Hierarchical Doped Gelatin-Derived Carbon Aerogels: Three Levels of Porosity for Advanced Supercapacitors
Abstract
1. Introduction
2. Materials and Methods
3. Results and Discussion
3.1. Morphological Analysis
3.2. Brunauer−Emmett−Teller (BET) and Barrett−Joyner−Halenda (BJH) Analyses
3.3. Structural and Chemical Analysis
3.4. Formation Mechanism of 3D Nitrogen Self-Doped Graphene
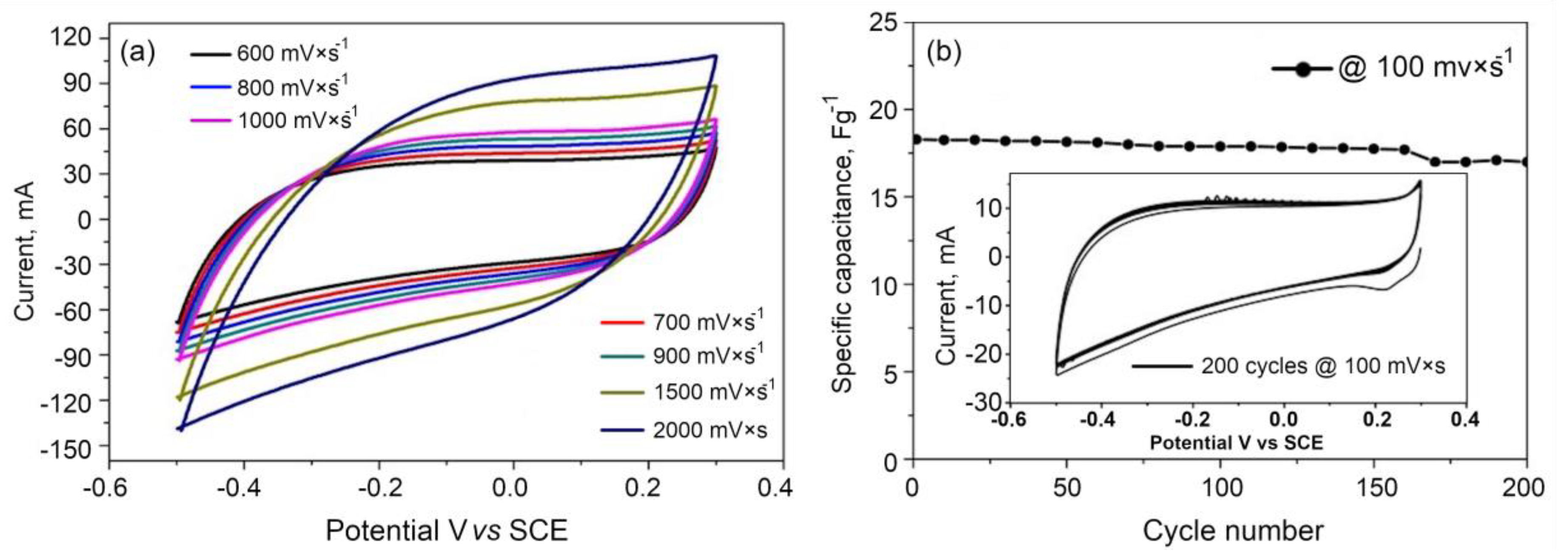
3.5. Electrochemical Studies
4. Conclusions
Author Contributions
Funding
Acknowledgments
Conflicts of Interest
References
- Zhang, Q.; Han, K.; Li, S.; Li, M.; Li, J.; Ren, K. Synthesis of garlic skin-derived 3D hierarchical porous carbon for high-performance supercapacitors. Nanoscale 2018, 10, 2427. [Google Scholar] [CrossRef] [PubMed]
- Lee, W.S.V.; Leng, M.; Li, M.; Huang, X.L.; Xue, J.M. Sulphur-functionalized graphene towards high performance supercapacitor. Nano Energy 2015, 12, 50. [Google Scholar] [CrossRef]
- Tian, Q.; Wang, X.; Xu, X.; Zhang, M.; Wang, L.; Zhao, X.; An, Z.; Yao, H.; Gao, J. A novel porous carbon material made from wild rice stem and its application in supercapacitors. Mater. Chem. Phys. 2018, 213, 267. [Google Scholar] [CrossRef]
- Wang, T.; Chen, H.C.; Yu, F.; Zhao, X.S.; Wang, H. Boosting the cycling stability of transition metal compounds-based supercapacitors. Energy Storage Mater. 2019, 16, 545. [Google Scholar] [CrossRef]
- Levchenko, I.; Bazaka, K.; Belmonte, T.; Keidar, M.; Xu, S. Advanced materials for next generation spacecraft. Adv. Mater. 2018, 30, 1802201. [Google Scholar] [CrossRef] [PubMed]
- Levchenko, I.; Xu, S.; Teel, G.; Mariotti, D.; Walker, M.; Keidar, M. Smart nanomaterials in space: Recent progress in electric propulsion systems for small satellites. Nat. Commun. 2018, 9, 879. [Google Scholar] [CrossRef] [PubMed]
- Purkait, T.; Singh, G.; Kumar, D.; Singh, M.; Dey, R.S. High-performance flexible supercapacitors based on electrochemically tailored three-dimensional reduced graphene oxide networks. Sci. Rep. 2018, 8, 640. [Google Scholar] [CrossRef] [PubMed]
- Levchenko, I.; Bazaka, K.; Keidar, M.; Xu, S.; Fang, J. Hierarchical multi-component inorganic metamaterials: Intrinsically driven self-assembly at nanoscale. Adv. Mater. 2018, 30, 1702226. [Google Scholar] [CrossRef]
- Chiam, S.L.; Lim, H.N.; Hafiz, S.M.; Pandikumar, A.; Huang, N.M. Electrochemical performance of supercapacitor with stacked copper foils coated with graphene nanoplatelets. Sci. Rep. 2018, 8, 3093. [Google Scholar] [CrossRef] [PubMed]
- Miller, E.E.; Hua, Y.; Tezel, F.H. Materials for energy storage: Review of electrode materials and methods of increasing capacitance for supercapacitors. J. Energy Storage 2018, 20, 30. [Google Scholar] [CrossRef]
- Yan, J.; Wang, Q.; Wei, T.; Fan, Z. Recent advances in design and fabrication of electrochemical supercapacitors with high energy densities. Adv. Energy Mater. 2014, 4, 1300816. [Google Scholar] [CrossRef]
- Rawal, S.; Joshi, B.; Kumar, Y. Synthesis and characterization of activated carbon from the biomass of Saccharum bengalense for electrochemical supercapacitors. J. Energy Storage 2018, 20, 418. [Google Scholar] [CrossRef]
- Lemine, A.S.; Zagho, M.M.; Altahtamouni, T.M.; Bensalah, N. Graphene a promising electrode material for supercapacitors. Int. J. Energy Res. 2018, 42, 4284. [Google Scholar] [CrossRef]
- Zhang, G.; Song, Y.; Zhang, H.; Xu, J.; Duan, H.; Liu, J. Radially aligned porous carbon nanotube arrays on carbon fibers: A hierarchical 3D carbon nanostructure for high-performance capacitive energy storage. Adv. Funct. Mater. 2016, 26, 3012. [Google Scholar] [CrossRef]
- Fang, Y.; Luo, B.; Jia, Y.; Li, X.; Wang, B.; Song, Q.; Kang, F.; Zhi, L. Renewing functionalized graphene as electrodes for high-performance supercapacitors. Adv. Mater. 2012, 24, 6348. [Google Scholar] [CrossRef]
- Zhang, Y.; Gao, Z.; Song, N.; Li, X. High-performance supercapacitors and batteries derived from activated banana-peel with porous structures. Electrochim. Acta 2016, 222, 1257. [Google Scholar] [CrossRef]
- Du, J.; Liu, L.; Yu, Y.; Zhang, L.; Zhang, Y.; Chen, A. Synthesis of nitrogen doped graphene aerogels using solid supported strategy for supercapacitor. Mater. Chem. Phys. 2019, 223, 145. [Google Scholar] [CrossRef]
- Bhoyate, S.; Ranaweera, C.K.; Zhang, C.; Morey, T.; Hyatt, M.; Kahol, P.K.; Ghimire, M.; Mishra, S.R.; Gupta, R.K. Eco-friendly and high performance supercapacitors for elevated temperature applications using recycled tea leaves. Glob. Chall. 2017, 1, 1700063. [Google Scholar] [CrossRef]
- Tamilselvi, R.; Ramesh, M.; Lekshmi, G.S.; Bazaka, O.; Levchenko, I.; Bazaka, K.; Mandhakini, M. Graphene oxide–Based supercapacitors from agricultural wastes: A step to mass production of highly efficient electrodes for electrical transportation systems. Renew. Energy 2020, 151, 731–739. [Google Scholar] [CrossRef]
- Gunathilake, T.M.S.U.; Ching, Y.C.; Ching, K.Y.; Chuah, C.H.; Abdullah, L.C. Biomedical and microbiological applications of bio-based porous materials: A review. Polymers 2017, 9, 160. [Google Scholar] [CrossRef]
- Zhou, R.; Zhou, R.; Zhang, X.; Fang, Z.; Wang, X.; Speight, R.; Wang, H.; Doherty, W.; Cullen, P.J.; Ostrikov, K.K.; et al. High-performance plasma-enabled biorefining of microalgae to value-added products. ChemSusChem 2019, 12, 4976. [Google Scholar] [CrossRef] [PubMed]
- Bazaka, K.; Jacob, M.V.; Ostrikov, K.K. Sustainable life cycles of natural-precursor-derived nanocarbons. Chem. Rev. 2016, 116, 163. [Google Scholar] [CrossRef] [PubMed]
- Alancherry, S.; Jacob, M.V.; Prasad, K.; Joseph, J.; Bazaka, O.; Neupane, R.; Varghese, O.K.; Baranov, O.; Xu, S.; Levchenko, I.; et al. Tuning and fine morphology control of natural resource-derived vertical graphene. Carbon 2020, 159, 668. [Google Scholar] [CrossRef]
- Jacob, M.V.; Rawat, R.S.; Ouyang, B.; Bazaka, K.; Kumar, D.S.; Iwamoto, M.; Neupane, R.; Varghese, O.K. Catalyst-free plasma enhanced growth of graphene from sustainable sources. Nano Lett. 2015, 15, 5702. [Google Scholar] [CrossRef] [PubMed]
- Pandiselvi, K.; Thambidurai, S. Chitosan-ZnO/polyaniline ternary nanocomposite for high-performance supercapacitor. Ionics 2013, 20, 551. [Google Scholar] [CrossRef]
- Hao, P.; Zhao, Z.; Leng, Y.; Tian, J.; Sang, Y.; Boughton, R.I.; Wong, C.P.; Liu, H.; Yang, B. Graphene-based nitrogen self-doped hierarchical porous carbon aerogels derived from chitosan for high performance supercapacitors. Nano Energy 2015, 15, 9. [Google Scholar] [CrossRef]
- Krishna, R.; Titus, E.; Okhay, O.; Gil, J.C.; Ventura, J.; Ramana, E.V.; Gracio, J.J.A. Rapid electrochemical synthesis of hydrogenated graphene oxide using Ni nanoparticles. Int. J. Electrochem. Sci. 2014, 9, 4054. [Google Scholar]
- Schnepp, Z.; Hollamby, M.J.; Tanaka, M.; Matsushita, Y.; Xu, Y.; Sakka, Y. A family of oxide–carbide–carbon and oxide–nitride–carbon nanocomposites. Chem. Comm. 2014, 50, 5364. [Google Scholar] [CrossRef]
- Schnepp, Z.; Zhang, Y.; Hollamby, M.J.; Pauw, B.R.; Tanaka, M.; Matsushita, Y.; Sakka, Y. Doped-carbon electrocatalysts with trimodal porosity from a homogeneous polypeptide gel. J. Mater. Chem. A 2013, 1, 13576. [Google Scholar] [CrossRef]
- Danks, E.; Hollamby, M.J.; Hammouda, B.; Fletcher, D.C.; Banks, F.J.; Rogers, S.E.; Schnepp, Z. Mechanistic insights into the formation of porous carbons from gelatin. J. Mater. Chem. A 2017, 5, 11644. [Google Scholar] [CrossRef]
- Ou, J.; Yang, L.; Zhang, Z. Hierarchical porous nitrogen-doped carbon material for high performance sodium ion batteries. J. Mater. Sci. Mater. Electron. 2018, 29, 16478. [Google Scholar] [CrossRef]
- Li, J.; Zan, G.; Wu, Q. Facile synthesis of hierarchical porous carbon via the liquidoid carbonization method for supercapacitors. New J. Chem. 2015, 39, 8165. [Google Scholar] [CrossRef]
- Jain, A.; Tripathi, S.K. Nano-porous activated carbon from sugarcane waste for supercapacitor application. J. Energy Storage 2015, 4, 121. [Google Scholar] [CrossRef]
- Worsley, M.A.; Pham, T.T.; Yan, A.; Shin, S.J.; Lee, J.R.I.; Bagge-Hansen, M.W.; Mickelson, W.; Zettl, A. Synthesis and characterization of highly crystalline graphene aerogels. ACS Nano 2014, 8, 11013. [Google Scholar] [CrossRef] [PubMed]
- Worsley, M.A.; Kucheyev, S.O.; Mason, H.E.; Merrill, M.D.P.; Mayer, B.P.; Lewicki, J.; Valdez, C.A.; Suss, M.E.; Stadermann, M.; Pauzauskie, P.J.; et al. Mechanically robust 3D graphene macroassembly with high surface area. Chem. Commun. (Camb.) 2012, 48, 8428. [Google Scholar] [CrossRef] [PubMed]
- Abdelwahab, A.; Castelo-Quibén, J.; Vivo-Vilches, J.F.; Pérez-Cadenas, M.; Maldonado-Hódar, F.J.; Carrasco-Marín, F.; Pérez-Cadenas, A.F. Electrodes based on carbon aerogels partially graphitized by doping with transition metals for oxygen reduction reaction. Nanomaterials 2018, 8, 266. [Google Scholar] [CrossRef]
- Suresh, S.P.; Lekshmi, G.S.; Ariraman, M.; Bazaka, O.; Levchenko, I.; Bazaka, K.; Mandhakini, M. Superhydrophobic fluorine-modified cerium-doped mesoporous carbon as an efficient catalytic platform for photo-degradation of organic pollutants. Carbon 2019, 147, 323. [Google Scholar] [CrossRef]
- Lee, S.-H.; Choi, S. Bimetallic zeolitic imidazolate frameworks for symmetric electrical double-layer supercapacitors with aqueous electrolytes. Mat. Lett. 2017, 207, 129. [Google Scholar] [CrossRef]
- Horvath, G.; Kawazoe, K. Method for the calculation of effective pore size distribution in molecular sieve carbon. J. Chem. Eng. Jpn. 1983, 16, 16470. [Google Scholar] [CrossRef]
- Ramesh, K.; Sammi Reddy, K.; Rashmi, I.; Biswas, A.K.; Islam, K.R. Horvath-Kawazoe model based evaluation of pore volume of nanoporous clinoptilolite. Commun. Soil Sci. Plant Anal. 2016, 47, 1622. [Google Scholar] [CrossRef]
- Ania, C.O.; Armstrong, P.A.; Bandosz, T.J.; Beguin, F.; Carvalho, A.P.; Celzard, A.; Frackowiak, E.; Gilarranz, M.A.; László, K.; Matos, J.; et al. Engaging nanoporous carbons in “beyond adsorption” applications: Characterization, challenges and performance. Carbon 2020, 16, 69. [Google Scholar] [CrossRef]
- Guo, H.-L.; Su, P.; Kang, X.; Ning, S.-K. Synthesis and characterization of nitrogen-doped graphene hydrogels by hydrothermal route with urea as reducing-doping agents. J. Mater. Chem. A 2013, 1, 2248. [Google Scholar] [CrossRef]
- Cai, Z.-X.; Song, X.-H.; Chen, Y.-Y.; Wang, Y.-R.; Chen, X. 3D nitrogen-doped graphene aerogel: A low-cost, facile prepared direct electrode for H2O2 sensing. Sens. Actuators B 2016, 222, 567. [Google Scholar] [CrossRef]
- Wiener, M.; Reichenauer, G.; Hemberger, F.; Ebert, H.-P. Thermal conductivity of carbon aerogels as a function of pyrolysis temperature. Int. J. Thermophys. 2006, 27, 1826. [Google Scholar] [CrossRef]
- Ramirez-Barria, C.S.; Fernandes, D.M.; Freire, C.; Villaro-Abalos, E.; Guerrero-Ruiz, A.; Rodríguez-Ramos, I. Upgrading the properties of reduced graphene oxide and nitrogen-doped reduced graphene oxide produced by thermal reduction toward efficient ORR electrocatalysts. Nanomaterials 2019, 9, 1761. [Google Scholar] [CrossRef] [PubMed]
- Wang, H.; Maiyalagan, T.; Wang, X. Review on recent progress in nitrogen-doped graphene: Synthesis, characterization, and its potential applications. ACS Catal. 2012, 2, 781–794. [Google Scholar] [CrossRef]
- Worsley, M.A.; Olson, T.Y.; Lee, J.R.I.; Willey, T.M.; Nielsen, M.H.; Roberts, S.K.; Pauzauskie, P.J.; Biener, J.; Satcher, J.H., Jr.; Baumann, T.F. High surface area, sp2-cross-linked three-dimensional graphene monoliths. J. Phys. Chem. Lett. 2011, 2, 921. [Google Scholar] [CrossRef]
- Wang, Z.-L.; Xu, D.; Zhong, H.-X.; Wang, J.; Meng, F.-L.; Zhang, X.-B. Gelatin-derived sustainable carbon-based functional materials for energy conversion and storage with controllability of structure and component. Sci. Adv. 2015, 1, e1400035. [Google Scholar] [CrossRef] [PubMed]
- Li, J.; Li, X.; Zhao, P.; Lei, D.; Li, D.; Bai, Y.; Ren, J.; Xu, X. Searching for magnetism in pyrrolic N-doped graphene synthesized via hydrothermal reaction. Carbon 2015, 84, 460–468. [Google Scholar] [CrossRef]
- Alancherry, S.; Bazaka, K.; Levchenko, I.; Al-jumaili, A.; Kandel, B.; Alex, A.; Robles Hernandez, F.C.; Varghese, O.K.; Jacob, M.V. Fabrication of nano-onion structured graphene films from Citrus sinensis extract and their wetting and sensing characteristics. ACS Appl. Mater. Interfaces 2020. [Google Scholar] [CrossRef]
- Chen, H.; Guo, Y.; Wang, F.; Wang, G.; Qi, P.; Guo, X.; Dai, B.; Yu, F. An activated carbon derived from tobacco waste for use as a supercapacitor electrode material. New Carbon Mater. 2017, 32, 592. [Google Scholar] [CrossRef]
- Li, X.-F.; Lian, K.-Y.; Liu, L.; Wu, Y.; Qiu, Q.; Jiang, J.; Deng, M.; Luo, Y. Unraveling the formation mechanism of graphitic nitrogen-doping in thermally treated graphene with ammonia. Sci. Rep. 2016, 6, 23495. [Google Scholar] [CrossRef] [PubMed]
- Susi, T.; Pichler, T.; Ayala, P. X-ray photoelectron spectroscopy of graphitic carbon nanomaterials doped with heteroatoms. Beilstein J. Nanotechnol. 2015, 6, 177. [Google Scholar] [CrossRef] [PubMed]
- Zhou, H.P.; Ye, X.; Huang, W.; Wu, M.Q.; Mao, L.N.; Yu, B.; Xu, S.; Levchenko, I.; Bazaka, K. Wearable, flexible, disposable plasma-reduced graphene oxide stress sensors for monitoring activities in austere environments. ACS Appl. Mater. Interfaces 2019, 11, 15122. [Google Scholar] [CrossRef] [PubMed]
- Feng, L.; Chen, X.; Cao, Y.; Chen, Y.; Wang, F.; Chen, Y.; Liu, Y. Pyridinic and pyrrolic nitrogen-rich ordered mesoporous carbon for efficient oxygen reduction in microbial fuel cells. RSC Adv. 2017, 7, 14669. [Google Scholar] [CrossRef]
- Zhou, K.; Zhou, W.; Yang, L.; Lu, J.; Cheng, S.; Mai, W.; Tang, Z.; Li, L.; Chen, S. Ultrahigh-performance pseudocapacitor electrodes based on transition metal phosphide nanosheets array via phosphorization: A general and effective approach. Adv. Funct. Mater. 2015, 25, 7530. [Google Scholar] [CrossRef]
- Zhang, G.; Wang, T.; Yu, X.; Zhang, H.; Duan, H.; Lu, B. Nanoforest of hierarchical Co3O4@NiCo2O4 nanowire arrays for high-performance supercapacitors. Nano Energy 2013, 2, 586. [Google Scholar] [CrossRef]
- Liu, S.; Wu, J.; Zhou, J.; Fang, G.; Liang, S. Mesoporous NiCo2O4 nanoneedles grown on three dimensional graphene networks as binder-free electrode for high-performance lithium-ion batteries and supercapacitors. Electrochim. Acta 2015, 176, 1. [Google Scholar] [CrossRef]
- Bakandritsos, A.; Jakubec, P.; Pykal, M.; Otyepka, M. Covalently functionalized graphene as a supercapacitor electrode material. FlatChem 2019, 13, 25. [Google Scholar] [CrossRef]
- Jacob, M.V.; Taguchi, D.; Iwamoto, M.; Bazaka, K.; Rawat, R.S. Resistive switching in graphene-organic device: Charge transport properties of graphene-organic device through electric field induced optical second harmonic generation and charge modulation spectroscopy. Carbon 2017, 112, 111. [Google Scholar] [CrossRef]








| Sample Activation Temperature, °C | Surface Area m3/g | Pore Volume cm3/g | Pore Diameter, nm |
| 700 | 230 | 0.24 | 4.55 |
| 800 | 1539 | 0.88 | 19.30 |
| 900 | 1420 | 0.78 | 17.00 |
© 2020 by the authors. Licensee MDPI, Basel, Switzerland. This article is an open access article distributed under the terms and conditions of the Creative Commons Attribution (CC BY) license (http://creativecommons.org/licenses/by/4.0/).
Share and Cite
Kandasamy, A.; Ramasamy, T.; Samrin, A.; Narayanasamy, P.; Mohan, R.; Bazaka, O.; Levchenko, I.; Bazaka, K.; Mohandas, M. Hierarchical Doped Gelatin-Derived Carbon Aerogels: Three Levels of Porosity for Advanced Supercapacitors. Nanomaterials 2020, 10, 1178. https://doi.org/10.3390/nano10061178
Kandasamy A, Ramasamy T, Samrin A, Narayanasamy P, Mohan R, Bazaka O, Levchenko I, Bazaka K, Mohandas M. Hierarchical Doped Gelatin-Derived Carbon Aerogels: Three Levels of Porosity for Advanced Supercapacitors. Nanomaterials. 2020; 10(6):1178. https://doi.org/10.3390/nano10061178
Chicago/Turabian StyleKandasamy, Ayshuwarya, Tamilselvi Ramasamy, Ayesha Samrin, Padmanathan Narayanasamy, Ramesh Mohan, Olha Bazaka, Igor Levchenko, Kateryna Bazaka, and Mandhakini Mohandas. 2020. "Hierarchical Doped Gelatin-Derived Carbon Aerogels: Three Levels of Porosity for Advanced Supercapacitors" Nanomaterials 10, no. 6: 1178. https://doi.org/10.3390/nano10061178
APA StyleKandasamy, A., Ramasamy, T., Samrin, A., Narayanasamy, P., Mohan, R., Bazaka, O., Levchenko, I., Bazaka, K., & Mohandas, M. (2020). Hierarchical Doped Gelatin-Derived Carbon Aerogels: Three Levels of Porosity for Advanced Supercapacitors. Nanomaterials, 10(6), 1178. https://doi.org/10.3390/nano10061178

