Properties of S-Functionalized Nitrogen-Based MXene (Ti2NS2) as a Hosting Material for Lithium-Sulfur Batteries
Abstract
:1. Introduction
2. Method and Computational Details
3. Results and Discussion
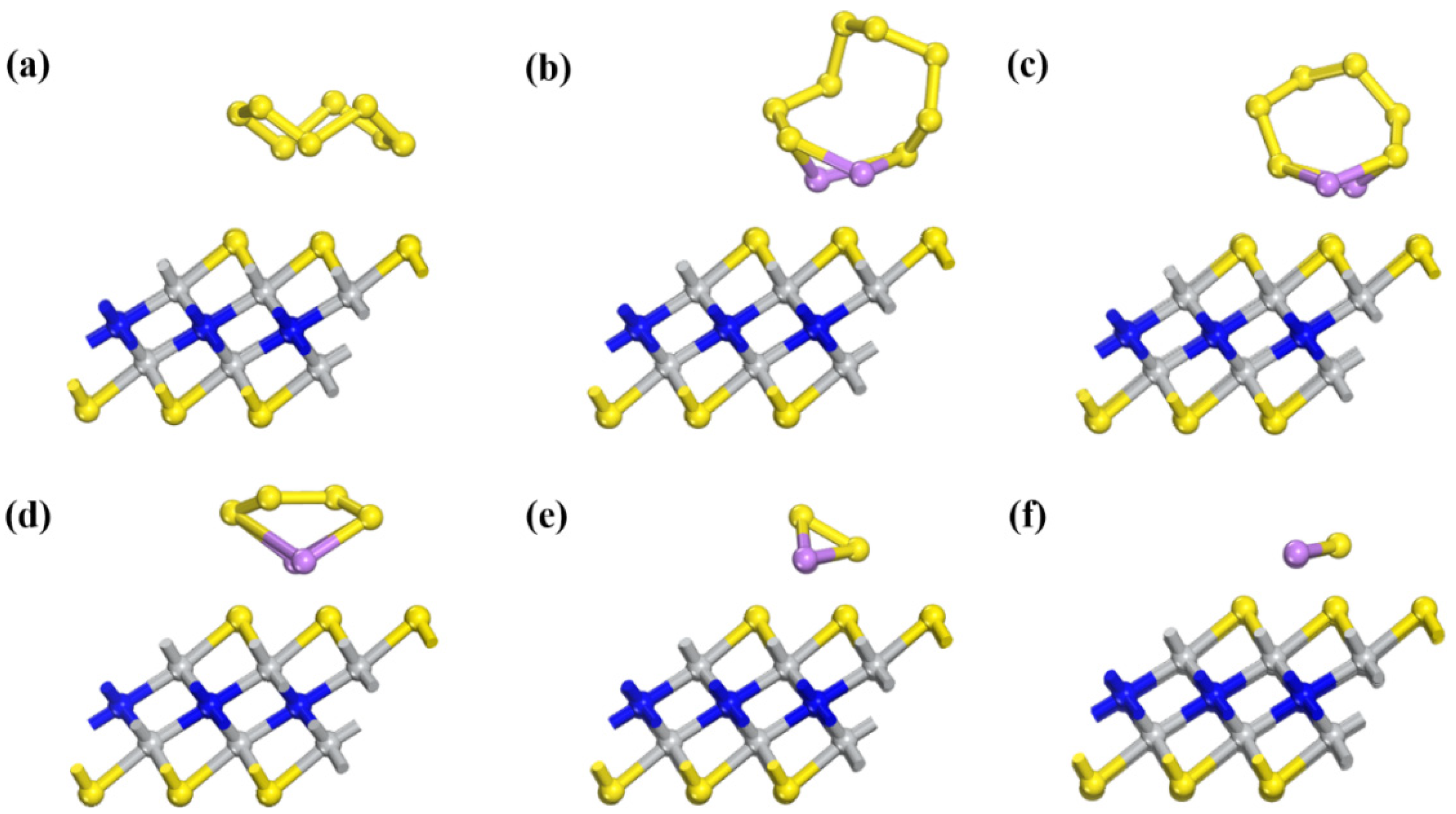
3.1. Structure and Adsorption Performance
3.2. Electronic Properties
4. Conclusions
Supplementary Materials
Author Contributions
Funding
Conflicts of Interest
References
- Hameer, S.; Niekerk, J.L.V. A review of large-scale electrical energy storage. Int. J. Energy Res. 2015, 39, 1179–1195. [Google Scholar] [CrossRef]
- Etacheri, V.; Marom, R.; Elazari, R.; Salitra, G.; Aurbach, D. Challenges in the development of advanced Li-ion batteries: A review. Energy Environ. Sci. 2011, 4, 3243–3262. [Google Scholar] [CrossRef]
- Seh, Z.W.; Sun, Y.M.; Zhang, Q.F.; Cui, Y. Designing high-energy lithium-sulfur batteries. Chem. Soc. Rev. 2016, 45, 5605–5634. [Google Scholar] [CrossRef] [PubMed]
- Liang, J.; Sun, Z.H.; Li, F.; Cheng, H.M. Carbon Materials for Li-S Batteries: Functional Evolution and Performance Improvement. Energy Storage Mater. 2016, 2, 76–106. [Google Scholar] [CrossRef]
- Yin, Y.X.; Xin, S.; Guo, Y.G.; Wan, L.J. Lithium-Sulfur Batteries: Electrochemistry, Materials, and Prospects. Angew. Chem. 2013, 52, 13186–13200. [Google Scholar] [CrossRef]
- Kang, W.M.; Deng, N.P.; Ju, J.G.; Li, Q.X.; Wu, D.Y.; Ma, X.M.; Li, L.; Naebe, M.; Cheng, B.W. A review of recent developments in rechargeable lithium-sulfur batteries. Nanoscale 2016, 8, 16541–16588. [Google Scholar] [CrossRef] [PubMed]
- Wong, H.L.; Ou, X.W.; Zhuang, M.H.; Liu, Z.J.; Hossain, M.D.; Cai, Y.T.; Liu, H.W.; Lee, H.B.; Wang, C.Z.; Luo, Z.T. Selenium Edge as a Selective Anchoring Site for Lithium-Sulfur Batteries with MoSe2/Graphene-Based Cathodes. ACS Appl. Mater. Int. 2019, 11, 19986–19993. [Google Scholar] [CrossRef]
- Yang, Y.; Zheng, G.Y.; Cui, Y. Nanostructured sulfur cathodes. Chem. Soc. Rev. 2013, 42, 3018–3032. [Google Scholar] [CrossRef]
- Li, T.; Cheng, H.; Zhang, W. A novel porous C4N4 monolayer as a potential anchoring material for lithium-sulfur battery design. J. Mater. Chem. A 2019, 7, 4134–4144. [Google Scholar] [CrossRef]
- Chen, X.; Hou, T.Z.; Persson, K.A.; Zhang, Q. Combining theory and experiment in lithium–sulfur batteries: Current progress and future perspectives. Mater. Today 2019, 22, 142–158. [Google Scholar] [CrossRef]
- Pang, Q.; Liang, X.; Kwok, C.Y.; Nazar, L.F. Advances in lithium-sulfur batteries based on multifunctional cathodes and electrolytes. Nat. Energy 2016, 1, 16132. [Google Scholar] [CrossRef]
- Li, C.X.; Xi, Z.C.; Guo, D.X.; Chen, X.J.; Yin, L.W. Chemical Immobilization Effect on Lithium Polysulfides for Lithium-Sulfur Batteries. Small 2017, 14, 1701986. [Google Scholar] [CrossRef] [PubMed]
- Hla, B.; Shuai, M.; Hca, B.; Hza, B. Ultra-thin Fe3C nanosheets promote the adsorption and conversion of polysulfides in lithium-sulfur batteries-ScienceDirect. Energy Storage Mater. 2019, 18, 338–348. [Google Scholar]
- Klein, M.J.; Veith, G.M.; Manthiram, A. Rational Design of Lithium-Sulfur Battery Cathodes Based on Experimentally Determined Maximum Active Material Thickness. J. Am. Chem. Soc. 2017, 139, 9229–9237. [Google Scholar] [CrossRef] [PubMed]
- Li, S.H.; Leng, D.; Li, W.Y.; Qie, L.; Dong, Z.H.; Cheng, Z.Q.; Fan, Z.Y. Recent Progress in Developing Li2S Cathodes for Li-S. Batteries. Energy Storage Mater. 2020, 27, 279–296. [Google Scholar] [CrossRef]
- Li, Z.; Wu, H.B.; Lou, X.W. Rational design and engineering of hollow micro-/nanostructures as sulfur hosts for advanced lithium-sulfur batteries. Energy Environ. Sci. 2016, 9, 3061–3070. [Google Scholar] [CrossRef] [Green Version]
- Li, S.H.; Fan, Z.Y. Encapsulation methods of sulfur particles for lithium-sulfur batteries: A review. Energy Storage Mater. 2021, 34, 107–127. [Google Scholar] [CrossRef]
- Ji, X.L.; Lee, K.T.; Nazar, L.F. A highly ordered nanostructured carbon-sulphur cathode for lithium-sulphur batteries. Nat. Mater. 2009, 8, 500–506. [Google Scholar] [CrossRef] [PubMed]
- Ma, S.B.; Wang, L.G.; Wang, Y.; Zuo, P.J.; He, M.X.; Zhang, H.; Ma, L.; Wu, T.P.; Yin, G.P. Palladium nanocrystals-imbedded mesoporous hollow carbon spheres with enhanced electrochemical kinetics for high performance lithium sulfur batteries. Carbon 2019, 143, 878–889. [Google Scholar] [CrossRef]
- Zhang, L.; Wu, B.; Li, Q.F.; Li, J.F. Molecular engineering lithium sulfur battery cathode based on small organic molecules: An ab-initio investigation. Appl. Surf. Sci. 2019, 484, 1184–1190. [Google Scholar] [CrossRef]
- Wang, X.; Zhang, Z.; Qu, Y.H.; Lai, Y.Q.; Li, J. Nitrogen-doped graphene/sulfur composite as cathode material forhigh capacity lithium-sulfur batteries. J. Power Sources 2014, 256, 361–368. [Google Scholar] [CrossRef]
- Hong, X.J.; Tang, X.Y.; Wei, Q.; Song, C.L.; Wang, S.Y.; Dong, R.F.; Cai, Y.P.; Si, L.P. Efficient Encapsulation of Small S2-4 Molecules in MOF-Derived Flowerlike Nitrogen-Doped Microporous Carbon Nanosheets for High-Performance Li-S. Batteries. ACS Appl. Mater. Inter. 2018, 10, 9435–9443. [Google Scholar] [CrossRef]
- Ji, L.W.; Rao, M.M.; Zheng, H.M.; Zhang, L.; Li, Y.C.; Duan, W.H.; Guo, J.H.; Cairns, E.J.; Zhang, Y.G. Graphene Oxide as a Sulfur Immobilizer in High Performance Lithium/Sulfur Cells. J. Am. Chem. Soc. 2017, 133, 18522–18525. [Google Scholar] [CrossRef]
- Zhang, Q.; Zhang, X.F.; Li, M.; Liu, J.Q.; Wu, Y.C. Sulfur-deficient MoS2-x promoted lithium polysulfides conversion in lithium-sulfur battery: A first-principles study. Appl. Surf. Sci. 2019, 487, 452–463. [Google Scholar] [CrossRef]
- Yan, L.J.; Luo, N.N.; Kong, W.B.; Luo, S.; Wu, H.C.; Jiang, K.L.; Li, Q.Q.; Fan, S.S.; Duan, W.H.; Wang, J.P. Enhanced performance of lithium-sulfur batteries with an ultrathin and lightweight MoS2/carbon nanotube interlayer. J. Power Sources 2018, 389, 169–177. [Google Scholar] [CrossRef]
- Yu, M.P.; Ma, J.S.; Song, H.Q.; Wang, A.J.; Tian, F.Y.; Wang, Y.S.; Qiu, H.; Wang, R.M. Atomic layer deposited TiO2 on nitrogen-doped graphene/sulfur electrode for high performance lithium-sulfur battery. Energy Environ. Sci. 2016, 9, 1495–1503. [Google Scholar] [CrossRef]
- Sun, J.; Sun, Y.M.; Pasta, M.; Zhou, G.M.; Li, Y.Z.; Liu, W.; Xiong, F.; Cui, Y. Entrapment of Polysulfides by a Black-Phosphorus-Modified Separator for Lithium-Sulfur Batteries. Adv. Mater. 2016, 28, 9797–9803. [Google Scholar] [CrossRef] [PubMed]
- Wu, S.; Hui, K.S.; Hui, K.N. 2D Black Phosphorus: From Preparation to Applications for Electrochemical Energy Storage. Adv. Sci. 2018, 5, 1700491. [Google Scholar] [CrossRef] [PubMed]
- Lu, L.; Chen, L.; Mukherjee, S.; Gao, J.; Sun, H.; Liu, Z.B.; Ma, X.L.; Gupta, T.; Singh, C.V.; Ren, W.C.; et al. Phosphorene as a Polysulfide Immobilizer and Catalyst in High-Performance Lithium-Sulfur Batteries. Adv. Mater. 2016, 29, 1602734. [Google Scholar]
- Karlsson, L.H.; Birch, J.; Halim, J.; Barsoum, M.W.; Persson, P.O.A. Atomically Resolved Structural and Chemical Investigation of Single MXene Sheets. Nano Lett. 2015, 15, 4955–4960. [Google Scholar] [CrossRef] [Green Version]
- Zhao, J.; Li, W.; Feng, Y.; Li, J.; Bai, G.; Xu, J. Sensing mechanism of hydrogen storage on Li, Na and K-decorated Ti2C. Appl. Phys. A 2020, 126, 945. [Google Scholar] [CrossRef]
- Xie, X.Q.; Zhao, M.Q.; Anasori, B.; Maleski, K.; Ren, C.E.; Li, J.W.; Byles, B.W.; Pomerantseva, E.; Wang, G.X.; Gogotsi, Y. Porous heterostructured MXene/carbon nanotube composite paper with high volumetric capacity for sodium-based energy storage devices. Nano Energy 2016, 26, 513–523. [Google Scholar] [CrossRef]
- Liang, X.; Garsuch, A.; Nazar, L.F. Sulfur Cathodes Based on Conductive MXene Nanosheets for High-Performance Lithiu-Sulfur Batteries. Angew. Chem. 2015, 54, 3907–3911. [Google Scholar] [CrossRef] [PubMed]
- Du, C.; Wu, J.; Yang, P.; Li, S.Y.; Xu, J.M.; Song, K.X. Embedding S@TiO2 nanospheres into MXene layers as high rate cyclability cathodes for lithium-sulfur batteries. Electrochim. Acta 2018, 295, 1067–1074. [Google Scholar] [CrossRef]
- Borysiuk, V.N.; Mochalin, V.N.; Gogotsi, Y. Molecular dynamic study of the mechanical properties of two-dimensional titanium carbides Tin+1Cn (MXenes). Nanotechnology 2015, 26, 265705. [Google Scholar] [CrossRef] [Green Version]
- Jimmy, J.; Kandasubramanian, B. MXene Functionalized Polymer Composites: Synthesis and Applications. Eur. Polym. J. 2019, 122, 109367. [Google Scholar] [CrossRef]
- Wang, D.S.; Li, F.; Lian, R.Q.; Xu, J.; Kan, D.X.; Liu, Y.H.; Chen, G.; Gogotsi, Y.; Wei, Y.J. A General Atomic Surface Modification Strategy for Improving Anchoring and Electrocatalysis Behavior of Ti3C2T2 MXene in Lithium-Sulfur Batteries. ACS Nano 2019, 13, 11078–11086. [Google Scholar] [CrossRef]
- Perdew, J.P.; Ernzerhof, M.; Burke, K. Rationale for mixing exact exchange with density functional approximations. J. Chem. Phys. 1996, 105, 9982–9985. [Google Scholar] [CrossRef]
- Zhao, Y.; Zhao, J. Functional group-dependent anchoring effect of titanium carbide-based MXenes for lithium-sulfur batteries: A computational study. Appl. Surf. Sci. 2017, 412, 591–598. [Google Scholar] [CrossRef]
- Zhang, Q.; Zhang, X.F.; Xiao, Y.H.; Li, C.; Tan, H.H.; Liu, J.Q.; Wu, Y.C. Theoretical Insights into the Favorable Functionalized Ti2C-Based MXenes for Lithium-Sulfur Batteries. ACS Omega 2020, 5, 29272–29283. [Google Scholar] [CrossRef]
- Yin, L.C.; Liang, J.; Zhou, G.M.; Li, F.; Saito, R.; Cheng, H.M. Understanding the interactions between lithium polysulfides and N-doped graphene using density functional theory calculations. Nano Energy 2016, 25, 203–210. [Google Scholar] [CrossRef]
- Shukla, V.; Jena, N.K.; Naqvi, S.R.; Luo, W.; Ahuja, R. Modelling High-performing Batteries with Mxenes: The case of S-functionalized two-Dimensional Nitride Mxene Electrode. Nano Energy 2019, 58, 877–885. [Google Scholar] [CrossRef]
- Song, J.J.; Su, D.W.; Xie, X.Q.; Guo, X.; Bao, W.Z.; Shao, G.J.; Wang, G.X. Immobilizing Polysulfides with MXene-Functionalized Separators for Stable Lithium-Sulfur Batteries. ACS Appl. Mater. Interfaces 2016, 8, 29427–29433. [Google Scholar] [CrossRef] [PubMed]









| Li2S | Li2S2 | Li2S4 | Li2S6 | Li2S8 | S8 | |
|---|---|---|---|---|---|---|
| Eads/eV | −3.42 | −2.36 | −1.31 | −0.90 | −0.95 | −0.57 |
| d/Å | 2.38 | 2.43 | 2.47 | 2.54 | 2.51 | 3.52 |
| Q/e | 0.38 | 0.34 | 0.22 | 0.13 | 0.15 | 0.13 |
Publisher’s Note: MDPI stays neutral with regard to jurisdictional claims in published maps and institutional affiliations. |
© 2021 by the authors. Licensee MDPI, Basel, Switzerland. This article is an open access article distributed under the terms and conditions of the Creative Commons Attribution (CC BY) license (https://creativecommons.org/licenses/by/4.0/).
Share and Cite
Yao, C.; Li, W.; Duan, K.; Zhu, C.; Li, J.; Ren, Q.; Bai, G. Properties of S-Functionalized Nitrogen-Based MXene (Ti2NS2) as a Hosting Material for Lithium-Sulfur Batteries. Nanomaterials 2021, 11, 2478. https://doi.org/10.3390/nano11102478
Yao C, Li W, Duan K, Zhu C, Li J, Ren Q, Bai G. Properties of S-Functionalized Nitrogen-Based MXene (Ti2NS2) as a Hosting Material for Lithium-Sulfur Batteries. Nanomaterials. 2021; 11(10):2478. https://doi.org/10.3390/nano11102478
Chicago/Turabian StyleYao, Chenghao, Wei Li, Kang Duan, Chen Zhu, Jinze Li, Qingyin Ren, and Gang Bai. 2021. "Properties of S-Functionalized Nitrogen-Based MXene (Ti2NS2) as a Hosting Material for Lithium-Sulfur Batteries" Nanomaterials 11, no. 10: 2478. https://doi.org/10.3390/nano11102478
APA StyleYao, C., Li, W., Duan, K., Zhu, C., Li, J., Ren, Q., & Bai, G. (2021). Properties of S-Functionalized Nitrogen-Based MXene (Ti2NS2) as a Hosting Material for Lithium-Sulfur Batteries. Nanomaterials, 11(10), 2478. https://doi.org/10.3390/nano11102478
