Ag2S QDs/Si Heterostructure-Based Ultrasensitive SWIR Range Detector
Abstract
1. Introduction
2. Ag2S QDs Preparation and Experimental Methods
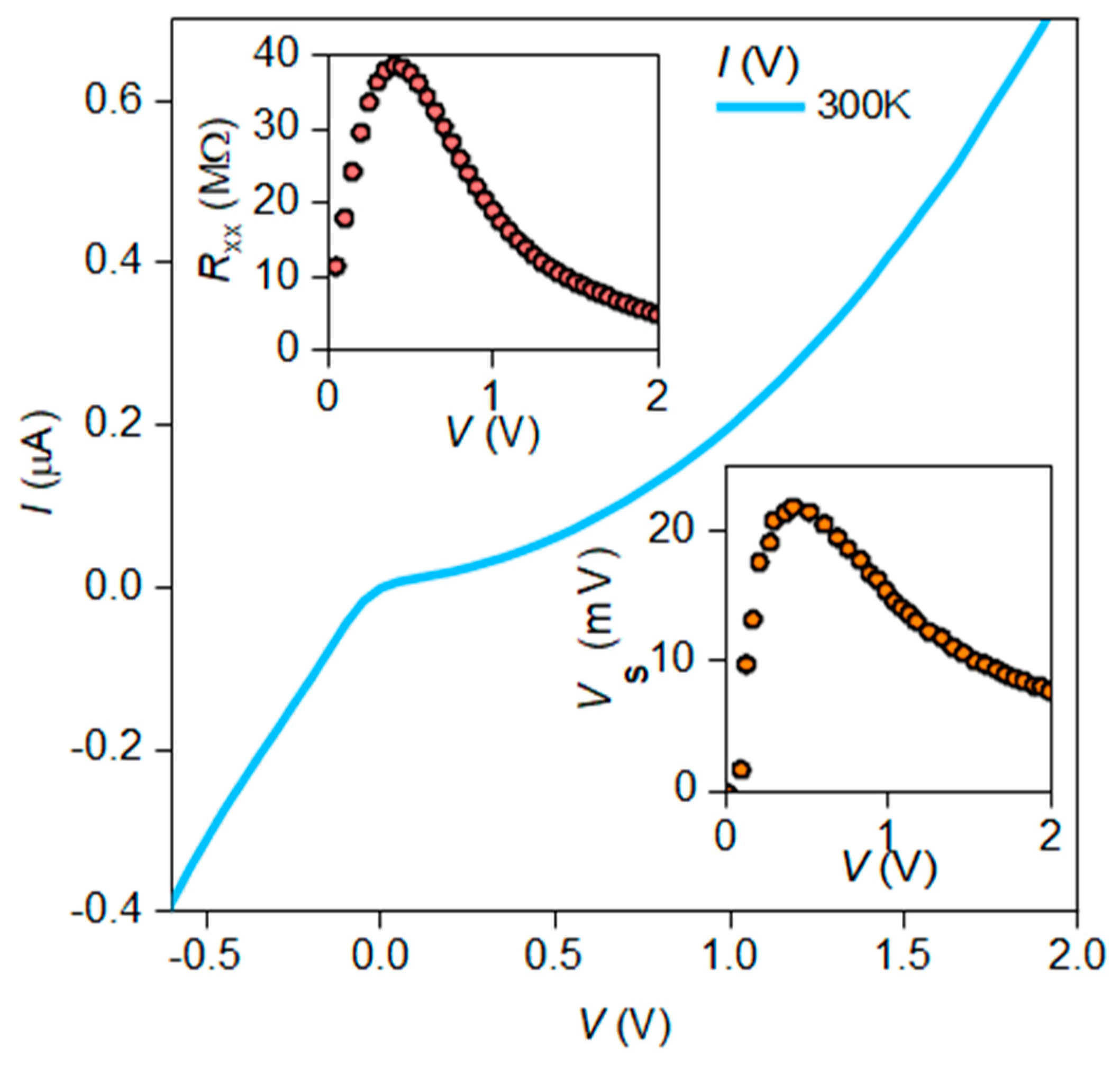
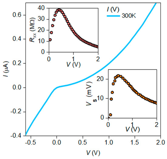
3. Results and Discussion
4. Conclusions
Author Contributions
Funding
Acknowledgments
Conflicts of Interest
References
- International Technology Roadmap for Semiconductors. 2016. Available online: www.itrs2.net (accessed on 10 September 2019).
- Schwierz, F.; Wong, H.; Liou, J.J. Nanometer CMOS; Pan Stanford Publishing: Singapore, 2010. [Google Scholar]
- Ferrari, A.C.; Bonaccorso, F.; Fal’Ko, V.; Novoselov, K.S.; Roche, S.; Bøggild, P.; Borini, S.; Koppens, F.H.L.; Palermo, V.; Pugno, N.; et al. Science and technology roadmap for graphene, related two-dimensional crystals, and hybrid systems. Nanoscale 2015, 7, 4587–5062. [Google Scholar] [CrossRef]
- Goossens, S.; Navickaite, G.; Monasterio, C.; Gupta, S.; Piqueras, J.J.; Pérez, R.; Burwell, G.; Nikitskiy, I.; Lasanta, T.; Galán, T.; et al. Broadband image sensor array based on graphene–CMOS integration. Nat. Photonics 2017, 11, 366–371. [Google Scholar] [CrossRef]
- Liu, X.; Kuyken, B.; Roelkens, G.; Baets, R.; Osgood, R.M., Jr.; Green, W.M.J. Bridging the mid-infrared-to-telecom gap with silicon nanophotonic spectral translation. Nat. Photonics 2012, 6, 667–671. [Google Scholar] [CrossRef]
- Zanjani, S.M.M.; Holt, M.; Sadeghi, M.M.; Rahimi, S.; Akinwande, D. 3D integrated monolayer graphene–Si CMOS RF gas sensor platform. 2D Mater. Appl. 2017, 1, 36. [Google Scholar] [CrossRef]
- Mailoa, J.P.; Akey, A.J.; Simmons, C.B.; Hutchinson, D.; Mathews, J.; Sullivan, J.T.; Persans, P.D. Room-temperature sub-band gap optoelectronic response of hyperdoped silicon. Nat. Commun. 2014, 5, 3011. [Google Scholar] [CrossRef] [PubMed]
- Xia, F.; Wang, H.; Xiao, D.; Dubey, M.; Ramasubramaniam, A. Two-dimensional material nanophotonics. Nat. Photon. 2014, 8, 899. [Google Scholar] [CrossRef]
- Ackert, J.J.; Thomson, D.J.; Shen, L.; Peacock, A.C.; Jessop, P.E.; Reed, G.T.; Knights, A.P. High-speed detection at two micrometres with monolithic silicon photodiodes. Nat. Photonics 2015, 9, 393–396. [Google Scholar] [CrossRef]
- Sun, Z.; Martinez, A.; Wang, F. Optical modulators with 2D layered materials. Nat. Photonics 2016, 10, 227–238. [Google Scholar] [CrossRef]
- Joshi, N.; Hayasaka, T.; Liu, Y.; Liu, H.; Oliveira, O.N.; Lin, L. A review on chemiresistive room temperature gas sensors based on metal oxide nanostructures, graphene and 2D transition metal dichalcogenides. Mikrochim. Acta 2018, 185, 213. [Google Scholar] [CrossRef]
- Soref, R. Group IV photonics: Enabling 2 μm communications. Nat. Photon. 2015, 9, 358–359. [Google Scholar] [CrossRef]
- Zhu, C.; Du, D.; Lin, Y. Graphene-like 2D nanomaterial-based biointerfaces for biosensing applications. Biosens. Bioelectron. 2017, 89, 43–55. [Google Scholar] [CrossRef] [PubMed]
- Wang, Y.-H.; Huang, K.-J.; Wu, X. Recent advances in transition-metal dichalcogenides based electrochemical biosensors: A review. Biosens. Bioelectron. 2017, 97, 305–316. [Google Scholar] [CrossRef]
- Huang, L.; Xu, H.; Zhang, Z.; Chen, C.; Jiang, J.; Ma, X.; Peng, L.M. Graphene/Si CMOS hybrid hall integrated circuits. Sci. Rep. 2014, 4, 5548. [Google Scholar] [CrossRef] [PubMed]
- Berencén, Y.; Prucnal, S.; Liu, F.; Skorupa, I.; Hübner, R.; Rebohle, L.; Zhou, S.; Schneider, H.; Helm, M.; Skorupa, W. "Room-temperature short-wavelength infrared Si photodetector. Sci. Rep. 2017, 7, 43688. [Google Scholar] [CrossRef] [PubMed]
- Qiu, X.; Yu, X.; Yuan, S.; Gao, Y.; Liu, X.; Xu, Y.; Yang, D. Trap assisted bulk silicon photodetector with high photoconductive gain, low noise, and fast response by Ag hyperdoping. Adv. Opt. Mater. 2018, 6, 1700638. [Google Scholar] [CrossRef]
- Pérez, E.; Castán, H.; García, H.; Dueñas, S.; Bailón, L.; Montero, D.; García-Hernansanz, R.; García-Hemme, E.; Olea, J.; González-Díaz, G. Energy levels distribution in supersaturated silicon with titanium for photovoltaic applications. Appl. Phys. Lett. 2015, 106, 022105. [Google Scholar] [CrossRef]
- Simmons, B.C.; Akey, A.J.; Mailoa, J.P.; Recht, D.; Aziz, M.J.; Buonassisi, T. Enhancing the infrared photoresponse of silicon by controlling the Fermi level location within an impurity band. Adv. Funct. Mater. 2014, 24, 2852. [Google Scholar] [CrossRef]
- Shin, H.W.; Lee, S.J.; Kim, D.G.; Bae, M.H.; Heo, J.; Choi, K.J.; Choi, W.J.; Choe, J.W.; Shin, J.C. Short-wavelength infrared photodetector on Si employing strain-induced growth of very tall InAs nanowire arrays. Sci. Rep. 2016, 5, 10764. [Google Scholar] [CrossRef]
- Wan, Y.; Zhang, Z.; Chao, R.; Norman, J.; Jung, D.; Shang, C.; Li, Q.; Kennedy, M.J.; Liang, D.; Zhang, C.; et al. Monolithically integrated InAs/InGaAs quantum dot photodetectors on silicon substrates. Opt. Express 2017, 25, 27715–27723. [Google Scholar] [CrossRef]
- Wu, J.; Jiang, Q.; Chen, S.; Tang, M.; Mazur, Y.I.; Maidaniuk, Y.; Benamara, M.; Semtsiv, M.P.; Masselink, W.T.; Sablon, K.A.; et al. Monolithically integrated InAs/GaAs quantum dot mid-infrared photodetectors on silicon substrates. ACS Photonics 2016, 3, 749–753. [Google Scholar] [CrossRef]
- Huang, J.; Guo, D.; Deng, Z.; Chen, W.; Liu, H.; Wu, J.; Chen, B. Midwave infrared quantum dot quantum cascade photodetector monolithically grown on silicon substrate. IEEE J. Lightwave Technol. 2018, 36, 4033–4038. [Google Scholar] [CrossRef]
- Matsuo, T.; Greene, T.P.; Johnson, R.R.; Mcmurray, R.E.; Roellig, T.L.; Ennico, K. Photometric Precision of a Si:As Impurity Band Conduction Mid-infrared Detector and Application to Transit Spectroscopy. Publ. Astron. Soc. Pac. 2019, 131, 1006. [Google Scholar] [CrossRef]
- Ressler, M.E.; Cho, H.; Lee, R.A.M.; Sukhatme, K.G.; Drab, J.J.; Domingo, G.; McKelvey, M.E.; McMurray, R.E., Jr.; Dotson, J.L. Performance of the JWST/MIRI Si:As detectors. In Proceedings of the SPIE 7021, High Energy, Optical, and Infrared Detectors for Astronomy III, Marseille, France, 23–26 June 2008. [Google Scholar]
- Han, S.-J.; Garcia, A.V.; Oida, S.; Jenkins, K.A.; Haensch, W. Graphene radio frequency receiver integrated circuit. Nat. Commun. 2014, 5, 3086. [Google Scholar] [CrossRef] [PubMed]
- Pospischil, A.; Humer, M.; Furchi, M.M.; Bachmann, D.; Guider, R.; Fromherz, T.; Mueller, T. CMOS-compatible graphene photodetector covering all optical communication bands. Nat. Photonics 2013, 7, 892–896. [Google Scholar] [CrossRef]
- Gan, X.; Shiue, R.J.; Gao, Y.; Meric, I.; Heinz, T.F.; Shepard, K.; Hone, J.; Assefa, S.; Englund, D. Chip-integrated ultrafast graphene photodetector with high responsivity. Nat. Photonics 2013, 7, 883–887. [Google Scholar] [CrossRef]
- Wang, X.; Cheng, Z.; Xu, K.; Tsang, H.K.; Xu, J. High-responsivity graphene/silicon-heterostructure waveguide photodetectors. Nat. Photonics 2013, 7, 888–891. [Google Scholar] [CrossRef]
- Schmitt-Pink, S.; Miller, D.A.B.; Chemla, D.C. Theory of the linear and nonlinear optical properties of semiconductor microcrystallites. Phys. Rev. B. 1987, 35, 8113–8125. [Google Scholar] [CrossRef]
- Rogalski, A. HgCdTe photodetectors. In Mid Infrared Optoelectronics; Woodhead Publishing: Sawston, UK, 2020; pp. 235–335. [Google Scholar]
- About Teledyne Judson. Available online: http://www.teledynejudson.com (accessed on 10 September 2019).
- Tretyakov, I.; Shurakov, A.; Perepelitsa, A.; Kaurova, N.; Sergey, S.; Zilberley, T.; Ryabchun, S.; Smirnov, M.; Ovchinnikov, O.; Goltsman, G. Room Temperature Silicon Detector for IR Range Coated with Ag2S Quantum Dots. Phys. Status Solidi Rapid Res. Lett. 2019. [Google Scholar] [CrossRef]
- Konstantatos, G.; Badioli, M.; Gaudreau, L.; Osmond, J.; Bernechea, M.; De Arquer, F.P.G.; Gatti, F.; Koppens, F.H.L. Hybrid graphene-quantum dot phototransistors with ultrahigh gain. Nat. Nano 2012, 7, 363–368. [Google Scholar] [CrossRef]
- Sun, Z.; Liu, Z.; Li, J.; Tai, G.; Lau, S.; Yan, F. Infrared Photodetectors Based on CVD-Grown Graphene and PbS Quantum Dots with Ultrahigh Responsivity. Adv. Mater. 2012, 24, 5878. [Google Scholar] [CrossRef]
- Guo, W.; Xu, S.; Wu, Z.; Wang, N.; Loy, M.M.T.; Du, S. Oxygen-assisted charge transfer between ZnO quantum dots and graphene. Small 2013, 9, 3031. [Google Scholar] [CrossRef] [PubMed]
- McDonald, S.A.; Konstantatos, G.; Zhang, S.; Cyr, P.W.; Klem, E.J.; Levina, L.; Sargent, E.H. Solution-processed PbS quantum dot infrared photodetectors and photovoltaics. Nat. Mater. 2005, 4, 138. [Google Scholar] [CrossRef]
- Ovchinnikov, O.V.; Grevtseva, I.G.; Smirnov, M.S.; Kondratenko, T.S. Reverse photodegradation of infrared luminescence of colloidal Ag2S quantum dots. J. Lumin. 2019, 207, 626–632. [Google Scholar] [CrossRef]
- Zhang, Y.; Liu, Y.; Li, C.; Chen, X.; Wang, Q.J. Controlled Synthesis of Ag2S Quantum Dots and Experimental Determination of the Exciton Bohr Radius. Phys. Chem. 2014, 118, 4918–4923. [Google Scholar] [CrossRef]
- Qing, C.; Ying, G.; Xiwen, L.; Cun, C. Nonlinear properties of water-soluble Ag2S and PbS quantum dots under picosecond laser pulses. In IOP Conference Series: Earth and Environmental Science; IOP Publishing: Bristol, UK, 2018; Volume 186, p. 12076. [Google Scholar]
- Karimipour, M.; Bagheri, M.; Johansson, E.M.J.; Molaei, M. Excellent growth of ZnS shell on Ag2S QDs using a photochemical-microwave irradiation approach and fabrication of their indoor QD thin film solar cells. Mater. Technol. 2018, 33, 784–792. [Google Scholar] [CrossRef]
- Hocaoglu, I.; Cizmeciyan, M.N.; Erdem, R.; Ozen, C.; Kurt, A.; Sennaroglu, A.; Acar, H.Y. Development of highly luminescent and cytocompatible near-IR-emitting aqueous Ag2S quantum dots. J. Mater. Chem. 2012, 22, 14674–14681. [Google Scholar] [CrossRef]
- Sadovnikov, S.I.; Gusev, A.I. Recent progress in nanostructured silver sulfide: From synthesis and nonstoichiometry to properties. J. Mater. Chem. 2017, 5, 17676–17704. [Google Scholar] [CrossRef]
- Smirnov, M.S.; Ovchinnikov, O.V.; Perepelitsa, A.S. "Resonant Nonradiative Energy Transfer in Hybrid Associates of Thionine Molecules and Ag2S Colloidal Quantum Dots with Different Luminescence Mechanisms". Opt. Spectrosc. 2019, 126, 62–69. [Google Scholar] [CrossRef]
- Perepelitsa, A.; Smirnov, M.; Ovchinnikov, O.; Latyshev, A.; Kotko, A. Thermostimulated luminescence of colloidal Ag2S quantum dots. J. Lumin. 2018, 198, 357–363. [Google Scholar] [CrossRef]
- Sadovnikov, S.I.; Gerasimov, E.Y. "Direct TEM observation of the acanthite α-Ag2S–argentite β-Ag2S” phase transition in a silver sulfide nanoparticle. Nanoscale Adv. 2019, 1, 1581. [Google Scholar] [CrossRef]
- Prince, M.B. Drift Mobilities in Semiconductors. II. Silicon. Phys. Rev. 1954, 93, 1204. [Google Scholar] [CrossRef]








© 2020 by the authors. Licensee MDPI, Basel, Switzerland. This article is an open access article distributed under the terms and conditions of the Creative Commons Attribution (CC BY) license (http://creativecommons.org/licenses/by/4.0/).
Share and Cite
Tretyakov, I.; Svyatodukh, S.; Perepelitsa, A.; Ryabchun, S.; Kaurova, N.; Shurakov, A.; Smirnov, M.; Ovchinnikov, O.; Goltsman, G. Ag2S QDs/Si Heterostructure-Based Ultrasensitive SWIR Range Detector. Nanomaterials 2020, 10, 861. https://doi.org/10.3390/nano10050861
Tretyakov I, Svyatodukh S, Perepelitsa A, Ryabchun S, Kaurova N, Shurakov A, Smirnov M, Ovchinnikov O, Goltsman G. Ag2S QDs/Si Heterostructure-Based Ultrasensitive SWIR Range Detector. Nanomaterials. 2020; 10(5):861. https://doi.org/10.3390/nano10050861
Chicago/Turabian StyleTretyakov, Ivan, Sergey Svyatodukh, Aleksey Perepelitsa, Sergey Ryabchun, Natalya Kaurova, Alexander Shurakov, Mikhail Smirnov, Oleg Ovchinnikov, and Gregory Goltsman. 2020. "Ag2S QDs/Si Heterostructure-Based Ultrasensitive SWIR Range Detector" Nanomaterials 10, no. 5: 861. https://doi.org/10.3390/nano10050861
APA StyleTretyakov, I., Svyatodukh, S., Perepelitsa, A., Ryabchun, S., Kaurova, N., Shurakov, A., Smirnov, M., Ovchinnikov, O., & Goltsman, G. (2020). Ag2S QDs/Si Heterostructure-Based Ultrasensitive SWIR Range Detector. Nanomaterials, 10(5), 861. https://doi.org/10.3390/nano10050861

