Construction and Mechanism Analysis of a Self-Assembled Conductive Network in DGEBA/PEI/HRGO Nanocomposites by Controlling Filler Selective Localization
Abstract
1. Introduction
2. Experimental Section
2.1. Materials
2.2. Synthesis of Highly Reduced Graphene Oxide (HRGO)
2.3. Preparation of DGEBA/PEI/HRGO Composites
2.4. Measurement and Characterization
3. Results and Discussion
3.1. Physical and Morphological Properties of HRGO
3.2. Morphology of DGEBA/PEI/HRGO as Observed by Optical Microcopy(OM) Measurement
3.3. Field Emission Transmission Electron Microscopy (FETEM) Analyses
3.4. Electrical Properties of Nanocomposites
3.5. Prediction for Selective Localization of HRGO
3.6. Mechanism of HRGO Localization
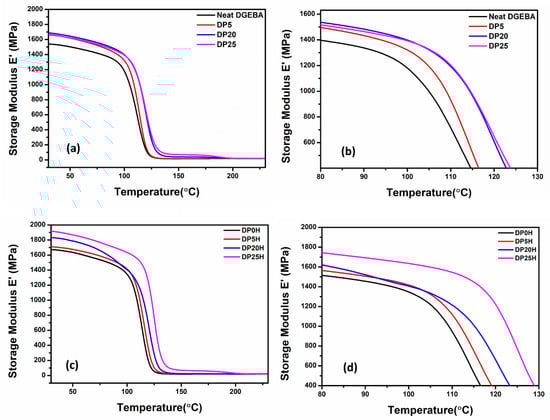
3.7. Dynamic Mechanical Analyses (DMA)
4. Conclusions
Supplementary Materials
Author Contributions
Funding
Data Availability Statement
Conflicts of Interest
References
- Shi, X.; Nguyen, T.A.; Suo, Z.; Liu, Y.; Avci, R. Effect of Nanoparticles on the Anticorrosion and Mechanical Properties of Epoxy Coating. Surf. Coat. Technol. 2009, 204, 237–245. [Google Scholar] [CrossRef]
- Yang, X.; Zhang, Y.; Chen, Z.; Yang, Y.; Jing, H.; Sun, Z.; Wang, H. Preparation of Epoxypropyl Functionalized Graphene Oxide and Its Anticorrosion Properties Complexed with Epoxy Resin. Korean J. Chem. Eng. 2020, 37, 2340–2350. [Google Scholar] [CrossRef]
- Aliakbari, M.; Jazani, O.M.; Sohrabian, M.; Jouyandeh, M.; Saeb, M.R. Multi-Nationality Epoxy Adhesives on Trial for Future Nanocomposite Developments. Prog. Org. Coat. 2019, 133, 376–386. [Google Scholar] [CrossRef]
- Williams, J.C.; Starke, E.A., Jr. Progress in Structural Materials for Aerospace Systems. Acta Mater. 2003, 51, 5775–5799. [Google Scholar] [CrossRef]
- Johnson, R.; Evans, J.; Jacobsen, P.; Thompson, J.; Christopher, M. The Changing Automotive Environment: High-Temperature Electronics. IEEE Trans. Electron. Packag. Manuf. 2004, 27, 164–176. [Google Scholar] [CrossRef]
- Liang, J.; Wang, Y.; Huang, Y.; Ma, Y.; Liu, Z.; Cai, J.; Zhang, C.; Gao, H.; Chen, Y. Electromagnetic Interference Shielding of Graphene/Epoxy Composites. Carbon 2009, 47, 922–925. [Google Scholar] [CrossRef]
- Jin, F.-L.; Li, X.; Park, S.-J. Synthesis and Application of Epoxy Resins: A Review. J. Ind. Eng. Chem. 2015, 29, 1–11. [Google Scholar] [CrossRef]
- Wetzel, B.; Rosso, P.; Haupert, F.; Friedrich, K. Epoxy Nanocomposites—Fracture and Toughening Mechanisms. Eng. Fract. Mech. 2006, 73, 2375–2398. [Google Scholar] [CrossRef]
- Pearson, R.A.; Yee, A.F. Toughening Mechanisms in Thermoplastic-Modified Epoxies: 1. Modification Using Poly (Phenylene Oxide). Polymer 1993, 34, 3658–3670. [Google Scholar] [CrossRef]
- Kunz, S.; Sayre, J.; Assink, R. Morphology and Toughness Characterization of Epoxy Resins Modified with Amine and Carboxyl Terminated Rubbers. Polymer 1982, 23, 1897–1906. [Google Scholar] [CrossRef]
- Chruściel, J.J.; Leśniak, E. Modification of Epoxy Resins with Functional Silanes, Polysiloxanes, Silsesquioxanes, Silica and Silicates. Prog. Polym. Sci. 2015, 41, 67–121. [Google Scholar] [CrossRef]
- Guan, L.-Z.; Gong, L.-X.; Tang, L.-C.; Wu, L.-B.; Jiang, J.-X.; Lai, G.-Q. Mechanical Properties and Fracture Behaviors of Epoxy Composites with Phase-Separation Formed Liquid Rubber and Preformed Powdered Rubber Nanoparticles: A Comparative Study. Polym. Compos. 2015, 36, 785–799. [Google Scholar] [CrossRef]
- Sharma, S.; Singh, B.P.; Chauhan, S.S.; Jyoti, J.; Arya, A.K.; Dhakate, S.R.; Kumar, V.; Yokozeki, T. Enhanced Thermo-Mechanical and Electrical Properties of Multiwalled Carbon Nanotube Paper Reinforced Epoxy Laminar Composites. Composites Part A: Appl. Sci. Manuf. 2018, 104, 129–138. [Google Scholar] [CrossRef]
- Pathak, A.K.; Kumar, V.; Sharma, S.; Yokozeki, T.; Dhakate, S.R. Improved Thermomechanical and Electrical Properties of Reduced Graphene Oxide Reinforced Polyaniline—Dodecylbenzene-Sulfonic Acid/Divinylbenzene Nanocomposites. J. Colloid Interface Sci. 2019, 533, 548–560. [Google Scholar] [CrossRef] [PubMed]
- Aïssa, B.; Sinopoli, A.; Ali, A.; Zakaria, Y.; Zekri, A.; Helal, M.; Nedil, M.; Rosei, F.; Mansour, S.; Mahmoud, K. Nanoelectromagnetic of a Highly Conductive 2D Transition Metal Carbide (MXene)/Graphene Nanoplatelets Composite in the EHF M-Band Frequency. Carbon 2021, 173, 528–539. [Google Scholar] [CrossRef]
- Gaddam, S.K.; Pothu, R.; Boddula, R. Graphitic Carbon Nitride (g-C3N4) Reinforced Polymer Nanocomposite Systems—A Review. Polym. Compos. 2020, 41, 430–442. [Google Scholar] [CrossRef]
- Gioti, S.; Stavropoulos, S.; Sanida, A.; Psarras, G. A Comparative Study on the Thermomechanical and Electrical Properties of Carbide/or Graphite/Epoxy-Reinforced Composites. J. Therm. Anal. Calorim. 2020, 142, 1649–1657. [Google Scholar] [CrossRef]
- Sharma, S.; Rawal, J.; Dhakate, S.R.; Singh, B.P. Synergistic Bridging Effects of Graphene Oxide and Carbon Nanotube on Mechanical Properties of Aramid Fiber Reinforced Pol-Ycarbonate Composite Tape. Compos. Sci. Technol. 2020, 199, 108370. [Google Scholar] [CrossRef]
- Yao, S.-S.; Ma, C.-L.; Jin, F.-L.; Park, S.-J. Fracture Toughness Enhancement of Epoxy Resin Reinforced with Graphene Nanoplatelets and Carbon Nanotubes. Korean, J. Chem. Eng. 2020, 37, 2075–2083. [Google Scholar] [CrossRef]
- Li, C.; Thostenson, E.T.; Chou, T.-W. Dominant Role of Tunneling Resistance in the Electrical Conductivity of Carbon Nanotube–Based Composites. Appl. Phys. Lett. 2007, 91, 223114. [Google Scholar] [CrossRef]
- Wang, Y.; Wu, J.; Wei, F. A Treatment Method to Give Separated Multi-Walled Carbon Nanotubes with High Purity, High Crystallization and a Large Aspect Ratio. Carbon 2003, 41, 2939–2948. [Google Scholar] [CrossRef]
- Jiang, Y.; Liu, Y.; Min, P.; Sui, G. BN@PPS Core-Shell Structure Particles and Their 3d Segregated Architecture Composites with High Thermal Conductivities. Compos. Sci. Technol. 2017, 144, 63–69. [Google Scholar] [CrossRef]
- Cui, C.-H.; Pang, H.; Bao, Y.; Jiang, X.; Yan, D.-X.; Jia, L.-C.; Li, Z.-M. Towards Efficient Electromagnetic Interference Shielding Performance for Polyethylene Composites by Structuring Segregated Carbon Black/Graphite Networks. Chin. J. Polym. Sci. 2016, 34, 1490–1499. [Google Scholar] [CrossRef]
- Wu, K.; Lei, C.; Huang, R.; Yang, W.; Chai, S.; Geng, C.; Chen, F.; Fu, Q. Design and Preparation of a Unique Segregated Double Network with Excellent Thermal Conductive Property. ACS Appl. Mater. Interfaces 2017, 9, 7637–7647. [Google Scholar] [CrossRef] [PubMed]
- Sharma, S.; Kumar, V.; Pathak, A.K.; Yokozeki, T.; Yadav, S.K.; Singh, V.N.; Dhakate, S.R.; Singh, B.P. Design of MWCNT Bucky Paper Reinforced PANI–DBSA–DVB Composites with Superior Electrical and Mechanical Properties. J. Mater. Chem. C 2018, 6, 12396–12406. [Google Scholar] [CrossRef]
- Zhang, F.; Feng, Y.; Qin, M.; Gao, L.; Li, Z.; Zhao, F.; Zhang, Z.; Lv, F.; Feng, W. Stress Controllability in Thermal and Electrical Conductivity of 3D Elastic Graphene-Crosslinked Carbon Nanotube Sponge/Polyimide Nanocomposite. Adv. Funct. Mater. 2019, 29, 1901383. [Google Scholar] [CrossRef]
- Zhong, J.; Zhou, G.-X.; He, P.; Yang, Z.; Jia, D. 3D Printing Strong and Conductive Geo-Polymer Nanocomposite Structures Modified by Graphene Oxide. Carbon 2017, 117, 421–426. [Google Scholar] [CrossRef]
- Huang, J.; Mao, C.; Zhu, Y.; Jiang, W.; Yang, X. Control of Carbon Nanotubes at the Interface of a Co-continuous Immiscible Polymer Blend to Fabricate Conductive Composites with Ultralow Percolation Thresholds. Carbon 2014, 73, 267–274. [Google Scholar] [CrossRef]
- Mao, C.; Zhu, Y.; Jiang, W. Design of Electrical Conductive Composites: Tuning the Morphology to Improve the Electrical Properties of Graphene Filled Immiscible Polymer Blends. ACS Appl. Mater. Interfaces 2012, 4, 5281–5286. [Google Scholar] [CrossRef]
- Chen, J.; Cui, X.; Zhu, Y.; Jiang, W.; Sui, K. Design of Superior Conductive Polymer Composite with Precisely Controlling Carbon Nanotubes at the Interface of a Co-Continuous Polymer Blend via a Balance of π-π Interactions and Dipole-Dipole Interactions. Carbon 2017, 114, 441–448. [Google Scholar] [CrossRef]
- Sumita, M.; Sakata, K.; Hayakawa, Y.; Asai, S.; Miyasaka, K.; Tanemura, M. Double Percolation Effect on the Electrical Conductivity of Conductive Particles Filled Polymer Blends. Colloid Polym. Sci. 1992, 270, 134–139. [Google Scholar] [CrossRef]
- Monti, M.; Rallini, M.; Puglia, D.; Peponi, L.; Torre, L.; Kenny, J.M. Morphology and Electrical Properties of Graphene–Epoxy Nanocomposites Obtained by Different Solvent Assisted Processing Methods. Compos. Part A Appl. Sci. Manuf. 2013, 46, 166–172. [Google Scholar] [CrossRef]
- Nasti, G.; Gentile, G.; Cerruti, P.; Carfagna, C.; Ambrogi, V. Double Percolation of Multiwalled Carbon Nanotubes in Polystyrene/Polylactic Acid Blends. Polymer 2016, 99, 193–203. [Google Scholar] [CrossRef]
- Thongruang, W.; Spontak, R.J.; Balik, C. Bridged Double Percolation in Conductive Polymer Composites: An Electrical Conductivity, Morphology and Mechanical Property Study. Polymer 2002, 43, 3717–3725. [Google Scholar] [CrossRef]
- Rabek, J.F. Experimental Methods in Polymer Chemistry. J. Polym. Sci. Polym. Lett. Ed. 1980, 34–35. [Google Scholar] [CrossRef]
- Zhang, H.; Heng, Z.; Zhou, J.; Shi, Y.; Chen, Y.; Zou, H.; Liang, M. In-Situ Co-continuous Conductive Network Induced by Carbon Nanotubes in Epoxy Composites with Enhanced Electromagnetic Interference Shielding Performance. Chem. Eng. J. 2020, 398, 125559. [Google Scholar] [CrossRef]
- Salzano de Luna, M.; Filippone, G. Effects of Nanoparticles on the Morphology of Immiscible Polymer Blends—Challenges and Opportunities. Eur. Polym. J. 2016, 79, 198–218. [Google Scholar] [CrossRef]
- Macosko, C.W. Morphology Development and Control in Immiscible Polymer Blends. Macromol. Symp. 2000, 149, 171–184. [Google Scholar] [CrossRef]
- Chen, J.; Du, X.-C.; Zhang, Z.; Yang, J.; Zhang, N.; Huang, T.; Wang, Y. Synergistic Effect of Carbon Nanotubes and Carbon Black on Electrical Conductivity of PA6/ABS Blend. Compos. Sci. Technol. 2013, 81, 1–8. [Google Scholar] [CrossRef]
- Chen, J.; Shi, Y.-Y.; Yang, J.; Zhang, N.; Huang, T.; Chen, C.; Wang, Y.; Zhou, Z. A Simple Strategy to Achieve Very Low Percolation Threshold via the Selective Distribution of Carbon Nanotubes at the Interface of Polymer Blends. J. Mater. Chem. 2012, 22, 22398–22404. [Google Scholar] [CrossRef]
- Deng, H.; Lin, L.; Ji, M.; Zhang, S.; Yang, M.; Fu, Q. Progress on the Morphological Control of Conductive Network in Conductive Polymer Composites and the Use as Electroactive Multifunctional Materials. Prog. Polym. Sci. 2014, 39, 627–655. [Google Scholar] [CrossRef]
- Dang, T.T.; Pham, V.H.; Hur, S.H.; Kim, E.J.; Kong, B.-S.; Chung, J.S. Superior Dispersion of Highly Reduced Graphene Oxide in N,N-Dimethylformamide. J. Colloid Interface Sci. 2012, 376, 91–96. [Google Scholar] [CrossRef] [PubMed]
- Tuinstra, F.; Koenig, J.L. Raman Spectrum of Graphite. J. Chem. Phys. 1970, 53, 1126–1130. [Google Scholar] [CrossRef]
- Stankovich, S.; Piner, R.D.; Nguyen, S.T.; Ruoff, R.S. Synthesis and Exfoliation of Isocyanate-Treated Graphene Oxide Nanoplatelets. Carbon 2006, 44, 3342–3347. [Google Scholar] [CrossRef]
- Cui, P.; Lee, J.; Hwang, E.; Lee, H. One-Pot Reduction of Graphene Oxide at Subzero Temperatures. Chem. Commun. 2011, 47, 12370–12372. [Google Scholar] [CrossRef]
- Wang, Y.; Shi, Z.; Yin, J. Facile Synthesis of Soluble Graphene via a Green Reduction of Graphene Oxide in Tea Solution and Its Biocomposites. ACS Appl. Mater. Interfaces 2011, 3, 1127–1133. [Google Scholar] [CrossRef]
- Li, W.; Xia, Z.; Li, A.; Ling, Y.; Wang, B.; Gan, W. Effect of SiO₂ Nanoparticles on the Reaction-Induced Phase Separation in Dynamically Asymmetric Epoxy /PEI Blends. RSC Advances 2015, 5, 8471–8478. [Google Scholar] [CrossRef]
- Xia, Z.; Li, W.W.; Ding, J.; Li, A.; Gan, W. Effect of PS-b-PCL Block Copolymer on Reaction-Induced Phase Separation in Epoxy/PEI Blend. J. Polym. Sci. Part B Polym. Phys. 2014, 52, 1395–1402. [Google Scholar] [CrossRef]
- Araki, T.; Tanaka, H. Three-Dimensional Numerical Simulations of Viscoelastic Phase Separation: Morphological Characteristics. Macromolecules 2001, 34, 1953–1963. [Google Scholar] [CrossRef]
- Wan, H.-M.; Ma, C.-G.; Xi, D.-Y.; Pan, Y.-L.; Shi, Q.; Tao, P.-Y. Effect of Carbon-based Nanofillers on Electrical Properties of Epoxy/Polyetherimide Composites. In Advanced Material Science and Engineering (AMSE2016); World Scientific Pub Co Pte Lt.: Singapore, 2016; pp. 19–24. [Google Scholar]
- Ma, C.G.; Xi, D.Y.; Liu, M. Epoxy Resin/Polyetherimide/Carbon Black Conductive Polymer Composites with a Double Percolation Structure by Reac-Tion-Induced Phase Separation. J. Compos. Mater. 2012, 47, 1153–1160. [Google Scholar] [CrossRef]
- Wang, X.; Li, W.; Zhang, Z.; Chen, K.; Gan, W. Selective Localization of Multi-Walled Carbon Nanotubes in Epoxy/Polyetherimide System and Properties of the Conductive Composites. J. Appl. Polym. Sci. 2019, 136, 47911. [Google Scholar] [CrossRef]
- Liu, Y.; Yang, X.; Yue, L.; Li, W.W.; Gan, W.; Chen, K. Selective Dispersion of Silver Nanowires in Epoxy/Polyetherimide Binary Composites with Enhanced Electrical Conductivity: A Study of Curing Kinetics and Morphology. Polym. Compos. 2019, 40, 4390–4401. [Google Scholar] [CrossRef]
- Guo, L.; Xiao, C.; Wang, H.; Chen, L.; Zhang, X.; Zheng, K.; Tian, X. Thermally Conductive Polystyrene/Epoxy Nano-Composites Fabricated by Selective Localization of Hybrid Fillers. Colloid Polym. Sci. 2016, 294, 901–910. [Google Scholar] [CrossRef]
- White, K.L.; Sue, H.J. Electrical Conductivity and Fracture Behavior of Epoxy/Polyamide-12/Multiwalled Carbon Nano-Tube Composites. Polym. Eng. Sci. 2011, 51, 2245–2253. [Google Scholar] [CrossRef]
- Van Oss, C.; Good, R.; Chaudhury, M. The Role of Van Der Waals Forces and Hydrogen Bonds in “Hydrophobic Interactions” between Biopolymers and Low Energy Surfaces. J. Colloid Interface Sci. 1986, 111, 378–390. [Google Scholar] [CrossRef]
- Li, Z.; Giese, R.; Van Oss, C.; Yvon, J.; Cases, J. The Surface Thermodynamic Properties of Talc Treated with Octadecyl-Amine. J. Colloid Interface Sci. 1993, 156, 279–284. [Google Scholar] [CrossRef]
- Göldel, A.; Marmur, A.; Kasaliwal, G.R.; Pötschke, P.; Heinrich, G. Shape-Dependent Localization of Carbon Nanotubes and Carbon Black in an Immiscible Polymer Blend during Melt Mixing. Macromolecules 2011, 44, 6094–6102. [Google Scholar] [CrossRef]
- Li, Y.; Wang, S.; Zhang, Y.; Zhang, Y. Carbon Black-Filled Immiscible Polypropylene/Epoxy Blends. J. Appl. Polym. Sci. 2006, 99, 461–471. [Google Scholar] [CrossRef]
- Wu, G.; Asai, S.; Sumita, M.; Yui, H. Entropy Penalty-Induced Self-Assembly in Carbon Black or Carbon Fiber Filled Polymer Blends. Macromolecules 2002, 35, 945–951. [Google Scholar] [CrossRef]
- Gubbels, F.; Jerome, R.; Vanlathem, E.; Deltour, R.; Blacher, S.; Brouers, F. Kinetic and Thermodynamic Control of the Selective Localization of Carbon Black at the Interface of Immiscible Polymer Blends. Chem. Mater. 1998, 10, 1227–1235. [Google Scholar] [CrossRef]
- Sumita, M.; Sakata, K.; Asai, S.; Miyasaka, K.; Nakagawa, H. Dispersion of Fillers and the Electrical Conductivity of Polymer Blends Filled with Carbon Black. Polym. Bull. 1991, 25, 265–271. [Google Scholar] [CrossRef]
- Huang, J.; Zhu, Y.; Xu, L.; Chen, J.; Jiang, W.; Nie, X. Massive Enhancement in the Thermal Conductivity of Polymer Composites by Trapping Graphene at the Interface of a Polymer Blend. Compos. Sci. Technol. 2016, 129, 160–165. [Google Scholar] [CrossRef]
- Liu, C.-M.; Ma, F.-F.; Zhang, Z.-X.; Yang, J.; Wang, Y.; Zhou, Z. Selective Localization of Organic Montmorillonite in Poly (L-Lactide)/Poly (Ethylene Vinyl Acetate) Blends and the Resultant Properties. Compos. Part B Eng. 2017, 123, 1–9. [Google Scholar] [CrossRef]
- Wu, S. Surface Tension and Polarity of Solid Polymers. In Polymer Interface and Adhesion; Informa UK Limited: London, UK, 2017; pp. 169–214. [Google Scholar]
- Mimura, K.; Ito, H.; Fujioka, H. Improvement of Thermal and Mechanical Properties by Control of Morphologies in PES-Modified Epoxy Resins. Polymer 2000, 41, 4451–4459. [Google Scholar] [CrossRef]
- Yamanaka, K.; Inoue, T. Structure Development in Epoxy Resin Modified with Poly (Ether Sulphone). Polymer 1989, 30, 662–667. [Google Scholar] [CrossRef]
- Krause, B.; Pötschke, P.; Häußler, L. Influence of Small Scale Melt Mixing Conditions on Electrical Resistivity of Carbon Nanotube-Polyamide Composites. Compos. Sci. Technol. 2009, 69, 1505–1515. [Google Scholar] [CrossRef]
- Jin, X.; Li, W.; Liu, Y.; Gan, W. Self-Constructing Thermal Conductive Filler Network via Reaction-Induced Phase Separation in BNNSs/Epoxy/Polyetherimide Composites. Compos. Part A Appl. Sci. Manuf. 2020, 130, 105727. [Google Scholar] [CrossRef]








| Materials | Volume Resistivity (Ω cm) | Volume Conductivity (S/m) |
|---|---|---|
| Neat DGEBA | 3.67 × 1017 | 2.67 × 10−16 |
| DP0H | 54.60 | 1.83 |
| DP5H | 31.06 | 3.22 |
| DP10H | 28.23 | 3.54 |
| DP15H | 26.41 | 3.78 |
| DP20H | 24.11 | 4.15 |
| DP25H | 20.09 | 4.98 |
| DP30H | 17.02 | 5.88 |
| Samples | Polymer A | Polymer B | Filler Loading (wt. %) | Volume Resistivity (Ω cm) | Volume Conductivity (S/m) | [Ref] |
|---|---|---|---|---|---|---|
| EP/35PEI/GnPs | DGEBA | PEI | 2 | ≈107 | ≈10−5 | [50] |
| EP/PES/MWCNT | DGEBA | PES | 4.8 | — | 10−1 | [36] |
| EP/PEI/CB | DGEBA | PEI | 1 | ≈103 | — | [51] |
| DGEBA/PEI/MWCNTs | DGEBA | PEI | 2 | 3.86 × 106 | — | [52] |
| DGEBA/PEI/AgNWs | DGEBA | PEI | 3 | 9.6 × 105 Ω (surface resistivity) | — | [53] |
| EP/AIN/MWCNTs | DGEBA | AIN | 6 | — | 10−10 | [54] |
| EP/PA/MWCNT | DGEBA | PA | 1 | — | 10−3 | [55] |
| DGEBA/PEI/HRGO | DGEBA | PEI | 0.5 | 1.7 × 101 | 5.88 | This work |
| Liquid | γL (mJ/m2) | γLLW(γLd) (mJ/m2) | γLAB(γLP) (mJ/m2) | Contact Angle (θ) | ||
|---|---|---|---|---|---|---|
| DGEBA | PEI | HRGO | ||||
| Deionized water (DI) | 72.8 | 21.8 | 51 | 88.4 | 84.2 | 80.5 |
| Glycerol (GL) | 64.0 | 34.0 | 30 | 84.3 | 75.0 | 55.0 |
| Formamide (FA) | 58.0 | 39.0 | 0 | 54.1 | 58.8 | 27.1 |
| Materials | γ (mJ/m2) | γd (mJ/m2) | γP (mJ/m2) |
|---|---|---|---|
| DGEBA | 103.79 | 92.44 | 11.35 |
| PEI | 131.68 | 126.62 | 5.06 |
| HRGO | 93.99 | 93.67 | 0.32 |
| Nanocomposites | Phase A | Phase B | Component Pair | γpair (mN/m) | ωa | Predicted Localization of HRGO |
|---|---|---|---|---|---|---|
| DGEBA/PEI/HRGO | DGEBA | PEI | DGEBA/PEI | 7.74 | ||
| DGEBA/HRGO | 10.42 | −1 < 0.171 < 1 | Interphase | |||
| PEI/HRGO | 9.10 |
| Materials | Storage Modulus E’ (MPa) | Rubbery Modulus (MPa) | Glass Transition Temperature (°C) | |
|---|---|---|---|---|
| Tg1 | Tg2 | |||
| Neat DGEBA | 1536 | 14.2 | 123.1 | |
| DP5 | 1664 | 16.1 | 123.4 | 202.8 |
| DP20 | 1687 | 38.8 | 128.8 | 194.1 |
| DP25 | 1660 | 68.0 | 133.8 | 192.0 |
| DP0H | 1673 | 20.1 | 123.3 | |
| DP5H | 1709 | 22.4 | 125.6 | 196.5 |
| DP20H | 1831 | 23.5 | 129.7 | 184.7 |
| DP25H | 1915 | 64.8 | 131.6 | 198.2 |
Publisher’s Note: MDPI stays neutral with regard to jurisdictional claims in published maps and institutional affiliations. |
© 2021 by the authors. Licensee MDPI, Basel, Switzerland. This article is an open access article distributed under the terms and conditions of the Creative Commons Attribution (CC BY) license (http://creativecommons.org/licenses/by/4.0/).
Share and Cite
Meng, Y.; Sharma, S.; Gan, W.; Hur, S.H.; Choi, W.M.; Chung, J.S. Construction and Mechanism Analysis of a Self-Assembled Conductive Network in DGEBA/PEI/HRGO Nanocomposites by Controlling Filler Selective Localization. Nanomaterials 2021, 11, 228. https://doi.org/10.3390/nano11010228
Meng Y, Sharma S, Gan W, Hur SH, Choi WM, Chung JS. Construction and Mechanism Analysis of a Self-Assembled Conductive Network in DGEBA/PEI/HRGO Nanocomposites by Controlling Filler Selective Localization. Nanomaterials. 2021; 11(1):228. https://doi.org/10.3390/nano11010228
Chicago/Turabian StyleMeng, Yiming, Sushant Sharma, Wenjun Gan, Seung Hyun Hur, Won Mook Choi, and Jin Suk Chung. 2021. "Construction and Mechanism Analysis of a Self-Assembled Conductive Network in DGEBA/PEI/HRGO Nanocomposites by Controlling Filler Selective Localization" Nanomaterials 11, no. 1: 228. https://doi.org/10.3390/nano11010228
APA StyleMeng, Y., Sharma, S., Gan, W., Hur, S. H., Choi, W. M., & Chung, J. S. (2021). Construction and Mechanism Analysis of a Self-Assembled Conductive Network in DGEBA/PEI/HRGO Nanocomposites by Controlling Filler Selective Localization. Nanomaterials, 11(1), 228. https://doi.org/10.3390/nano11010228

