Screen-Printed Electrode Surface Modification with NiCo2O4/RGO Nanocomposite for Hydroxylamine Detection
Abstract
:1. Introduction
2. Materials and Methods
2.1. Chemicals and Equipment
2.2. Fabrication of NiCo2O4/RGO Nanocomposite
2.3. Fabrication of Modified Electrode
2.4. Real Sample Analysis
3. Results
3.1. Determination of the NiCo2O4/RGO Nanocomposite Characteristics
3.2. Electrochemical Responses of Hydroxylamine on the Surface of NiCo2O4/Reduced Graphene Oxide (RGO)/Screen-Printed Electrode (SPE)
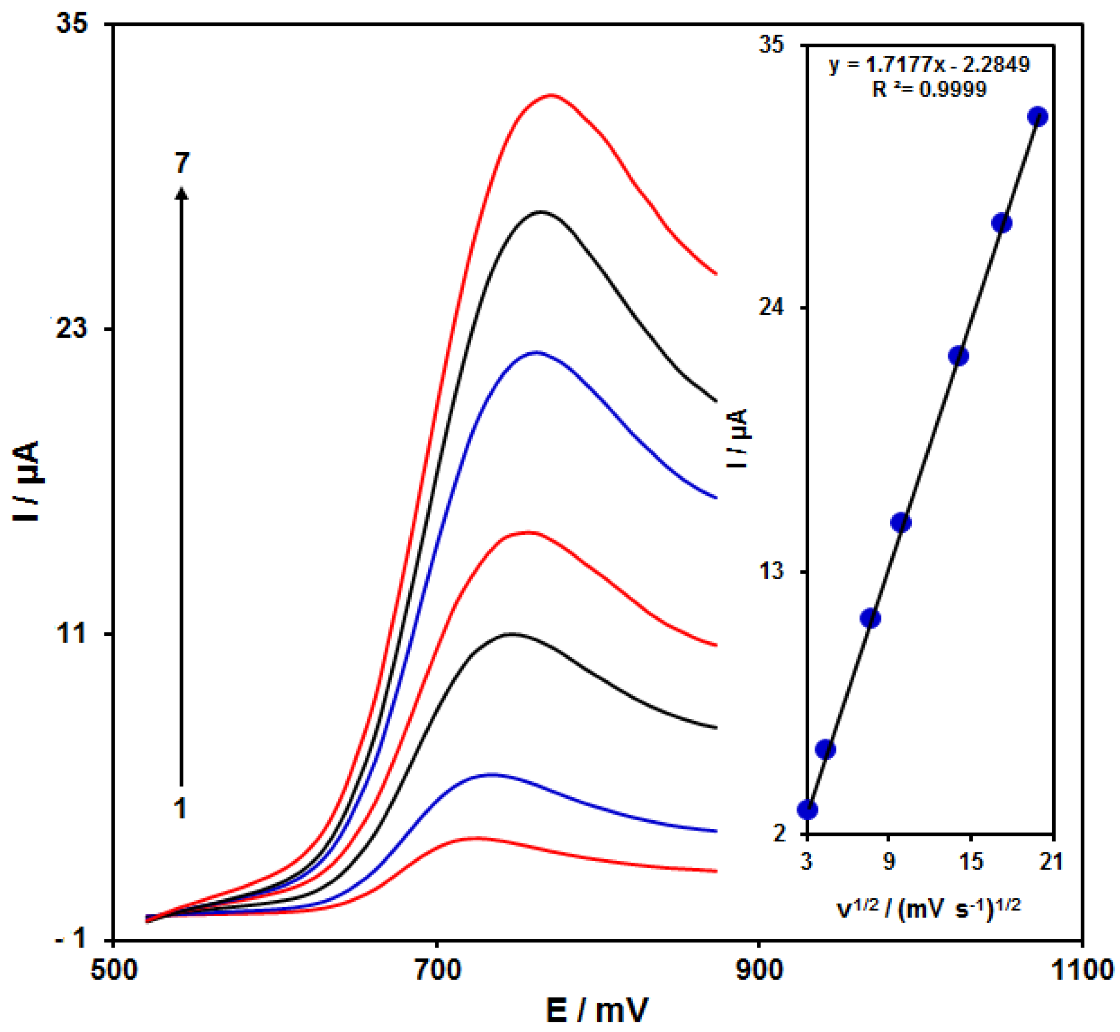
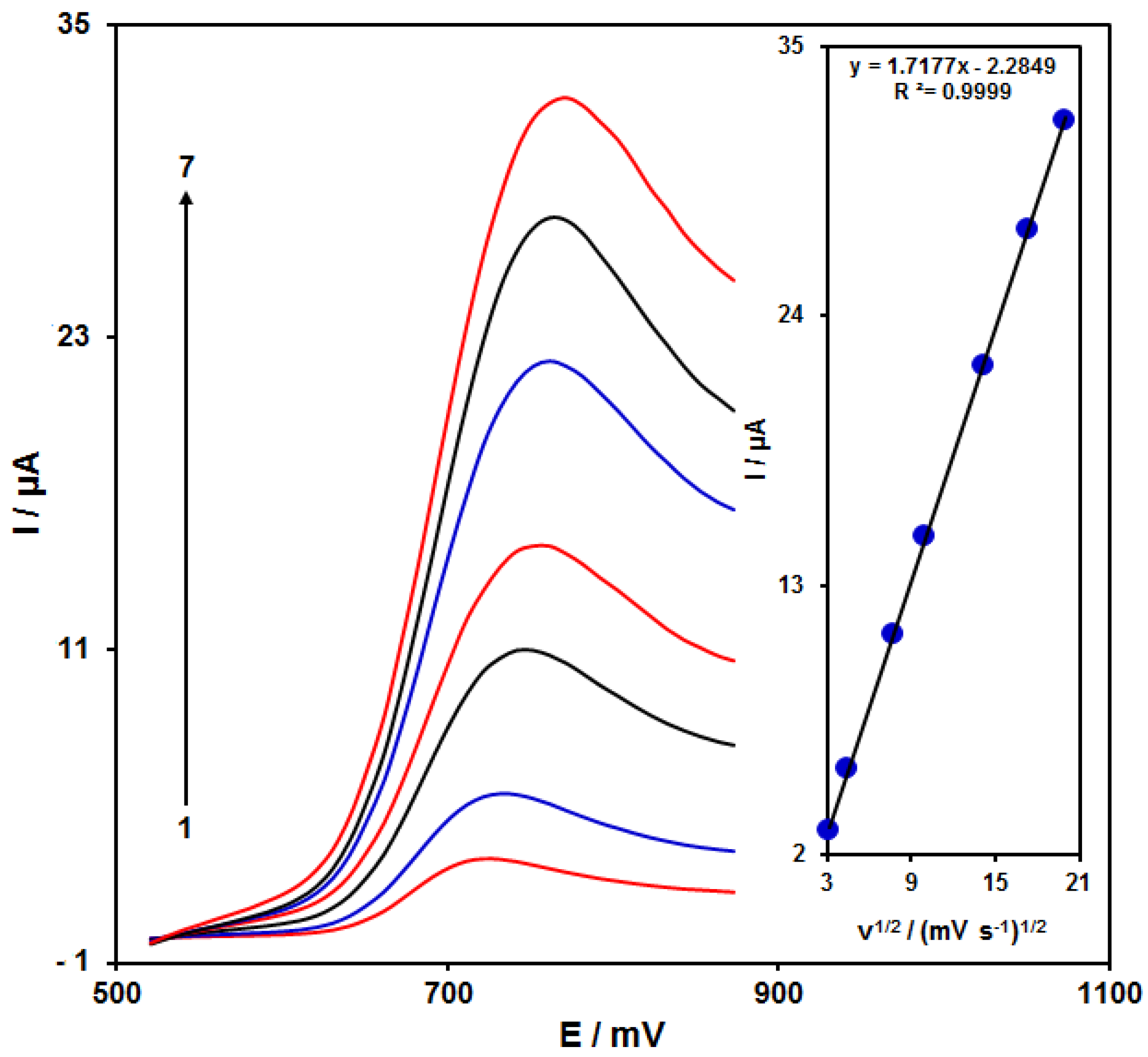
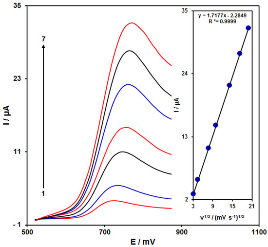
3.3. Results of Scan Rate Impact
3.4. Chronoamperometric Measurements
3.5. Calibration Curve and Limit of Detection
3.6. Interference Study
3.7. Real Sample Analysis
4. Conclusions
Author Contributions
Funding
Data Availability Statement
Conflicts of Interest
References
- Fernando, P.N.; Egwu, I.N.; Hussain, M.S. Ion chromatographic determination of trace hydroxylamine in waste streams generated by a pharmaceutical reaction process. J. Chromatogr. A 2002, 956, 261–270. [Google Scholar] [CrossRef]
- Fiadeiro, M.; Solorzano, L.; Strickland, J.D.H. Hydroxylamine in sea water. Limnol. Oceanogr. 1967, 12, 555–556. [Google Scholar] [CrossRef]
- Anderson, J.H. The copper-catalysed oxidation of hydroxylamine. Analyst 1964, 89, 357–362. [Google Scholar] [CrossRef]
- Seike, Y.; Fukumori, R.; Senga, Y.; Oka, H.; Fujinaga, K.; Okumura, M. A simple and sensitive method for the determination of hydroxylamine in fresh-water samples using hypochlorite followed by gas chromatography. Anal. Sci. 2004, 20, 139–142. [Google Scholar] [CrossRef] [Green Version]
- You, T.; Wu, M.; Wang, E. Determination of hydroxylamine by capillary electrophoresis-electrochemical detection with a palladium-particle modified carbon fiber microdisk array electrode. Anal. Lett. 1997, 30, 1025–1036. [Google Scholar] [CrossRef]
- Frear, D.S.; Burrell, R.C. Spectrophotometric method for determining hydroxylamine reductase activity in higher plants. Anal. Chem. 1955, 27, 1664–1665. [Google Scholar] [CrossRef]
- Hu, B.; Tian, X.L.; Shi, W.N.; Zhao, J.Q.; Wu, P.; Mei, S.T. Spectrophotometric determination of hydroxylamine in biological wastewater treatment processes. Int. J. Environ. Sci. Technol. 2018, 15, 323–332. [Google Scholar] [CrossRef]
- Bezy, V.; Morin, P.; Couerbe, P.; Leleu, G.; Agrofoglio, L. Simultaneous analysis of several antiretroviral nucleosides in rat-plasma by high-performance liquid chromatography with UV using acetic acid/hydroxylamine buffer: Test of this new volatile medium-pH for HPLC–ESI-MS/MS. J. Chromatogr. B 2005, 821, 132–143. [Google Scholar] [CrossRef]
- Li, N.; Deng, C.; Yao, N.; Shen, X.; Zhang, X. Determination of acetone, hexanal and heptanal in blood samples by derivatization with pentafluorobenzyl hydroxylamine followed by headspace single-drop microextraction and gas chromatography–mass spectrometry. Anal. Chim. Acta 2005, 540, 317–323. [Google Scholar] [CrossRef]
- Mazloum-Ardakani, M.; Khoshroo, A.; Hosseinzadeh, L. Simultaneous determination of hydrazine and hydroxylamine based on fullerene-functionalized carbon nanotubes/ionic liquid nanocomposite. Sens. Actuators B Chem. 2015, 214, 132–137. [Google Scholar] [CrossRef]
- Malakootian, M.; Gholami, Z.; Mahmoudi-Moghaddam, H. Electrochemical determination of hydroxylamine in water samples using modified screen-printed electrode with TiO2/GO. Int. J. Environ. Anal. Chem. 2021, 101, 35–47. [Google Scholar] [CrossRef]
- Yang, Y.J.; Li, W. Gold nanoparticles/graphene oxide composite for electrochemical sensing of hydroxylamine and hydrogen peroxide. Fuller. Nanotub. Carbon Nanostruct. 2018, 26, 195–204. [Google Scholar] [CrossRef]
- Zhang, N.; Wang, G.; Gu, A.; Feng, Y.; Fang, B. Fabrication of prussian blue/multi-walled carbon nanotubes modified electrode for electrochemical sensing of hydroxylamine. Microchim. Acta 2010, 168, 129–134. [Google Scholar] [CrossRef]
- Li, J.; Lin, X. Electrocatalytic oxidation of hydrazine and hydroxylamine at gold nanoparticle—polypyrrole nanowire modified glassy carbon electrode. Sens. Actuators B Chem. 2007, 126, 527–535. [Google Scholar] [CrossRef]
- Beitollahi, H.; Tajik, S.; Mohammadi, S.Z.; Baghayeri, M. Voltammetric determination of hydroxylamine in water samples using a 1-benzyl-4-ferrocenyl-1H-[1, 2, 3]-triazole/carbon nanotube-modified glassy carbon electrode. Ionics 2014, 20, 571–579. [Google Scholar] [CrossRef]
- Tajik, S.; Beitollahi, H.; Won Jang, H.; Shokouhimehr, M. A screen printed electrode modified with Fe3O4@polypyrrole-Pt core-shell nanoparticles for electrochemical detection of 6-mercaptopurine and 6-thioguanine. Talanta 2021, 232, 122379. [Google Scholar] [CrossRef]
- Altun, M.; Bilgi Kamaç, M.; Bilgi, A.; Yılmaz, M. Dopamine biosensor based on screen-printed electrode modified with reduced graphene oxide, polyneutral red and gold nanoparticle. Int. J. Environ. Anal. Chem. 2020, 100, 451–467. [Google Scholar] [CrossRef]
- Garkani Nejad, F.; Beitollahi, H.; Tajik, S.; Jahani, S. La3+-doped Co3O4 nanoflowers modified graphite screen printed electrode for electrochemical sensing of vitamin B6. Anal. Bioanal. Chem. Res. 2019, 6, 69–79. [Google Scholar]
- Tajik, S.; Beitollahi, H.; Shahsavari, S.; Garkani Nejad, F. Simultaneous and selective electrochemical sensing of methotrexate and folic acid in biological fluids and pharmaceutical samples using Fe3O4/ppy/Pd nanocomposite modified screen printed graphite electrode. Chemosphere 2021. [Google Scholar] [CrossRef]
- Karimi-Maleh, H.; Sheikhshoaie, M.; Sheikhshoaie, I.; Ranjbar, M.; Alizadeh, J.; Maxakato, N.W.; Abbaspourrad, A. A novel electrochemical epinine sensor using amplified CuO nanoparticles and an-hexyl-3-methylimidazolium hexafluorophosphate electrode. New J. Chem. 2019, 43, 2362–2367. [Google Scholar] [CrossRef]
- Ganjali, M.R.; Garkani-Nejad, F.; Tajik, S.; Beitollahi, H.; Pourbasheer, E.; Larijanii, B. Determination of salicylic acid by differential pulse voltammetry using ZnO/Al2O3 nanocomposite modified graphite screen printed electrode. Int. J. Electrochem. Sci. 2017, 12, 9972–9982. [Google Scholar] [CrossRef]
- Karimi-Maleh, H.; Tahernejad-Javazmi, F.; Ensafi, A.A.; Moradi, R.; Mallakpour, S.; Beitollahi, H. A high sensitive biosensor based on FePt/CNTs nanocomposite/N-(4-hydroxyphenyl)-3,5-dinitrobenzamide modified carbon paste electrode for simultaneous determination of glutathione and piroxicam. Biosens. Bioelectron. 2014, 60, 1–7. [Google Scholar] [CrossRef] [PubMed]
- Beitollahi, H.; Tajik, S.; Garkani-Nejad, F.; Safaei, M. Recent advances in ZnO nanostructure-based electrochemical sensors and biosensors. J. Mater. Chem. B 2020, 8, 5826–5844. [Google Scholar] [CrossRef]
- Prasad, P.; Sreedhar, N.Y. Effective SWCNTs/Nafion electrochemical sensor for detection of dicapthon pesticide in water and agricultural food samples. Chem. Methodol. 2018, 2, 277–290. [Google Scholar]
- Baghizadeh, A.; Karimi-Maleh, H.; Khoshnama, Z.; Hassankhani, A.; Abbasghorbani, M. A voltammetric sensor for simultaneous determination of vitamin C and vitamin B6 in food samples using ZrO2 nanoparticle/ionic liquids carbon paste electrode. Food Anal. Methods 2015, 8, 549–557. [Google Scholar] [CrossRef]
- Mahalakshmi, S.; Sridevi, V. In situ electrodeposited gold nanoparticles on polyaniline-modified electrode surface for the detection of dopamine in presence of ascorbic acid and uric acid. Electrocatalysis 2021, 12, 415–435. [Google Scholar] [CrossRef]
- Tajik, S.; Beitollahi, H.; Garkani Nejad, F.; Safaei, M.; Mohammadzadeh Jahani, P. Electrochemical sensing of Sudan I using the modified graphite screen-printed electrode. Int. J. Environ. Anal. Chem. 2020. [Google Scholar] [CrossRef]
- Karimi-Maleh, H.; Karimi, F.; Fu, L.; Sanati, A.L.; Alizadeh, M.; Karaman, C.; Orooji, Y. Cyanazine herbicide monitoring as a hazardous substance by a DNA nanostructure biosensor. J. Hazard. Mater. 2022, 423, 127058. [Google Scholar] [CrossRef]
- Hosseini Fakhrabad, A.; Sanavi Khoshnood, R.; Abedi, M.R.; Ebrahimi, M. Fabrication a composite carbon paste electrodes (CPEs) modified with Multi-Wall Carbon Nano-Tubes (MWCNTs/N, N-Bis(salicyliden)-1,3-propandiamine) for determination of lanthanum (III). Eurasian Chem. Commun. 2021, 3, 627–634. [Google Scholar]
- Bodur, O.C.; Dinç, S.; Özmen, M.; Arslan, F. A sensitive amperometric detection of neurotransmitter acetylcholine using carbon dot-modified carbon paste electrode. Biotechnol. Appl. Biochem. 2021, 68, 20–29. [Google Scholar] [CrossRef]
- Karimi-Maleh, H.; Alizadeh, M.; Orooji, Y.; Karimi, F.; Baghayeri, M.; Rouhi, J.; Tajik, S.; Beitollahi, H.; Agarwal, S.; Gupta, V.K. Guanine-based DNA biosensor amplified with Pt/SWCNTs nanocomposite as analytical tool for nanomolar determination of daunorubicin as an anticancer drug: A docking/experimental investigation. J. Ind. Eng. Chem. 2021, 60, 816–823. [Google Scholar] [CrossRef]
- Tajik, S.; Beitollahi, H.; Garkani Nejad, F.; Sheikhshoaie, I.; Nugraha, A.S.; Jang, H.W.; Yamauchi, Y.; Shokouhimehr, M. Performance of metal–organic frameworks in the electrochemical sensing of environmental pollutants. J. Mater. Chem. A 2021, 9, 8195–8220. [Google Scholar] [CrossRef]
- Song, P.; Li, Y.; Yin, S.; Tang, Y.; Wang, Z. Simulation-based evaluation of homogeneous electrocatalytic reaction within a thin layer modified electrode. J. Electroanal. Chem. 2021, 901, 115784. [Google Scholar] [CrossRef]
- Mehri-Talarposhti, F.; Ghorbani-Hasan Saraei, A.; Golestan, L.; Shahidi, S.A. Electrochemical determination of Vitamin B6 in fruit juices using a new nanostructure voltammetric sensor. Asian J. Nanosci. Mater. 2020, 3, 313–320. [Google Scholar]
- Hu, W.C.; Pang, J.; Biswas, S.; Wang, K.; Wang, C.; Xia, X.H. Ultrasensitive detection of bacteria using a 2D MOF nanozyme-amplified electrochemical detector. Anal. Chem. 2021, 93, 8544–8552. [Google Scholar] [CrossRef]
- Zhang, G.; Xia, B.Y.; Wang, X.; Lou, X.W. Strongly coupled NiCo2O4-rGO hybrid nanosheets as a methanol-tolerant electrocatalyst for the oxygen reduction reaction. Adv. Mater. 2014, 26, 2408–2412. [Google Scholar] [CrossRef] [PubMed]
- Xue, S.; Wang, K.; Cheng, Y.; Tu, B.; Xia, Y.; Yuan, S.; Tao, H. Simultaneous determination of catechol and hydroquinone with L-cysteine and nickel cobaltite Co-functionalised graphene oxide modified glassy carbon electrode. Int. J. Environ. Anal. Chem. 2021. [Google Scholar] [CrossRef]
- Zhao, H.; Xu, J.; Sheng, Q.; Zheng, J.; Cao, W.; Yue, T. NiCo2O4 nanorods decorated MoS2 nanosheets synthesized from deep eutectic solvents and their application for electrochemical sensing of glucose in red wine and honey. J. Electrochem. Soc. 2019, 166, H404. [Google Scholar] [CrossRef]
- Osaimany, P.; Samuel, A.S.; Johnbosco, Y.; Kharwar, Y.P.; Chakravarthy, V. A study of synergistic effect on oxygen reduction activity and capacitive performance of NiCo2O4/rGO hybrid catalyst for rechargeable metal-air batteries and supercapacitor applications. Compos. Part B Eng. 2019, 176, 107327. [Google Scholar] [CrossRef]
- Lv, A.; Lu, S.; Xu, W.; Wang, Z.; Shen, Y.; Liu, G. One-pot synthesis of NiCo2O4/rGO/NF hybrid electrode materials realizing ultrahigh capacitance and rapid charge/discharge at large current density. Appl. Surf. Sci. 2020, 511, 145538. [Google Scholar] [CrossRef]
- Wang, B.; Cao, Y.; Chen, Y.; Lai, X.; Peng, J.; Tu, J.; Li, X. Rapid synthesis of rGO conjugated hierarchical NiCo2O4 hollow mesoporous nanospheres with enhanced glucose sensitivity. Nanotechnology 2016, 28, 025501. [Google Scholar] [CrossRef] [PubMed]
- Bard, A.J.; Faulkner, L.R. Electrochemical Methods: Fundamentals and Applications, 2nd ed.; John Wiley & Sons: New York, NY, USA, 2001. [Google Scholar]







| Electrochemical Sensor | Electrochemical Method | Linear Range | Limit of Detection | Ref. |
|---|---|---|---|---|
| Fullerene-functionalized carbon nanotubes/ionic liquid nanocomposite/glassy carbon electrode | DPV | 1.0–300.0 μM | 28 ± 2 nM | [10] |
| Graphene oxidde/TiO2/SPE | DPV | 0.1–300 μM | 0.065 µM | [11] |
| Gold nanoparticles/cetyltrimethyl ammonium bromide/graphene oxide/glassy carbon electrode | Amperometry | 10–1000 μM | 3.5 μM | [12] |
| Prussian blue-multi-walled carbon nanotubes/glassy carbon electrode | Amperometry | 1.5 µM–2.0 mM | - | [13] |
| Gold nanoparticles—polypyrrole nanowire/glassy carbon electrode | DPV | 1–500 μM | 0.21 μM | [14] |
| 1-benzyl-4-ferrocenyl-1H-[1,2,3]-triazole/carbon nanotube/glassy carbon electrode | Square wave voltammetry | 4.0 × 10−7– 6.75 × 10−4 M | 28.0 ± 1.0 nM | [15] |
| NiCo2O4/RGO/SPE | DPV | 0.007–385.0 μM | 2.0 nM | This Work |
| Sample | Spiked | Found | Recovery (%) | R.S.D. (%) |
|---|---|---|---|---|
| Drinking water | 0 | - | - | - |
| 5.0 | 4.9 | 98.0 | 3.2 | |
| 7.0 | 7.3 | 104.3 | 2.7 | |
| 9.0 | 9.1 | 101.1 | 1.9 | |
| 11.0 | 10.9 | 99.1 | 2.4 | |
| Tap water | 0 | - | - | - |
| 4.5 | 4.6 | 102.2 | 2.9 | |
| 6.5 | 6.3 | 97.0 | 3.5 | |
| 8.5 | 8.4 | 98.8 | 1.6 | |
| 10.5 | 10.6 | 100.9 | 2.5 | |
| River water | 0 | - | - | - |
| 5.5 | 5.4 | 98.2 | 2.7 | |
| 7.5 | 7.8 | 104.0 | 2.1 | |
| 9.5 | 9.6 | 101.0 | 3.6 | |
| 11.5 | 11.4 | 99.1 | 2.0 |
Publisher’s Note: MDPI stays neutral with regard to jurisdictional claims in published maps and institutional affiliations. |
© 2021 by the authors. Licensee MDPI, Basel, Switzerland. This article is an open access article distributed under the terms and conditions of the Creative Commons Attribution (CC BY) license (https://creativecommons.org/licenses/by/4.0/).
Share and Cite
Tajik, S.; Beitollahi, H.; Ahmadi, S.a.; Askari, M.B.; Di Bartolomeo, A. Screen-Printed Electrode Surface Modification with NiCo2O4/RGO Nanocomposite for Hydroxylamine Detection. Nanomaterials 2021, 11, 3208. https://doi.org/10.3390/nano11123208
Tajik S, Beitollahi H, Ahmadi Sa, Askari MB, Di Bartolomeo A. Screen-Printed Electrode Surface Modification with NiCo2O4/RGO Nanocomposite for Hydroxylamine Detection. Nanomaterials. 2021; 11(12):3208. https://doi.org/10.3390/nano11123208
Chicago/Turabian StyleTajik, Somayeh, Hadi Beitollahi, Sayed ali Ahmadi, Mohammad Bagher Askari, and Antonio Di Bartolomeo. 2021. "Screen-Printed Electrode Surface Modification with NiCo2O4/RGO Nanocomposite for Hydroxylamine Detection" Nanomaterials 11, no. 12: 3208. https://doi.org/10.3390/nano11123208
APA StyleTajik, S., Beitollahi, H., Ahmadi, S. a., Askari, M. B., & Di Bartolomeo, A. (2021). Screen-Printed Electrode Surface Modification with NiCo2O4/RGO Nanocomposite for Hydroxylamine Detection. Nanomaterials, 11(12), 3208. https://doi.org/10.3390/nano11123208

