Metamaterial Reverse Multiple Prediction Method Based on Deep Learning
Abstract
:1. Introduction
2. Materials and Methods
2.1. COMSOL Simulation Model
2.2. The pCGAN Model
2.3. Neural Network Method
2.4. Data Preprocessing
2.5. Activation Function
2.6. Overfitting Solution
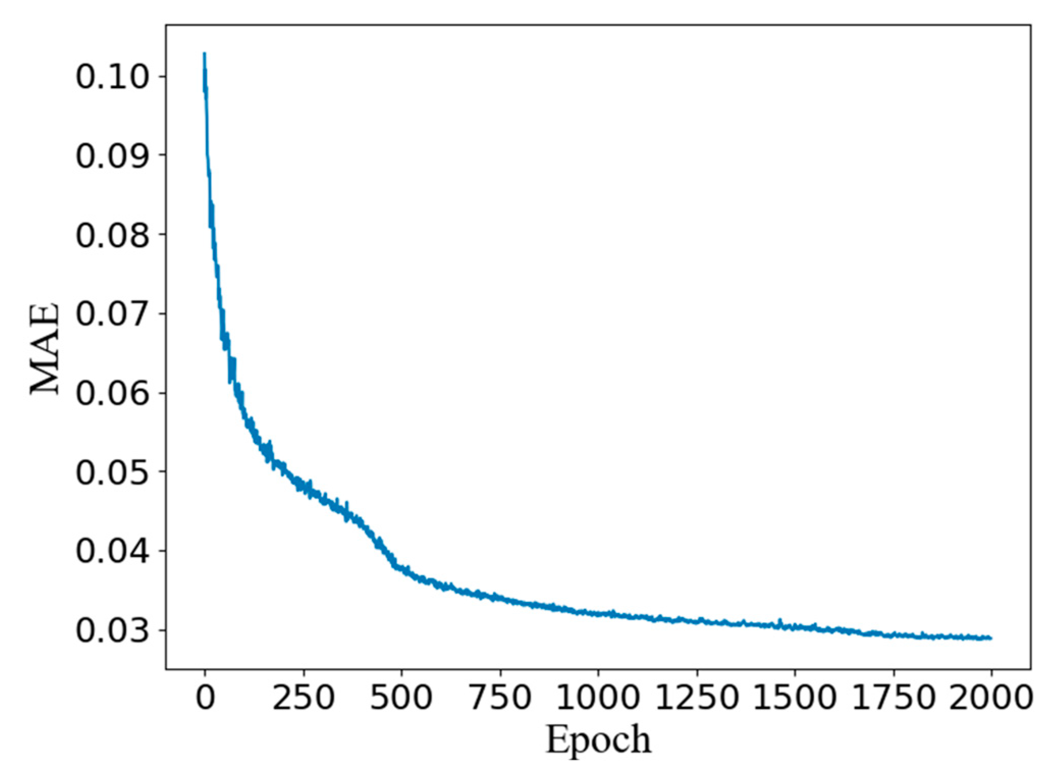
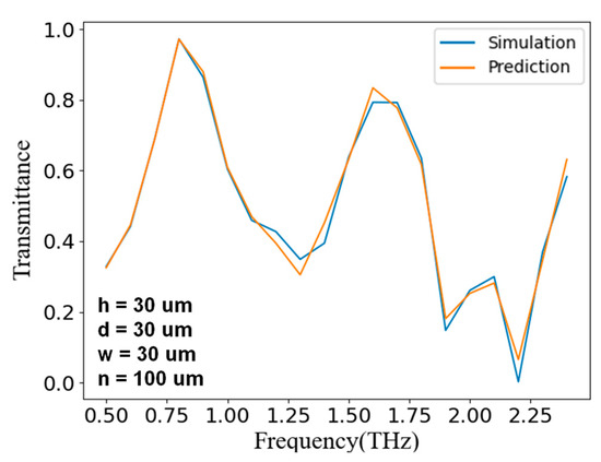
3. Results
Training of pCGAN
4. Discussion
5. Conclusions
Author Contributions
Funding
Conflicts of Interest
References
- Schurig, D.; Mock, J.J.; Justice, B.J.; Cummer, S.A.; Pendry, J.B.; Starr, A.F.; Smith, D.R. Metamaterial Electromagnetic Cloak at Microwave Frequencies. Science 2006, 314, 977–980. [Google Scholar] [CrossRef] [Green Version]
- Shelby, R.A.; Smith, D.R.; Schultz, S. Experimental Verification of a Negative Index of Refraction. Science 2001, 292, 77–79. [Google Scholar] [CrossRef] [PubMed] [Green Version]
- Rhee, J.Y.; Yoo, Y.J.; Kim, K.W.; Kim, Y.J.; Lee, Y.P. Metamaterial-Based Perfect Absorbers. J. Electromagn. Waves Appl. 2014, 28, 1541–1580. [Google Scholar] [CrossRef]
- Cai, Y.; Zhu, J.; Liu, Q.H. Tunable enhanced optical absorption of graphene using plasmonic perfect absorbers. Appl. Phys. Lett. 2015, 106, 043105. [Google Scholar] [CrossRef] [Green Version]
- Alexander, P.; Iorsh, I.; Belov, P.; Kivshar, Y. Hyperbolic Metamaterials. Nat. Photonics 2013, 7, 948–957. [Google Scholar]
- Zheng, C.; Li, J.; Wang, S.; Li, J.; Li, M.; Zhao, H.; Hao, X.; Zang, H.; Zhang, Y.; Yao, J. Optically tunable all-silicon chiral metasurface in terahertz band. Appl. Phys. Lett. 2021, 118, 051101. [Google Scholar] [CrossRef]
- Li, W.; Coppens, Z.J.; Besteiro, L.V.; Wang, W.; Govorov, A.O.; Valentine, J. Circularly polarized light detection with hot electrons in chiral plasmonic metamaterials. Nat. Commun. 2015, 6, 8379. [Google Scholar] [CrossRef]
- Lu, D.; Liu, Z. Hyperlenses and metalenses for far-field super-resolution imaging. Nat. Commun. 2012, 3, 1205. [Google Scholar] [CrossRef] [PubMed]
- Wang, Z.; Jia, H.; Yao, K.; Cai, W.; Chen, H.; Liu, Y. Circular Dichroism Metamirrors with near-Perfect Extinction. ACS Photonics 2016, 3, 2096–2101. [Google Scholar] [CrossRef]
- Hooper, D.C.; Mark, A.G.; Kuppe, C.; Collins, J.T.; Fischer, P.; Valev, V.K. Strong Rotational Anisotropies Affect Nonlinear Chiral Metamaterials. Adv. Mater. 2017, 29, 1605110. [Google Scholar] [CrossRef]
- Neubrech, F.; Hentschel, M.; Liu, N. Reconfigurable Plasmonic Chirality: Fundamentals and Applications. Adv. Mater. 2020, 32, e1905640. [Google Scholar] [CrossRef] [Green Version]
- Li, J.; Zheng, C.; Wang, G.; Li, J.; Zhao, H.; Yang, Y.; Zhang, Z.; Yang, M.; Wu, L.; Li, J.; et al. Circular dichroism-like response of terahertz wave caused by phase manipulation via all-silicon metasurface. Photonics Res. 2021, 9, 567. [Google Scholar] [CrossRef]
- Xiao, S.; Wang, T.; Liu, T.; Yan, X.; Li, Z.; Xu, C. Active modulation of electromagnetically induced transparency analogue in terahertz hybrid metal-graphene metamaterials. Carbon 2018, 126, 271–278. [Google Scholar] [CrossRef] [Green Version]
- Hamouleh-Alipour, A.; Mir, A.; Farmani, A. Analytical Modeling and Design of a Graphene Metasurface Sensor for Thermo-Optical Detection of Terahertz Plasmons. IEEE Sens. J. 2020, 21, 4525–4532. [Google Scholar] [CrossRef]
- Schmidhuber, J. Deep learning in neural networks: An overview. Neural Netw. 2015, 61, 85–117. [Google Scholar] [CrossRef] [Green Version]
- He, K.; Zhang, X.; Ren, S.; Sun, J. Deep Residual Learning for Image Recognition. In Proceedings of the 2016 IEEE Conference on Computer Vision and Pattern Recognition (CVPR), Las Vegas, NV, USA, 26 June–1 July 2016; pp. 770–778. [Google Scholar]
- Young, T.; Hazarika, D.; Poria, S.; Cambria, E. Recent Trends in Deep Learning Based Natural Language Processing [Review Article]. IEEE Comput. Intell. Mag. 2018, 13, 55–75. [Google Scholar] [CrossRef]
- Chen, L.C.; Papandreou, G.; Kokkinos, I.; Murphy, K.; Yuille, A.L. Deeplab: Semantic Image Segmentation with Deep Convolutional Nets, Atrous Convolution, and Fully Connected Crfs. IEEE Trans. Pattern. Anal. Mach. Intell. 2018, 40, 834–848. [Google Scholar] [CrossRef]
- Goh, G.B.; Hodas, N.O.; Vishnu, A. Deep learning for computational chemistry. J. Comput. Chem. 2017, 38, 1291–1307. [Google Scholar] [CrossRef] [PubMed] [Green Version]
- Baldi, P.; Sadowski, P.; Whiteson, D. Searching for exotic particles in high-energy physics with deep learning. Nat. Commun. 2014, 5, 4308. [Google Scholar] [CrossRef] [Green Version]
- Angermueller, C.; Pärnamaa, T.; Parts, L.; Stegle, O. Deep learning for computational biology. Mol. Syst. Biol. 2016, 12, 878. [Google Scholar] [CrossRef]
- Chen, P.Y.; Chen, C.H.; Wang, H.; Tsai, J.H.; Ni, W.X. Synthesis Design of Artificial Magnetic Metamaterials Using a Genetic Algorithm. Opt. Express 2008, 6, 12806. [Google Scholar] [CrossRef]
- Qiu, T.; Shi, X.; Wang, J.; Li, Y.; Qu, S.; Cheng, Q.; Cui, T.; Sui, S. Deep Learning: A Rapid and Efficient Route to Automatic Metasurface Design. Adv. Sci. 2019, 6, 1900128. [Google Scholar] [CrossRef]
- Bessa, M.A.; Glowacki, P.; Houlder, M. Bayesian Machine Learning in Metamaterial Design: Fragile Becomes Supercompressible. Adv. Mater. 2019, 31, e1904845. [Google Scholar] [CrossRef] [Green Version]
- Ma, W.; Cheng, F.; Liu, Y. Deep-Learning-Enabled on-Demand Design of Chiral Metamaterials. ACS Nano 2018, 12, 6326–6334. [Google Scholar] [CrossRef]
- Malkiel, I.; Mrejen, M.; Nagler, A.; Arieli, U.; Wolf, L.; Suchowski, H. Plasmonic Nanostructure Design and Characterization Via Deep Learning. Light Sci. Appl. 2018, 7, 60. [Google Scholar] [CrossRef]
- So, S.; Mun, J.; Rho, J. Simultaneous Inverse Design of Materials and Structures Via Deep Learning: Demonstration of Dipole Resonance Engineering Using Core-Shell Nanoparticles. ACS Appl. Mater. Interfaces 2019, 11, 24264–24268. [Google Scholar] [CrossRef] [PubMed]
- Ma, W.; Cheng, F.; Xu, Y.; Wen, Q.; Liu, Y. Probabilistic Representation and Inverse Design of Metamaterials Based on a Deep Generative Model with Semi-Supervised Learning Strategy. Adv. Mater. 2019, 31, e1901111. [Google Scholar] [CrossRef] [PubMed] [Green Version]
- Mall, A.; Patil, A.; Sethi, A.; Kumar, A. A Cyclical Deep Learning Based Framework for Simultaneous Inverse and Forward Design of Nanophotonic Metasurfaces. Sci. Rep. 2020, 10, 19427. [Google Scholar] [CrossRef] [PubMed]
- So, S.; Rho, J. Designing Nanophotonic Structures Using Conditional Deep Convolutional Generative Adversarial Networks. Nanophotonics 2019, 8, 1255–1261. [Google Scholar] [CrossRef] [Green Version]
- Mehdi, M.; Osindero, S. Conditional Generative Adversarial Nets. Available online: https://arxiv.org/abs/1411.1784 (accessed on 30 September 2021).
- Comsol Multiphysics® Version v. 5.5. Available online: https://cn.comsol.com (accessed on 30 September 2021).
- Clevert, D.; Unterthiner, T.; Hochreiter, S. Fast and Accurate Deep Network Learning by Exponential Linear Units (Elus). Available online: https://arxiv.org/abs/1511.07289v2 (accessed on 30 September 2021).












Publisher’s Note: MDPI stays neutral with regard to jurisdictional claims in published maps and institutional affiliations. |
© 2021 by the authors. Licensee MDPI, Basel, Switzerland. This article is an open access article distributed under the terms and conditions of the Creative Commons Attribution (CC BY) license (https://creativecommons.org/licenses/by/4.0/).
Share and Cite
Hou, Z.; Zhang, P.; Ge, M.; Li, J.; Tang, T.; Shen, J.; Li, C. Metamaterial Reverse Multiple Prediction Method Based on Deep Learning. Nanomaterials 2021, 11, 2672. https://doi.org/10.3390/nano11102672
Hou Z, Zhang P, Ge M, Li J, Tang T, Shen J, Li C. Metamaterial Reverse Multiple Prediction Method Based on Deep Learning. Nanomaterials. 2021; 11(10):2672. https://doi.org/10.3390/nano11102672
Chicago/Turabian StyleHou, Zheyu, Pengyu Zhang, Mengfan Ge, Jie Li, Tingting Tang, Jian Shen, and Chaoyang Li. 2021. "Metamaterial Reverse Multiple Prediction Method Based on Deep Learning" Nanomaterials 11, no. 10: 2672. https://doi.org/10.3390/nano11102672
APA StyleHou, Z., Zhang, P., Ge, M., Li, J., Tang, T., Shen, J., & Li, C. (2021). Metamaterial Reverse Multiple Prediction Method Based on Deep Learning. Nanomaterials, 11(10), 2672. https://doi.org/10.3390/nano11102672

