The External Electric Field-Induced Tunability of the Schottky Barrier Height in Graphene/AlN Interface: A Study by First-Principles
Abstract
1. Introduction
2. Computation Method
3. Results and Discussion
3.1. Structural Properties
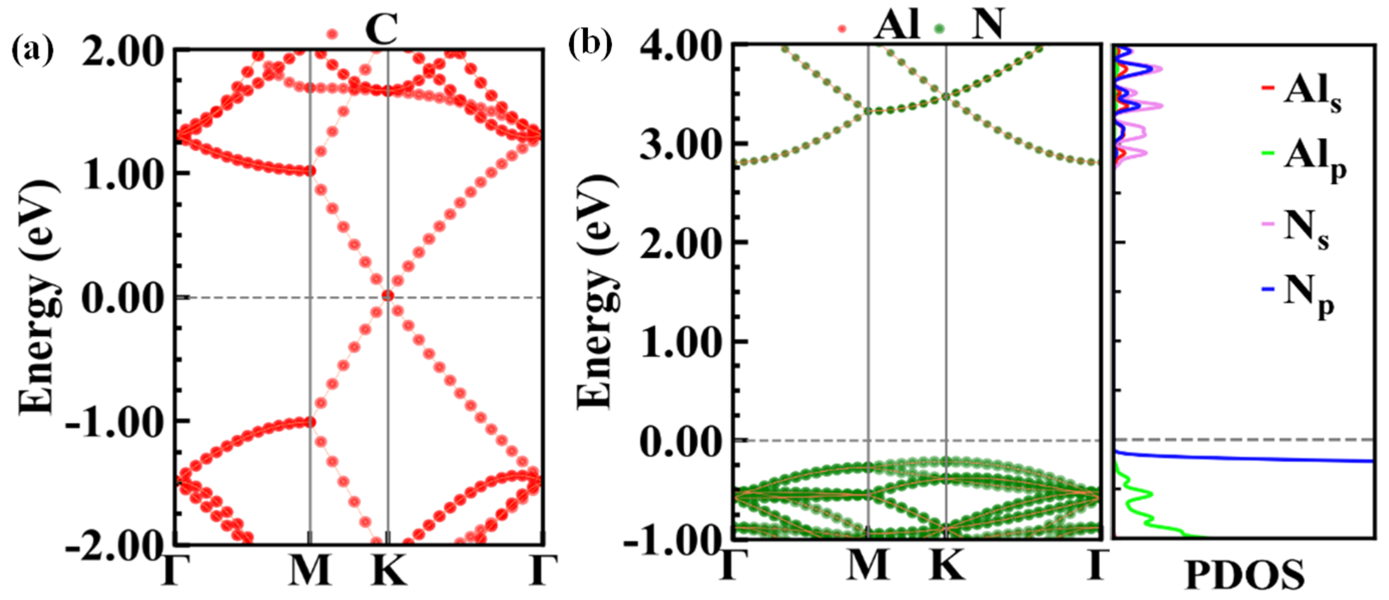
3.2. Electronic Properties
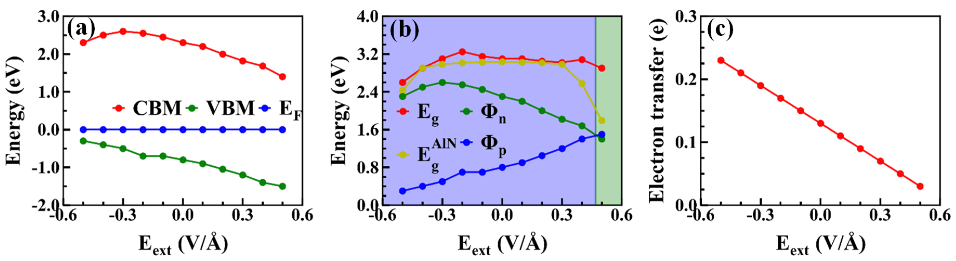
3.3. Tunability of SBH under the External Electric Field
3.4. The Optical Properties
4. Conclusions
Author Contributions
Funding
Conflicts of Interest
References
- Novoselov, K.S.; Geim, A.K.; Morozov, S.V.; Jiang, D.; Zhang, Y.; Dubonos, S.V.; Grigorieva, I.V.; Firsov, A.A. Electric field effect in atomically thin carbon films. Science 2004, 306, 666–669. [Google Scholar] [CrossRef] [PubMed]
- Novoselov, K.S.; Geim, A.K.; Morozov, S.V.; Jiang, D.; Katsnelson, M.I.; Grigorieva, I.V.; Dubonos, S.V.; Firsov, A.A. Two-dimensional gas of massless dirac fermions in graphene. Nature 2005, 438, 197–200. [Google Scholar] [CrossRef] [PubMed]
- Wang, Q.H.; Kalantar-Zadeh, K.; Kis, A.; Coleman, J.N.; Strano, M.S. Electronics and optoelectronics of two-dimensional transition metal dichalcogenides. Nat. Nanotechnol. 2012, 7, 699–712. [Google Scholar] [CrossRef] [PubMed]
- Duan, X.; Wang, C.; Pan, A.; Yu, R.; Duan, X. Two-dimensional transition metal dichalcogenides as atomically thin semiconductors: Opportunities and challenges. Chem. Soc. Rev. 2015, 44, 8859–8876. [Google Scholar] [CrossRef]
- Choi, W.; Choudhary, N.; Han, G.H.; Park, J.; Akinwande, D.; Lee, Y.H. Recent development of two-dimensional transition metal dichalcogenides and their applications. Mater. Today 2017, 20, 116–130. [Google Scholar] [CrossRef]
- Qian, Q.; Zhang, Z.; Chen, K.J. In situ resonant raman spectroscopy to monitor the surface functionalization of Mos2 and Wse2 for High-K integration: A first-principles study. Langmuir 2018, 34, 2882–2889. [Google Scholar] [CrossRef]
- Liu, H.; Neal, A.T.; Zhu, Z.; Luo, Z.; Xu, X.F.; Tomanek, D.; Ye, P.D. Phosphorene: An unexplored 2D semiconductor with a high hole mobility. ACS Appl. Nano Mater. 2014, 8, 4033–4041. [Google Scholar] [CrossRef]
- Carvalho, A.; Wang, M.; Zhu, X.; Rodin, A.S.; Su, H.; Castro Neto, A.H. Phosphorene: From theory to applications. Nat. Rev. Mater. 2016, 1, 16061. [Google Scholar] [CrossRef]
- Naseri, A.; Samadi, M.; Pourjavadi, A.; Moshfegh, A.Z.; Ramakrishna, S. Graphitic carbon nitride (G-C3n4)-based photocatalysts for solar hydrogen generation: Recent advances and future development directions. J. Mater. Chem. A 2017, 5, 23406–23433. [Google Scholar] [CrossRef]
- Ong, W.-J.; Tan, L.-L.; Ng, Y.H.; Yong, S.-T.; Chai, S.-P. Graphitic carbon nitride (G-C3n4)-based photocatalysts for artificial photosynthesis and environmental remediation: Are we a step closer to achieving sustainability? Chem. Rev. 2016, 116, 7159–7329. [Google Scholar] [CrossRef]
- Niu, H.; Wang, X.; Shao, C.; Liu, Y.; Zhang, Z.; Guo, Y. Revealing the oxygen reduction reaction activity origin of single atoms supported on G-C3n4 monolayers: A first-principles study. J. Mater. Chem. A 2020, 8, 6555–6563. [Google Scholar] [CrossRef]
- Singh, A.K.; Zhuang, H.L.; Hennig, R.G. Ab initio synthesis of single-layer Iii-V materials. Phys. Rev. B 2014, 89, 245431. [Google Scholar] [CrossRef]
- Zhang, Z.; Geng, Z.; Cai, D.; Pan, T.; Chen, Y.; Dong, L.; Zhou, T. Structure, electronic and magnetic properties of hexagonal boron nitride sheets doped by 5D transition metal atoms: First-principles calculations and molecular orbital analysis. Physica E Low Dimens. Syst. Nanostruct. 2015, 65, 24–29. [Google Scholar] [CrossRef]
- Kecik, D.; Onen, A.; Konuk, M.; Gürbüz, E.; Ersan, F.; Cahangirov, S.; Aktürk, E.; Durgun, E.; Ciraci, S. Fundamentals, progress, and future directions of nitride-based semiconductors and their composites in two-dimensional limit: A first-principles perspective to recent synthesis. Appl. Phys. Rev. 2018, 5, 011105. [Google Scholar] [CrossRef]
- Al Balushi, Z.Y.; Wang, K.; Ghosh, R.K.; Vila, R.A.; Eichfeld, S.M.; Caldwell, J.D.; Qin, X.; Lin, Y.C.; DeSario, P.A.; Stone, G.; et al. Two-dimensional gallium nitride realized via graphene encapsulation. Nat. Mater. 2016, 15, 1166–1171. [Google Scholar] [CrossRef]
- Wang, W.; Zheng, Y.; Li, X.; Li, Y.; Zhao, H.; Huang, L.; Yang, Z.; Zhang, X.; Li, G. 2D AlN layers sandwiched between graphene and si substrates. Adv. Mater. 2019, 31, 1803448. [Google Scholar] [CrossRef]
- Zhang, Z.; Qian, Q.; Li, B.; Chen, K.J. Interface engineering of monolayer Mos2/Gan Hybrid heterostructure: Modified band alignment for photocatalytic water splitting application by nitridation treatment. ACS Appl. Mater. Interfaces 2018, 10, 17419–17426. [Google Scholar] [CrossRef]
- Zhang, Z.; Huang, B.; Qian, Q.; Gao, Z.; Tang, X.; Li, B. Strain-tunable III-nitride/Zno heterostructures for photocatalytic water-splitting: A hybrid functional calculation. APL Mater. 2020, 8, 041114. [Google Scholar] [CrossRef]
- Guo, H.; Zhang, Z.; Huang, B.; Wang, X.; Niu, H.; Guo, Y.; Li, B.; Zheng, R.; Wu, H. Theoretical study of photocatalytic properties on 2D Inx(X=S, Se)/transition-metal disulfides (Mos2 and Ws2) van der waals heterostructures. Nanoscale 2020. [Google Scholar] [CrossRef]
- Deng, Z.; Wang, X.; Cui, J. Effect of interfacial defects on the electronic properties of graphene/G-Gan heterostructures. RSC Adv. 2019, 9, 13418–13423. [Google Scholar] [CrossRef]
- Liu, X.; Zhang, Z.; Luo, Z.; Lv, B.; Ding, Z. Tunable electronic properties of graphene/G-AlN heterostructure: The effect of vacancy and strain engineering. Nanomaterials 2019, 9, 1674. [Google Scholar] [CrossRef] [PubMed]
- Gao, X.; Shen, Y.; Ma, Y.; Wu, S.; Zhou, Z. Graphene/G-Gec bilayer heterostructure: Modulated electronic properties and interface contact via external vertical strains and electric fileds. Carbon 2019, 146, 337–347. [Google Scholar] [CrossRef]
- Zhang, W.X.; Shi, C.H.; He, C.; Bai, M. External-strain induced transition from schottky to ohmic contact in Graphene/Ins and Graphene/Janus In2SSe heterostructures. J. Solid State Chem. 2020, 289, 121511. [Google Scholar] [CrossRef]
- Padilha, J.E.; Fazzio, A.; da Silva, A.J. Van der waals heterostructure of phosphorene and graphene: Tuning the schottky barrier and doping by electrostatic gating. Phys. Rev. Lett. 2015, 114, 066803. [Google Scholar] [CrossRef]
- Young, A.F.; Kim, P. Quantum interference and klein tunnelling in graphene heterojunctions. Nat. Phys. 2009, 5, 222–226. [Google Scholar] [CrossRef]
- Kwak, J.Y.; Hwang, J.; Calderon, B.; Alsalman, H.; Munoz, N.; Schutter, B.; Spencer, M.G. Electrical characteristics of multilayer Mos2 Fet’s with Mos2/Graphene heterojunction contacts. Nano Lett. 2014, 14, 4511–4516. [Google Scholar] [CrossRef]
- Duan, J.H.; Yang, S.G.; Liu, H.W.; Gong, J.F.; Huang, H.B.; Zhao, X.N.; Zhang, R.; Du, Y.W. Preparation and characterization of straight and zigzag AlN nanowires. J. Phys. Chem. B 2005, 109, 3701–3703. [Google Scholar] [CrossRef]
- Liu, C.; Hu, Z.; Wu, Q.; Wang, X.; Chen, Y.; Sang, H.; Zhu, J.; Deng, S.; Xu, N. Vapor−solid growth and characterization of aluminum nitride nanocones. J. Am. Chem. Soc. 2005, 127, 1318–1322. [Google Scholar] [CrossRef]
- Nam, K.B.; Li, J.; Nakarmi, M.L.; Lin, J.Y.; Jiang, H.X. Deep ultraviolet picosecond time-resolved photoluminescence studies of AlN epilayers. Appl. Phys. Lett. 2003, 82, 1694–1696. [Google Scholar] [CrossRef]
- Tsipas, P.; Kassavetis, S.; Tsoutsou, D.; Xenogiannopoulou, E.; Golias, E.; Giamini, S.A.; Grazianetti, C.; Chiappe, D.; Molle, A.; Fanciulli, M.; et al. Evidence for graphite-like hexagonal AlN nanosheets epitaxially grown on single crystal Ag(111). Appl. Phys. Lett. 2013, 103, 251605. [Google Scholar] [CrossRef]
- Song, N.; Ling, H.; Wang, Y.; Zhang, L.; Yang, Y.; Jia, Y. Intriguing electronic properties of germanene/ indium selenide and antimonene/ indium selenide heterostructures. J. Solid State Chem. 2019, 269, 513–520. [Google Scholar] [CrossRef]
- Sciuto, A.; La Magna, A.; Angilella, G.G.N.; Pucci, R.; Greco, G.; Roccaforte, F.; Giannazzo, F.; Deretzis, I. Extensive fermi-level engineering for graphene through the interaction with aluminum nitrides and oxides. Phys. Status Solidi RRL 2019, 1, 1900399. [Google Scholar] [CrossRef]
- Sun, M.; Chou, J.-P.; Yu, J.; Tang, W. Effects of structural imperfection on the electronic properties of graphene/Wse2 heterostructures. J. Mater. Chem. C 2017, 5, 10383–10390. [Google Scholar] [CrossRef]
- Li, Y.; Wang, J.; Zhou, B.; Wang, F.; Miao, Y.; Wei, J.; Zhang, B.; Zhang, K. Tunable interlayer coupling and schottky barrier in graphene and janus mosse heterostructures by applying an external field. Phys. Chem. Chem. Phys. 2018, 20, 24109–24116. [Google Scholar] [CrossRef]
- Kresse, G.; Furthmüller, J. Efficient iterative schemes for ab initio total-energy calculations using a plane-wave basis set. Phys. Rev. B 1996, 54, 11169–11186. [Google Scholar] [CrossRef]
- Perdew, J.P.; Burke, K.; Ernzerhof, M. Generalized gradient approximation made simple. Phys. Rev. Lett. 1996, 77, 3865–3868. [Google Scholar] [CrossRef]
- Blöchl, P.E. Projector augmented-wave method. Phys. Rev. B 1994, 50, 17953–17979. [Google Scholar] [CrossRef]
- Grimme, S. Semiempirical Gga-type density functional constructed with a long-range dispersion correction. J. Comput. Chem. 2006, 27, 1787–1799. [Google Scholar] [CrossRef]
- Zhang, Z.; Cao, R.; Wang, C.; Li, H.-B.; Dong, H.; Wang, W.-H.; Lu, F.; Cheng, Y.; Xie, X.; Liu, H. Gan as an Interfacial passivation layer: Tuning band offset and removing fermi level pinning for III–V MOS devices. ACS Appl. Mater. Interfaces 2015, 7, 5141–5149. [Google Scholar] [CrossRef]
- Zhang, Z.; Li, B.; Qian, Q.; Tang, X.; Hua, M.; Huang, B.; Chen, K.J. Revealing the nitridation effects on gan surface by first-principles calculation and X-Ray/ultraviolet photoemission spectroscopy. IEEE Trans. Electron Devices 2017, 64, 4036–4043. [Google Scholar] [CrossRef]
- Monkhorst, H.J. Special points for brillonin-zone integrations. Phys. Rev. B 1976, 13, 5188–5192. [Google Scholar] [CrossRef]
- Liao, Y.; Zhang, Z.; Gao, Z.; Qian, Q.; Hua, M. Tunable properties of novel Ga2O3 monolayer for electronics and optoelectronics applications. ACS Appl. Mater. Interfaces 2020, 12, 30659–30669. [Google Scholar] [CrossRef] [PubMed]
- Wang, V.; Xu, N.; Liu, J.C.; Tang, G.; Geng, W.T. Vaspkit: A User-Friendly Interface Facilitating High-Throughput Computing and Analysis Using Vasp Code. Available online: https://arxiv.org/abs/1908.08269 (accessed on 25 August 2019).
- Björkman, T.; Gulans, A.; Krasheninnikov, A.V.; Nieminen, R.M. Van der waals bonding in layered compounds from advanced density-functional first-principles calculations. Phys. Rev. Lett. 2012, 108, 235502. [Google Scholar] [CrossRef] [PubMed]
- Zhao-Fu, Z.; Tie-Ge, Z.; Hai-Yang, Z.; Xiang-Lei, W. First-principles calculations of 5D atoms doped hexagonal-aln sheets: Geometry, magnetic property and the influence of symmetry and symmetry-breaking on the electronic structure. Chin. Phys. B 2013, 23, 016801. [Google Scholar]
- Phuc, H.V.; Ilyasov, V.V.; Hieu, N.N.; Nguyen, C.V. Electric-field tunable electronic properties and schottky contact of graphene/phosphorene heterostructure. Vacuum 2018, 149, 231–237. [Google Scholar] [CrossRef]
- Henkelman, G.; Arnaldsson, A.; Jónsson, H. A fast and robust algorithm for bader decomposition of charge density. Comput. Mater. Sci. 2006, 36, 354–360. [Google Scholar] [CrossRef]
- Khomyakov, P.A.; Giovannetti, G.; Rusu, P.C.; Brocks, G.; van den Brink, J.; Kelly, P.J. First-principles study of the interaction and charge transfer between graphene and metals. Phys. Rev. B 2009, 79, 195425. [Google Scholar] [CrossRef]
- Driussi, F.; Venica, S.; Gahoi, A.; Gambi, A.; Giannozzi, P.; Kataria, S.; Lemme, M.C.; Palestri, P.; Esseni, D. Improved understanding of metal–graphene contacts. Microelectron. Eng. 2019, 216, 111035. [Google Scholar] [CrossRef]
- Robertson, J. Band offsets of wide-band-gap oxides and implications for future electronic devices. J. Vac. Sci. Technol. B Microelectron. Nanometer Struct. Process. Meas. Phenom. 2000, 18, 1785–1791. [Google Scholar] [CrossRef]
- Robertson, J.; Guo, Y.; Zhang, Z.; Li, H. Extending the metal-induced gap state model of schottky barriers. J. Vac. Sci. Technol. B Microelectron. 2020, 38, 042208. [Google Scholar] [CrossRef]
- Deng, S.; Sumant, A.V.; Berry, V. Strain engineering in two-dimensional nanomaterials beyond graphene. Nano Today 2018, 22, 14–35. [Google Scholar] [CrossRef]
- Si, C.; Lin, Z.; Zhou, J.; Sun, Z. Controllable schottky barrier in gase/graphene heterostructure: The role of interface dipole. 2D Mater. 2016, 4, 015027. [Google Scholar] [CrossRef]
- Matthes, L.; Pulci, O.; Bechstedt, F. Optical properties of two-dimensional honeycomb crystals graphene, silicene, germanene, and tinene from first principles. New J. Phys. 2014, 16, 105007. [Google Scholar] [CrossRef]
- Matthes, L.; Pulci, O.; Bechstedt, F. Influence of out-of-plane response on optical properties of two-dimensional materials: First principles approach. Phys. Rev. B 2016, 94, 205408. [Google Scholar] [CrossRef]
- Hüser, F.; Olsen, T.; Thygesen, K.S. How dielectric screening in two-dimensional crystals affects the convergence of excited-state calculations: Monolayer Mos2. Phys. Rev. B 2013, 88, 245309. [Google Scholar] [CrossRef]
- Liu, X.-F.; Luo, Z.-J.; Zhou, X.; Wei, J.-M.; Wang, Y.; Guo, X.; Lv, B.; Ding, Z. Structural, mechanical, and electronic properties of 25 kinds of III–V binary monolayers: A computational study with first-principles calculation. Chin. Phys. B 2019, 28, 086105. [Google Scholar] [CrossRef]
- Heyd, J.; Scuseria, G.E.; Ernzerhof, M. Hybrid functionals based on a screened coulomb potential. J. Chem. Phys. 2003, 118, 8207–8215. [Google Scholar] [CrossRef]
- Heyd, J.; Scuseria, G.E.; Ernzerhof, M. Erratum: “Hybrid functionals based on a screened coulomb potential” [J. Chem. Phys. 118, 8207]. J. Chem. Phys. 2006, 124, 219906. [Google Scholar] [CrossRef]






© 2020 by the authors. Licensee MDPI, Basel, Switzerland. This article is an open access article distributed under the terms and conditions of the Creative Commons Attribution (CC BY) license (http://creativecommons.org/licenses/by/4.0/).
Share and Cite
Liu, X.; Zhang, Z.; Lv, B.; Ding, Z.; Luo, Z. The External Electric Field-Induced Tunability of the Schottky Barrier Height in Graphene/AlN Interface: A Study by First-Principles. Nanomaterials 2020, 10, 1794. https://doi.org/10.3390/nano10091794
Liu X, Zhang Z, Lv B, Ding Z, Luo Z. The External Electric Field-Induced Tunability of the Schottky Barrier Height in Graphene/AlN Interface: A Study by First-Principles. Nanomaterials. 2020; 10(9):1794. https://doi.org/10.3390/nano10091794
Chicago/Turabian StyleLiu, Xuefei, Zhaocai Zhang, Bing Lv, Zhao Ding, and Zijiang Luo. 2020. "The External Electric Field-Induced Tunability of the Schottky Barrier Height in Graphene/AlN Interface: A Study by First-Principles" Nanomaterials 10, no. 9: 1794. https://doi.org/10.3390/nano10091794
APA StyleLiu, X., Zhang, Z., Lv, B., Ding, Z., & Luo, Z. (2020). The External Electric Field-Induced Tunability of the Schottky Barrier Height in Graphene/AlN Interface: A Study by First-Principles. Nanomaterials, 10(9), 1794. https://doi.org/10.3390/nano10091794

