Magnetic Ionic Liquid Nanocatalyst to Improve Mechanical and Thermal Properties of Epoxy Nanocomposites
Abstract
1. Introduction
2. Experimental
2.1. Materials
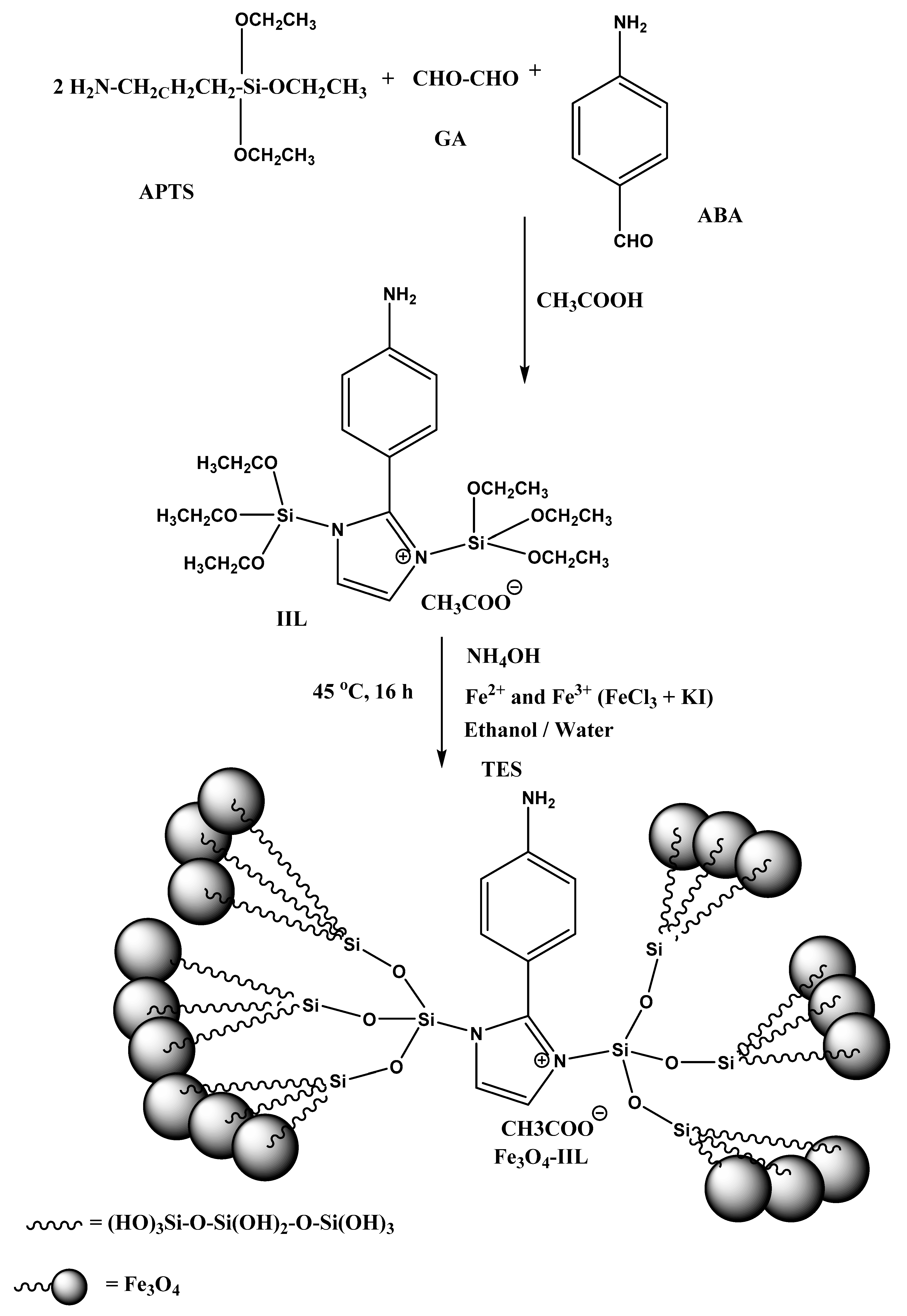
2.2. Preparation of Magnetic IIL
2.2.1. Preparation of IIL
2.2.2. Preparation of Fe3O4-IIL
2.3. Characterization of Magnetite and IIL
2.4. Curing of DGEB/PA in the Presence of Fe3O4-IIL
3. Results and Discussion
3.1. Characterization of the Prepared IIL and Fe3O4-IIL
3.2. Curing of Fe3O4-IIL with Epoxy and Polyamine Hardener
3.3. DMA and Thermal Characteristics
4. Conclusions
Author Contributions
Funding
Acknowledgments
Conflicts of Interest
References
- Kinloch, A.J. Adhesion and Adhesives: Science and Technology; Springer Science & Business Media: London, UK, 2012. [Google Scholar]
- Jin, F.-L.; Li, X.; Park, S.-J. Synthesis and application of epoxy resins: A review. J. Ind. Eng. Chem. 2015, 29, 1–11. [Google Scholar] [CrossRef]
- Matin, E.; Attar, M.; Ramezanzadeh, B. Investigation of corrosion protection properties of an epoxy nanocomposite loaded with polysiloxane surface modified nanosilica particles on the steel substrate. Prog. Org. Coat. 2015, 78, 395–403. [Google Scholar] [CrossRef]
- Atta, A.M.; Shaker, N.; Maysour, N. Influence of the molecular structure on the chemical resistivity and thermal stability of cured Schiff base epoxy resins. Prog. Org. Coat. 2006, 56, 100–110. [Google Scholar] [CrossRef]
- Atta, A.M.; Ahmed, M.A.; Al-Lohedan, H.A.; El-Faham, A. Multi-Functional Cardanol Triazine Schiff Base Polyimine Additives for Self-Healing and Super-Hydrophobic Epoxy of Steel Coating. Coatings 2020, 10, 327. [Google Scholar] [CrossRef]
- El-Faham, A.; Atta, A.M.; Osman, S.M.; Ezzat, A.O.; El-Saeed, A.M.; Al Othman, Z.A.; Al-Lohedan, H.A. Silver-embedded epoxy nanocomposites as organic coatings for steel. Prog. Org. Coat. 2018, 123, 209–222. [Google Scholar] [CrossRef]
- Atta, A.M.; El-Saeed, A.M.; El-Mahdy, G.M.; Al-Lohedan, H.A. Application of magnetite nano-hybrid epoxy as protective marine coatings for steel. RSC Adv. 2015, 5, 101923–101931. [Google Scholar] [CrossRef]
- Atta, A.M.; Al-Lohedan, H.A.; Al-Haddad, K.A. Epoxy coating with embedded self-healing networks formed by nanogel particles. RSC Adv. 2016, 6, 41229–41238. [Google Scholar] [CrossRef]
- Atta, A.M.; Al-Lohedan, H.A.; Ezzat, A.O.; A Al-Hussain, S. Characterization of superhydrophobic epoxy coatings embedded by modified calcium carbonate nanoparticles. Prog. Org. Coat. 2016, 101, 577–586. [Google Scholar] [CrossRef]
- Atta, A.M.; Al-Lohedan, H.A.; El-Saeed, A.M.; Al-Shafey, H.I.; Wahby, M. Epoxy embedded with TiO2 nanogel composites as promising self-healing organic coatings of steel. Prog. Org. Coat. 2017, 105, 291–302. [Google Scholar] [CrossRef]
- Atta, A.M.; El-Saeed, A.M.; Al-Lohedan, H.A.; Wahby, M. Effect of Montmorillonite Nanogel Composite Fillers on the Protection Performance of Epoxy Coatings on Steel Pipelines. Molecules 2017, 22, 905. [Google Scholar] [CrossRef]
- Atta, A.M.; Ezzat, A.O.; El-Saeed, A.M.; Wahby, M.H.; Abdallah, M.M. Superhydrophobic organic and inorganic clay nanocomposites for epoxy steel coatings. Prog. Org. Coat. 2020, 140, 105502. [Google Scholar] [CrossRef]
- Ma, J.; Mo, M.-S.; Du, X.; Rosso, P.; Friedrich, K.; Kuan, H.-C. Effect of inorganic nanoparticles on mechanical property, fracture toughness and toughening mechanism of two epoxy systems. Polymers 2008, 49, 3510–3523. [Google Scholar] [CrossRef]
- Wetzel, B.; Rosso, P.; Haupert, F.; Friedrich, K. Epoxy nanocomposites—fracture and toughening mechanisms. Eng. Fract. Mech. 2006, 73, 2375–2398. [Google Scholar] [CrossRef]
- Marouf, B.T.; Mai, Y.-W.; Bagheri, R.; Pearson, R.A. Toughening of Epoxy Nanocomposites: Nano and Hybrid Effects. Polym. Rev. 2016, 56, 70–112. [Google Scholar] [CrossRef]
- Kong, M.; Liu, C.; Tang, B.; Xu, W.; Huang, Y.; Li, G. Improved Mechanical and Thermal Properties of Trifunctional Epoxy Resins through Controlling Molecular Networks by Ionic Liquids. Ind. Eng. Chem. Res. 2019, 58, 8080–8089. [Google Scholar] [CrossRef]
- Binks, F.C.; Cavalli, G.; Henningsen, M.; Howlin, B.J.; Hamerton, I. Examining the effects of storage on the initiation behaviour of ionic liquids towards the cure of epoxy resins. React. Funct. Polym. 2018, 133, 9–20. [Google Scholar] [CrossRef]
- Xiao, F.; Wu, K.; Luo, F.; Yao, S.; Lv, M.; Zou, H.; Lu, M. Influence of Ionic Liquid-Based Metal–Organic Hybrid on Thermal Degradation, Flame Retardancy, and Smoke Suppression Properties of Epoxy Resin Composites. J. Mater. Sci. 2018, 53, 10135–10146. [Google Scholar] [CrossRef]
- Maksym, P.; Tarnacka, M.; Dzienia, A.; Matuszek, K.; Chrobok, A.; Kaminski, K.; Paluch, M. Enhanced Polymerization Rate and Conductivity of Ionic Liquid-Based Epoxy Resin. Macromolecules 2017, 50, 3262–3272. [Google Scholar] [CrossRef]
- Chen, S.; Zhang, J.; Zhou, J.; Zhang, D.; Zhang, A. Dramatic toughness enhancement of benzoxazine/epoxy thermosets with a novel hyperbranched polymeric ionic liquid. Chem. Eng. J. 2018, 334, 1371–1382. [Google Scholar] [CrossRef]
- Binks, F.C.; Cavalli, G.; Henningsen, M.; Howlin, B.J.; Hamerton, I. Investigating the mechanism through which ionic liquids initiate the polymerisation of epoxy resins. Polymers 2018, 139, 163–176. [Google Scholar] [CrossRef]
- Feng, J.; Loussala, H.M.; Han, S.; Ji, X.; Li, C.; Sun, M. Recent advances of ionic liquids in sample preparation. TrAC Trends Anal. Chem. 2020, 125, 115833. [Google Scholar] [CrossRef]
- Nguyen, T.K.L.; Livi, S.; Pruvost, S.; Soares, B.G.; Duchet-Rumeau, J. Ionic liquids as reactive additives for the preparation and modification of epoxy networks. J. Polym. Sci. Part A Polym. Chem. 2014, 52, 3463–3471. [Google Scholar] [CrossRef]
- Zheng, X.; Li, D.; Feng, C.; Chen, X. Thermal properties and non-isothermal curing kinetics of carbon nanotubes/ionic liquid/epoxy resin systems. Thermochim. Acta 2015, 618, 18–25. [Google Scholar] [CrossRef]
- Dzienia, A.; Tarnacka, M.; Koperwas, K.; Maksym, P.; Ziȩba, A.; Feder-Kubis, J.; Kaminski, K.; Paluch, M. Impact of Imidazolium-Based Ionic Liquids on the Curing Kinetics and Physicochemical Properties of Nascent Epoxy Resins. Macromolecules 2020, 53, 6341–6352. [Google Scholar] [CrossRef]
- Fonseca, E.; Da Silva, V.D.; Klitzke, J.; Schrekker, H.; Amico, S. Imidazolium ionic liquids as fracture toughening agents in DGEBA-TETA epoxy resin. Polym. Test. 2020, 87, 106556. [Google Scholar] [CrossRef]
- Wu, S.; Ladani, R.B.; Zhang, J.; Kinloch, A.J.; Zhaod, Z.; Ma, J.; Zhang, X.; Mouritz, A.P.; Ghorbani, K.; Wang, C.H. Epoxy nanocomposites containing magnetite-carbon nanofibersaligned using a weak magnetic field. Polymer 2015, 68, 25–34. [Google Scholar] [CrossRef]
- Medeiros, A.M.M.S.; Parize, A.L.; Oliveira, V.M.; Neto, B.A.D.; Bakuzis, A.F.; Sousa, M.H.; Rossi, L.M.; Rubim, J.C. Magnetic Ionic Liquids Produced by the Dispersion of Magnetic Nanoparticles in 1-n-Butyl-3-methylimidazolium bis(trifluoromethanesulfonyl)imide (BMI.NTf2). ACS Appl. Mater. Interfaces 2012, 4, 5458–5465. [Google Scholar] [CrossRef]
- Scholten, J.D.; Leal, B.C.; Dupont, J. ChemInform Abstract: Transition Metal Nanoparticle Catalysis in Ionic Liquids. Chemin 2012, 43. [Google Scholar] [CrossRef]
- Atta, A.M.; Moustafa, Y.M.; Ezzat, A.O.; Hashem, A.I. Novel Magnetic Silica-Ionic Liquid Nanocomposites for Wastewater Treatment. Nanomater. 2019, 10, 71. [Google Scholar] [CrossRef]
- Zeng, D.; Zhang, H.; Wang, B.; Sang, K.; Yang, J. Effect of Ammonia Concentration on Silica Spheres Morphology and Solution Hydroxyl Concentration in Stober Process. J. Nanosci. Nanotechnol. 2015, 15, 7407–7411. [Google Scholar] [CrossRef]
- Bagheri, M.H.; Masterifarahani, M.; Ghorbani, M. Synthesis and characterization of heteropolytungstate-ionic liquid supported on the surface of silica coated magnetite nanoparticles. J. Magn. Magn. Mater. 2013, 327, 58–63. [Google Scholar] [CrossRef]
- Lee, W.G.; Hwang, J.; Kang, S.W. Control of nanoporous polymer matrix by an ionic liquid and water pressure for applications to water-treatment and separator. Chem. Eng. J. 2016, 284, 37–40. [Google Scholar] [CrossRef]
- Rosenholm, J.M.; Zhang, J.; Sun, W.; Gu, H.-C. Large-pore mesoporous silica-coated magnetite core-shell nanocomposites and their relevance for biomedical applications. Microporous Mesoporous Mater. 2011, 145, 14–20. [Google Scholar] [CrossRef]
- Lee, C.H.; Park, S.H.; Chung, W.; Kim, J.Y.; Kim, S.H. Preparation and characterization of surface modified silica nanoparticles with organo-silane compounds. Colloids Surf. A Physicochem. Eng. Asp. 2011, 384, 318–322. [Google Scholar] [CrossRef]
- Zhang, Z.; Kong, J.-L. Novel magnetic Fe3O4@C nanoparticles as adsorbents for removal of organic dyes from aqueous solution. J. Hazard. Mater. 2011, 193, 325–329. [Google Scholar] [CrossRef]
- Jouyandeh, M.; Shabanian, M.; Khaleghi, M.; Paran, S.M.R.; Ghiyasi, S.; Vahabi, H.; Formela, K.; Puglia, D.; Saeb, M.R. Acid-aided epoxy-amine curing reaction as reflected in epoxy/Fe3O4 nanocomposites: Chemistry, mechanism, and fracture behavior. Prog. Org. Coat. 2018, 125, 384–392. [Google Scholar] [CrossRef]
- Jouyandeh, M.; Rahmati, N.; Movahedifar, E.; Hadavand, B.S.; Karami, Z.; Ghaffari, M.; Taheri, P.; Bakhshandeh, E.; Vahabi, H.; Ganjali, M.R.; et al. Properties of nano-Fe3O4 incorporated epoxy coatings from Cure Index perspective. Prog. Org. Coat. 2019, 133, 220–228. [Google Scholar] [CrossRef]
- Atta, A.M.; Hameed, R.S.A.; Al-Lohedan, H.A.; Ezzat, A.O.; Hashem, A.I. Magnetite doped cuprous oxide nanoparticles as modifier for epoxy organic coating. Prog. Org. Coat. 2017, 112, 295–303. [Google Scholar] [CrossRef]
















| Fe3O4-IIL wt. % | Tg1 before Curing (°C) | Tg2 after Curing (°C) | ΔH J.g−1 | Onset Temperature (°C) | Maximum Temperature (°C) |
|---|---|---|---|---|---|
| 0 | −15.36 | 105 | 260 | 90 | 218 |
| 1 | −12.3 | 95 | 350 | 95 | 219 |
| 3 | −2.3 | 85 | 355 | 70 | 215 |
| 6 | 0 | 98 | 365 | 60 | 207 |
| Fe3O4-IIL wt. % | Tg (°C) | Ge (MPa) | Te (K) | Crosslink Density ρ × 103 (mol. dm−3) |
|---|---|---|---|---|
| 0 | 105 | 2200 | 408 | 0.648 |
| 1 | 72 | 2800 | 350 | 0.9622 |
| 3 | 52 | 2600 | 375 | 0.834 |
| 6 | 92 | 4200 | 395 | 1.27 |
Publisher’s Note: MDPI stays neutral with regard to jurisdictional claims in published maps and institutional affiliations. |
© 2020 by the authors. Licensee MDPI, Basel, Switzerland. This article is an open access article distributed under the terms and conditions of the Creative Commons Attribution (CC BY) license (http://creativecommons.org/licenses/by/4.0/).
Share and Cite
Atta, A.M.; Al-Lohedan, H.A.; Tawfeek, A.M.; Sabeela, N.I. Magnetic Ionic Liquid Nanocatalyst to Improve Mechanical and Thermal Properties of Epoxy Nanocomposites. Nanomaterials 2020, 10, 2325. https://doi.org/10.3390/nano10122325
Atta AM, Al-Lohedan HA, Tawfeek AM, Sabeela NI. Magnetic Ionic Liquid Nanocatalyst to Improve Mechanical and Thermal Properties of Epoxy Nanocomposites. Nanomaterials. 2020; 10(12):2325. https://doi.org/10.3390/nano10122325
Chicago/Turabian StyleAtta, Ayman M., Hamad A. Al-Lohedan, Ahmed M. Tawfeek, and Nourah I. Sabeela. 2020. "Magnetic Ionic Liquid Nanocatalyst to Improve Mechanical and Thermal Properties of Epoxy Nanocomposites" Nanomaterials 10, no. 12: 2325. https://doi.org/10.3390/nano10122325
APA StyleAtta, A. M., Al-Lohedan, H. A., Tawfeek, A. M., & Sabeela, N. I. (2020). Magnetic Ionic Liquid Nanocatalyst to Improve Mechanical and Thermal Properties of Epoxy Nanocomposites. Nanomaterials, 10(12), 2325. https://doi.org/10.3390/nano10122325
