Metal Ion Release from PEO-Coated Ti6Al4V DMLS Alloy for Orthopedic Implants
Abstract
1. Introduction
2. Materials and Methods
2.1. Ti6Al4V Substrates
2.2. Plasma Electrolyte Oxidation
2.3. Material Characterization
2.4. Corrosion Testing
2.5. Metal Ion Release
3. Results
3.1. Substrate Characterization
3.2. Coating Growth and Characterization
3.3. Corrosion Behavior
3.3.1. Open Circuit Potential and Potentiodynamic Polarization
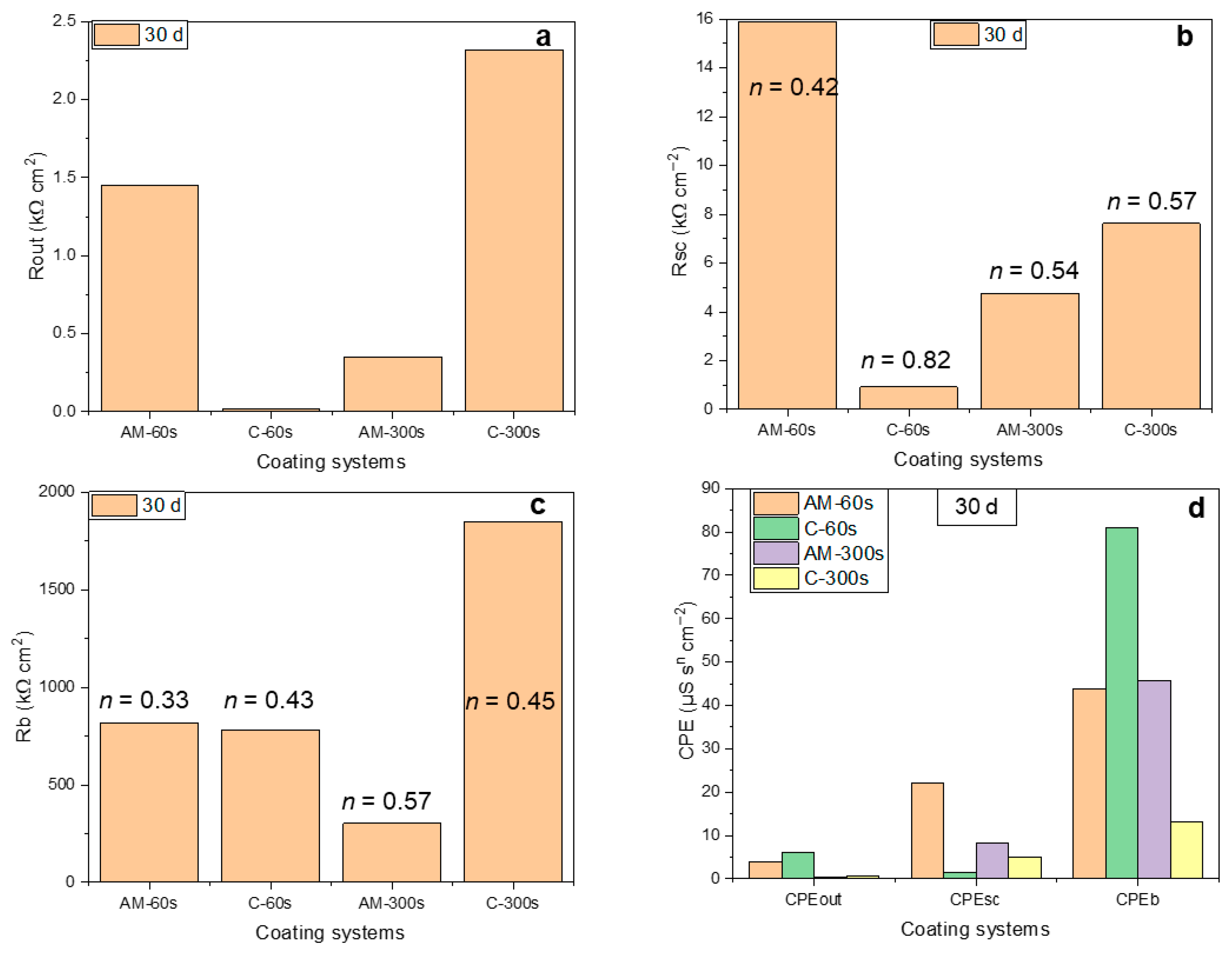
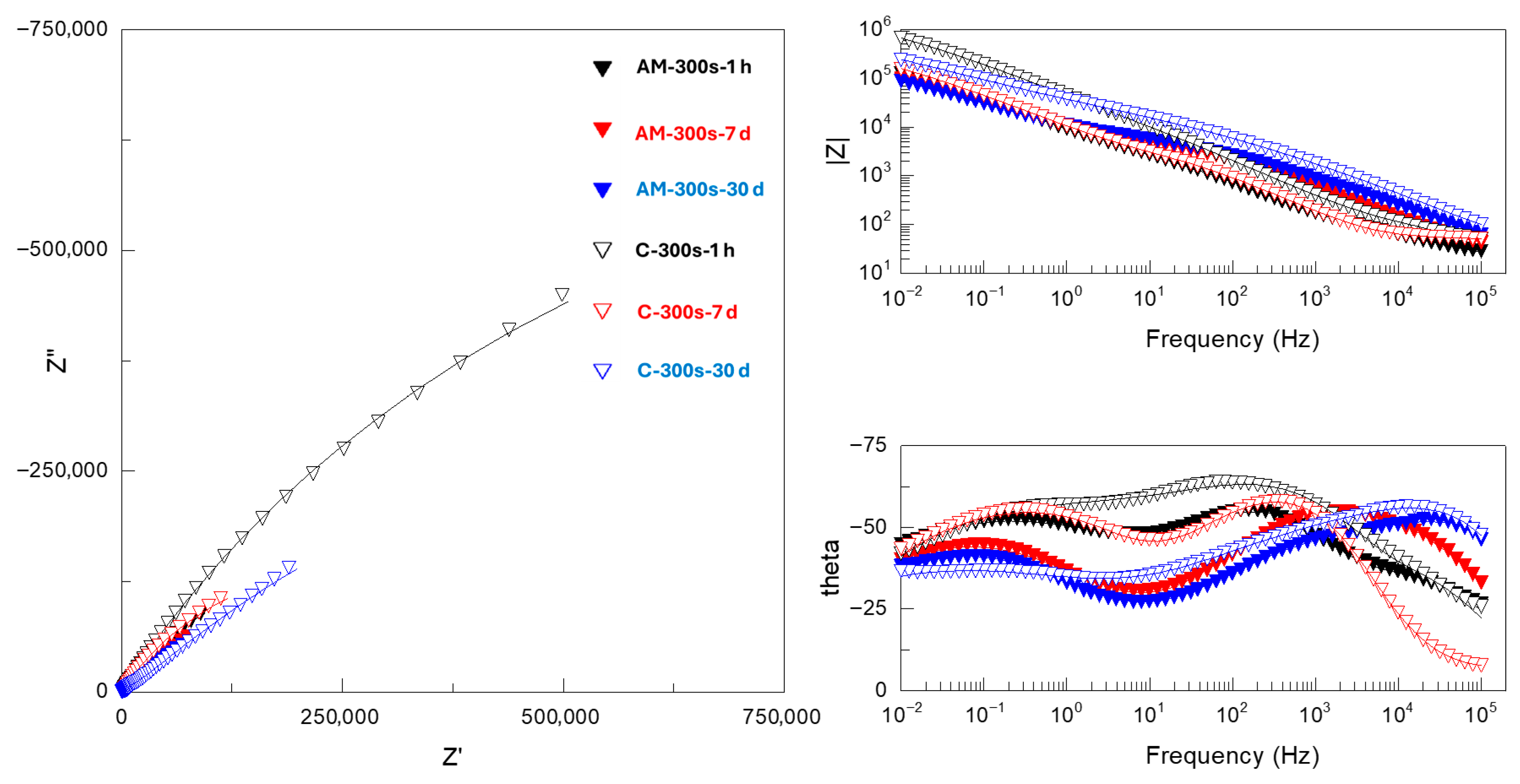
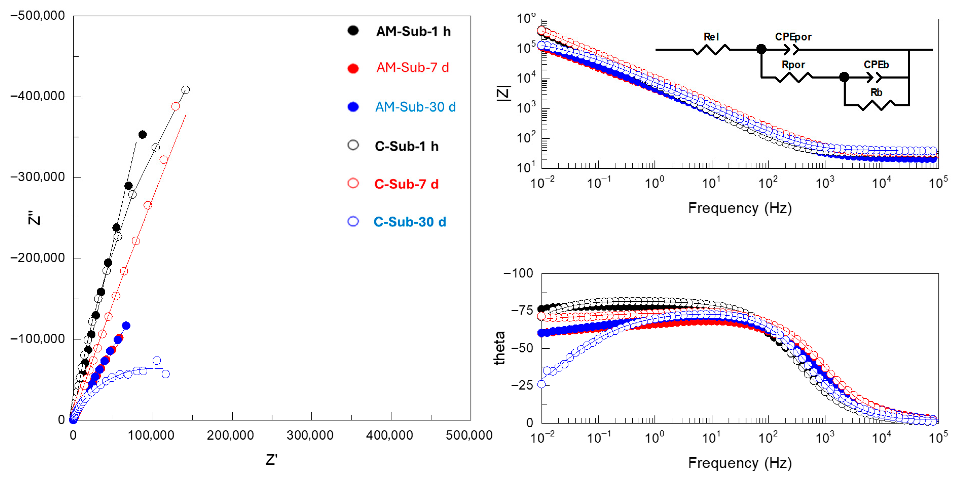
3.3.2. Electrochemical Impedance Spectroscopy
3.4. Coating Characterization After Corrosion
3.5. Roughness and Water Contact Angle
3.6. Ion Release After 30 Days of Corrosion Exposure
4. Discussion
4.1. Flash-PEO Rationale
4.2. Electrochemical Stability and Protection Mechanism
4.3. Metal Ion Release
5. Conclusions
Supplementary Materials
Author Contributions
Funding
Institutional Review Board Statement
Informed Consent Statement
Data Availability Statement
Acknowledgments
Conflicts of Interest
Abbreviations
| AM | Additive Manufacturing |
| CPE | Constant Phase Element |
| DCPD | Doped dicalcium phosphate dihydrate |
| EDS | Energy Dispersive Spectroscopy |
| EIS | Electrochemical Impedance Spectroscopy |
| HA | Hydroxyapatite |
| HIP | Hot Isostatic Pressing |
| ICP-OES | Inductively Coupled Plasma Optical Emission Spectroscopy |
| LBPF | Laser Powder Bed Fusion |
| OCP | Open Circuit Potential |
| PDA | Polydopamine |
| PDP | Potentiodynamic Polarization |
| PEO | Plasma Electrolytic Oxidation |
| SBF | Simulated Body Fluid |
| SEM | Scanning Electron Microscopy |
| SLM | Selective Laser Melting |
| WCA | Water Contact Angle |
| XRD | X-Ray Diffraction |
References
- Shah, S.W.A.; Ali, S.; Ullah, H.; Saad, M.; Mubashar, A.; Ud Din, E. Material characterization of Ti6Al4V alloy additively manufactured using selective laser melting technique. J. Mater. Res. Technol. 2024, 33, 1756–1763. [Google Scholar] [CrossRef]
- Tshephe, T.S.; Akinwamide, S.O.; Olevsky, E.; Olubambi, P.A. Additive manufacturing of titanium-based alloys-A review of methods, properties, challenges, and prospects. Heliyon 2022, 8, e09041. [Google Scholar] [CrossRef]
- Zhang, T.; Liu, C.-T. Design of titanium alloys by additive manufacturing: A critical review. Adv. Powder Mater. 2022, 1, 100014. [Google Scholar] [CrossRef]
- Gong, G.; Ye, J.; Chi, Y.; Zhao, Z.; Wang, Z.; Xia, G.; Du, X.; Tian, H.; Yu, H.; Chen, C. Research status of laser additive manufacturing for metal: A review. J. Mater. Res. Technol. 2021, 15, 855–884. [Google Scholar] [CrossRef]
- Mora-Sanchez, H.; Ramos, C.; Mohedano, M.; Torres, B.; Arrabal, R.; Matykina, E. Flash plasma electrolytic oxidation and electrochemical behaviour in physiological media of additive manufacturing Ti6Al4V alloy. Trans. Nonferrous Met. Soc. China 2024, 34, 1150–1166. [Google Scholar] [CrossRef]
- Villapún, V.M.; Carter, L.N.; Cox, S.C. Plasma-electrolytic oxidation: A rapid single step post processing approach for additively manufactured biomedical implants. Biomater. Adv. 2025, 169, 214186. [Google Scholar] [CrossRef]
- Arun, S.; Arunnellaiappan, T.; Rameshbabu, N. Fabrication of the nanoparticle incorporated PEO coating on commercially pure zirconium and its corrosion resistance. Surf. Coat. Technol. 2016, 305, 264–273. [Google Scholar] [CrossRef]
- Cardoso, G.C.; Grandini, C.R.; Rau, J.V. Comprehensive review of PEO coatings on titanium alloys for biomedical implants. J. Mater. Res. Technol. 2024, 31, 311–328. [Google Scholar] [CrossRef]
- Fattah-alhosseini, A.; Molaei, M.; Babaei, K. The effects of nano- and micro-particles on properties of plasma electrolytic oxidation (PEO) coatings applied on titanium substrates: A review. Surf. Interfaces 2020, 21, 100659. [Google Scholar] [CrossRef]
- Molaei, M.; Nouri, M.; Babaei, K.; Fattah-Alhosseini, A. Improving surface features of PEO coatings on titanium and titanium alloys with zirconia particles: A review. Surf. Interfaces 2021, 22, 100888. [Google Scholar] [CrossRef]
- Liu, Z.; Zhang, L.-M.; Ren, D.-C.; Ma, A.-L.; Ji, H.-B.; Zheng, Y.-G. Corrosion behavior of Ti−6Al−4V alloy fabricated by selective laser melting in simulated spent fuel reprocessing environment. Trans. Nonferrous Met. Soc. China 2024, 34, 2167–2180. [Google Scholar] [CrossRef]
- Mora-Sanchez, H.; Collado-Vian, M.; Mohedano, M.; Arrabal, R.; Matykina, E. Corrosion of an Additively Manufactured Ti6Al4V Alloy in Saline and Acidic Media. Materials 2024, 17, 712. [Google Scholar] [CrossRef]
- Oyane, A.; Kim, H.; Furuya, T.; Kokubo, T.; Miyazaki, T.; Nakamura, T. Preparation and assessment of revised simulated body fluids. J. Biomed. Mater. Res. Part A 2003, 65A, 188–195. [Google Scholar] [CrossRef] [PubMed]
- Mei, D.; Lamaka, S.V.; Lu, X.; Zheludkevich, M.L. Selecting medium for corrosion testing of bioabsorbable magnesium and other metals–A critical review. Corros. Sci. 2020, 171, 108722. [Google Scholar] [CrossRef]
- Mei, D.; Lamaka, S.V.; Gonzalez, J.; Feyerabend, F.; Willumeit-Römer, R.; Zheludkevich, M.L. The role of individual components of simulated body fluid on the corrosion behavior of commercially pure Mg. Corros. Sci. 2019, 147, 81–93. [Google Scholar] [CrossRef]
- Santos-Coquillat, A.; Mohedano, M.; Martinez-Campos, E.; Arrabal, R.; Pardo, A.; Matykina, E. Bioactive multi-elemental PEO-coatings on titanium for dental implant applications. Mater. Sci. Eng. C 2019, 97, 738–752. [Google Scholar] [CrossRef]
- Tsai, D.-S.; Chou, C.-C. Review of the Soft Sparking Issues in Plasma Electrolytic Oxidation. Metals 2018, 8, 105. [Google Scholar] [CrossRef]
- Matykina, E.; Arrabal, R.; Mingo, B.; Mohedano, M.; Pardo, A.; Merino, M.C. In vitro corrosion performance of PEO coated Ti and Ti6Al4V used for dental and orthopaedic implants. Surf. Coat. Technol. 2016, 307, 1255–1264. [Google Scholar] [CrossRef]
- Bredar, A.R.C.; Chown, A.L.; Burton, A.R.; Farnum, B.H. Electrochemical Impedance Spectroscopy of Metal Oxide Electrodes for Energy Applications. ACS Appl. Energy Mater. 2020, 3, 66–98. [Google Scholar] [CrossRef]
- Poznyak, S.K.; Lisenkov, A.D.; Ferreira, M.G.S.; Kulak, A.I.; Zheludkevich, M.L. Impedance behaviour of anodic TiO2 films prepared by galvanostatic anodisation and powerful pulsed discharge in electrolyte. Electrochim. Acta 2012, 76, 453–461. [Google Scholar] [CrossRef]
- Gnedenkov, S.V.; Sinebryukhov, S.L. Electrochemical Impedance Spectroscopy of Oxide Layers on the Titanium Surface. Russ. J. Electrochem. 2005, 41, 858–865. [Google Scholar] [CrossRef]
- Matykina, E.; Arrabal, R.; Skeldon, P.; Thompson, G.E. Transmission electron microscopy of coatings formed by plasma electrolytic oxidation of titanium. Acta Biomater. 2009, 5, 1356–1366. [Google Scholar] [CrossRef]
- Matykina, E.; Arrabal, R.; Skeldon, P.; Thompson, G.E.; Habazaki, H. Influence of grain orientation on oxygen generation in anodic titania. Thin Solid Film. 2008, 516, 2296–2305. [Google Scholar] [CrossRef]
- Amirudin, A.; Thieny, D. Application of electrochemical impedance spectroscopy to study the degradation of polymer-coated metals. Prog. Org. Coat. 1995, 26, 1–28. [Google Scholar] [CrossRef]
- Noel, J.J. The Electrochemistry of Titanium Corrosion; University of Manitoba: Winnipeg, MB, Canada, 1999. [Google Scholar]
- Santos-Coquillat, A.; Martínez-Campos, E.; Mora Sánchez, H.; Moreno, L.; Arrabal, R.; Mohedano, M.; Gallardo, A.; Rodríguez-Hernández, J.; Matykina, E. Hybrid functionalized coatings on Metallic Biomaterials for Tissue Engineering. Surf. Coat. Technol. 2021, 422, 127508. [Google Scholar] [CrossRef]
- Qin, X.; Yang, H.; Zhao, Y.; Wan, S.; Zhao, X.; Yu, T.; Wang, X.; Zhang, Z. Investigation of the microstructural characteristics of laser-cladded Ti6Al4V titanium alloy and its corrosion behavior in simulated body fluid. Mater. Today Commun. 2024, 41, 110780. [Google Scholar] [CrossRef]
- Pal, S.; Velay, X.; Saleem, W. Investigation into the Electrochemical Corrosion Characteristics of As-Built SLM Ti-6Al-4 V Alloy in Electrolytic Environments. J. Bio-Tribo-Corros. 2024, 10, 89. [Google Scholar] [CrossRef]
- Yeganeh, M.; Shoushtari, M.T.; Khanjar, A.T.; Al Hasan, N.H.J. Microstructure evolution, corrosion behavior, and biocompatibility of Ti-6Al-4V alloy manufactured by electron beam melting (EBM) technique. Colloids Surf. A Physicochem. Eng. Asp. 2023, 679, 132519. [Google Scholar] [CrossRef]
- Singh, P.K.; Kumar, S.; Jain, P.K.; Dixit, U.S. Effect of Heat Treatment on Electrochemical Behavior of Additively Manufactured Ti-6Al-4 V Alloy in Ringer’s Solution. J. Mater. Eng. Perform. 2024, 33, 9570–9582. [Google Scholar] [CrossRef]
- García-Hernández, C.; García-Cabezón, C.; González-Diez, F.; Ampudia, M.; Juanes-Gusano, D.; Rodriguez-Cabello, J.C.; Martín-Pedrosa, F. Effect of processing on microstructure, mechanical properties, corrosion and biocompatibility of additive manufacturing Ti-6Al-4V orthopaedic implants. Sci. Rep. 2025, 15, 14087. [Google Scholar] [CrossRef]
- Liang, P.; Li, P.; Yang, Y.; Yang, K.; Mao, C.; Chi, H.; Zhang, J.; Yu, Z.; Xu, Z.; Guo, Y.; et al. The corrosion resistance, biocompatibility and antibacterial properties of the silver-doped dicalcium phosphate dihydrate coating on the surface of the additively manufactured NiTi alloy. Ceram. Int. 2024, 50, 43994–44007. [Google Scholar] [CrossRef]
- Kumari, R.; Kumar, S.; Das, A.K.; Murmu, A.M.; Kanchan, K. Microstructural characterization and corrosion analysis of HA/TiO2 and HA/ZrO2 composite coating on Ti- alloy by laser cladding. Appl. Surf. Sci. Adv. 2024, 24, 100655. [Google Scholar] [CrossRef]
- Liu, C.; Meng, S.; Wang, H.; Zhang, T.; Qi, C.; Li, M.; Kang, J. Bifunctional Metal Ion-Enhanced PDA-Coated Titanium for Superior Osteogenic and Antimicrobial Performance. ACS Appl. Bio Mater. 2025, 8, 5568–5579. [Google Scholar] [CrossRef]
- Brumbauer, F.; Brunner, P.; Poitevin, L.; Sterrer, M.; Wiltsche, H.; Arneitz, S.; Kainz, M.P.; Okamoto, N.L.; Ichitsubo, T.; Sprengel, W.; et al. Long-term corrosion behaviour of an ω-resistant, β-type Ti-12Cr-3Sn alloy: Effect of Sn addition on surface passivation and metal ion release in simulated physiological environment. J. Alloys Compd. 2025, 1032, 180750. [Google Scholar] [CrossRef]
- Pede, D.; Li, M.; Virovac, L.; Poleske, T.; Balle, F.; Müller, C.; Mozaffari-Jovein, H. Microstructure and corrosion resistance of novel β-type titanium alloys manufactured by selective laser melting. J. Mater. Res. Technol. 2022, 19, 4598–4612. [Google Scholar] [CrossRef]
- Pede, D.; Li, M.; Poleske, T.; Mozaffari-Jovein, H. Influence of additive manufacturing and subsequent treatments on the corrosion behaviour of different titanium alloys. In Proceedings of the 59th Conference of Metallurgists; The Canadian Institute of Mining, Metallurgy and Petroleum Engineering: Westmount, QC, Canada, 2021; ISBN 978-1-926872-47-6. [Google Scholar]
- Jiang, Q.-L.; Huang, T.-Y.; Zhang, Z.-Y.; Zhai, D.-J.; Wang, H.-B.; Feng, K.-Q.; Xiang, L. Study of multifunctional bioactive films on 3D printed titanium alloy by plasma electrolytic oxidation. Surf. Coat. Technol. 2024, 478, 130431. [Google Scholar] [CrossRef]
- Szaniawska-Białas, E.; Jozwiak, E.; Syrek, K.; Jóźwik, P.; Sulka, G.D.; Pinna, N.; Wierzbicka, E. Photocatalytic hydrogen evolution from titanium dioxide nanotube membranes with embedded platinum/gold nanowires. Int. J. Hydrogen Energy 2025, 105, 258–266. [Google Scholar] [CrossRef]
- Blackwood, D.J. Influence of the space-charge region on electrochemical impedance measurements on passive oxide films on titanium. Electrochim. Acta 2000, 46, 563–569. [Google Scholar] [CrossRef]
- Wu, T.; Blawert, C.; Serdechnova, M.; Karlova, P.; Dovzhenko, G.; Florian Wieland, D.C.; Stojadinovic, S.; Vasilic, R.; Wang, L.; Wang, C.; et al. Role of phosphate, silicate and aluminate in the electrolytes on PEO coating formation and properties of coated Ti6Al4V alloy. Appl. Surf. Sci. 2022, 595, 153523. [Google Scholar] [CrossRef]
- Clyne, T.W.; Troughton, S.C. A review of recent work on discharge characteristics during plasma electrolytic oxidation of various metals. Int. Mater. Rev. 2018, 64, 127–162. [Google Scholar] [CrossRef]
- WHO. Vanadium and Some Vanadium Salts. Health and Safety Guide No. 42; IPCS International Programme on Chemical Safety: Geneva, Switzerland, 1990. [Google Scholar]
- Krewski, D.; Yokel, R.A.; Nieboer, E.; Borchelt, D.; Cohen, J.; Harry, J.; Kacew, S.; Lindsay, J.; Mahfouz, A.M.; Rondeau, V. Human health risk assessment for aluminium, aluminium oxide, and aluminium hydroxide. J. Toxicol. Environ. Health-Part B Crit. Rev. 2007, 10, 1–269. [Google Scholar] [CrossRef] [PubMed]
- Okazaki, Y.; Gotoh, E. Comparison of metal release from various metallic biomaterials in vitro. Biomaterials 2005, 26, 11–21. [Google Scholar] [CrossRef] [PubMed]
- Mizuno, K.; Boschetto, F.; Yamamoto, K.; Honma, T.; Miyamoto, N.; Adachi, T.; Kanamura, N.; Yamamoto, T.; Wenliang, Z.; Marin, E.; et al. Cytotoxicity and osteogenic effects of aluminum ions. J. Inorg. Biochem. 2022, 234, 111884. [Google Scholar] [CrossRef]
- Costa, B.C.; Tokuhara, C.K.; Rocha, L.A.; Oliveira, R.C.; Lisboa-Filho, P.N.; Costa Pessoa, J. Vanadium ionic species from degradation of Ti-6Al-4V metallic implants: In vitro cytotoxicity and speciation evaluation. Mater. Sci. Eng. C 2019, 96, 730–739. [Google Scholar] [CrossRef]
- Sowa, M.; Piotrowska, M.; Widziołek, M.; Dercz, G.; Tylko, G.; Gorewoda, T.; Osyczka, A.M.; Simka, W. Bioactivity of coatings formed on Ti–13Nb–13Zr alloy using plasma electrolytic oxidation. Mater. Sci. Eng. C 2015, 49, 159–173. [Google Scholar] [CrossRef] [PubMed]
















| Specimen/ Location | Na | Mg | Al | Si | P | S | K | Ti | Ca | Zn | O | V | Fe | |
|---|---|---|---|---|---|---|---|---|---|---|---|---|---|---|
| C | Area | - | - | 9.6 | - | - | - | - | 87.3 | - | - | - | 3.1 | - |
| AM | 1 | - | - | 8.2 | - | - | - | - | 92.1 | - | - | - | 5.6 | 0.7 |
| 2 | - | - | 6.6 | 0.09 | - | - | - | 93.5 | - | - | - | 3.8 | 0.1 | |
| 3 | - | - | 7.3 | - | - | - | - | 91.8 | - | - | - | 5.8 | 0.8 | |
| Specimen/ Location | Na | Mg | Al | Si | P | S | K | Ti | Ca | Zn | O | V | Fe | |
|---|---|---|---|---|---|---|---|---|---|---|---|---|---|---|
| AM-300 s (SS) | Plan view area | 0.8 | 2.5 | 0.7 | 14.1 | 4.1 | 1.0 | 0.2 | 5.5 | 1 | - | 70.2 | - | - |
| C-300 s (SS) | - | - | 0.5 | 11.6 | 3.7 | 4.6 | - | 3.4 | 5.6 | - | 70.6 | - | - | |
| AM-300 s | 0.8 | 2.5 | 0.7 | 13.8 | 4.1 | 0.9 | 0.2 | 5.4 | 1 | - | 70.4 | 0.2 | - | |
| AM-60 s | - | 1.3 | 1.7 | 3.5 | 7.5 | 0.3 | - | 26.7 | 9.4 | 0.9 | 47.5 | 1.3 | - | |
| C-300 s | - | 1.1 | 1.8 | 2.7 | 5.2 | 0.3 | - | 16.2 | 2.0 | 1.1 | 69.0 | 0.8 | - | |
| C-60 s | 0.9 | 1.3 | 1.4 | 3.7 | 8 | 0.2 | - | 25.4 | 10 | 1 | 46.9 | 1.2 | - | |
| Specimen | Ecorr (VAg/AgCl) | icorr (µA/cm2) | ipass (µA/cm2) |
|---|---|---|---|
| AM-Sub | −0.185 | 0.05 | 2.0 |
| C-Sub | −0.244 | 0.17 | 3.8 |
| AM-PEO 60 s | 0.130 | 0.16 | 0.66 |
| AM-PEO 300 s | 0.258 | 0.09 | 0.47 |
| C-PEO 60 s | 0.268 | 0.19 | 0.47 |
| C-PEO 300 s | 0.221 | 0.08 | 0.094 |
| Specimen/ Location | Na | Mg | Al | Si | P | K | Ti | Ca | Zn | O | V | |
|---|---|---|---|---|---|---|---|---|---|---|---|---|
| C-sub | 1 | - | - | 7.7 | - | - | - | 70.9 | - | - | 18.6 | 2.8 |
| AM-sub | 1 | - | - | 8.8 | - | - | - | 71.1 | - | - | 17.9 | 2.2 |
| 2 | - | - | 9.9 | - | - | - | 75.4 | - | - | 12.1 | 2.7 | |
| AM-300 s | 1 | 1.9 | 0.9 | 1.2 | 5.3 | 8.5 | - | 16.1 | 9.0 | 0.6 | 55.9 | 0.8 |
| 2 | - | 0.7 | 1.7 | 4.0 | 6.3 | - | 17.2 | 5.4 | 0.5 | 63.5 | 0.7 | |
| C-300 s | 1 | - | 1.1 | 1.5 | 3.5 | 6.5 | - | 16.5 | 6.5 | 0.4 | 63.5 | 0.5 |
| 2 | - | 1.1 | 1.3 | 3.4 | 5.7 | 0.2 | 17.6 | 6.5 | 0.5 | 62.9 | 0.7 | |
| AM-60 s | Plan view area | - | 1.4 | 1.1 | 3.2 | 6.6 | - | 11.1 | 6.5 | 0.4 | 69.2 | 0.5 |
| C-60 s | 0.7 | 1.1 | 1.2 | 2.9 | 5.7 | - | 13.2 | 5.5 | 0.4 | 68.6 | 0.7 | |
| Sample | WCA, ° | Sa, μm | S10z, μm | |
|---|---|---|---|---|
| AM-Sub | before | 73.9 | 0.12 ± 0.01 | 1.0 ± 0.1 |
| after | 67.7 | 0.63 ± 0.04 | 4.9 ± 1.1 | |
| C-Sub | before | 61.8 | 1.47 ± 0.11 | 11.1 ± 1.3 |
| after | 49.9 | 0.2 ± 0.03 | 5.0 ± 2.3 | |
| AM-60 s | before | 57.3 | 0.32 ± 0.02 | 4.7 ± 1.7 |
| after | 62.4 | 1.2 ± 0.4 | 9.7 ± 5.4 | |
| AM-300 s | before | 58.3 | 0.53 ± 0.04 | 6.5 ± 3.8 |
| after | 49.1 | 1.3 ± 0.36 | 11.7 ± 5.2 | |
| C-60 s | before | 61.8 | 0.35 ± 0.03 | 3.8 ± 0.5 |
| after | 68.4 | 0.54 ± 0.2 | 4.5 ± 0.8 | |
| C-300 s | before | 62.5 | 0.55 ± 0.04 | 5.1 ± 0.7 |
| after | 64.8 | 1.32 ± 0.52 | 9.7 ± 3.8 | |
| Specimen | Pore Population Density, mm−2 | Average Pore Size, µm | Porosity, % |
|---|---|---|---|
| AM-60 s | 1.32 × 106 | 0.8 | 9.7 |
| AM-300 s | 0.29 × 106 | 3.4 | 14.1 |
| C-60 s | 0.90 × 106 | 1.1 | 13.1 |
| C-300 s | 0.56 × 106 | 2.8 | 19.8 |
| Specimen/ Location | Na | Mg | Al | Si | P | S | K | Ti | Ca | Zn | O | V | Fe | ||
|---|---|---|---|---|---|---|---|---|---|---|---|---|---|---|---|
| AM-300 s | Cross-sections | 1 | - | - | 2.5 | 0.2 | 0.3 | - | - | 22.8 | 0.1 | 0.1 | 71.6 | - | - |
| 2 | 0.7 | 0.4 | 1.6 | 2.5 | 5.5 | 1.3 | 0.3 | 17.9 | 2.1 | 0.2 | 66.8 | 0.7 | - | ||
| 3 | 0.5 | 0.6 | 2.1 | 2.4 | 4.2 | - | - | 14.0 | 2.7 | 0.2 | 0.5 | - | - | ||
| AM-60 s | 1 | 0.3 | 0.4 | 2.6 | 1.3 | 2.9 | 0.7 | - | 19.9 | 1.3 | 0.7 | 69.8 | 0.7 | - | |
| 2 | 0.2 | 1.2 | 1.8 | 1.8 | 5.2 | 0.2 | - | 11.2 | 4.4 | 3.3 | 72.8 | 0.4 | - | ||
| C-300 s | 1 | 1.4 | - | 2.5 | 0.3 | 0.8 | 2.6 | 0.1 | 27.7 | - | - | 62.0 | 2.6 | - | |
| 2 | 1.1 | 0.4 | 1.3 | 1.6 | 4.8 | 1.4 | 0.2 | 17.2 | 0.9 | 0.4 | 68.5 | 2.1 | - | ||
| 3 | - | 1.3 | 1.4 | 3.6 | 4.7 | 0.2 | - | 11.4 | 1.8 | 0.8 | 73.5 | 1.4 | - | ||
| C-60 s | 1 | 0.4 | - | 2.8 | 1.0 | 3.4 | 1.5 | - | 22.5 | 0.4 | 0.1 | 67.3 | 0.6 | - | |
| 2 | 0.6 | 1.5 | 1.4 | 3.5 | 5.8 | - | - | 11.0 | 7.3 | 0.2 | 68.0 | 0.7 | - | ||
| Specimen | Oxidized Ti, μg cm−2 | Ti4+ in SBF, μg cm−2 | Ti4+ Incorporated into the Passive Film, μg cm−2 | TiO2 Thickness Gain, nm | TiO2 Thickness from EIS, nm |
|---|---|---|---|---|---|
| C-SUB | 54.65 | 0.88 | 53.77 | 2.34 | 2 |
| AM-SUB | 16.07 | 0.35 | 15.72 | 0.68 | 0.7 |
| C-300 s | 25.72 | 2.67 | 23.05 | 1.00 | - |
| C-60 s | 61.08 | 0.50 | 60.58 | 2.63 | - |
| AM-300 s | 28.93 | 0.51 | 28.42 | 1.23 | - |
| AM-60 s | 51.43 | 0.36 | 51.07 | 2.22 | - |
Disclaimer/Publisher’s Note: The statements, opinions and data contained in all publications are solely those of the individual author(s) and contributor(s) and not of MDPI and/or the editor(s). MDPI and/or the editor(s) disclaim responsibility for any injury to people or property resulting from any ideas, methods, instructions or products referred to in the content. |
© 2025 by the authors. Licensee MDPI, Basel, Switzerland. This article is an open access article distributed under the terms and conditions of the Creative Commons Attribution (CC BY) license (https://creativecommons.org/licenses/by/4.0/).
Share and Cite
Javadi, S.; Castro, L.; Arrabal, R.; Matykina, E. Metal Ion Release from PEO-Coated Ti6Al4V DMLS Alloy for Orthopedic Implants. J. Funct. Biomater. 2025, 16, 362. https://doi.org/10.3390/jfb16100362
Javadi S, Castro L, Arrabal R, Matykina E. Metal Ion Release from PEO-Coated Ti6Al4V DMLS Alloy for Orthopedic Implants. Journal of Functional Biomaterials. 2025; 16(10):362. https://doi.org/10.3390/jfb16100362
Chicago/Turabian StyleJavadi, Shaghayegh, Laura Castro, Raúl Arrabal, and Endzhe Matykina. 2025. "Metal Ion Release from PEO-Coated Ti6Al4V DMLS Alloy for Orthopedic Implants" Journal of Functional Biomaterials 16, no. 10: 362. https://doi.org/10.3390/jfb16100362
APA StyleJavadi, S., Castro, L., Arrabal, R., & Matykina, E. (2025). Metal Ion Release from PEO-Coated Ti6Al4V DMLS Alloy for Orthopedic Implants. Journal of Functional Biomaterials, 16(10), 362. https://doi.org/10.3390/jfb16100362

