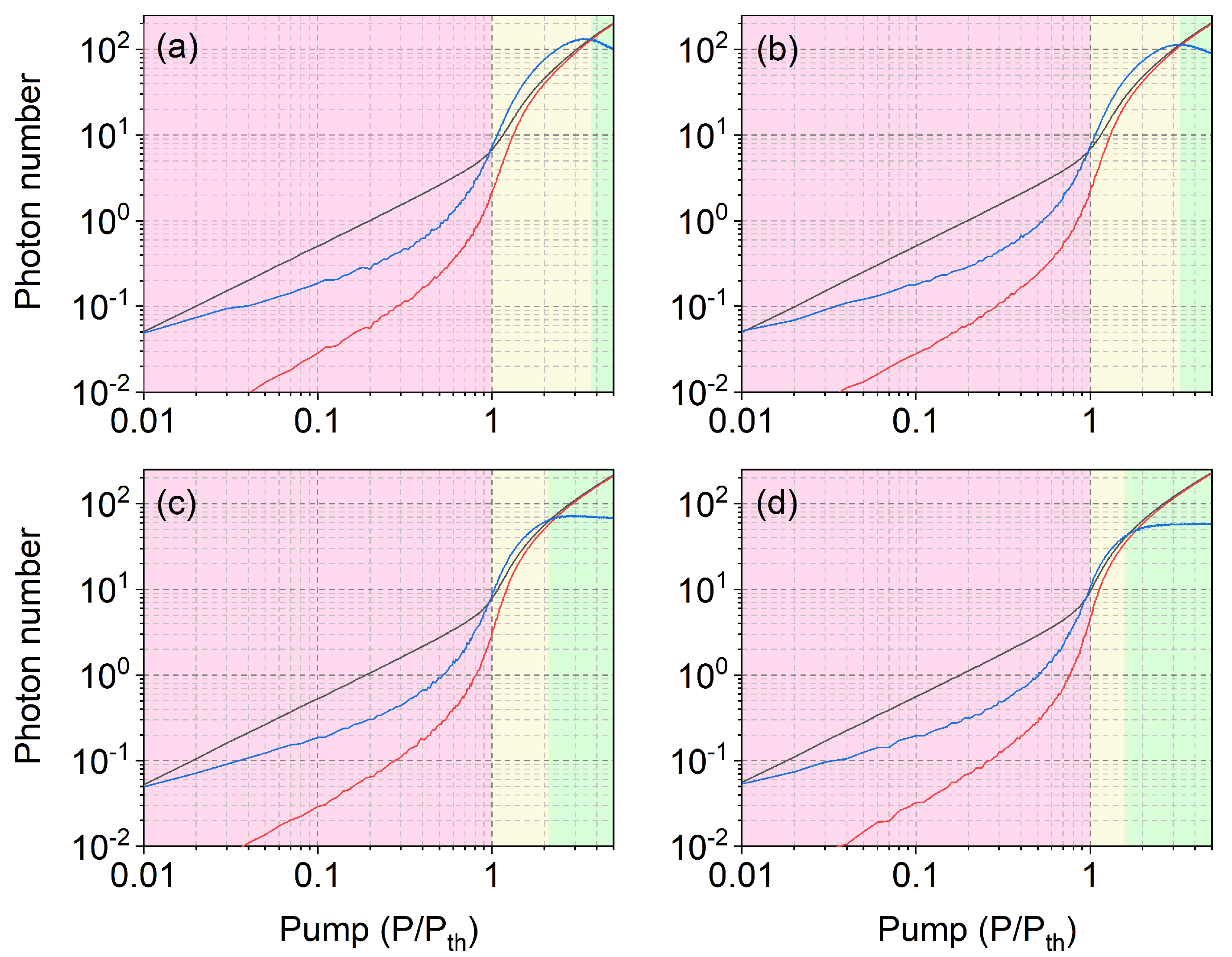
5.1. Average Emission and Fluctuations in a Free-Running Nanolaser
5.2. Introduction of Optical Feedback
5.3. Possible Feedback-Induced Pulse Interdependence
5.4. Detailed Pulse Analysis with Optical Feedback
6. Conclusions
Supplementary Materials
Author Contributions
Funding
Data Availability Statement
Acknowledgments
Conflicts of Interest
References
- Ma, R.M.; Oulton, R.F. Applications of nanolasers. Nat. Nanotechnol. 2019, 14, 12–22. [Google Scholar] [CrossRef]
- Hill, M.T.; Gather, M.C. Advances in small lasers. Nat. Photonics 2014, 8, 908–918. [Google Scholar] [CrossRef] [Green Version]
- Ning, C.Z. Semiconductor nanolasers and the size-energy-efficiency challenge: A review. Adv. Photonics 2019, 1, 014002. [Google Scholar] [CrossRef]
- Azzam, S.I.; Kildishev, A.V.; Ma, R.M.; Ning, C.Z.; Oulton, R.; Shalaev, V.M.; Stockman, M.I.; Xu, J.L.; Zhang, X. Ten years of spasers and plasmonic nanolasers. Light. Sci. Appl. 2020, 9, 90. [Google Scholar] [CrossRef] [PubMed]
- Deng, H.; Lippi, G.L.; Mørk, J.; Wiersig, J.; Reitzenstein, S. Physics and Applications of High-β Micro- and Nanolasers. Adv. Opt. Mater. 2021, 9, 2100415. [Google Scholar] [CrossRef]
- Pan, S.H.; Deka, S.S.; Amili, A.E.; Gu, Q.; Fainman, Y. Nanolasers: Second-order intensity correlation, direct modulation and electromagnetic isolation in array architectures. Prog. Quantum Electron. 2018, 59, 1–18. [Google Scholar] [CrossRef]
- Lee, Y.H.; Jewell, J.L.; Scherer, A.; McCall, S.L.; Harbison, J.P.; Florez, L.T. Room-temperature continuous-wave vertical-cavity single-quantum-well microlaser diodes. Electron. Lett. 1989, 25, 1377–1378. [Google Scholar] [CrossRef] [Green Version]
- McCall, S.L.; Levi, A.F.J.; Slusher, R.E.; Pearton, S.J.; Logan, R.A. Whispering-gallery mode microdisk lasers. Appl. Phys. Lett. 1992, 60, 289–291. [Google Scholar] [CrossRef]
- Painter, O.; Lee, R.K.; Scherer, A.; Yariv, A.; O’Brien, J.D.; Dapkus, P.D.; Kim, I. Two-dimensional photonic band-gap defect mode laser. Science 1999, 284, 1819–1821. [Google Scholar] [CrossRef] [PubMed] [Green Version]
- Hill, M.T.; Marell, M.; Leong, E.S.; Smalbrugge, B.; Zhu, Y.; Sun, M.; van Veldhoven, P.J.; Geluk, E.J.; Karouta, F.; Oei, Y.S.; et al. Lasing in metal-insulator-metal sub-wavelength plasmonic waveguides. Opt. Express 2009, 17, 11107–11112. [Google Scholar] [CrossRef] [Green Version]
- Oulton, R.F.; Sorger, V.J.; Zentgraf, T.; Ma, R.M.; Gladden, C.; Dai, L.; Bartal, G.; Zhang, X. Plasmon lasers at deep subwavelength scale. Nature 2009, 461, 629–632. [Google Scholar] [CrossRef] [Green Version]
- Gongora, J.S.T.; Miroshnichenko, A.E.; Kivshar, Y.S.; Fratalocchi, A. Energy equipartition and unidirectional emission in a spaser nanolaser. Laser Photonics Rev. 2016, 10, 432–440. [Google Scholar] [CrossRef] [Green Version]
- Björk, G.; Karlsson, A.; Yamamoto, Y. Definition of a laser threshold. Phys. Rew. A 1994, 50, 1675–1680. [Google Scholar] [CrossRef]
- Blanche, P.-A.; Bablumian, A.; Voorakaranam, R.; Christenson, C.; Lin, W.; Gu, T.; Flores, D.; Wang, P.; Hsieh, W.Y.; Kathaperumal, M.; et al. Holographic three-dimensional telepresence using large- area photorefractive polymer. Nature 2010, 468, 80–83. [Google Scholar] [CrossRef] [PubMed]
- Gather, M.C.; Yun, S.H. Single-cell biological lasers. Nat. Photonics 2011, 5, 406–410. [Google Scholar] [CrossRef]
- Kim, T.; McCall, J.G.; Jung, Y.H.; Huang, X.; Siuda, E.R.; Li, Y.; Song, J.; Song, Y.M.; Pao, H.A.; Kim, R.H.; et al. Injectable, cellular-scale optoelectronics with applications for wireless optogenetics. Science 2013, 340, 211–216. [Google Scholar] [CrossRef] [Green Version]
- Fernandez-Bravo, A.; Wang, D.; Barnard, E.S.; Teitelboim, A.; Tajon, C.; Guan, J.; Schatz, G.C.; Cohen, B.E.; Chan, E.M.; Schuck, P.J.; et al. Ultralow-threshold, continuous-wave upconverting lasing from subwavelength plasmons. Nat. Mater. 2019, 18, 1172–1176. [Google Scholar] [CrossRef]
- Pauwels, J.; Verschaffelt, G. Speckle reduction in laser projection using microlens-array screens. Opt. Express 2017, 25, 3180–3194. [Google Scholar] [CrossRef]
- Verschaffelt, G.; Roelandt, S.; Meuret, Y.; van den Broeck, W.; Kilpi, K.; Lievens, B.; Jacobs, A.; Janssens, P.; Thienpont, H. Speckle disturbance limit in laser- based cinema projection systems. Sci. Rep. 2015, 5, 14105. [Google Scholar] [CrossRef] [Green Version]
- Cao, H.; Chriki, R.; Bittner, S.; Friesem, A.A.; Davidson, N. Complex lasers with controllable coherence. Nat. Rev. Phys. 2019, 1, 156–168. [Google Scholar] [CrossRef]
- Chellappan, K.V.; Erden, E.; Urey, H. Laser-based displays: A review. Appl. Opt. 2010, 49, F79–F98. [Google Scholar] [CrossRef]
- Goodman, J.W. Speckle Phenomena in Optics: Theory and Applications. Society of Photo Optical, 2nd ed.; Roberts and Company: Englewood, CO, USA, 2020. [Google Scholar]
- Redding, B.; Cerjan, A.; Huang, X.; Lee, M.L.; Stone, A.D.; Choma, M.A.; Cao, H. Low spatial coherence electrically pumped semiconductor laser for speckle-free full-field imaging. Proc. Natl. Acad. Sci. USA 2015, 112, 1304–1309. [Google Scholar] [CrossRef] [PubMed] [Green Version]
- Yurlov, V.; Lapchuk, A.; Yun, S.; Song, J.; Yang, H. Speckle suppression in scanning laser display. Appl. Opt. 2008, 47, 179–187. [Google Scholar] [CrossRef]
- Wang, Y.; Kong, L.; Wang, A.; Fan, L. Coherence length tunable semiconductor laser with optical feedback. Appl. Opt. 2009, 48, 969–973. [Google Scholar] [CrossRef] [PubMed]
- Kumar, V.; Dubey, A.K.; Gupta, M.; Singh, V.; Butola, A.; Mehta, D.S. Speckle noise reduction strategies in laser-based projection imaging, fluorescence microscopy, and digital holography with uniform illumination, improved image sharpness, and resolution. Opt. Laser Technol. 2021, 141, 107079. [Google Scholar] [CrossRef]
- Kitsinelis, S. Light Sources: Basics of Lighting Technologies and Applications; CRC Press: Boca Raton, FL, USA, 2015. [Google Scholar]
- Hartmann, S.; Elsäßer, W. A novel semiconductor-based, fully incoherent amplified spontaneous emission light source for ghost imaging. Sci. Rep. 2016, 7, 41866. [Google Scholar] [CrossRef] [Green Version]
- Kim, K.; Bittner, S.; Zeng, Y.; Liew, S.F.; Wang, Q.; Cao, H. Electrically pumped semiconductor laser with low spatial coherence and directional emission. Appl. Phys. Lett. 2019, 115, 071101. [Google Scholar] [CrossRef] [Green Version]
- Dingel, B.; Kawata, S. Speckle-free image in a laser-diode microscope by using the optical feedback effect. Opt. Lett. 1993, 18, 549. [Google Scholar] [CrossRef]
- Peil, M.; Fischer, I.; Elsäßer, W. Spectral broadband dynamics of semiconductor lasers with resonant short cavities. Phys. Rev. A 2006, 73, 023805. [Google Scholar] [CrossRef] [Green Version]
- Peil, M.; Fischer, I.; Elsäßer, W.; Bakić, S.; Damaschke, N.; Tropea, C.; Stry, S.; Sacher, J. Rainbow refractometry with a tailored incoherent semiconductor laser source. Appl. Phys. Lett. 2006, 89, 091106. [Google Scholar] [CrossRef] [Green Version]
- Halpaap, D.; Marconi, M.; Hernandez, R.; Yacomotti, A.M.; Tiana-Alsina, J.; Masoller, C. Experimental study of speckle patterns generated by low-coherence semiconductor laser light. Chaos 2020, 30, 063147. [Google Scholar] [CrossRef]
- Rice, P.R.; Carmichael, H.J. Photon statistics of a cavity-QED laser: A comment on the laser–phase-transition analogy. Phys. Rev. A 1994, 50, 4318. [Google Scholar] [CrossRef] [PubMed]
- Wang, T.; Puccioni, G.P.; Lippi, G.L. How mesoscale lasers can answer fundamental questions related to nanolasers. SPIE Proc. 2016, 9884, 98840B. [Google Scholar]
- Wang, T.; Aktas, D.; Alibart, O.; Picholle, É.; Puccioni, G.P.; Tanzilli, S.; Lippi, G.L. Superthermal-light emission and nontrivial photon statistics in small lasers. Phys. Rev. A 2020, 101, 063835. [Google Scholar] [CrossRef]
- Crosnier, G.; Sanchez, D.; Bouchoule, S.; Monnier, P.; Beaudoin, G.; Sagnes, I.; Raj, R.; Raineri, F. Hybrid indium phosphide-on-silicon nanolaser diode. Nat. Photonics 2017, 11, 297–301. [Google Scholar] [CrossRef]
- Silveira, M.; Frizera, A.; Leal-Junior, A.; Ribeiro, D.; Marques, C.; Blanc, W.; Díaz, C.A.R. Transmission–Reflection Analysis in high scattering optical fibers: A comparison with single-mode optical fiber. Opt. Fiber Technol. 2020, 58, 102303. [Google Scholar] [CrossRef]
- Dolcemascolo, A.; Garbin, B.; Peyce, B.; Veltz, R.; Barland, S. Resonator neuron and triggering multipulse excitability in laser with injected signal. Phys. Rev. E 2018, 58, 062211. [Google Scholar] [CrossRef] [Green Version]
- Xie, Y.-Y.; Ni, P.-N.; Wang, Q.-H.; Kan, Q.; Briere, G.; Chen, P.-P.; Zhao, Z.-Z.; Delga, A.; Ren, H.-R.; Chen, H.-D.; et al. Metasurface-integrated vertical cavity surface-emitting lasers for programmable directional lasing emissions. Nat. Nanotechnol. 2020, 15, 125–131. [Google Scholar] [CrossRef] [Green Version]
- Heuser, T.; Große, J.; Holzinger, S.; Sommer, M.M.; Reitzenstein, S. Development of Highly Homogenous Quantum Dot Micropillar Arrays for Optical Reservoir Computing. J. Sel. Top. Quantum Electron. 2020, 26, 1900109. [Google Scholar] [CrossRef]
- Wang, T.; Puccioni, G.P.; Lippi, G.L. Photon bursts at lasing onset and modelling issues in micro-VCSELs. J. Mod. Opt. 2019, 67, 55–68. [Google Scholar] [CrossRef]
- Lippi, G.L. ‘Amplified Spontaneous Emission’ in Micro- and Nanolasers. Atoms 2021, 9, 6. [Google Scholar] [CrossRef]
- Puccioni, G.P.; Lippi, G.L. Stochastic Simulator for modeling the transition to lasing. Opt. Express 2015, 23, 2369–2374. [Google Scholar] [CrossRef] [Green Version]
- Einstein, A. Zur Quantentheorie der Strahlung. Phys. Zeitschr. 1917, 18, 121–128. [Google Scholar]
- Lippi, G.L.; Mørk, J.; Puccioni, G.P. Numerical solutions to the Laser Rate Equations with noise: Technical issues, implementation and pitfalls. Proc. SPIE 2018, 10672, 106722B. [Google Scholar]
- Lippi, G.L.; Mørk, J.; Puccioni, G.P. Analytical vs. numerical Langevin description of noise in small lasers. arXiv 2019, arXiv:1903.08859. [Google Scholar]
- Wang, T.; Deng, Z.L.; Sun, J.C.; Wang, X.H.; Puccioni, G.P.; Wang, G.F.; Lippi, G.L. Photon statistics and dynamics of nanolasers subject to intensity feedback. Phys. Rev. A 2020, 101, 023803. [Google Scholar] [CrossRef] [Green Version]
- Mandel, L.; Wolf, E. Coherence properties of optical fields. Rev. Mod. Phys. 1965, 37, 231–287. [Google Scholar] [CrossRef]
- Mandel, L.; Wolf, E. Optical Coherence and Quantum Optics; Cambridge University Press: Cambridge, UK, 1995. [Google Scholar]
- Wang, T.; Puccioni, G.P.; Lippi, G.L. Dynamical buildup of lasing in mesoscale devices. Sci. Rep. 2015, 5, 15858. [Google Scholar] [CrossRef] [Green Version]
- Tredicce, J.R.; Arecchi, F.T.; Lippi, G.L.; Puccioni, G.P. Instabilities in lasers with an injected signal. J. Opt. Soc. Am. B 1985, 2, 173–183. [Google Scholar] [CrossRef] [Green Version]
- Lippi, G.L.; Barland, S.; Dokhane, N.; Monsieur, F.; Porta, P.A.; Grassi, H.; Hoffer, L.M. Phase space techniques for steering laser transients. J. Opt. B 2000, 2, 375–381. [Google Scholar] [CrossRef]
- Romanini, D.; Kachanov, A.; Lacot, E.; Stoeckel, F. Loss of spectral memory in the relaxation oscillations of a multimode solid-state laser. Phys. Rev. A 1996, 54, 920–927. [Google Scholar] [CrossRef]
- Pan, S.H.; Gu, Q.; Amili, A.E.; Vallini, F.; Fainman, Y. Dynamic hysteresis in a coherent high-β nanolaser. Optica 2016, 3, 1260–1265. [Google Scholar] [CrossRef] [Green Version]
- Hayenga, W.E.; Garcia-Gracia, H.; Hodaei, H.; Reimer, C.; Morandotti, R.; LiKamWa, P.; Khajavikhan, M. Second-order coherence properties of metallic nanolasers. Optica 2016, 3, 1187–1193. [Google Scholar] [CrossRef] [Green Version]
- Lebreton, A.; Abram, I.; Braive, R.; Sagnes, I.; Robert-Philip, I.; Beveratos, A. Unequivocal differentiation of coherent and chaotic light through interferometric photon correlation measurements. Phys. Rev. Lett. 2013, 110, 163603. [Google Scholar] [CrossRef] [Green Version]
- Lebreton, A.; Abram, I.; Braive, R.; Sagnes, I.; Robert-Philip, I.; Beveratos, A. Theory of interferometric photon-correlation measurements: Differentiating coherent from chaotic light. Phys. Rev. A 2013, 88, 013801. [Google Scholar] [CrossRef] [Green Version]
- Leymann, H.A.M.; Foerster, A.; Jahnke, F.; Wiersig, J.; Gies, C. Sub- and Superradiance in nanolasers. Phys. Rev. Appl. 2014, 3, e201. [Google Scholar] [CrossRef]
- Tempel, J.-S.; Akimov, I.A.; Aßmann, M.; Schneider, C.; Höfling, S.; Kistner, C.; Reitzenstein, S.; Worschech, L.; Forchel, A.; Bayer, M. Extrapolation of the intensity autocorrelation function of a quantum-dot micropillar laser into the thermal emission regime. J. Opt. Soc. Am. B 2011, 28, 1404–1408. [Google Scholar] [CrossRef]
- Roy-Choudhury, K.; Haas, S.; Levi, A. Quantum fluctuations in small lasers. Phys. Rev. Lett. 2009, 102, 053902. [Google Scholar] [CrossRef] [PubMed] [Green Version]
- Vallet, A.; Chusseau, L.; Philippe, F.; Jean-Marie, A. Markov model of quantum fluctuations at the transition to lasing of semiconductor nanolasers. Phys. E 2019, 105, 97–104. [Google Scholar] [CrossRef] [Green Version]
- André, E.C.; Mørk, J.; Wubs, M. Efficient stochastic simulation of rate equations and photon statistics of nanolasers. Opt. Express 2020, 28, 32632–32646. [Google Scholar] [CrossRef]
- Chow, W.W.; Jahnke, F.; Gies, C. Emission properties of nanolasers during the transition to lasing. Light. Sci. Appl. 2015, 4, 044018. [Google Scholar] [CrossRef] [Green Version]
- Wang, T.; Wang, X.; Deng, Z.; Sun, J.; Puccioni, G.P.; Wang, G.; Lippi, G.L. Dynamics of a micro-VCSEL operated in the threshold region under low-level optical feedback. J. Sel. Top. Quantum Electron. 2019, 25, 1700308. [Google Scholar] [CrossRef]
- Liu, J.; Chen, H.; Tang, S. Synchronized chaotic optical communications at high rates. IEEE J. Quantum Electron. 2002, 38, 1184–1196. [Google Scholar]
- Gatare, I.; Sciamanna, M.; Locquet, A.; Panajotov, K. Influence of polarization mode competition on the synchronization of two unidirectionally coupled vertical-cavity surface-emitting lasers. Opt. Lett. 2007, 32, 1629–1631. [Google Scholar] [CrossRef] [PubMed]









| Feedback Fraction | Ratio Spontaneous/All Pulses | Independent Pulse Trains |
|---|---|---|
| 0.5% | 0.76 | 18.2 |
| 1% | 0.67 | 19.3 |
| 5% | 0.35 | 21.5 |
| 10% | 0.24 | 22.9 |
Publisher’s Note: MDPI stays neutral with regard to jurisdictional claims in published maps and institutional affiliations. |
© 2021 by the authors. Licensee MDPI, Basel, Switzerland. This article is an open access article distributed under the terms and conditions of the Creative Commons Attribution (CC BY) license (https://creativecommons.org/licenses/by/4.0/).
Share and Cite
Wang, T.; Jiang, C.; Zou, J.; Yang, J.; Xu, K.; Jin, C.; Wang, G.; Puccioni, G.P.; Lippi, G.L. Nanolasers with Feedback as Low-Coherence Illumination Sources for Speckle-Free Imaging: A Numerical Analysis of the Superthermal Emission Regime. Nanomaterials 2021, 11, 3325. https://doi.org/10.3390/nano11123325
Wang T, Jiang C, Zou J, Yang J, Xu K, Jin C, Wang G, Puccioni GP, Lippi GL. Nanolasers with Feedback as Low-Coherence Illumination Sources for Speckle-Free Imaging: A Numerical Analysis of the Superthermal Emission Regime. Nanomaterials. 2021; 11(12):3325. https://doi.org/10.3390/nano11123325
Chicago/Turabian StyleWang, Tao, Can Jiang, Junlong Zou, Jie Yang, Kuiwen Xu, Chaoyuan Jin, Gaofeng Wang, Gian Piero Puccioni, and Gian Luca Lippi. 2021. "Nanolasers with Feedback as Low-Coherence Illumination Sources for Speckle-Free Imaging: A Numerical Analysis of the Superthermal Emission Regime" Nanomaterials 11, no. 12: 3325. https://doi.org/10.3390/nano11123325
APA StyleWang, T., Jiang, C., Zou, J., Yang, J., Xu, K., Jin, C., Wang, G., Puccioni, G. P., & Lippi, G. L. (2021). Nanolasers with Feedback as Low-Coherence Illumination Sources for Speckle-Free Imaging: A Numerical Analysis of the Superthermal Emission Regime. Nanomaterials, 11(12), 3325. https://doi.org/10.3390/nano11123325

