Study on the Synthesis of Mn3O4 Nanooctahedrons and Their Performance for Lithium Ion Batteries
Abstract
1. Introduction
2. Materials and Methods
2.1. Chemicals
2.2. Synthesis of Mn3O4 Nano-Particles
2.3. Material Characterization
2.4. Electrochemical Measurements
3. Results
3.1. Microstructure and Morphology
3.2. HR-TEM and Elemental Mapping
3.3. XPS Analysis
3.4. FT-IR Spectrum Analysis
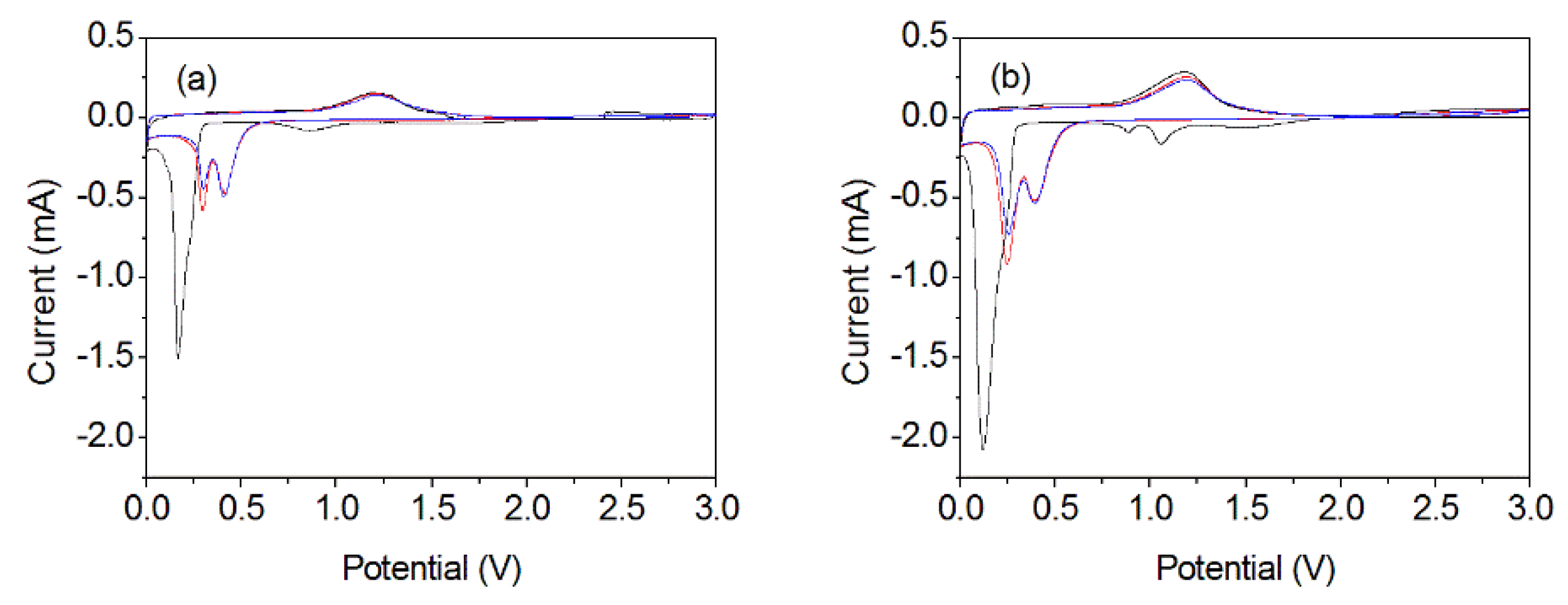
3.5. Electrochemical Property
4. Conclusions
Author Contributions
Funding
Conflicts of Interest
References
- Luo, Y.; Fan, S.; Hao, N.; Zhong, S.; Liu, W. An ultrasound-assisted approach to synthesize Mn3O4/RGO hybrids with high capability for lithium ion batteries. Dalton Trans. 2014, 43, 15317–15320. [Google Scholar] [CrossRef] [PubMed]
- Yan, W.; Kim, J.Y.; Xing, W.; Donavan, K.C.; Ayvazian, T.; Penner, R.M. Lithographically Patterned Gold/Manganese Dioxide Core/Shell Nanowires for High Capacity, High Rate, and High Cyclability Hybrid Electrical Energy Storage. Chem. Mater. 2012, 24, 2382–2390. [Google Scholar] [CrossRef]
- Wang, D.; Li, Y.; Wang, Q.; Wang, T. Facile Synthesis of Porous Mn3O4 Nanocrystal–Graphene Nanocomposites for Electrochemical Supercapacitors. Eur. J. Inorg. Chem. 2012, 2012, 628–635. [Google Scholar] [CrossRef]
- Bai, Z.; Fan, N.; Sun, C.; Ju, Z.; Guo, C.; Yang, J.; Qian, Y. Facile synthesis of loaf-like ZnMn2O4 nanorods and their excellent performance in Li-ion batteries. Nanoscale 2013, 5, 2442–2447. [Google Scholar] [CrossRef] [PubMed]
- Wang, H.; Cui, L.-F.; Yang, Y.; Sanchez Casalongue, H.; Robinson, J.T.; Liang, Y.; Cui, Y.; Dai, H. Mn3O4-Graphene Hybrid as a High-Capacity Anode Material for Lithium Ion Batteries. J. Am. Chem. Soc. 2010, 132, 13978–13980. [Google Scholar] [CrossRef]
- Lee, J.W.; Hall, A.S.; Kim, J.-D.; Mallouk, T.E. A Facile and Template-Free Hydrothermal Synthesis of Mn3O4 Nanorods on Graphene Sheets for Supercapacitor Electrodes with Long Cycle Stability. Chem. Mater. 2012, 24, 1158–1164. [Google Scholar] [CrossRef]
- Wang, C.; Yin, L.; Xiang, D.; Qi, Y. Uniform Carbon Layer Coated Mn3O4 Nanorod Anodes with Improved Reversible Capacity and Cyclic Stability for Lithium Ion Batteries. ACS Appl. Mater. Interfaces 2012, 4, 1636–1642. [Google Scholar] [CrossRef]
- Li, T.; Guo, C.; Sun, B.; Li, T.; Li, Y.; Hou, L.; Wei, Y. Well-shaped Mn3O4 tetragonal bipyramids with good performance for lithium ion batteries. J. Mater. Chem. A 2015, 3, 7248–7254. [Google Scholar] [CrossRef]
- Shaik, D.P.M.D.; Rosaiah, P.; Hussain, O.M. Supercapacitive Performance of Mn3O4 Nanoparticles Synthesized by Hydrothermal Method. Adv. Sci. Eng. Med. 2016, 8, 140–145. [Google Scholar] [CrossRef]
- Duan, J.; Zheng, Y.; Chen, S.; Tang, Y.; Jaroniec, M.; Qiao, S. Mesoporous hybrid material composed of Mn3O4 nanoparticles on nitrogen-doped graphene for highly efficient oxygen reduction reaction. Chem. Commun. 2013, 49, 7705–7707. [Google Scholar] [CrossRef]
- Gao, J.; Lowe, M.A.; Abruña, H.D. Spongelike Nanosized Mn3O4 as a High-Capacity Anode Material for Rechargeable Lithium Batteries. Chem. Mater. 2011, 23, 3223–3227. [Google Scholar] [CrossRef]
- Subramani, K.; Jeyakumar, D.; Sathish, M. Manganese hexacyanoferrate derived Mn3O4 nanocubes-reduced graphene oxide nanocomposites and their charge storage characteristics in supercapacitors. Phys. Chem. Chem. Phys. 2014, 16, 4952–4961. [Google Scholar] [CrossRef] [PubMed]
- Gorlin, Y.; Chung, C.-J.; Nordlund, D.; Clemens, B.M.; Jaramillo, T.F. Mn3O4 Supported on Glassy Carbon: An Active Non-Precious Metal Catalyst for the Oxygen Reduction Reaction. ACS Catal. 2012, 2, 2687–2694. [Google Scholar] [CrossRef]
- Fan, X.-Y.; Cui, Y.; Liu, P.; Gou, L.; Xu, L.; Li, D.-L. Electrochemical construction of three-dimensional porous Mn3O4 nanosheet arrays as an anode for the lithium ion battery. Phys. Chem. Chem. Phys. 2016, 18, 22224–22234. [Google Scholar] [CrossRef] [PubMed]
- Jiangying, Q.; Feng, G.; Quan, Z.; Zhiyu, W.; Han, H.; Beibei, L.; Wubo, W.; Xuzhen, W.; Jieshan, Q. Highly atom-economic synthesis of graphene/Mn3O4 hybrid composites for electrochemical supercapacitors. Nanoscale 2013, 5, 2999–3005. [Google Scholar] [CrossRef] [PubMed]
- Li, X.; Song, H.; Wang, H.; Zhang, Y.; Du, K.; Li, H.; Huang, J. A nanocomposite of graphene/MnO2 nanoplatelets for high-capacity lithium storage. J. Appl. Electrochem. 2012, 42, 1065–1070. [Google Scholar] [CrossRef]
- Chae, C.; Kim, J.H.; Kim, J.M.; Sun, Y.-K.; Lee, J.K. Highly reversible conversion-capacity of MnOx-loaded ordered mesoporous carbon nanorods for lithium-ion battery anodes. J. Mater. Chem. 2012, 22, 17870–17877. [Google Scholar] [CrossRef]
- Rosaiah, P.; Zhu, J.; Shaik PMD, D.; Hussain, O.M.; Qiu, Y.; Zhao, L. Reduced graphene oxide/Mn3O4 nanocomposite electrodes with enhanced electrochemical performance for energy storage applications. J. Electroanal. Chem. 2017, 794, 78–85. [Google Scholar] [CrossRef]
- Wang, J.-G.; Jin, D.; Zhou, R.; Li, X.; Liu, X.-r.; Shen, C.; Xie, K.; Li, B.; Kang, F.; Wei, B. Highly Flexible Graphene/Mn3O4 Nanocomposite Membrane as Advanced Anodes for Li-Ion Batteries. ACS Nano 2016, 10, 6227–6234. [Google Scholar] [CrossRef]
- Li, L.; Guo, Z.; Du, A.; Liu, H. Rapid microwave-assisted synthesis of Mn3O4-graphene nanocomposite and its lithium storage properties. J. Mater. Chem. 2012, 22, 3600–3605. [Google Scholar] [CrossRef]
- Bag, S.; Roy, K.; Gopinath, C.S.; Raj, C.R. Facile Single-Step Synthesis of Nitrogen-Doped Reduced Graphene Oxide-Mn3O4 Hybrid Functional Material for the Electrocatalytic Reduction of Oxygen. ACS Appl. Mater. Interfaces 2014, 6, 2692–2699. [Google Scholar] [CrossRef] [PubMed]
- Li, J.; Zou, M.; Zhao, Y.; Lin, Y.; Lai, H.; Guan, L.; Huang, Z. Coaxial MWNTs@MnO2 confined in conducting PPy for kinetically efficient and long-term lithium ion storage. Electrochim. Acta 2013, 111, 165–171. [Google Scholar] [CrossRef]
- Li, Y.; Ye, D.; Liu, W.; Shi, B.; Guo, R.; Zhao, H.; Pei, H.; Xu, J.; Xie, J. A MnO2/Graphene Oxide/Multi-Walled Carbon Nanotubes-Sulfur Composite with Dual-Efficient Polysulfide Adsorption for Improving Lithium-Sulfur Batteries. ACS Appl. Mater. Interfaces 2016, 8, 28566–28573. [Google Scholar] [CrossRef] [PubMed]
- Xia, H.; Lai, M.; Lu, L. Nanoflaky MnO2/carbon nanotube nanocomposites as anode materials for lithium-ion batteries. J. Mater. Chem. 2010, 20, 6896–6902. [Google Scholar] [CrossRef]
- Han, Y.-F.; Chen, F.; Zhong, Z.; Ramesh, K.; Chen, L.; Widjaja, E. Controlled Synthesis, Characterization, and Catalytic Properties of Mn2O3 and Mn3O4 Nanoparticles Supported on Mesoporous Silica SBA-15. J. Phys. Chem. B 2006, 110, 24450–24456. [Google Scholar] [CrossRef] [PubMed]
- Yue, J.; Gu, X.; Chen, L.; Wang, N.; Jiang, X.; Xu, H.; Yang, J.; Qian, Y. General synthesis of hollow MnO2, Mn3O4 and MnO nanospheres as superior anode materials for lithium ion batteries. J. Mater. Chem. A 2014, 2, 17421–17426. [Google Scholar] [CrossRef]
- Gu, X.; Yue, J.; Li, L.; Xue, H.; Yang, J.; Zhao, X. General Synthesis of MnOx (MnO2, Mn2O3, Mn3O4, MnO) Hierarchical Microspheres as Lithium-ion Battery Anodes. Electrochim. Acta 2015, 184, 250–256. [Google Scholar] [CrossRef]
- Hu, C.-C.; Wu, Y.-T.; Chang, K.-H. Low-Temperature Hydrothermal Synthesis of Mn3O4 and MnOOH Single Crystals: Determinant Influence of Oxidants. Chem. Mater. 2008, 20, 2890–2894. [Google Scholar] [CrossRef]
- Golmojdeh, H.; Zanjanchi, M.A. A facile approach for synthesis of BiVO4 nano-particles possessing high surface area and various morphologies. Cryst. Res. Technol. 2012, 47, 1014–1025. [Google Scholar] [CrossRef]
- Zhou, X.; Fu, W.; Yang, H.; Ma, D.; Cao, J.; Leng, Y.; Guo, J.; Zhang, Y.; Sui, Y.; Zhao, W.; et al. Synthesis and ethanol-sensing properties of flowerlike SnO2 nanorods bundles by poly(ethylene glycol)-assisted hydrothermal process. Mater. Chem. Phys. 2010, 124, 614–618. [Google Scholar] [CrossRef]
- Wang, X.; Li, Y. Synthesis and Formation Mechanism of Manganese Dioxide Nanowires/Nanorods. Chem. Eur. J. 2003, 9, 300–306. [Google Scholar] [CrossRef] [PubMed]
- Yang, J.; Zeng, J.-H.; Yu, S.-H.; Yang, L.; Zhou, G.-e.; Qian, Y.-t. Formation Process of CdS Nanorods via Solvothermal Route. Chem. Mater. 2000, 12, 3259–3263. [Google Scholar] [CrossRef]
- Lan, L.; Li, Q.; Gu, G.; Zhang, H.; Liu, B. Hydrothermal synthesis of γ-MnOOH nanorods and their conversion to MnO2, Mn2O3, and Mn3O4 nanorods. J. Alloys Compd. 2015, 644, 430–437. [Google Scholar] [CrossRef]
- Rajput, L.; Biradha, K. Bimetallic Clusters of Pyridine-Appended Ethylenediaminetetraacetic Acid (EDTA)-amides in Designing 1D and 2D Coordination Frameworks. Cryst. Growth Des. 2007, 7, 2376–2379. [Google Scholar] [CrossRef]
- Jiang, H.; Hu, J.; Li, C.; Gu, F.; Ma, J. Large-scale, uniform, single-crystalline Cd(OH)2 hexagonal platelets for Cd-based functional applications. CrystEngComm 2010, 12, 1726–1729. [Google Scholar] [CrossRef]
- Jiang, H.; Zhao, T.; Yan, C.; Ma, J.; Li, C. Hydrothermal synthesis of novel Mn3O4 nano-octahedrons with enhanced supercapacitors performances. Nanoscale 2010, 2, 2195–2198. [Google Scholar] [CrossRef]
- Zhang, D.; Zhang, X.; Ni, X.; Song, J.; Zheng, H. Fabrication and Characterization of Fe3O4 Octahedrons via an EDTA-Assisted Route. Cryst. Growth Des. 2007, 7, 2117–2119. [Google Scholar] [CrossRef]
- Wang, Z.L. Transmission Electron Microscopy of Shape-Controlled Nanocrystals and Their Assemblies. J. Phys. Chem. B 2000, 104, 1153–1175. [Google Scholar] [CrossRef]
- Yin, J.; Gao, F.; Wu, Y.; Wang, J.; Lu, Q. Synthesis of Mn3O4 octahedrons and other manganese-based nanostructures through a simple and green route. CrystEngComm 2010, 12, 3401–3403. [Google Scholar] [CrossRef]
- Tian, Z.-Y.; Mountapmbeme Kouotou, P.; Bahlawane, N.; Tchoua Ngamou, P.H. Synthesis of the Catalytically Active Mn3O4 Spinel and Its Thermal Properties. J. Phys. Chem. C 2013, 117, 6218–6224. [Google Scholar] [CrossRef]
- Han, X.G.; He, H.Z.; Kuang, Q.; Zhou, X.; Zhang, X.H.; Xu, T.; Xie, Z.X.; Zheng, L.S. Controlling Morphologies and Tuning the Related Properties of Nano/Microstructured ZnO Crystallites. J. Phys. Chem. C 2009, 113, 584–589. [Google Scholar] [CrossRef]
- Tian, Z.-Y.; Tchoua Ngamou, P.H.; Vannier, V.; Kohse-Höinghaus, K.; Bahlawane, N. Catalytic oxidation of VOCs over mixed Co–Mn oxides. Appl. Catal. B Environ 2012, 117–118, 125–134. [Google Scholar] [CrossRef]
- Todorova, S.; Kolev, H.; Holgado, J.P.; Kadinov, G.; Bonev, C.; Pereñíguez, R.; Caballero, A. Complete n-hexane oxidation over supported Mnn-Co catalysts. Appl. Catal. B Environ. 2010, 94, 46–54. [Google Scholar] [CrossRef]
- Zhang, Y.; Du, G.; Wang, X.; Li, W.; Yang, X.; Ma, Y.; Zhao, B.; Yang, H.; Liu, D.; Yang, S. X-ray photoelectron spectroscopy study of ZnO films grown by metal-organic chemical vapor deposition. J. Cryst. Growth 2003, 252, 180–183. [Google Scholar] [CrossRef]
- Wang, Z.G.; Zu, X.T.; Zhu, S.; Wang, L.M. Green luminescence originates from surface defects in ZnO nanoparticles. Phys. E 2006, 35, 199–202. [Google Scholar] [CrossRef]
- Wang, Y.; Zhu, L.; Yang, X.; Shao, E.; Deng, X.; Liu, N.; Wu, M. Facile synthesis of three-dimensional Mn3O4 hierarchical microstructures and their application in the degradation of methylene blue. J. Mater. Chem. A 2015, 3, 2934–2941. [Google Scholar] [CrossRef]
- Li, Z.; Bao, H.; Miao, X.; Chen, X. A facile route to growth of γ-MnOOH nanorods and electrochemical capacitance properties. J. Colloid Interf. Sci. 2011, 357, 286–291. [Google Scholar] [CrossRef]
- Zhang, W.; Yang, Z.; Liu, Y.; Tang, S.; Han, X.; Chen, M. Controlled synthesis of Mn3O4 nanocrystallites and MnOOH nanorods by a solvothermal method. J. Cryst. Growth 2004, 263, 394–399. [Google Scholar] [CrossRef]
- Li, Y.; Li, X.-M. Facile treatment of wastewater produced in Hummer’s method to prepare Mn3O4 nanoparticles and study their electrochemical performance in an asymmetric supercapacitor. RSC Adv. 2013, 3, 2398–2403. [Google Scholar] [CrossRef]
- Sharma, P.K.; Whittingham, M.S. The role of tetraethyl ammonium hydroxide on the phase determination and electrical properties of γ-MnOOH synthesized by hydrothermal. Mater. Lett. 2001, 48, 319–323. [Google Scholar] [CrossRef]
- Giri, A.; Goswami, N.; Pal, M.; Zar Myint, M.T.; Al-Harthi, S.; Singha, A.; Ghosh, B.; Dutta, J.; Pal, S.K. Rational surface modification of Mn3O4 nanoparticles to induce multiple photoluminescence and room temperature ferromagnetism. J. Mater. Chem. C 2013, 1, 1885–1895. [Google Scholar] [CrossRef]
- Wang, M.; Cheng, L.; Li, Q.; Chen, Z.; Wang, S. Two-dimensional nanosheets associated with one-dimensional single-crystalline nanorods self-assembled into three-dimensional flower-like Mn3O4 hierarchical architectures. Phys. Chem. Chem. Phys. 2014, 16, 21742–21746. [Google Scholar] [CrossRef]
- Nagamuthu, S.; Vijayakumar, S.; Muralidharan, G. Synthesis of Mn3O4/Amorphous Carbon Nanoparticles as Electrode Material for High Performance Supercapacitor Applications. Energy Fuels 2013, 27, 3508–3515. [Google Scholar] [CrossRef]
- Gupta, A.; Chen, G.; Joshi, P.; Tadigadapa, S.; Eklund, P.C. Raman Scattering from High-Frequency Phonons in Supported n-Graphene Layer Films. Nano Lett. 2006, 6, 2667–2673. [Google Scholar] [CrossRef] [PubMed]
- Lou, X.; Wu, X.; Zhang, Y. A study about γ-MnOOH nanowires as anode materials for rechargeable Li-ion batteries. J. Alloys Compd. 2013, 550, 185–189. [Google Scholar] [CrossRef]
- Yan, Y.; Zhu, Y.; Yu, Y.; Li, J.; Mei, T.; Ju, Z.; Qian, Y. MnCO3 Microstructures Assembled with Nanoparticles: Shape-Controlled Synthesis and Their Application for Li-Ion Batteries. J. Nanosci. Nanotechnol. 2012, 12, 7334–7338. [Google Scholar] [CrossRef]
- Gao, M.; Cui, X.; Wang, R.; Wang, T.; Chen, W. Graphene-wrapped mesoporous MnCO3 single crystals synthesized by a dynamic floating electrodeposition method for high performance lithium-ion storage. J. Mater. Chem. A 2015, 3, 14126–14133. [Google Scholar] [CrossRef]
- Poizot, P.; Laruelle, S.; Grugeon, S.; Dupont, L.; Tarascon, J.M. Nano-sized transition-metal oxides as negative-electrode materials for lithium-ion batteries. Nature 2000, 407, 496–499. [Google Scholar] [CrossRef]
- Palaniyandy, N.; Nkosi, F.P.; Raju, K.; Ozoemena, K.I. Conversion of electrolytic MnO2 to Mn3O4 nanowires for high-performance anode materials for lithium-ion batteries. J. Electroanal. Chem. 2019, 833, 79–92. [Google Scholar] [CrossRef]
- Wang, B.; Li, F.; Wang, X.; Wang, G.; Wang, H.; Bai, J. Mn3O4 nanotubes encapsulated by porous graphene sheets with enhanced electrochemical properties for lithium/sodium-ion batteries. Chem. Eng. J. 2019, 364, 57–69. [Google Scholar] [CrossRef]
- Xu, L.; Chen, X.; Zeng, L.; Liu, R.; Zheng, C.; Qian, Q.; Chen, Q. Synthesis of hierarchical Mn3O4 microsphere composed of ultrathin nanosheets and its excellent long-term cycling performance for lithium-ion batteries. J. Mater. Sci. Mater. El. 2019, 30, 3055–3060. [Google Scholar] [CrossRef]
- Jiang, Z.; Huang, K.; Yang, D.; Wang, S.; Zhong, H.; Jiang, C. Facile preparation of Mn3O4 hollow microspheres via reduction of pentachloropyridine and their performance in lithium-ion batteries. RSC Adv. 2017, 7, 8264–8271. [Google Scholar] [CrossRef]
- Huang, S.-Z.; Jin, J.; Cai, Y.; Li, Y.; Tan, H.-Y.; Wang, H.-E.; Van Tendeloo, G.; Su, B.-L. Engineering single crystalline Mn3O4 nano-octahedra with exposed highly active {011} facets for high performance lithium ion batteries. Nanoscale 2014, 6, 6819–6827. [Google Scholar] [CrossRef] [PubMed]
- Zhen, M.; Zhang, Z.; Ren, Q.; Liu, L. Room-temperature synthesis of ultrathin Mn3O4 nanosheets as anode materials for lithium-ion batteries. Mater. Lett. 2016, 177, 21–24. [Google Scholar] [CrossRef]
- Yang, Y.; Huang, X.; Xiang, Y.; Chen, S.; Guo, L.; Leng, S.; Shi, W. Mn3O4 with different morphologies tuned through one-step electrochemical method for high-performance lithium-ion batteries anode. J. Alloys Compd. 2019, 771, 335–342. [Google Scholar] [CrossRef]
- Ivanishchev, A.V.; Ivanishcheva, I.A.; Dixit, A. LiFePO4-Based Composite Electrode Material: Synthetic Approaches, Peculiarities of the Structure, and Regularities of Ionic Transport Processes. Russ. J. Electrochem. 2019, 55, 719–737. [Google Scholar] [CrossRef]
- Ivanishchev, A.V.; Churikov, A.V.; Ivanishcheva, I.A.; Ushakov, A.V. Lithium diffusion in Li3V2(PO4)3-based electrodes: A joint analysis of electrochemical impedance, cyclic voltammetry, pulse chronoamperometry, and chronopotentiometry data. Ionics 2016, 22, 483–501. [Google Scholar] [CrossRef]
- Ivanishchev, A.V.; Churikov, A.V.; Ushakov, A.V. Lithium transport processes in electrodes on the basis of Li3V2(PO4)3 by constant current chronopotentiometry, cyclic voltammetry and pulse chronoamperometry. Electrochim. Acta 2014, 122, 187–196. [Google Scholar] [CrossRef]
- Bai, Z.; Zhang, X.; Zhang, Y.; Guo, C.; Tang, B. Facile synthesis of mesoporous Mn3O4 nanorods as a promising anode material for high performance lithium-ion batteries. J. Mater. Chem. A 2014, 2, 16755–16760. [Google Scholar] [CrossRef]
- Wang, J.; Du, N.; Wu, H.; Zhang, H.; Yu, J.; Yang, D. Order-aligned Mn3O4 nanostructures as super high-rate electrodes for rechargeable lithium-ion batteries. J. Power Sources 2013, 222, 32–37. [Google Scholar] [CrossRef]
- Bai, Z.; Fan, N.; Ju, Z.; Guo, C.; Qian, Y.; Tang, B.; Xiong, S. Facile synthesis of mesoporous Mn3O4 nanotubes and their excellent performance for lithium-ion batteries. J. Mater. Chem. A 2013, 1, 10985–10990. [Google Scholar] [CrossRef]
- Guo, J.; Liu, Q.; Wang, C.; Zachariah, M.R. Interdispersed Amorphous MnOx–Carbon Nanocomposites with Superior Electrochemical Performance as Lithium-Storage Material. Adv. Funct. Mater. 2012, 22, 803–811. [Google Scholar] [CrossRef]
- Wu, Y.; Yue, K.; Wang, Y.; Chen, C.; Lü, W.; Duan, L. Controlled synthesis of MnOOH multilayer nanowires as anode materials for lithium-ion batteries. Mater. Charact. 2016, 118, 405–410. [Google Scholar] [CrossRef]
- Cao, Y.; Xiao, L.; Ai, X.; Yang, H. Surface-Modified Graphite as an Improved Intercalating Anode for Lithium-Ion Batteries. Electrochem. Solid-State Lett. 2003, 6, A30–A33. [Google Scholar] [CrossRef]
- Hao, Q.; Wang, J.; Xu, C. Facile preparation of Mn3O4 octahedra and their long-term cycle life as an anode material for Li-ion batteries. J. Mater. Chem. A 2014, 2, 87–93. [Google Scholar] [CrossRef]
- Yonekura, D.; Iwama, E.; Ota, N.; Muramatsu, M.; Saito, M.; Orikasa, Y.; Naoi, W.; Naoi, K. Progress of the conversion reaction of Mn3O4 particles as a function of the depth of discharge. Phys. Chem. Chem. Phys. 2014, 16, 6027–6032. [Google Scholar] [CrossRef]
- Alfaruqi, M.H.; Gim, J.; Kim, S.; Song, J.; Duong, P.T.; Jo, J.; Baboo, J.P.; Xiu, Z.; Mathew, V.; Kim, J. One-Step Pyro-Synthesis of a Nanostructured Mn3O4/C Electrode with Long Cycle Stability for Rechargeable Lithium-Ion Batteries. Chem. Eur. J. 2016, 22, 2039–2045. [Google Scholar] [CrossRef]
- Ivanishchev, A.V.; Bobrikov, I.A.; Ivanishcheva, I.A.; Ivanshina, O.Y. Study of structural and electrochemical characteristics of LiNi0.33Mn0.33Co0.33O2 electrode at lithium content variation. J. Electroanal. Chem. 2018, 821, 140–151. [Google Scholar] [CrossRef]
- Ivanishchev, A.V.; Churikov, A.V.; Ivanishcheva, I.A.; Ushakov, A.V.; Sneha, M.J.; Babbar, P.; Dixit, A. Models of lithium transport as applied to determination of diffusion characteristics of intercalation electrodes. Russ. J. Electrochem. 2017, 53, 706–712. [Google Scholar] [CrossRef]
- Ivanishcheva, I.A.; Ivanishchev, A.V.; Dixit, A. Positive effect of surface modification with titanium carbosilicide on performance of lithium-transition metal phosphate cathode materials. Monatsh. Chem. 2019, 150, 489–498. [Google Scholar] [CrossRef]
- Zhang, R.; Jing, X.; Chu, Y.; Wang, L.; Kang, W.; Wei, D.; Li, H.; Xiong, S. Nitrogen/oxygen co-doped monolithic carbon electrodes derived from melamine foam for high-performance supercapacitors. J. Mater. Chem. A 2018, 6, 17730–17739. [Google Scholar] [CrossRef]











© 2020 by the authors. Licensee MDPI, Basel, Switzerland. This article is an open access article distributed under the terms and conditions of the Creative Commons Attribution (CC BY) license (http://creativecommons.org/licenses/by/4.0/).
Share and Cite
Kong, Y.; Jiao, R.; Zeng, S.; Cui, C.; Li, H.; Xu, S.; Wang, L. Study on the Synthesis of Mn3O4 Nanooctahedrons and Their Performance for Lithium Ion Batteries. Nanomaterials 2020, 10, 367. https://doi.org/10.3390/nano10020367
Kong Y, Jiao R, Zeng S, Cui C, Li H, Xu S, Wang L. Study on the Synthesis of Mn3O4 Nanooctahedrons and Their Performance for Lithium Ion Batteries. Nanomaterials. 2020; 10(2):367. https://doi.org/10.3390/nano10020367
Chicago/Turabian StyleKong, Yueyue, Ranran Jiao, Suyuan Zeng, Chuansheng Cui, Haibo Li, Shuling Xu, and Lei Wang. 2020. "Study on the Synthesis of Mn3O4 Nanooctahedrons and Their Performance for Lithium Ion Batteries" Nanomaterials 10, no. 2: 367. https://doi.org/10.3390/nano10020367
APA StyleKong, Y., Jiao, R., Zeng, S., Cui, C., Li, H., Xu, S., & Wang, L. (2020). Study on the Synthesis of Mn3O4 Nanooctahedrons and Their Performance for Lithium Ion Batteries. Nanomaterials, 10(2), 367. https://doi.org/10.3390/nano10020367
